Effect of Temperature on Material Properties of Carbon Fiber Reinforced Polymer (CFRP) Tendons: Experiments and Model Assessment
Abstract
1. Introduction
2. Experimental Program
2.1. Material Characteristics and Specimen Details
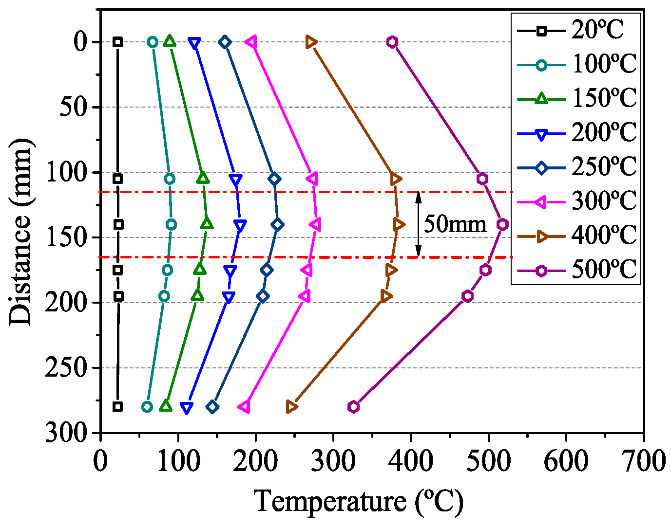
2.2. Testing Setups
2.3. Testing Procedure
3. Discussion of the Test Results
3.1. Thermal Expansion Tests
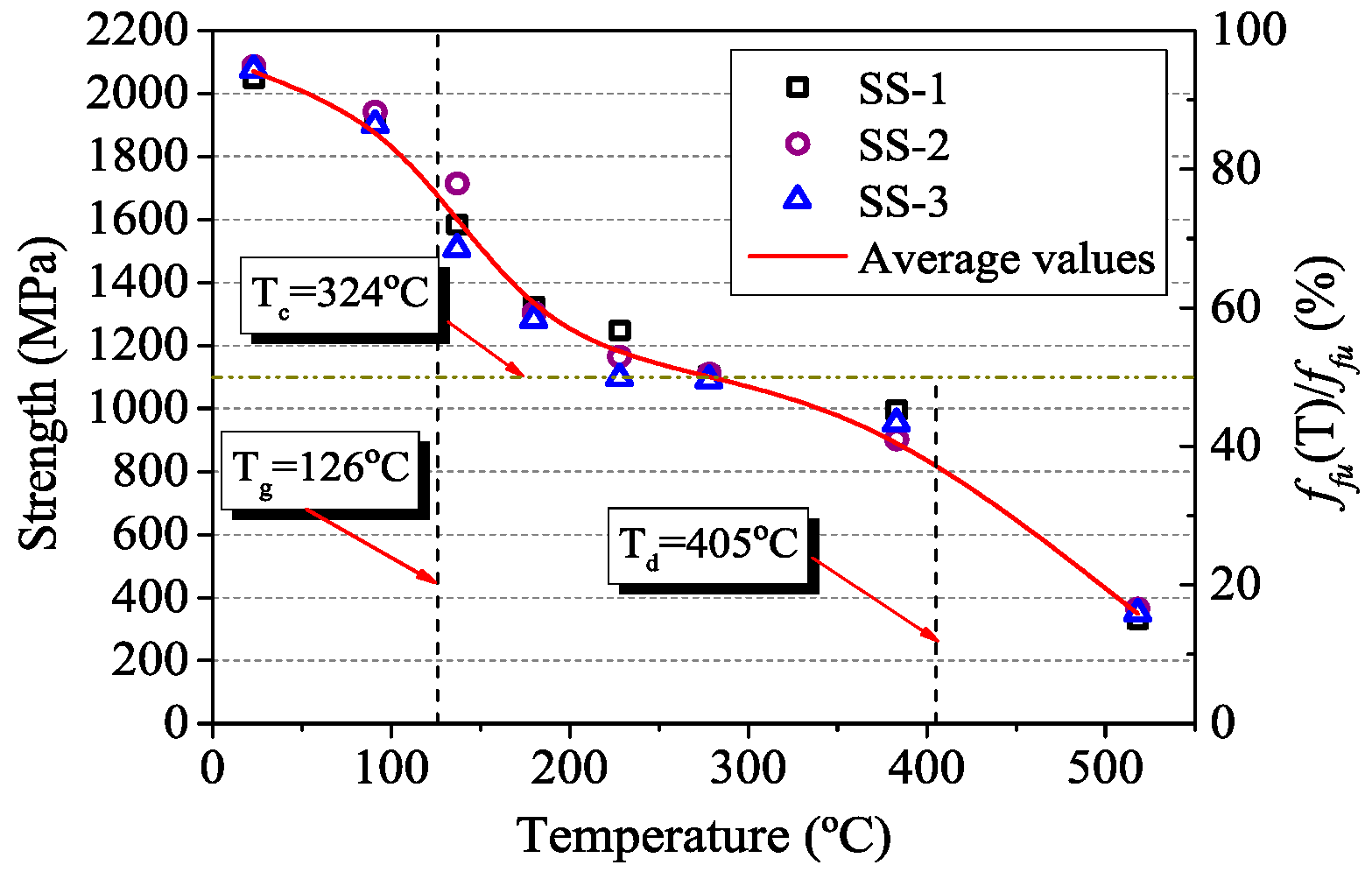
3.2. Steady State Tests
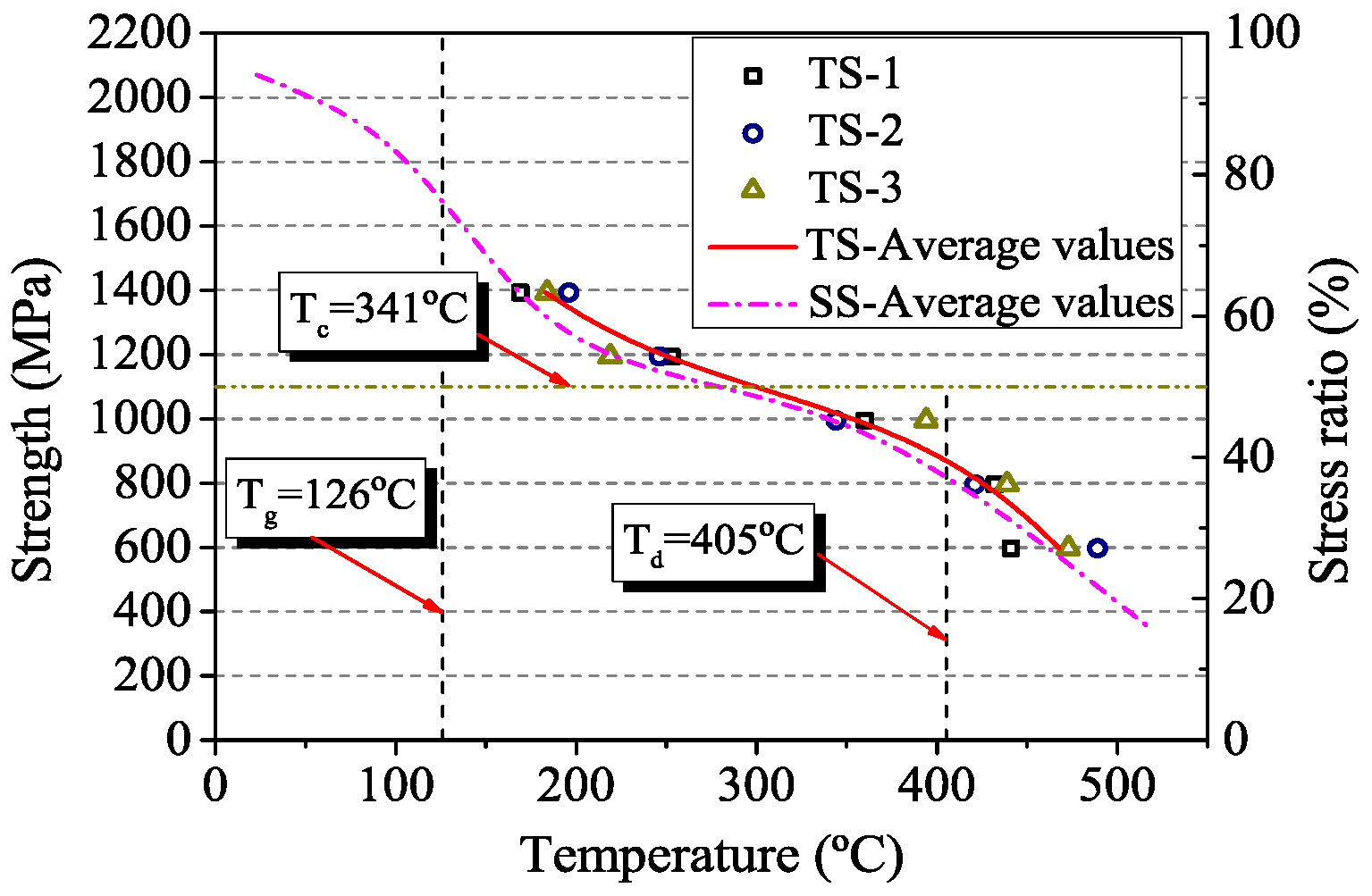
3.3. Transient State Tests
4. Modeling of Strength Properties at Elevated Temperatures
4.1. Description of Models
4.2. Results and Discussion
5. Conclusions
- (1)
- In the thermal expansion tests, experimental results reported herein confirmed that the longitudinal deformation of CFRP tendons is shrinkage at elevated temperatures. The coefficient of thermal expansion decreases with the increase of temperature. The CTE of CFRP tendons predicted by polynomial function is in good agreement with the experimental data before 300 °C.
- (2)
- In the steady state tests, the tensile strength of CFRP tendons shows a characteristic of degradation with temperature. Especially, in the temperature range of glass transformation and decomposition of the resin, it decreases rapidly. When heated 324 °C, the retained strength of CFRP tendons is 50%. Hence the critical temperature of CFRP tendons in the steady state tests is 324 °C.
- (3)
- The transient temperature test is more representative for actual fire conditions than the steady state test. The fire resistance time of CFRP tendons increases with the decrease of loading level. Corresponding to the steady state test results, the critical temperature of CFRP tendons in the transient state tests is 341 °C.
- (4)
- Based on experimental data, all models suggested in different literatures can reasonably simulate the variation of tensile strength in the temperature range of the test. The new model proposed in the present study seems to be particularly well suited for describing the strength degradation of CFRP tendons as a function of temperature. It can be used in evaluating fire response of concrete members strengthened with CFRP tendons.
Author Contributions
Funding
Acknowledgments
Conflicts of Interest
References
- Aslam, M.; Shafigh, P.; Jumaat, M.Z.; Shah, S.N.R. Strengthening of RC beams using prestressed fiber reinforced polymers—A review. Constr. Build. Mater. 2015, 82, 235–256. [Google Scholar] [CrossRef]
- Zhang, S.S.; Yu, T.; Chen, G.M. Reinforced concrete beams strengthened in flexure with near-surface mounted (NSM) CFRP strips: Current status and research needs. Compos. Part B Eng. 2017, 131, 30–42. [Google Scholar] [CrossRef]
- Bai, Y.; Keller, T.; Vallée, T. Modeling of stiffness of FRP composites under elevated and high temperatures. Compos. Sci. Technol. 2008, 68, 3099–3106. [Google Scholar] [CrossRef]
- Bai, Y.; Keller, T. Modeling of mechanical response of FRP composites in fire. Compos. Part A Appl. Sci. Manuf. 2009, 40, 731–738. [Google Scholar] [CrossRef]
- Keller, T.; Zhou, A.; Tracy, C.; Hugi, E.; Schnewlin, P. Experimental study on the concept of liquid cooling for improving fire resistance of FRP structures for construction. Compos. Part A Appl. Sci. Manuf. 2005, 36, 1569–1580. [Google Scholar] [CrossRef]
- Yu, B.; Kodur, V. Effect of temperature on strength and stiffness properties of near-surface mounted FRP reinforcement. Compos. Part B Eng. 2014, 58, 510–517. [Google Scholar] [CrossRef]
- Zhu, H.; Wu, G.; Zhang, L.; Zhang, J.; Hui, D. Experimental study on the fire resistance of RC beams strengthened with near-surface-mounted high-Tg BFRP bars. Compos. Part B Eng. 2014, 60, 680–687. [Google Scholar] [CrossRef]
- Saaf, M. Effect of fire on FRP reinforced concrete members. Compos. Struct. 2002, 58, 11–20. [Google Scholar] [CrossRef]
- Blontrock, H.; Taerwe, L.; Matthys, S. Properties of fiber reinforced plastics at elevated temperatures with regard to fire resistance of reinforced concrete members. Spec. Publ. 1999, 188, 43–54. [Google Scholar]
- Wang, Y.C.; Wong, P.M.H.; Kodur, V. An experimental study of the mechanical properties of fibre reinforced polymer (FRP) and steel reinforcing bars at elevated temperatures. Compos. Struct. 2007, 80, 131–140. [Google Scholar] [CrossRef]
- Chowdhury, E.U.; Eedson, R.; Bisby, L.A.; Green, M.F.; Benichou, N. Mechanical Characterization of Fibre Reinforced Polymers Materials at High Temperature. Fire Technol. 2009, 47, 1063–1080. [Google Scholar] [CrossRef]
- Correia, J.R.; Gomes, M.M.; Pires, J.M.; Branco, F.A. Mechanical behaviour of pultruded glass fibre reinforced polymer composites at elevated temperature: Experiments and model assessment. Compos. Struct. 2013, 98, 303–313. [Google Scholar] [CrossRef]
- Bisby, L.A. Fire Behaviour of Fiber-Reinforced Polymer (FRP) Reinforced or Confined Concrete. Ph.D. Thesis, Queen’s University, Kinston, ON, Canada, 2003. [Google Scholar]
- Gibson, A.G.; Wu, Y.S.; Evans, J.T.; Mouritz, A.P. Laminate Theory Analysis of Composites under Load in Fire. J. Compos. Mater. 2006, 40, 639–658. [Google Scholar] [CrossRef]
- Wang, K.; Young, B.; Smith, S.T. Mechanical properties of pultruded carbon fibre-reinforced polymer (CFRP) plates at elevated temperatures. Eng. Struct. 2011, 33, 2154–2161. [Google Scholar] [CrossRef]
- Hajiloo, H.; Green, M.F.; Gales, J. Mechanical properties of GFRP reinforcing bars at high temperatures. Constr. Build. Mater. 2018, 162, 142–154. [Google Scholar] [CrossRef]
- Xiaolu, W.; Xiaoxiong, Z. Experimental investigation into mechanical behavior of GFRP rebars at elevated temperature. J. South China Uni. Technol. 2011, 39, 75–81. [Google Scholar]
- ASTM Committee. Standard Test Methods for Assignment of the Glass Transition Temperatures by Differential Scanning Calorimetry; ASTM: New York, NY, USA, 2014. [Google Scholar]
- Minsun, C.; Houman, J.; Zejin, L. Determination of thermal decomposition kinetic parameters of glass-fiber/epoxy composite. High Power Laser Part. Beams 2010, 22, 1969–1972. [Google Scholar] [CrossRef]
- Fei, Z.; Jiwen, Z.; Yongming, T.; Dong, Y.; Chao, W. Experimental investigation of the mechanical properties of carbon fibre reinforced polymer (CFRP) tendons during and after elevated temperatures. J. Compos. Mater. 2018. (Awaiting Reviewer Scores). [Google Scholar]
- American Concrete Institue. Guide Test Methods for Fiber-Reinforced Polymers (FRP) for Reinforcing or Strengthening Concrete Structures; ACI: Farmington Hills, MI, USA, 2004. [Google Scholar]
- China Architecture & Building. Technical Code for Infrastructure Application of FRP Composites; China Architecture & Building Press: Beijing, China, 2011. (In Chinese) [Google Scholar]
- American Concrete Institue. Guide for the Design and Construction of Concrete Reinforced with FRP Bars; ACI: Farmington Hills, MI, USA, 2006. [Google Scholar]
- Rogers, K.F.; Phillips, L.N.; Kingston-Lee, D.M.; Yates, B.; Overy, M.J.; Sargent, J.P.; McCalla, B.A. The thermal expansion of carbon fibre-reinforced plastics: Part 1 The influence of fibre type and orientation. J. Mater. Sci. 1977, 12, 718–734. [Google Scholar] [CrossRef]
- Chen, Y.; Guo, Y.; Dai, Y. Polymer Matrix Composites; Chemical Industry Press: Beijing, China, 2010; p. 15. [Google Scholar]
- Wang, Y.C.; Kodur, V. Variation of strength and stiffness of fibre reinforced polymer reinforcing bars with temperature. Cem. Concr. Compos. 2005, 27, 864–874. [Google Scholar] [CrossRef]
- Alsayed, S.; Al-Salloum, Y.; Almusallam, T.; El-Gamal, S.; Aqel, M. Performance of glass fiber reinforced polymer bars under elevated temperatures. Compos. Part B Eng. 2012, 43, 2265–2271. [Google Scholar] [CrossRef]
- Gu, P.; Asaro, R.J. Structural buckling of polymer matrix composites due to reduced stiffness from fire damage. Compos. Struct. 2005, 69, 65–75. [Google Scholar] [CrossRef]
- Liu, L.; Kardomateas, G.A.; Birman, V.; Holmes, J.W.; Simitses, G.J. Thermal buckling of a heat-exposed, axially restrained composite column. Compos. Part A Appl. Sci. Manuf. 2006, 37, 972–980. [Google Scholar] [CrossRef]









| Specimen | Dimension | Tensile Properties | Physical Properties | |||||
|---|---|---|---|---|---|---|---|---|
| Length L(mm) | Diameter D(mm) | Strength (MPa) | Modulus (GPa) | Density (g/cm3) | Fiber Content (%) | Tg (°C) | Td (°C) | |
| CFRP | 800 | 8 | 2070 | 156 | 1.6 | 65 | 126 | 405 |
| Type of Tests | Number of Specimens |
|---|---|
| Thermal expansion test | 3 |
| Steady state test | 24 |
| Transient state test | 15 |
| Total | 42 |
| Target Temp (°C) | Average Surface Temp (°C) | Strength (MPa) | Average Strength (MPa) | Standard Deviation | Coefficient of Variation | % | ||
|---|---|---|---|---|---|---|---|---|
| SS-1 | SS-2 | SS-3 | ||||||
| 20 | 23 | 2048 | 2087 | 2075 | 2070 | 16.3 | 0.0079 | 100 |
| 100 | 91 | 1906 | 1943 | 1901 | 1917 | 18.7 | 0.0098 | 92.6 |
| 150 | 137 | 1584 | 1714 | 1508 | 1602 | 85.1 | 0.053 | 77.4 |
| 200 | 180 | 1325 | 1303 | 1281 | 1303 | 18.0 | 0.014 | 62.9 |
| 250 | 228 | 1248 | 1165 | 1097 | 1170 | 61.7 | 0.053 | 56.5 |
| 300 | 278 | 1105 | 1110 | 1091 | 1102 | 8.0 | 0.0073 | 53.2 |
| 400 | 383 | 996 | 901 | 953 | 950 | 38.8 | 0.041 | 45.9 |
| 500 | 518 | 331 | 365 | 350 | 349 | 13.9 | 0.040 | 16.9 |
| Target Load (kN) | Stress (MPa) | Stress Ratio (%) | Temp (°C) | Average Temp (°C) | ||
|---|---|---|---|---|---|---|
| TS-1 | TS-2 | TS-3 | ||||
| 30 | 597 | 28.8 | 441 | 489 | 473 | 468 |
| 40 | 796 | 38.5 | 432 | 421 | 439 | 431 |
| 50 | 995 | 48.1 | 360 | 344 | 394 | 366 |
| 60 | 1194 | 57.7 | 253 | 246 | 219 | 239 |
| 70 | 1393 | 67.3 | 169 | 196 | 184 | 183 |
| Model | Parameters | Steady State | Transient State | ||
|---|---|---|---|---|---|
| Strength | R-Square | Strength | R-Square | ||
| Gu and Asaro [28] | m | 1 | 0.941 | 0.885 | 0.782 |
| Liu et al. [29] | a1 | 0.281 | 0.963 | 0.332 | 0.957 |
| a2 | −0.056 | −0.09 | |||
| a3 | 0.007 | 0.012 | |||
| Correia et al. [12] | B | −3.529 | 0.936 | −2.862 | 0.898 |
| C | −0.007 | −0.007 | |||
| Yu and Kodur [6] | k | 0.0035 | 0.796 | 0.0036 | −0.548 |
| Present study | k1 | 1.419 | 0.984 | 1.155 | 0.955 |
| k2 | 0.663 | 0.552 | |||
© 2019 by the authors. Licensee MDPI, Basel, Switzerland. This article is an open access article distributed under the terms and conditions of the Creative Commons Attribution (CC BY) license (http://creativecommons.org/licenses/by/4.0/).
Share and Cite
Zhou, F.; Zhang, J.; Song, S.; Yang, D.; Wang, C. Effect of Temperature on Material Properties of Carbon Fiber Reinforced Polymer (CFRP) Tendons: Experiments and Model Assessment. Materials 2019, 12, 1025. https://doi.org/10.3390/ma12071025
Zhou F, Zhang J, Song S, Yang D, Wang C. Effect of Temperature on Material Properties of Carbon Fiber Reinforced Polymer (CFRP) Tendons: Experiments and Model Assessment. Materials. 2019; 12(7):1025. https://doi.org/10.3390/ma12071025
Chicago/Turabian StyleZhou, Fei, Jiwen Zhang, Shoutan Song, Dong Yang, and Chao Wang. 2019. "Effect of Temperature on Material Properties of Carbon Fiber Reinforced Polymer (CFRP) Tendons: Experiments and Model Assessment" Materials 12, no. 7: 1025. https://doi.org/10.3390/ma12071025
APA StyleZhou, F., Zhang, J., Song, S., Yang, D., & Wang, C. (2019). Effect of Temperature on Material Properties of Carbon Fiber Reinforced Polymer (CFRP) Tendons: Experiments and Model Assessment. Materials, 12(7), 1025. https://doi.org/10.3390/ma12071025
