Uncertainty Modeling of Fatigue Crack Growth and Probabilistic Life Prediction for Welded Joints of Nuclear Stainless Steel
Abstract
1. Introduction
2. Theory of Fatigue Crack Growth
3. Fatigue Crack Growth Test of Welded Joints
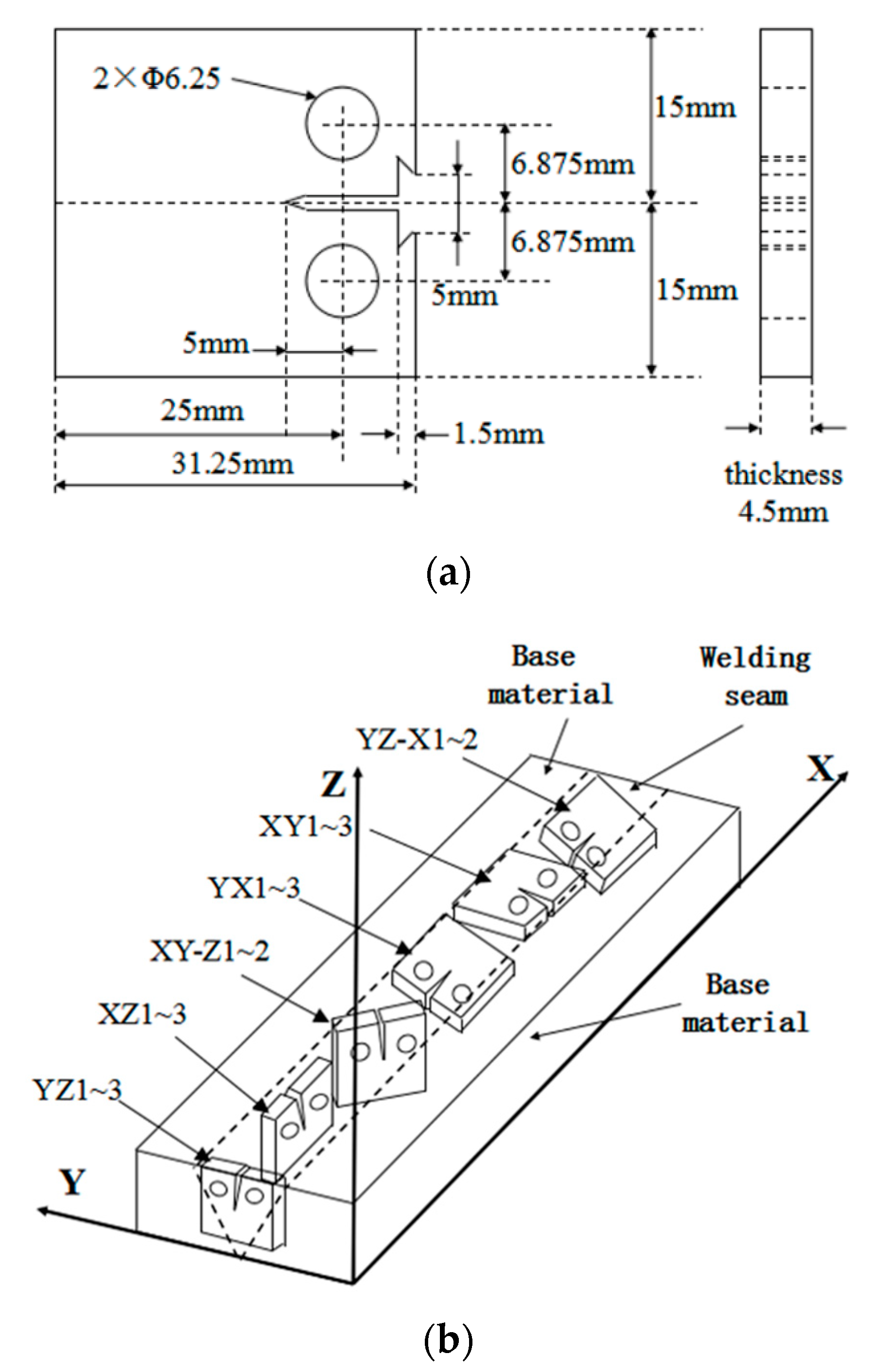
3.1. Material and Specimen Preparation
3.2. Fatigue Crack Propagation Test
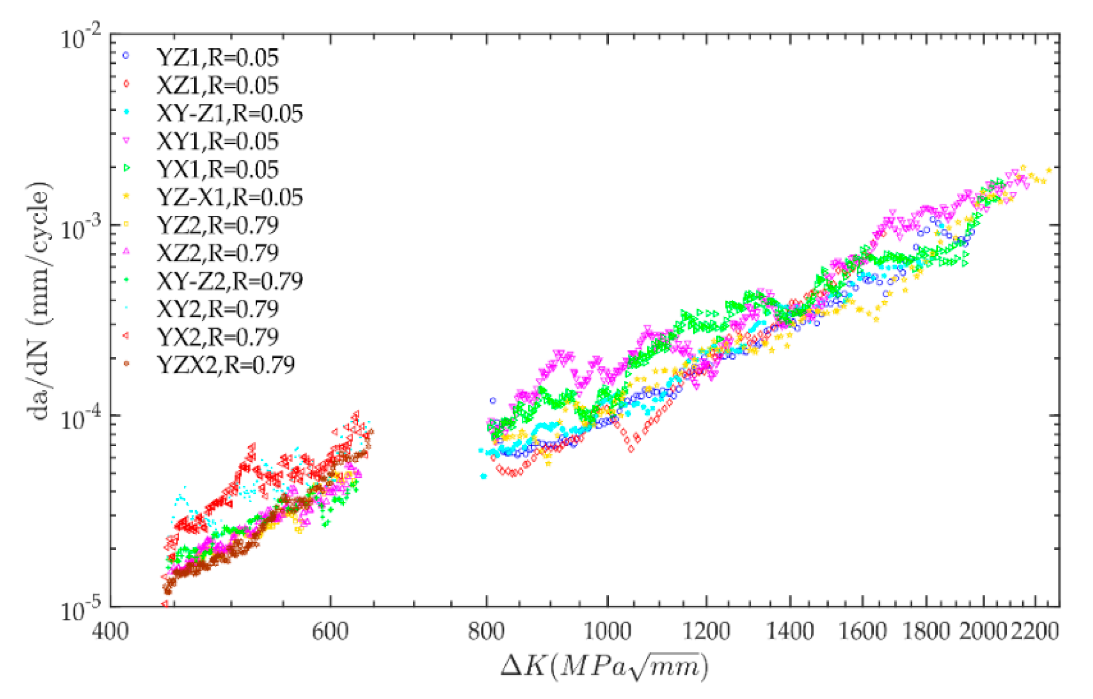
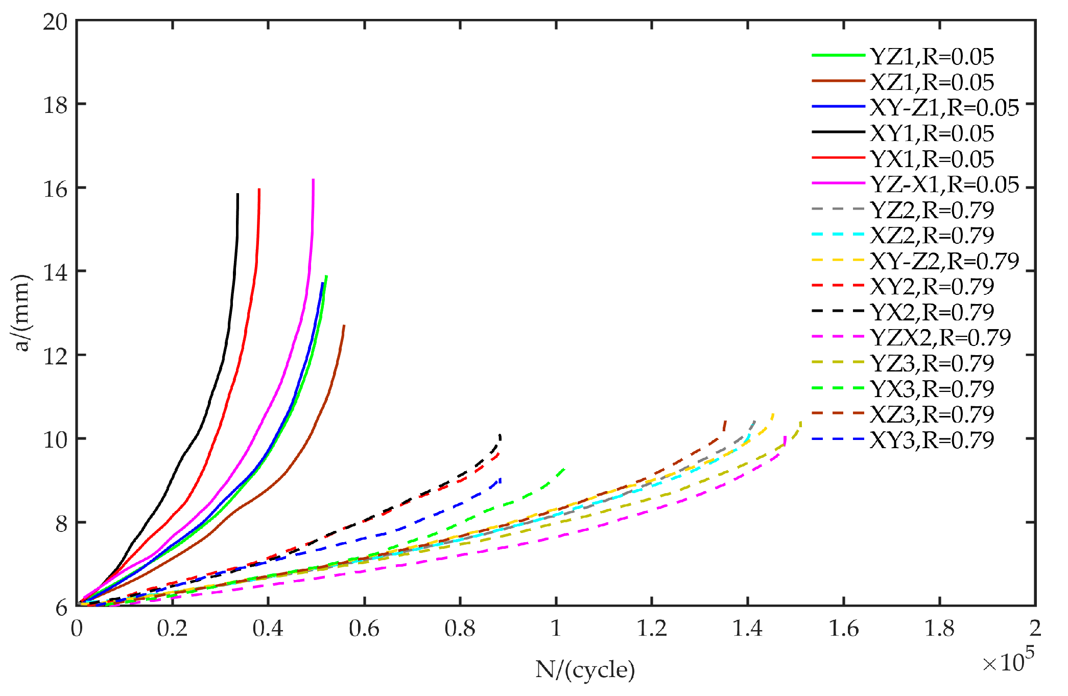
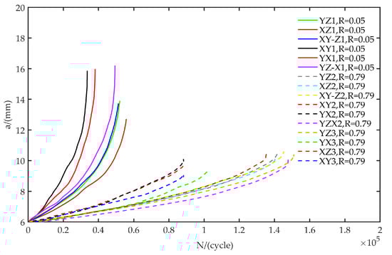
3.3. Testing Result
4. Uncertainty Modeling of Fatigue Crack Growth Rate Parameters
4.1. Test Data Analysis
4.2. Analysis of Uncertainty Modeling of Fatigue Crack Growth Parameters
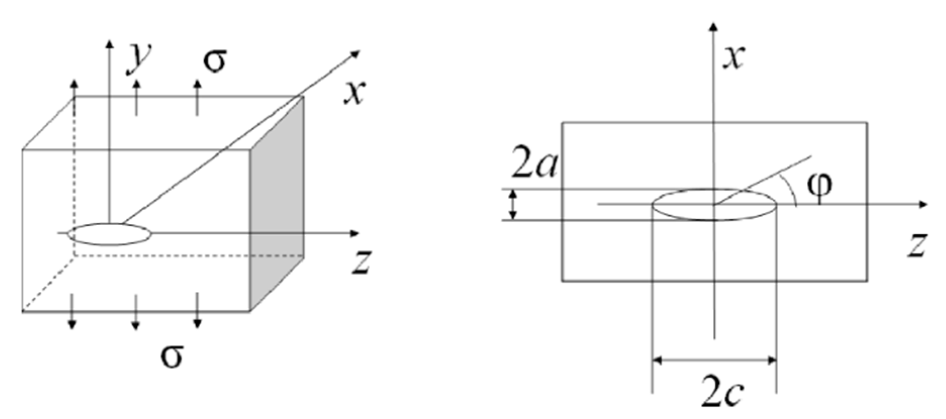
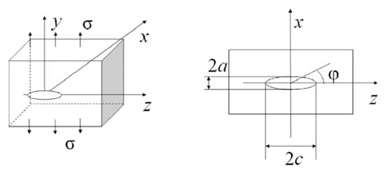
5. Probability Life Prediction for Fatigue Crack in Welding Joints of Nuclear Stainless Steel
5.1. Probability Life Prediction Based on Monte Carlo Simulation
5.2. Life Prediction of Welding Joint of Nuclear Stainless Steel
6. Conclusions
- (1)
- CT specimens manufactured from different sampling directions in the welding area were prepared to simulate the initial cracks (defects) with different orientations. The constant amplitude fatigue crack growth tests with different stress ratios were carried out to study the fatigue crack growth behavior of the welding joints comprehensively.
- (2)
- The two-dimensional normal distribution of the material parameters (lnC, m) was obtained by using the crack growth test data and Paris formula. The fatigue crack growth model, considering the uncertainty of material parameters, was established. The accuracy of the model was verified by real experimental data.
- (3)
- The Monte Carlo method was used to predict probabilistic fatigue life. The method of predicting the fatigue life of elliptical cracks embedded in the welding joints is described in detail. The method provides a quantitative criterion for maintenance and detection decision.
Author Contributions
Funding
Conflicts of Interest
References
- Bai, X. Research on China’s Nuclear Power Development policy in the context of energy revolution. Master’s Thesis, North China Electric Power University, Beijing, China, March 2019. [Google Scholar]
- Lu, X.; Li, S.; Wang, X.; Wang, Y. Fatigue crack growth of cast austenitic stainless steels. Chin. J. Eng. 2015, 37, 57–63. [Google Scholar]
- Hou, C.Y.; Charng, J.J. Models for the estimation of weldment fatigue crack initiation life. Int. J. Fatigue 1997, 19, 537–541. [Google Scholar] [CrossRef]
- Rozumek, D.; Marciniak, Z.; Lesiuk, G.; Correia, J.A.F.O. Mixed mode I/II/III fatigue crack growth in S355 steel. Procedia Struct. Integr. 2017, 5, 896–903. [Google Scholar] [CrossRef]
- Li, Z.; Cui, Z.; Wang, W.; Yin, J. Structural change of nuclear 316LN stainless steel welded joint. J. Weld. 2019, 40, 89–95. [Google Scholar]
- Gadallah, R.; Osawa, N.; Tanaka, S.; Tsutsumi, S. Critical investigation on the influence of welding heat input and welding residual stress on stress intensity factor and fatigue crack propagation. Eng. Fail. Anal. 2018, 89, 200–221. [Google Scholar] [CrossRef]
- Tang, L.; Qian, C.; Ince, A.; Li, H.; Han, Z. Fatigue crack growth behavior of the MIG welded joint of 06Cr19Ni10 stainless steel. Materials 2018, 11, 1336. [Google Scholar] [CrossRef] [PubMed]
- Arora, P.; Singh, P.K.; Bhasin, V.; Vaze, K.K.; Ghosh, A.K.; Pukazhendhi, D.M.; Gandhi, P.; Raghava, G. Predictions for fatigue crack growth life of cracked pipes and pipe welds using RMS SIF approach and experimental validation. Int. J. Press. Vessel. Pip. 2011, 88, 384–394. [Google Scholar] [CrossRef]
- Liu, Y. Research on Fatigue and Fracture Reliability of Bodies Initial Cracks. Master’s Thesis, Wuhan University of Technology, Wuhan, China, June 2004. [Google Scholar]
- Wang, Z.; Huang, H.-Z.; Li, Y.; Xiao, N.-C. An approach to reliability assessment under degradation and shock process. IEEE Trans. Reliab. 2011, 60, 852–863. [Google Scholar] [CrossRef]
- Rafiee, K.; Feng, Q.; Coit, D.W. Reliability modeling for multiple mependent competing failure processes with changing degradation rate. IIE Trans. 2014, 46, 483–496. [Google Scholar] [CrossRef]
- Ma, Y. Study on related problems of fatigue life prediction of welded structures. Ph.D. Thesis, Northeastern University, Shenyang, China, January 2015. [Google Scholar]
- Zhang, M.; Zhong, M.; Bai, J. A review on development and application of probabilistic fatigue life prediction models for metal materials and components. Mater. Rev. 2018, 32, 808–814. [Google Scholar]
- Xie, M.; An, Z.; Qin, H.; Gao, J. Statistical distribution of parameters in the Paris formula for fatigue crack propagation of Q345 steel. Mechinery 2016, 54, 23–27. [Google Scholar]
- Paris, P.; Erdogan, F. A critical analysis of crack propagation laws. J. Basic Eng. 1963, 85, 528–534. [Google Scholar] [CrossRef]
- ASTM E647-15, Standard Test Method for Measurement of Fatigue Crack Growth Rates; ASTM International: West Conshohocken, PA, USA, 2015.
- Mikhailov, G. Parametric Estimates by the Monte Carlo Method; VSP: Utrecht, The Netherlands, 1999. [Google Scholar]
- Chen, X.; Dong, Q.; Gu, X.; Mao, Q. Bayesian analysis of pavement maintenance failure probability with Markov Chain Monte Carlo simulation. J. Transp. Eng. 2019, 145, 04019001. [Google Scholar] [CrossRef]
- Zhang, Y.; Xiong, R.; He, H.; Pecht, M.G. Lithium-Ion battery remaining useful life prediction with Box–Cox transformation and Monte Carlo simulation. IEEE Trans. Ind. Electron. 2019, 66, 1585–1597. [Google Scholar] [CrossRef]
- Konkov, V.; Peverati, R. QMC-SW: A simple workflow for quantum Monte Carlo calculations in chemistry. SoftwareX 2019, 9, 7–14. [Google Scholar] [CrossRef]
- Qu, J.; Pang, Y.; Sun, X. Experimental study of 316L stainless steel three-point bend specimen fracture toughness under different strain rates. China Means Test 2016, 42, 13–16. [Google Scholar]













| Material | C | Si | Mn | Cr | Ni | Mo | P | S | Others |
|---|---|---|---|---|---|---|---|---|---|
| ER316L | 0.025 | 0.42 | 1.91 | 19.10 | 12.58 | 2.57 | / | / | - |
| 304L | 0.024 | 0.4 | 1.46 | 18.47 | 8.04 | / | 0.03 | 1.46 | - |
| Mechanical Properties | Values |
|---|---|
| Yield Strength (MPa) | 170 |
| Ultimate Strength (MPa) | 485 |
| Elastic Modulus (GPa) | 195 |
| Poisson’s Ratio | 0.3 |
| Specimens | Stress Ratio, R | Maximum Force, Fmax (kN) | Frequency, f (Hz) |
|---|---|---|---|
| YZ1/XZ1/XY-Z1/ XY1/YX1/YZ-X1 | 0.05 | 4 | 10 |
| YZ2/XZ2/XY-Z2/ XY2/YX2/YZ-X2/ | 0.79 | 10 | 10 |
| YZ3/YX3/XZ3/XY3 | 0.79 | 10 | 10 |
| Specimen’s Code | (lnC, m) Fitting Result |
|---|---|
| YZ1 | (−31.5528, 3.2384) |
| XZ1 | (−36.6602, 3.9636) |
| XY-Z1 | (−30.9338, 3.1615) |
| XY1 | (−28.7608, 2.9073) |
| YX1 | (−28.2575, 2.8208) |
| YZ-X1 | (−31.0514, 3.1767) |
| YZ2 | (−32.8073, 3.5495) |
| XZ2 | (−31.4714, 3.3403) |
| XY-Z2 | (−26.5650, 2.5614) |
| XY2 | (−26.7521, 2.6604) |
| YX2 | (−31.5637, 3.4307) |
| YZ-X2 | (−38.8939, 4.5228) |
© 2020 by the authors. Licensee MDPI, Basel, Switzerland. This article is an open access article distributed under the terms and conditions of the Creative Commons Attribution (CC BY) license (http://creativecommons.org/licenses/by/4.0/).
Share and Cite
Chang, H.; Shen, M.; Yang, X.; Hou, J. Uncertainty Modeling of Fatigue Crack Growth and Probabilistic Life Prediction for Welded Joints of Nuclear Stainless Steel. Materials 2020, 13, 3192. https://doi.org/10.3390/ma13143192
Chang H, Shen M, Yang X, Hou J. Uncertainty Modeling of Fatigue Crack Growth and Probabilistic Life Prediction for Welded Joints of Nuclear Stainless Steel. Materials. 2020; 13(14):3192. https://doi.org/10.3390/ma13143192
Chicago/Turabian StyleChang, Haijun, Mengling Shen, Xiaohua Yang, and Junxia Hou. 2020. "Uncertainty Modeling of Fatigue Crack Growth and Probabilistic Life Prediction for Welded Joints of Nuclear Stainless Steel" Materials 13, no. 14: 3192. https://doi.org/10.3390/ma13143192
APA StyleChang, H., Shen, M., Yang, X., & Hou, J. (2020). Uncertainty Modeling of Fatigue Crack Growth and Probabilistic Life Prediction for Welded Joints of Nuclear Stainless Steel. Materials, 13(14), 3192. https://doi.org/10.3390/ma13143192

