Corrosion Behavior of AISI 304 Stainless Steel Reinforcements in SCBA-SF Ternary Ecological Concrete Exposed to MgSO4
Abstract
1. Introduction
2. Materials and Methods
2.1. Ternary Ecological Concrete
2.2. Proportioning of Concrete Mixtures
2.3. Characterization of Fresh and Hardened Concrete
2.4. Characteristic and Nomenclature of Test Specimens
3. Results and Discussion
3.1. Corrosion Potential
3.1.1. Behavior Ecorr Specimens in Control Medium (DI-Water)
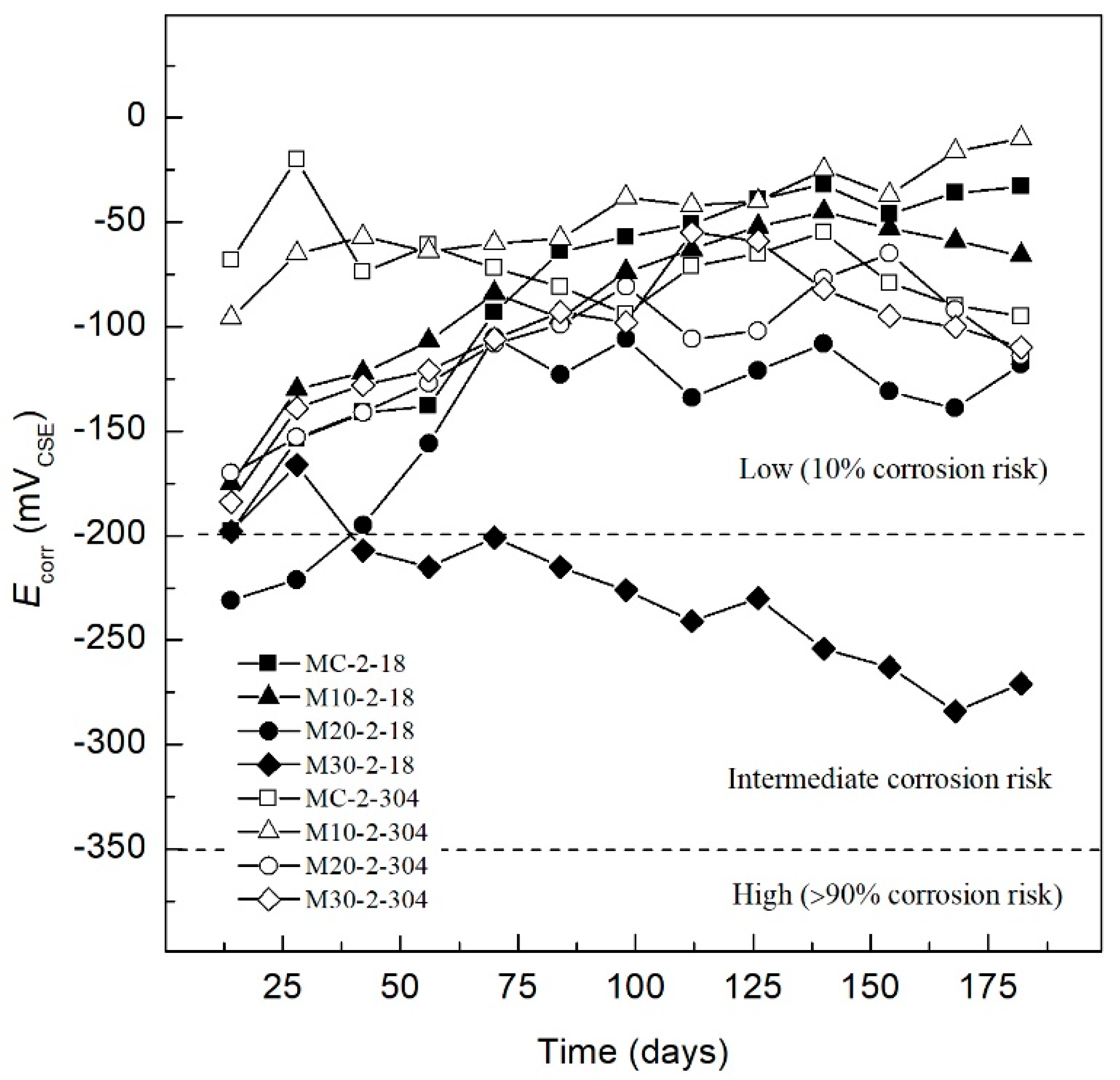
3.1.2. Ecorr Behavior of 3.5 wt.% MgSO4 Solution
3.2. Corrosion Current Density
3.2.1. Behavior of icorr Specimens in Electrolyte: Control Medium (DI-Water)
3.2.2. Behavior of Specimens icorr in Electrolyte: (3.5 wt.% MgSO4 Solution)
4. Conclusions
Author Contributions
Funding
Acknowledgments
Conflicts of Interest
References
- Cramer, S.D.; Covino, B.S., Jr.; Bullard, S.J.; Holcomb, G.R.; Russell, J.H.; Nelson, F.J.; Laylor, H.M.; Soltesz, S.M. Corrosion prevention and remediation strategies for reinforced concrete coastal bridge. Cem. Concr. Compos. 2002, 24, 101–117. [Google Scholar] [CrossRef]
- Bastidas, D.M.; Criado, M.; Fajardo, S.; La Iglesia, A.; Bastidas, J.M. Corrosion inhibition mechanism of phosphates for early-age reinforced mortar in the presence of chlorides. Cem. Concr. Comp. 2015, 61, 1–6. [Google Scholar] [CrossRef]
- Guneyisi, E.; Ozturan, T.; Gesoglu, M. A study on reinforcement corrosion and related properties of plain and blended cement concretes under different curing conditions. Cem. Concr. Compos. 2005, 27, 449–461. [Google Scholar] [CrossRef]
- Ann, K.Y.; Song, H.W. Chloride threshold level for corrosion of steel in concrete. Corros. Sci. 2007, 49, 4113–4133. [Google Scholar] [CrossRef]
- Saricimen, H.; Mohammad, M.; Quddus, A.; Shameem, M.; Barry, M.S. Effectiveness of concrete inhibitors in retarding rebar corrosion. Cem. Concr. Compos. 2002, 24, 89–100. [Google Scholar] [CrossRef]
- Santiago-Hurtado, G.; Baltazar-Zamora, M.A.; Olguín-Coca, J.; López, L.D.; Galván-Martínez, R.; Ríos-Juárez, A.; Gaona-Tiburcio, C.; Almeraya-Calderón, F. Electrochemical Evaluation of a Stainless Steel as Reinforcement in Sustainable Concrete Exposed to Chlorides. Int. J. Electrochem. Sci. 2016, 11, 2994–3006. [Google Scholar] [CrossRef]
- Troconis de Rincón, O.; Montenegro, J.C.; Vera, R.; Carvajal, A.M.; De Gutiérrez, R.M.; Del Vasto, S.; Saborio, E.; Torres-Acosta, A.; Pérez-Quiroz, J.; Martínez-Madrid, M.; et al. Reinforced Concrete Durability in Marine Environments DURACON Project: Long-Term Exposure. Corrosion 2016, 72, 824–833. [Google Scholar] [CrossRef]
- Smith, F.N.; Tullmin, M. Using stainless steel as long-lasting rebar material. Mater. Perform. 1999, 38, 72–76. [Google Scholar]
- Bertolini, L.; Pedeferri, P. Laboratory and field experience on the use of stainless steel to improve durability of reinforced concrete. Corros. Rev. 2002, 20, 129–152. [Google Scholar] [CrossRef]
- Elsener, B.; Rossi, A. XPS investigation of passive films on amorphous FeCr alloys. Electrochim. Acta 1992, 37, 2269–2276. [Google Scholar] [CrossRef]
- Abreu, C.M.; Cristóbal, M.J.; Losada, R.; Nóvoa, X.R.; Pena, G.; Pérez, M.C. Comparative study of passive films of different stainless steels developed on alkaline medium. Electrochim. Acta 2004, 49, 3049–3056. [Google Scholar] [CrossRef]
- Sánchez, M.; Mahmoud, H.; Alonso, M.C. Electrochemical response of natural and induced passivation of high strength duplex stainless steels in alkaline media. J. Solid State Electrochem. 2012, 16, 1193–1202. [Google Scholar] [CrossRef]
- Duarte, R.G.; Castela, A.S.; Neves, R.; Freire, L.; Montemor, M.F. Corrosion behavior of stainless steel rebars embedded in concrete: An electrochemical impedance spectroscopy study. Electrochim. Acta 2014, 124, 218–224. [Google Scholar] [CrossRef]
- Mahmoud, H.; Sánchez, M.; Alonso, M.C. Ageing of the spontaneous passive state of 2304 duplex stainless steel in high-alkaline conditions with the presence of chloride. J. Solid State Electrochem. 2015, 19, 2961–2972. [Google Scholar] [CrossRef]
- García-Alonso, M.C.; Escudero, M.L.; Miranda, J.M.; Vega, M.I.; Capilla, F.; Correia, M.J.; Salta, M.; Bennani, A.; González, J.A. Corrosion behaviour of new stainless steels reinforcing bars embedded in concrete. Cem. Concr. Res. 2007, 37, 1463–1471. [Google Scholar] [CrossRef]
- Bertolini, L.; Bolzoni, F.; Pastore, T.; Pedeferri, P. Behaviour of stainless steel in simulated concrete pore solution. Br. Corros. J. 1996, 31, 218–222. [Google Scholar] [CrossRef]
- Blanco, G.; Bautista, A.; Takenouti, H. EIS study of passivation of austenitic and duplex stainless steels reinforcements in simulated pore solutions. Cem. Concr. Compos. 2006, 28, 212–219. [Google Scholar] [CrossRef]
- Xie, Y.; Guo, S.; Leong, A.; Zhang, J.; Zhu, Y. Corrosion behaviour of stainless steel exposed to highly concentrated chloride solutions. Corros. Eng. Sci. Technol. 2017, 52, 283–293. [Google Scholar] [CrossRef]
- Bautista, A.; Blanco, G.; Velasco, F.; Gutierrez, A.; Palacin, S.; Soriano, L.; Takenouti, H. Passivation of duplex stainless steels in solutions simulating chloride-contaminated concrete. Mater. Construcción 2007, 57, 17–31. [Google Scholar]
- Ormellese, M.; Berra, M.; Bolzoni, F.; Pastore, T. Corrosion inhibitors for chlorides induced corrosion in reinforced concrete structures. Cem. Concr. Res. 2006, 36, 536–547. [Google Scholar] [CrossRef]
- Raczkiewicz, W.; Wójcicki, A. Temperature Impact on the Assessment of Reinforcement Corrosion Risk in Concrete by Galvanostatic Pulse Method. Appl. Sci. 2020, 10, 1089. [Google Scholar] [CrossRef]
- Liang, M.T.; Lan, J.J. Reliability analysis for the existing reinforced concrete pile corrosion of bridge substructure. Cem. Concr. Res. 2005, 35, 540–550. [Google Scholar] [CrossRef]
- Santiago, G.; Baltazar, M.A.; Galván, R.; López, L.; Zapata, F.; Zambrano, P.; Gaona, C.; Almeraya, F. Electrochemical Evaluation of Reinforcement Concrete Exposed to Soil Type SP Contaminated with Sulphates. Int. J. Electrochem. Sci. 2016, 11, 4850–4864. [Google Scholar] [CrossRef]
- Elias, V.; Fishman, K.L.; Cristopher, B.R.; Berg, R.R. Corrosion/Degradation of Soil Reinforcements for Mechanically Stabilized Earth Walls and Reinforced Soil Slopes; U.S. Department of Transportation Publication No. FHWA-NHI-09-087, Federal Highway Administration: Washington, DC, USA, 2009. [Google Scholar]
- Santiago-Hurtado, G.; Baltazar-Zamora, M.; Galindo, A.D.; Cabral Miramontes, J.A.; Estupiñán, F.H.L.; Robledo, P.Z.; Gaona-Tiburcio, C. Anticorrosive Efficiency of Primer Applied in Carbon Steel AISI 1018 as Reinforcement in a Soil Type MH. Int. J. Electrochem. Sci. 2013, 8, 8490–8501. [Google Scholar]
- Ismail, A.I.M.; El-Shamy, A.M. Engineering behaviour of soil materials on the corrosion of mild steel. Appl. Clay Sci. 2009, 42, 356–362. [Google Scholar] [CrossRef]
- Roventi, G.; Bellezze, T.; Giuliani, G.; Conti, C. Corrosion resistance of galvanized steel reinforcements in carbonated concrete: Effect of wet–dry cycles in tap water and in chloride solution on the passivating layer. Cem. Concr. Res. 2014, 65, 76–84. [Google Scholar] [CrossRef]
- Shaheen, F.; Pradhan, B. Influence of sulfate ion and associated cation type on steel reinforcement corrosion in concrete powder aqueous solution in the presence of chloride ions. Cem. Concr. Res. 2017, 91, 73–86. [Google Scholar] [CrossRef]
- Bellezze, T.; Malavolta, M.; Quaranta, A.; Ruffini, N.; Roventi, G. Corrosion behaviour in concrete of three differently galvanized steel bars. Cem. Concr. Compos. 2006, 28, 246–255. [Google Scholar] [CrossRef]
- Bossio, A.; Lignola, G.P.; Fabbrocino, F.; Monetta, T.; Prota, A.; Bellucci, F.; Manfredi, G. Nondestructive assessment of corrosion of reinforcing bars through surface concrete cracks. Struct. Concr. 2017, 18, 104–117. [Google Scholar] [CrossRef]
- Zhao, Y.; Zhang, X.; Jin, W. Influence of environment on the development of corrosion product-filled paste and a corrosion layer at the steel/concrete interface. Corros. Sci. 2017, 124, 1–9. [Google Scholar] [CrossRef]
- Kayali, O.; Yeomans, S.R. Bond of ribbed galvanized reinforcing steel in concrete. Cem. Concr. Compos. 2000, 22, 459–467. [Google Scholar] [CrossRef]
- Yeomans, S.R. Performance of Black, Galvanized, and Epoxy-Coated Reinforcing Steels in Chloride-Contaminated Concrete. Corrosion 1994, 50, 72–81. [Google Scholar] [CrossRef]
- Cheng, A.; Huang, R.; Wu, J.K.; Chen, C.H. Effect of rebar coating on corrosion resistance and bond strength of reinforced concrete. Constr. Build. Mater. 2005, 19, 404–412. [Google Scholar] [CrossRef]
- Mahasenan, N.; Smith, S.; Humphreys, K. The Cement Industry and Global Climate ChangeCurrent and Potential Future Cement Industry CO2 Emissions. In Proceedings of the Greenhouse Gas Control Technologies—6th International Conference, Kyoto, Japan, 1–4 October 2002; pp. 995–1000. [Google Scholar]
- Habert, G.; d’Espinose de Lacaillerie, J.B.; Roussel, N. An environmental evaluation of geopolymer based concrete production: Reviewing current research trends. J. Clean. Prod. 2011, 19, 1229–1238. [Google Scholar] [CrossRef]
- Baltazar, M.A.; Ariza, H.; Landa, L.; Croche, R. Electrochemical Evaluation of AISI 304 SS and Galvanized Steel in Ternary Ecological Concrete based on Sugar Cane Bagasse Ash and Silica Fume (SCBA-SF) exposed to Na2SO4. Eur. J. Eng. Res. Sci. 2020, 5, 353–357. [Google Scholar] [CrossRef]
- Padhi, R.; Mukharjee, B. Effect of Rice Husk Ash on Compressive Strength of Recycled Aggregate Concrete. J. Basic Appl. Eng. Res. 2017, 4, 356–359. [Google Scholar]
- Gursel, A.P.; Maryman, H.; Ostertag, C. A life-cycle approach to environmental, mechanical, and durability properties of “green” concrete mixes with rice husk ash. J. Clean. Prod. 2016, 112, 823–836. [Google Scholar] [CrossRef]
- Turner, L.K.; Collins, F.G. Carbon dioxide equivalent (CO2-e) emissions: A comparison between geopolymer and OPC cement concrete. Constr. Build. Mater. 2013, 43, 125–130. [Google Scholar] [CrossRef]
- Talha Junaid, M.; Kayali, O.; Khennane, A.; Black, J. A mix design procedure for low calcium alkali activated fly ash-based concretes. Constr. Build. Mater. 2015, 79, 301–310. [Google Scholar] [CrossRef]
- Duxson, P.; Fernández-Jiménez, A.; Provis, J.L.; Lukey, G.C.; Palomo, A.; van Deventer, J.S.J. Geopolymer technology: The current state of the art. J. Mater. Sci. 2007, 42, 2917–2933. [Google Scholar] [CrossRef]
- Hossain, M.M.; Karim, M.R.; Hasan, M.; Hossain, M.K.; Zain, M.F.M. Durability of mortar and concrete made up of pozzolans as a partial replacement of cement: A review. Constr. Build. Mater. 2016, 116, 128–140. [Google Scholar] [CrossRef]
- Hussein, A.; Shafiq, N.; Nuruddin, M.F. Sudanese Sugar Cane Bagasse Ash: A Valuable by-Product for Concrete. Int. J. Struct. Civ. Eng. Res. 2018, 7, 22–28. [Google Scholar] [CrossRef]
- Praveen, V.V.; Ravi, D. Influence of supplementary cementitious materials on strengthand durability characteristics of concrete. Adv. Concr. Constr. 2019, 7, 75–85. [Google Scholar]
- Kupwade-Patil, K.; Allouche Erez, N. Examination of Chloride-Induced Corrosion in Reinforced Geopolymer Concretes. J. Mater. Civ. Eng. 2013, 25, 1465–1476. [Google Scholar] [CrossRef]
- Gunasekara, C.; Law, D.W.; Setunge, S. Long term permeation properties of different fly ash geopolymer concretes. Constr. Build. Mater. 2016, 124, 352–362. [Google Scholar] [CrossRef]
- Ganesan, N.; Abraham, R.; Deepa Raj, S. Durability characteristics of steel fibre reinforced geopolymer concrete. Constr. Build. Mater. 2015, 93, 471–476. [Google Scholar] [CrossRef]
- Xu, H.; Van Deventer, J.S.J. Geopolymerisation of multiple minerals. Miner. Eng. 2002, 15, 1131–1139. [Google Scholar] [CrossRef]
- Yip, C.K.; van Deventer, J.S.J. Microanalysis of calcium silicate hydrate gel formed within a geopolymeric binder. J. Mater. Sci. 2003, 38, 3851–3860. [Google Scholar] [CrossRef]
- Navarro, R.; Alcocel, E.G.; Sánchez, I.; Garcés, P.; Zornoza, E. Corrosion resistance of steel reinforcements embedded in alkali activated ground granulated SiMn slag mortars. Constr. Build. Mater. 2020, 230, 116917. [Google Scholar] [CrossRef]
- Manera, M.; Vennesland, Ø.; Bertolini, L. Chloride threshold for rebar corrosion in concrete with addition of silica fume. Corros. Sci. 2008, 50, 554–560. [Google Scholar] [CrossRef]
- Lee, S.A.; Park, K.P.; Kim, J.; Ann, K.Y. Sensitivity analysis for binders in concrete mix to the corrosion risk of steel embedment in chloride-bearing environments. Constr. Build. Mater. 2020, 251, 118944. [Google Scholar] [CrossRef]
- Heniegal, A.M.; Amin, M.; Youssef, H. Effect of silica fume and steel slag coarse aggregate on the corrosion resistance of steel bars. Constr. Build. Mater. 2017, 155, 846–851. [Google Scholar] [CrossRef]
- Gruszczyński, M.; Lenart, M. Durability of mortars modified with the addition of amorphous aluminum silicate and silica fume. Theor. Appl. Fract. Mech. 2020, 107, 102526. [Google Scholar] [CrossRef]
- Ganesan, K.; Rajagopal, K.; Thangavel, K. Evaluation of bagasse ash as supplementary cementitious material. Cem. Concr. Comp. 2007, 29, 515–524. [Google Scholar] [CrossRef]
- Amin, N.U. Use of Bagasse Ash in Concrete and Its Impact on the Strength and Chloride Resistivity. J. Mater. Civ. Eng. 2011, 23, 717–720. [Google Scholar] [CrossRef]
- Somna, R.; Jaturapitakkul, C.; Rattanachu, P.; Chalee, W. Effect of ground bagasse ash on mechanical and durability properties of recycled aggregate concrete. Mater. Des. 2012, 36, 597–603. [Google Scholar] [CrossRef]
- Cordeiro, G.C.; Toledo Filho, R.D.; Tavares, L.M.; Fairbairn, E.M.R. Experimental characterization of binary and ternary blended-cement concretes containing ultrafine residual rice husk and sugar cane bagasse ashes. Constr. Build. Mater. 2012, 29, 641–646. [Google Scholar] [CrossRef]
- Rukzon, S.; Chindaprasirt, P. Utilization of bagasse ash in high-strength concrete. Mater. Des. 2012, 34, 45–50. [Google Scholar] [CrossRef]
- Franco-Luján, V.A.; Maldonado-García, M.A.; Mendoza-Rangel, J.M.; Montes-García, P. Chloride-induced reinforcing steel corrosion in ternary concretes containing fly ash and untreated sugarcane bagasse ash. Constr. Build. Mater. 2019, 198, 608–618. [Google Scholar] [CrossRef]
- Yashwanth, M.K.; Naresh, B.G.; Sandeep, D.S. Potential of Bagasse Ash as Alternative Cementitious Material in Recycled Aggregate Concrete. Int. J. Innov. Technol. Explor. Eng. 2019, 8, 271–275. [Google Scholar]
- Joshaghani, A.; Moeini, M.A. Evaluating the effects of sugar cane bagasse ash (SCBA) and nanosilica on the mechanical and durability properties of mortar. Constr. Build. Mater. 2017, 152, 818–831. [Google Scholar] [CrossRef]
- Baltazar, M.A.; Landa, A.; Landa, L.; Ariza, H.; Gallego, P.; Ramírez, A.; Croche, R.; Márquez, S. Corrosion of AISI 316 Stainless Steel embedded in Sustainable Concrete made with Sugar Cane Bagasse Ash (SCBA) exposed to marine environment. Eur. J. Eng. Res. Sci. 2020, 5, 127–131. [Google Scholar] [CrossRef][Green Version]
- Ojeda, O.; Mendoza, J.M.; Baltazar, M.A. Influence of sugar cane bagasse ash inclusion on compacting, CBR and unconfined compressive strength of a subgrade granular material. Rev. Alconpat. 2018, 8, 194–208. [Google Scholar]
- ACI. 211.1-91 Standard. Standard Practice for Selecting Proportions for Normal, Heavyweight, and Mass Concrete; ACI: Farmington Hills, MI, USA, 2002. [Google Scholar]
- NMX-C-414-ONNCCE-2014–Industria de la Construcción—Cementantes Hidráulicos—Especificaciones y Métodos de Ensayo; ONNCCE S.C.: México City, Mexico, 2014.
- ASTM. C33/C33M-16e1—Standard Specification for Concrete Aggregates; ASTM International: West Conshohocken, PA, USA, 2016. [Google Scholar]
- ASTM. C29/C29M-07—Standard Test Method for Bulk Density (“Unit Weight”) and Voids in Aggregate; ASTM International: West Conshohocken, PA, USA, 2007. [Google Scholar]
- ASTM. C127-15—Standard Test Method for Relative Density (Specific Gravity) and Absorption of Coarse Aggregate; ASTM International: West Conshohocken, PA, USA, 2015. [Google Scholar]
- ASTM. C128-15—Standard Test Method for Relative Density (Specific Gravity) and Absorption of Fine Aggregate; ASTM International: West Conshohocken, PA, USA, 2015. [Google Scholar]
- Baltazar, M.A.; Márquez, S.; Landa, L.; Croche, R.; López, O. Effect of the type of curing on the corrosion behavior of concrete exposed to urban and marine environment. Eur. J. Eng. Res. Sci. 2020, 5, 91–95. [Google Scholar] [CrossRef]
- Anacta, E.T. Effect of Salt-contaminated mixing water and aggregates on time-to-initiate rebar corrosion in concrete. Int. J. Sci. Eng. Res. 2013, 4, 1524–1527. [Google Scholar]
- Hernández, Y.; De Rincón, O.; Torres, A.; Delgado, S.; Rodríguez, J.; Morón, O. Reinforcement corrosion rate and crack width relationship in concrete beams exposed to simulated marine environment. Rev. Alconpat. 2016, 6, 271–282. [Google Scholar]
- Dousti, A.; Moradian, M.; Taheri, S.; Rashetnia, R.; Shekarchi, M. Corrosion assessment of RC deck in a Jetty structure damaged by chloride attack. J. Perform. Constr. Facil. 2013, 27, 519–528. [Google Scholar] [CrossRef]
- NMX-C-156-ONNCCE-2010–Determinación de Revenimiento en Concreto Fresco; ONNCCE S.C.: México City, Mexico, 2010.
- ASTM. C 1064/C1064M–08–Standard Test Method for Temperature of Freshly Mixed Hydraulic-426 Cement Concrete; ASTM International: West Conshohocken, PA, USA, 2008. [Google Scholar]
- NMX-C-162-ONNCCE-2014: Determinación de la Masa Unitaria, Cálculo del Rendimiento y Contenido de Aire del Concreto Fresco por el Método Gravimétrico; ONNCCE S.C.: México City, Mexico, 2014.
- NMX-C-083-ONNCCE-2014: Determinación de la Resistencia a la Compresión de Especímenes—Método de Prueba; ONNCCE S.C.: México City, México, 2014.
- NMX-C-159-ONNCCE-2004, Industria de la Construcción—Concreto—Elaboración y Curado de Especímenes en el Laboratorio; ONNCCE S.C.: México City, Mexico, 2004.
- ASTM. C 876-15 —Standard Test Method for Corrosion Potentials of Uncoated Reinforcing Steel in Concrete; ASTM International: West Conshohocken, PA, USA, 2015. [Google Scholar]
- Song, H.W.; Saraswathy, V. Corrosion Monitoring of Reinforced Concrete Structures—A Review. Int. J. Electrochem. Sci. 2007, 2, 1–28. [Google Scholar]
- ASTM. G 59-97 (2014)–Standard Test Method for Conducting Potentiodynamic Polarization Resistance Measurements; ASTM International: West Conshohocken, PA, USA, 2014. [Google Scholar]
- Baltazar, M.A.; Maldonado, M.; Tello, M.; Santiago, G.; Coca, F.; Cedano, A.; Barrios, C.P.; Nuñez, R.; Zambrano, P.; Gaona, C.; et al. Efficiency of Galvanized Steel Embedded in Concrete Previously Contaminated with 2, 3 and 4% of NaCl. Int. J. Electrochem. Sci. 2012, 7, 2997–3007. [Google Scholar]
- Fajardo, S.; Bastidas, D.M.; Criado, M.; Romero, M.; Bastidas, J.M. Corrosion behaviour of a new low-nickel stainless steel in saturated calcium hydroxide solution. Constr. Build. Mater. 2011, 25, 4190–4196. [Google Scholar] [CrossRef]
- Baltazar, M.A.; Santiago, G.; Moreno, V.M.; Croche, R.; De la Garza, M.; Estupiñan, F.; Zambrano, P.; Gaona, G. Electrochemical behaviour of galvanized steel embedded in concrete exposed to sand contaminated with NaCl. Int. J. Electrochem. Sci. 2016, 11, 10306–10319. [Google Scholar] [CrossRef]
- Feliu, S.; González, J.A.; Andrade, C. Electrochemical methods for on-site determinations of corrosion rates of rebars. In Techniques to Assess the Corrosion Activity of Steel Reinforced Concrete Structures; ASTM STP 1276; Berke, N.S., Escalante, E., Nmai, C.K., Whiting, D., Eds.; ASTM International: West Conshohocken, PA, USA, 1996; pp. 107–118. [Google Scholar]
- González, J.A.; Ramírez, E.; Bautista, A.; Feliú, S. The behaviour of pre-rusted steel in concrete. Cem. Concr. Res. 1996, 26, 501–511. [Google Scholar] [CrossRef]
- Baltazar, M.A.; Santiago, G.; Gaona, C.; Maldonado, M.; Barrios, C.P.; Nunez, R.; Perez, T.; Zambrano, P.; Almeraya, F. Evaluation of the corrosion at early age in reinforced concrete exposed to sulfates. Int. J. Electrochem. Sci. 2012, 7, 588–600. [Google Scholar]
- Dehwah, H.A.F.; Maslehuddin, M.; Austin, S.A. Long-term effect of sulfate ions and associated cation type on chloride-induced reinforcement corrosion in Portland cement concretes. Cem. Concr. Comp. 2002, 24, 17–25. [Google Scholar] [CrossRef]
- Criado, M.; Bastidas, D.M.; Fajardo, S.; Fernández-Jiménez, A.; Bastidas, J.M. Corrosion behaviour of a new low-nickel stainless steel embedded in activated fly ash mortars. Cem. Concr. Comp. 2011, 33, 644–652. [Google Scholar] [CrossRef]
- Monticelli, C.; Criado, M.; Fajardo, S.; Bastidas, J.M.; Abbottoni, M.; Balbo, A. Corrosion behavior of low Ni austenitic stainless steel in carbonated chloride-polluted alkali-activated fly ash mortar. Cem. Concr. Res. 2014, 55, 49–58. [Google Scholar] [CrossRef]
- Fajardo, S.; Bastidas, D.M.; Ryan, M.P.; Criado, M.; McPhail, D.S.; Bastidas, J.M. Low-nickel stainless steel passive film in simulated concrete pore solution: A SIMS study. Appl. Surf. Sci. 2010, 256, 6139–6143. [Google Scholar] [CrossRef]
- Pradhan, B. Corrosion behavior of steel reinforcement in concrete exposed to composite chloride–sulfate environment. Constr. Build. Mater. 2014, 72, 398–410. [Google Scholar] [CrossRef]
- Alireza, S.; Amerib, F.; Dorostkarc, F.; Ahmadic, M. Rice husk ash as a partial replacement of cement in high strength concrete containing micro silica: Evaluating durability and mechanical properties. Case Stud. Constr. Mater. 2017, 7, 73–81. [Google Scholar]
- Li, Y.; Wang, R.; Li, S.; Zhao, Y.; Qin, Y. Resistance of recycled aggregate concrete containing low-and high-volume fly ash against the combined action of freeze-thaw cycles and sulfate attack. Constr. Build. Mater. 2018, 166, 2–34. [Google Scholar] [CrossRef]
- Wang, D.; Zhao, X.; Meng, Y.; Chen, Z. Durability of concrete containing fly ash and silica fume against combined freezing-thawing and sulfate attack. Constr. Build. Mater. 2017, 147, 398–406. [Google Scholar] [CrossRef]
- Fajardo, S.; Bastidas, D.M.; Ryan, M.P.; Criado, M.; McPhail, D.S.; Morris, R.J.H.; Bastidas, J.M. Low energy SIMS characterization of passive oxide films formed on a low-nickel stainless steel in alkaline media. Appl. Surf. Sci. 2014, 288, 423–429. [Google Scholar] [CrossRef]
- Baltazar, M.A.; Bastidas, D.M.; Santiago, G.; Mendoza, J.M.; Gaona, C.; Bastidas, J.M.; Almeraya, F. Effect of Silica Fume and Fly Ash Admixtures on the Corrosion Behavior of AISI 304 Embedded in Concrete Exposed in 3.5% NaCl Solution. Materials 2019, 12, 4007. [Google Scholar] [CrossRef] [PubMed]
- Bautista, A.; Blanco, G.; Velasco, F. Corrosion behaviour of low-nickel austenitic stainless steels reinforcements: A comparative study in simulated pore solutions. Cem. Concr. Res. 2006, 36, 1922–1930. [Google Scholar] [CrossRef]
- Fajardo, S.; Bastidas, D.M.; Criado, M.; Bastidas, J.M. Electrochemical study on the corrosion behavior of a new low-nickel stainless steel in carbonated alkaline solution in the presence of chlorides. Electrochim. Acta 2014, 129, 160–170. [Google Scholar] [CrossRef]
- Baltazar, M.A.; Mendoza, J.M.; Croche, R.; Gaona, C.; Hernández, C.; López, L.; Olguín, F.; Almeraya, F. Corrosion Behavior of Galvanized Steel embedded in concrete exposed to soil type MH contaminated with chlorides. Front. Mater. 2019, 6. [Google Scholar] [CrossRef]





| Physical Properties of Materials | Standard | Aggregate | |
|---|---|---|---|
| Coarse | Fine | ||
| Maximum Aggregate Size (mm) | ASTM C33/C33M–16e1 | 19.05 | - |
| Bulk Density (Unit Weight) (kg/m3) | ASTM C29/C29M–07 | 1433 | 1695 |
| Relative Density (Specific Gravity) | ASTM C-127-15 ASTM C-128-15 | 2.6 | 2.2 |
| Absorption (%) | ASTM C-127-15ASTM C-128-15 | 1.7 | 1.8 |
| Fineness Modulus | ASTM C33/C33M–16e1 | - | 2.94 |
| Materials | 100% OPC | 10% SCBA-SF | 20% SCBA-SF | 30% SCBA-SF |
|---|---|---|---|---|
| Cement | 315 | 283.50 | 252.00 | 220.50 |
| Water | 205 | 205 | 205 | 205 |
| SCBA | 0 | 15.75 | 31.50 | 47.25 |
| SF | 0 | 15.75 | 31.50 | 47.25 |
| Coarse aggregate | 886 | 886 | 886 | 886 |
| Fine aggregate | 770 | 770 | 770 | 770 |
| Test | 100% OPC 30R | 10% SCBA-SF | 20% SCBA-SF | 30% SCBA-SF |
|---|---|---|---|---|
| Slump, cm [76] | 7.0 | 6.0 | 5.5 | 5.0 |
| Temperature, °C [77] | 24.0 | 23.5 | 23.5 | 22.5 |
| Density, kg/m3 [78] | 2345.83 | 2307.29 | 2301.04 | 2276.04 |
| Concrete Mixture | Compressive Strength (MPa) | ||
|---|---|---|---|
| 7 Days | 14 Days | 28 Days | |
| MC = 100% OPC | 24.3 | 28.3 | 31.2 |
| M10 = 10% (SCBA-SF) | 21.5 | 25.5 | 28.6 |
| M20 = 20% (SCBA-SF) | 22.4 | 26.1 | 30.0 |
| M30 = 30% (SCBA-SF) | 16.7 | 21.1 | 24.1 |
| Steel | Element, wt.% | |||||||||
|---|---|---|---|---|---|---|---|---|---|---|
| C | Si | Mn | P | S | Cr | Ni | Mo | Cu | Fe | |
| AISI 1018 CS | 0.20 | 0.22 | 0.72 | 0.021 | 0.020 | 0.13 | 0.06 | 0.02 | 0.18 | Balance |
| AISI 304 SS | 0.04 | 0.32 | 1.75 | 0.032 | 0.001 | 18.20 | 8.13 | 0.22 | 0.21 | Balance |
| Sample/Concrete Composition | Electrolytes | |||
|---|---|---|---|---|
| DI-Water | Solution 3.5 wt.% MgSO4 | |||
| AISI 1018 | AISI 304 | AISI 1018 | AISI 304 | |
| MC: Control/100% OPC | MC-1-18 | MC-1-304 | MC-2-18 | MC-2-304 |
| M10: Mixture/90% OPC, 10% SCBA-SF | M10-1-18 | M10-1-304 | M10-2-18 | M10-2-304 |
| M20: Mixture/80% OPC, 20% SCBA-SF | M20-1-18 | M20-1-304 | M20-2-18 | M20-2-304 |
| M30: Mixture/70% OPC, 30% SCBA-SF | M30-1-18 | M30-1-304 | M30-2-18 | M30-2-304 |
| Ecorr vs. CSE | Corrosion Condition |
|---|---|
| Ecorr > −200 | Low (10% of risk corrosion) |
| −200 > Ecorr > −350 | Intermediate corrosion risk |
| −350 > Ecorr > −500 | High (<90% of risk corrosion) |
| Ecorr < −500 | Severe Corrosion |
| icorr (µA/cm2) | vcorr (mm/y) | Corrosion Level |
|---|---|---|
| ≤0.1 | ≤0.001 | Negligible (Passivity) |
| 0.1–0.5 | 0.001–0.005 | Low Corrosion |
| 0.5–1 | 0.005–0.010 | Moderate Corrosion |
| >1 | >0.010 | High Corrosion |
© 2020 by the authors. Licensee MDPI, Basel, Switzerland. This article is an open access article distributed under the terms and conditions of the Creative Commons Attribution (CC BY) license (http://creativecommons.org/licenses/by/4.0/).
Share and Cite
Ariza-Figueroa, H.A.; Bosch, J.; Baltazar-Zamora, M.A.; Croche, R.; Santiago-Hurtado, G.; Landa-Ruiz, L.; Mendoza-Rangel, J.M.; Bastidas, J.M.; Almeraya-Calderón, F.; Bastidas, D.M. Corrosion Behavior of AISI 304 Stainless Steel Reinforcements in SCBA-SF Ternary Ecological Concrete Exposed to MgSO4. Materials 2020, 13, 2412. https://doi.org/10.3390/ma13102412
Ariza-Figueroa HA, Bosch J, Baltazar-Zamora MA, Croche R, Santiago-Hurtado G, Landa-Ruiz L, Mendoza-Rangel JM, Bastidas JM, Almeraya-Calderón F, Bastidas DM. Corrosion Behavior of AISI 304 Stainless Steel Reinforcements in SCBA-SF Ternary Ecological Concrete Exposed to MgSO4. Materials. 2020; 13(10):2412. https://doi.org/10.3390/ma13102412
Chicago/Turabian StyleAriza-Figueroa, Hilda A., Juan Bosch, Miguel Angel Baltazar-Zamora, René Croche, Griselda Santiago-Hurtado, Laura Landa-Ruiz, José M. Mendoza-Rangel, José M. Bastidas, Facundo Almeraya-Calderón, and David M. Bastidas. 2020. "Corrosion Behavior of AISI 304 Stainless Steel Reinforcements in SCBA-SF Ternary Ecological Concrete Exposed to MgSO4" Materials 13, no. 10: 2412. https://doi.org/10.3390/ma13102412
APA StyleAriza-Figueroa, H. A., Bosch, J., Baltazar-Zamora, M. A., Croche, R., Santiago-Hurtado, G., Landa-Ruiz, L., Mendoza-Rangel, J. M., Bastidas, J. M., Almeraya-Calderón, F., & Bastidas, D. M. (2020). Corrosion Behavior of AISI 304 Stainless Steel Reinforcements in SCBA-SF Ternary Ecological Concrete Exposed to MgSO4. Materials, 13(10), 2412. https://doi.org/10.3390/ma13102412

