Effect of Graphene Carbon Nitride on Ultraviolet-Curing Coatings
Abstract
1. Introduction
2. Experimental Details
2.1. Preparation of g-C3N4
2.2. Preparation of Compound UV-Curable Coatings
2.3. Characterization
2.3.1. XRD
2.3.2. FTIR Spectra
2.3.3. SEM Observation
2.3.4. Thermogravimetric (TG) Analysis
2.3.5. Pencil Hardness
2.3.6. Adhesion
2.3.7. Acid and Alkaline Resistance
2.3.8. Gel Content
2.3.9. Tack Free Time
3. Results and Discussion
3.1. g-C3N4
3.1.1. XRD
3.1.2. FTIR
3.2. g-C3N/UV Compound Coatings
3.2.1. Dispersivity
3.2.2. Composition
3.2.3. Hardness and Abrasion Resistance
3.2.4. Adhesion
3.2.5. Acid and Alkaline Resistance
3.2.6. Gel Content
3.2.7. Thermal Stability
3.3. Mechanism
3.3.1. Influence of Oxygen (O2) Inhibition on the Properties of Cured System
① Mechanical Properties
② The Tack Free Time
③ Gel Content
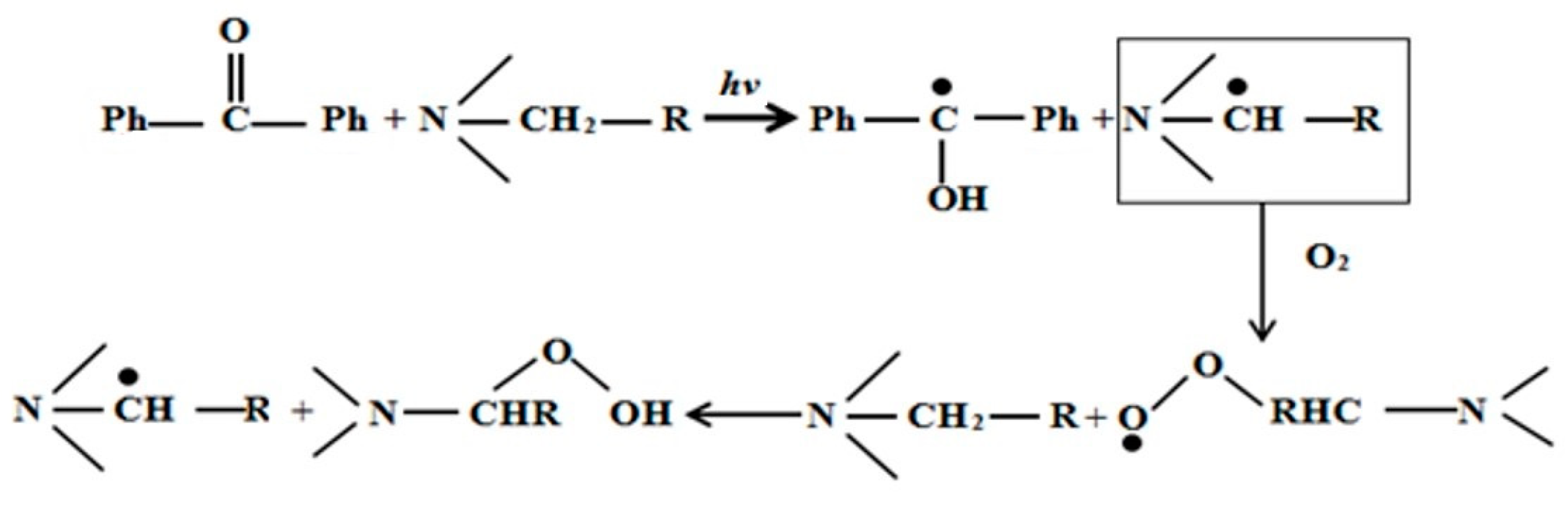
3.3.2. Mechanism of O2 Inhibition
3.3.3. Prevention of O2 Inhibition
3.3.4. Mechanism Analysis of g-C3N4
4. Conclusions
Author Contributions
Funding
Acknowledgments
Conflicts of Interest
References
- Wu, J.B.; Ma, G.Z.; Li, P.; Ling, L.X.; Wang, B.J. Surface modification of nanosilica with acrylsilane-containing tertiary amine structure and their effect on the properties of UV-curable coating. J. Coat. Technol. Res. 2014, 11, 387–395. [Google Scholar] [CrossRef]
- Chen, J.Q.; Zhao, H.; Zheng, H.F.; Chen, C.M.; Li, Y.; Sun, K. Research and design of electrodeless UV curing lamp with elliptic concentrator. Electr. Mach. Control 2017, 21, 109–113. [Google Scholar] [CrossRef]
- Wang, Z.R.; Zhang, G.H.; Guo, M.Y. Preparation and Optical Properties of N-doped Carbon Dots as Light Stabilizer. Chin. J. Lumin. 2016, 37, 655–661. [Google Scholar] [CrossRef]
- Radebner, J.; Eibel, A.; Leypold, M.; Gorsche, C.; Schuh, L.; Fischer, R.; Torvisco, A.; Neshchadin, D.; Geier, R.; Moszner, N.; et al. Tetraacylgermanes: Highly Efficient Photoinitiators for Visible-Light-Induced Free-Radical Polymerization. Angew. Chem. Int. Ed. 2017, 56, 3103–3107. [Google Scholar] [CrossRef] [PubMed]
- Marshall, D.L.; Gryn’ova, G.; Coote, M.L.; Barkerbd, P.J.; Blanksbyabe, S.J. Experimental evidence for competitive NO and OC bond homolysis in gas-phase alkoxyamines. Int. J. Mass Spectrom. 2015, 378, 38–47. [Google Scholar] [CrossRef]
- Zhang, Y.T.; Liu, X.X.; Dong, Z.; Cui, Y.Y. Study on photostabilization in situ of reactive hindered amine light stabilizers applied to UV-curable coatings. J. Coat. Technol. Res. 2012, 9, 459–466. [Google Scholar] [CrossRef]
- Sangermano, M.; Borlatto, E.; Bytner, F.D.D.; Priola, A.; Rizza, G. Photostabilization of cationic UV-cured coatings in the presence of nanoTiO2. Prog. Org. Coat. 2007, 59, 122–125. [Google Scholar] [CrossRef]
- Kaboorani, A.; Auclair, N.; Riedl, B.; Landry, V. Physical and morphological properties of UV-cured cellulose nanocrystal (CNC) based nanocomposite coatings for wood furniture. Prog. Org. Coat. 2016, 93, 17–22. [Google Scholar] [CrossRef]
- Xu, J.C.; Jiang, Y.; Qiu, F.X.; Dai, Y.T.; Yang, D.Y.; Yu, Z.P.; Yang, P.F. Synthesis, mechanical properties and iron surface conservation behavior of UV-curable waterborne polyurethane-acrylate coating modified with inorganic carbonate. Polym. Bull. 2018, 75, 4713–4734. [Google Scholar] [CrossRef]
- Qi, G.; An, Q.F.; Zhang, Q. Study on Preparation and Properties of UV-Curable Nano Hybrid Fluorinated Silicone Resin. Paint Coat. Ind. 2018, 48, 54–58. [Google Scholar]
- Liu, F.; Liu, G. Enhancement of UV-aging resistance of UV-curable polyurethane acrylate coatings via incorporation of hindered amine light stabilizers-functionalized TiO2-SiO2 nanoparticles. J. Polym. Res. 2018, 25, 59. [Google Scholar] [CrossRef]
- Zhang, X.; Xie, X.; Wang, H.; Zhang, J.; Pan, B.; Xie, Y. Enhanced photoresponsive ultrathin graphitic-phase C3N4 nanosheets for bioimaging. J. Am. Chem. Soc. 2013, 135, 18–21. [Google Scholar] [CrossRef] [PubMed]
- Wang, X.C.; Blechert, S.; Antonietti, M. Polymeric Graphitic Carbon Nitride for Heterogeneous Photocatalysis. ACS Catal. 2012, 2, 1596–1606. [Google Scholar] [CrossRef]
- Ong, W.J.; Tan, L.L.; Ng, Y.H.; Yong, S.T.; Chai, S.P. Graphitic Carbon Nitride (g-C3N4) -Based Photocatalysts for Artificial Photosynthesis and Environmental Remediation: Are We a Step Closer to Achieving Sustainability? Chem. Rev. 2016, 116, 7159–7329. [Google Scholar] [CrossRef] [PubMed]
- Zhang, F.L.; Duan, F.; Chen, M.Q. Preparation of Bi2S3/g-C3N4 photocatalysts by coupling with narrow-band-gap semiconductor and the photocatalytic activities. Chem. Eng. 2017, 45, 18–24. [Google Scholar] [CrossRef]
- Zhang, Q.Z.; Deng, J.J.; Xu, Z.H. High-Efficiency Broadband C3N4 Photocatalysts: Synergistic Effects from Upconversion and Plasmons. ACS Catal. 2017, 7, 6225–6234. [Google Scholar] [CrossRef]
- Liao, H.Z.; Zhang, B.; Huang, L.H.; Dong, M.; Jiao, Z.P.; Xie, Y.S. The utilization of carbon nitride to reinforce the mechanical and thermal properties of UV-curable waterborne polyurethane acrylate coatings. Prog. Org. Coat. 2015, 89, 35–41. [Google Scholar] [CrossRef]
- Qian, X.D.; Jiang, S.H. Modification of graphene with organic/inorganic silicon-based materials and its reinforcement on the UV-curing polyurethane composite coatings. Polym. Compos. 2016, 39, 746–754. [Google Scholar] [CrossRef]
- Tang, H.; Chang, S.F.; Tang, G.G.; Liang, W. AgBr and g-C3N4 co-modified Ag2CO3 photocatalyst: A novel multi-heterostructured photocatalyst with enhanced photocatalytic activity. Appl. Surf. Sci. 2017, 391, 440–448. [Google Scholar] [CrossRef]
- Sharif, M.; Pourabbas, B.; Sangermano, M.; Sadeghi, F. The Effect of Graphene Oxide on UV Curing Kinetics and Properties of SU8 Nanocomposites. Polym. Int. 2016, 66, 405–417. [Google Scholar] [CrossRef]
- Li, Y.P.; Wu, S.L.; Huang, L.Y.; Xu, H.; Zhang, R.X.; Qu, M.L.; Gao, Q.; Li, H.M. g-C3N4, modified Bi2O3, composites with enhanced visible-light photocatalytic activity. J. Phys. Chem. Solids 2015, 76, 112–119. [Google Scholar] [CrossRef]
- Ang, T.C.D. Effect of reactive diluent on physicochemical and thermal properties of UV-curable alkyd coatings. J. Coat. Technol. Res. 2015, 11, 1–8. [Google Scholar] [CrossRef]
- Tuba, C.C.; Kaya, K.; Serhatlı, I.E. Boron containing UV-curable epoxy acrylate coatings. Prog. Org. Coat. 2014, 77, 1911–1918. [Google Scholar] [CrossRef]
- Ligon, S.C.; Husár, B.; Wutzel, H.; Richard, H.; Robert, L. Strategies to Reduce Oxygen Inhibition in Photoinduced Polymerization. Chem. Rev. 2014, 114, 557–589. [Google Scholar] [CrossRef]












| Time/h | 2 | 4 | 6 | 8 | 10 |
|---|---|---|---|---|---|
| None g-C3N4 | unchanged | unchanged | soften, little exfoliated | badly worn | entirely exfoliated |
| 0.3% g-C3N4 | unchanged | unchanged | soften | little worn | badly worn |
| Time/h | 2 | 4 | 6 | 8 | 10 |
|---|---|---|---|---|---|
| None g-C3N4 | unchanged | unchanged | slightly softened | soften, little exfoliated | badly worn |
| 0.3% g-C3N4 | unchanged | unchanged | unchanged | unchanged | soften, unexfoliated |
| Pure Coating (Aerobic) | Pure Coating (Anaerobic) | Composite Coating (Aerobic) | Composite Coating (Anaerobic) | |
|---|---|---|---|---|
| Pencil hardness/H | 2 | 3 | 5 | 6 |
| Adhesion/class | 3 | 3 | 1 | 2 |
| Coatings | Pure Coating (Aerobic) | Pure Coating (Anaerobic) | Composite Coating (Aerobic) | Composite Coating (Anaerobic) |
|---|---|---|---|---|
| Tack Free Time/s | 680 | 260 | 730 | 270 |
| Coatings | Pure Coating (Aerobic) | Pure Coating (Anaerobic) | Composite Coating (Aerobic) | Composite Coating (Anaerobic) |
|---|---|---|---|---|
| Gel content/s | 40 | 78 | 41 | 73 |
© 2019 by the authors. Licensee MDPI, Basel, Switzerland. This article is an open access article distributed under the terms and conditions of the Creative Commons Attribution (CC BY) license (http://creativecommons.org/licenses/by/4.0/).
Share and Cite
Hang, Z.; Yu, H.; Lu, Y.; Huai, X.; Luo, L. Effect of Graphene Carbon Nitride on Ultraviolet-Curing Coatings. Materials 2020, 13, 153. https://doi.org/10.3390/ma13010153
Hang Z, Yu H, Lu Y, Huai X, Luo L. Effect of Graphene Carbon Nitride on Ultraviolet-Curing Coatings. Materials. 2020; 13(1):153. https://doi.org/10.3390/ma13010153
Chicago/Turabian StyleHang, Zusheng, Huili Yu, Yan Lu, Xu Huai, and Lingpeng Luo. 2020. "Effect of Graphene Carbon Nitride on Ultraviolet-Curing Coatings" Materials 13, no. 1: 153. https://doi.org/10.3390/ma13010153
APA StyleHang, Z., Yu, H., Lu, Y., Huai, X., & Luo, L. (2020). Effect of Graphene Carbon Nitride on Ultraviolet-Curing Coatings. Materials, 13(1), 153. https://doi.org/10.3390/ma13010153
