Performance of Nano-Silica Modified Self-Compacting Glass Mortar at Normal and Elevated Temperatures
Abstract
1. Introduction
2. Materials and Proportioning
2.1. Cement
2.2. Glass Powder
2.3. Nano Silica
2.4. Fine Aggregate
2.5. Super Plasticizer
2.6. Mix Proportion
3. Methodology
3.1. Tests for SCGM in Fresh State
3.2. Casting and Curing
3.3. Heating of the Test Specimens
3.4. Bulk Density
3.5. Porosity
3.6. Cube Compression Test
3.7. Flexural Strength
3.8. Mass Loss
4. Results and Discussion
4.1. Fresh State Properties
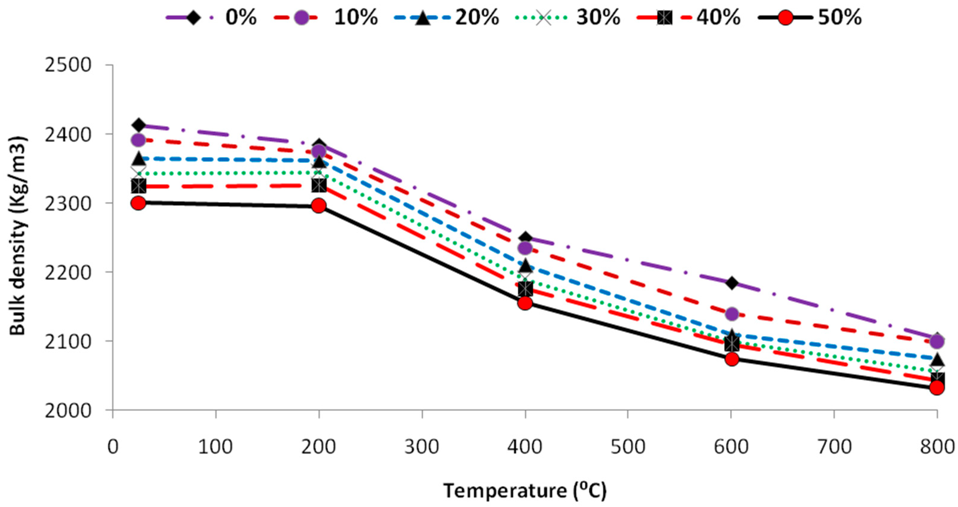
4.2. Bulk Density
4.3. Porosity
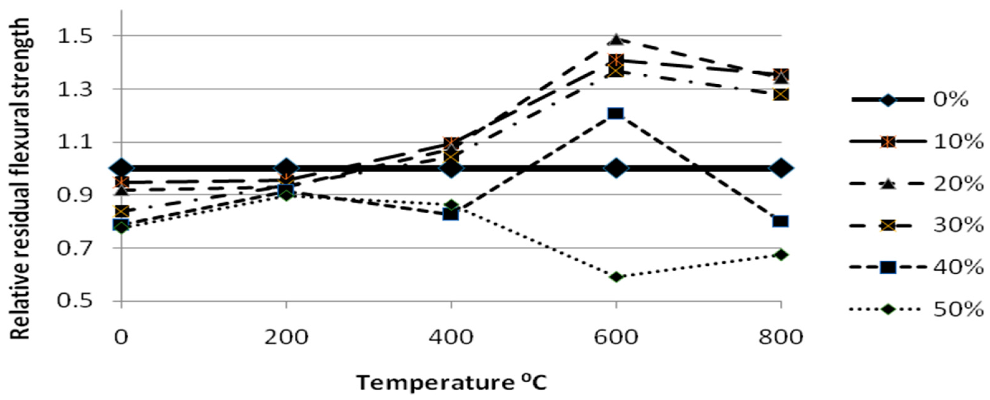
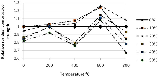
4.4. Compressive and Flexural Strength
5. Conclusions
Author Contributions
Funding
Conflicts of Interest
References
- Ana, M.M.; Joana, S.-C. Durability of mortar using waste glass powder as cement replacement. Constr. Build. Mat. 2012, 36, 205–215. [Google Scholar]
- Vijayakumar, G.; Vishaliny, H.; Govindarajulu, D. Studies on Glass Powder as Partial Replacement of Cement in Concrete Production. Int. J. Emerg. Technol. Adv. Eng. 2013, 3, 153–157. [Google Scholar]
- Vitoldas, V.; Evaldas, S.; Harald, H. The effect of glass powder on the microstructure of ultra high performance concrete. Constr. Build. Mat. 2014, 68, 102–109. [Google Scholar]
- Ali, E.E.; Al-Tersawy, S.H. Recycled glass as a partial replacement for fine aggregate in self compacting concrete. Constr. Build. Mat. 2012, 35, 785–791. [Google Scholar] [CrossRef]
- Sharifi, Y.; Houshiar, M.; Aghebati, B. Recycled glass replacement as fine aggregate in self-compacting concrete. Front. Struct. Civ. Eng. 2013, 7, 419–428. [Google Scholar] [CrossRef]
- Aliabdo, A.A.; Elmoaty, A.E.M.A.; Aboshama, A.Y. Utilization of waste glass powder in the production of cement and concrete. Constr. Build. Mat. 2016, 124, 866–877. [Google Scholar] [CrossRef]
- Cai, Y.; Xuan, D.; Poon, C.S. Effects of nano-SiO2 and glass powder on mitigating alkali-silica reaction of cement glass mortars. Constr. Build. Mat. 2019, 201, 295–302. [Google Scholar] [CrossRef]
- Lee, H.; Hanif, A.; Usman, M.; Sim, J.; Oh, H. Performance evaluation of concrete incorporating glass powder and glass sludge wastes as supplementary cementing material. J. Clean. Prod. 2018, 170, 683–693. [Google Scholar] [CrossRef]
- Patel, D.; Tiwari, R.P.; Shrivastava, R.; Yadav, R.K. Effective utilization of waste glass powder as the substitution of cement in making paste and mortar. Constr. Build. Mat. 2019, 199, 406–415. [Google Scholar] [CrossRef]
- Pan, Z.; Tao, Z.; Murphy, T.; Wuhrer, R. High temperature performance of mortars containing fine glass powders. J. Clean. Prod. 2017, 162, 16–26. [Google Scholar] [CrossRef]
- Hendi, A.; Mostofinejad, D.; Sedaghatdoost, A.; Zohrabi, M.; Naeimi, N.; Tavakolinia, A. Mix design of the green self-consolidating concrete: Incorporating the waste glass powder. Constr. Build. Mat. 2019, 199, 369–384. [Google Scholar] [CrossRef]
- Elaqra, H.; Rustom, R. Effect of using glass powder as cement replacement on rheological and mechanical properties of cement paste. Constr. Build. Mat. 2018, 179, 326–335. [Google Scholar] [CrossRef]
- Vandhiyan, R.; Ramkumar, K.; Ramya, R. Experimental study on replacement of cement by glass powder. Int. J. Eng. Res. Technol. 2013, 2, 234–238. [Google Scholar]
- Khaliq, W.; Khan, H.A. High temperature material properties of calcium aluminate cement concrete. Constr. Build. Mat. 2015, 94, 475–487. [Google Scholar] [CrossRef]
- Culfik, M.S.; Ozturan, T.D. Effect of elevated temperatures on the residual mechanical properties of high-performance mortar. Cement Concr. Res. 2002, 32, 809–816. [Google Scholar] [CrossRef]
- Poon, C.-S.; Azhar, S.; Anson, M.; Wong, Y.-L. Comparison of the strength and durability performance of normal- and high-strength pozzolanic concretes at elevated temperatures. Cement Concr. Res. 2001, 31, 1291–1300. [Google Scholar] [CrossRef]
- Chan, Y.N.; Luo, X.; Sun, W. Compressive strength and pore structure of high-performance concrete after exposure to high temperature up to 800 ºC. Cement Concr. Res. 2000, 30, 247–251. [Google Scholar] [CrossRef]
- Le, H.T.; Siewert, K.; Ludwig, H.-M. Alkali silica reaction in mortar formulated from self-compacting high performance concrete containing rice husk ash. Constr. Build. Mat. 2015, 88, 10–19. [Google Scholar] [CrossRef]
- Helal, M.A.; HeizaKh, M. Effect of fire and high temperature on the properties of the self compacted concrete. Adv. FRP Comp. Civil. Eng. 2012, 433–439. [Google Scholar]
- Fares, H.; Noumowe, A.; Remond, S. Self-consolidating concrete subjected to high temperature Mechanical and physicochemical properties. Cement Concr. Res. 2009, 39, 1230–1238. [Google Scholar] [CrossRef]
- Zuhair, M.; Deshmukh, S.K. Self Compacting Concrete at Elevated Temperatures—A Literature Review. Int. J. Adv. Found. Res. Sci. Eng. 2014, 1, 59–67. [Google Scholar]
- Vasusmitha, R.; Rao, P.S. Effect of Elevated Temperature On Mechanical Properties Of High Strength Self Compacting Concrete. Int. J. Eng. Res. Technol. 2012, 1, 1–10. [Google Scholar]
- Safi, B.; Sadi, M.; Daoui, A.; Bellal, A.; Mechekak, A.; Toumi, K. The use of sea shells as a fine aggregate (by sand substitution) in self compacting mortar (SCM). Constr. Build. Mat. 2015, 78, 430–438. [Google Scholar] [CrossRef]
- Safi, B.; Saidi, M.; Aboutaleb, D.; Maallem, M. The use of plastic waste as fine aggregate in the self compacting mortars: Effect on physical and mechanical properties. Constr. Build. Mat. 2015, 43, 436–442. [Google Scholar] [CrossRef]
- Farzadnia, N.; Abdullah, A.; Ali, A.; Demirboga, R. Characterization of high strength mortars with nano alumina at elevated temperatures. Cement Concr. Res. 2013, 54, 43–54. [Google Scholar] [CrossRef]
- Bastami, M.; Baghbadrani, M.; Aslani, F. Performance of nano-Silica modified high strength concrete at elevated temperatures. Constr. Build. Mat. 2014, 68, 402–408. [Google Scholar] [CrossRef]
- Horszczaruk, E.; Sikora, P.; Cendrowski, K.; Mijowska, E. The effect of elevated temperature on the properties of cement mortars containing nano-silica and heavyweight aggregates. Constr. Build. Mat. 2017, 137, 420–431. [Google Scholar] [CrossRef]
- Khotbehsara, M.M.; Mohseni, E.; Yazdi, M.A.; Sarker, P.; Ranjbar, M.M. Effect of nano-CuO and fly ash on the properties of self-compacting mortar. Constr. Build. Mat. 2015, 94, 758–766. [Google Scholar] [CrossRef]
- Morsy, M.S.; Al-Salloum, Y.A.; Abbas, H.; Alsayed, S.H. Behavior of blended cement mortars containing nano-metakaolin at elevated temperatures. Constr. Build. Mat. 2012, 35, 900–905. [Google Scholar] [CrossRef]
- Nadeem, A.; Memon, S.A.; Lo, T.Y. The performance of Fly ash and Metakaolin concrete at elevated temperatures. Constr. Build. Mat. 2014, 62, 67–76. [Google Scholar] [CrossRef]
- Pathak, N.; Siddique, R. Effects of elevated temperatures on properties of self-compacting-concrete containing fly ash and spent foundry sand. Constr. Build. Mat. 2012, 34, 512–521. [Google Scholar] [CrossRef]
- Heikal, M.; Al-Duaij, O.K.; Ibrahim, N.S. Microstructure of composite cements containing blast-furnace slag and silica nano-particles subjected to elevated thermally treatment temperature. Constr. Build. Mat. 2015, 94, 758–766. [Google Scholar] [CrossRef]
- Mohammed, A.; Sanjayan, J.G.; Nazari, A.; Al-Saadi, N.T.K. Effects of graphene oxide in enhancing the performance of concrete exposed to high-temperature. Austr. J. Civ. Eng. 2017, 15, 61–71. [Google Scholar] [CrossRef]
- Mandandoust, R.; Mohseni, E.; Mousavi, S.Y.; Namnevis, M. An experimental investigation on the durability of self-compacting mortar containing nano-SIO2, nano-Fe2O3 and nano-CuO. Constr. Build. Mat. 2015, 86, 44–50. [Google Scholar] [CrossRef]
- Rao, S.; Silva, P.; De Brito, J. Experimental study of the mechanical properties and durability of self-compacting mortars with nano materials (SiO2 and TiO2). Constr. Build. Mat. 2015, 96, 508–517. [Google Scholar] [CrossRef]
- Ling, T.-C.; Poon, C.-S.; Kou, S.-C. Influence of recycled glass content and curing conditions on the properties of self-compacting concrete after exposure to elevated temperatures. Cement Concr. Comp. 2012, 34, 265–272. [Google Scholar] [CrossRef]
- EN. Composition, Specifications and Conformity Criteria for Common Cements; BS EN 197-1:2011, Cement; BSI: Leeds, UK.
- BS EN. Aggregates for Concrete; BS EN 12620-2002; BSI: Leeds, UK.
- Schwartzentruber, A.; Catherine, C. Method of the concrete equivalent mortar (CEM)—A new tool to design concrete containing admixture. Mater. Struct. 2000, 33, 475–482. [Google Scholar] [CrossRef]
- Shi, C.; Wu, Z.; Lu, K.; Wu, L. A review on mixture design methods for self-compacting concrete. Constr. Build. Mater. 2015, 84, 387–398. [Google Scholar] [CrossRef]
- Nunes, S.; Matos, A.M.; Duarte, T.; Figueiras, H.; Joana, S.-C. Mixture design of self-compacting glass mortar. Cement Concr. Comp. 2013, 43, 1–11. [Google Scholar] [CrossRef]
- ASTM. Standard Test Method for Flexural Strength of Hydraulic-Cement Motars; ASTM C348-14; ASTEM: New York, NY, USA.
- BS EN. Methods of Test for Mortar for Masonry, Part 19. Determination of Water Vapour Permeability of Hardened Rendering Mortars; En 1015-19, 1999; BSI: Leeds, UK.














| Grade | OPC-43 Grade |
|---|---|
| Consistency | 30% |
| Initial Setting Time | 39 min |
| Final Setting Time | 220 min |
| Fineness | 5% |
| SiO2 | Al2O3 | Fe2O3 | MnO | CaO | Na2O | K2O | TiO2 | P2O5 | LOI |
|---|---|---|---|---|---|---|---|---|---|
| 70 | 2 | <0.1 | - | 6 | 20 | - | <0.1% | - | - |
| Constituent | SCM |
|---|---|
| Cement (kg/m3) | 700 |
| Sand (kg/m3) | 1372.4 |
| Water (kg/m3) | 276 |
| Superplasticizer (SP) (kg/m3) | 10.6 |
| W/B (water/binder) | 0.4 |
© 2019 by the authors. Licensee MDPI, Basel, Switzerland. This article is an open access article distributed under the terms and conditions of the Creative Commons Attribution (CC BY) license (http://creativecommons.org/licenses/by/4.0/).
Share and Cite
Natarajan, S.; Udayabanu, M.; Ponnan, S.; Murugan, S. Performance of Nano-Silica Modified Self-Compacting Glass Mortar at Normal and Elevated Temperatures. Materials 2019, 12, 437. https://doi.org/10.3390/ma12030437
Natarajan S, Udayabanu M, Ponnan S, Murugan S. Performance of Nano-Silica Modified Self-Compacting Glass Mortar at Normal and Elevated Temperatures. Materials. 2019; 12(3):437. https://doi.org/10.3390/ma12030437
Chicago/Turabian StyleNatarajan, Sakthieswaran, Muthuraman Udayabanu, Suresh Ponnan, and Sophia Murugan. 2019. "Performance of Nano-Silica Modified Self-Compacting Glass Mortar at Normal and Elevated Temperatures" Materials 12, no. 3: 437. https://doi.org/10.3390/ma12030437
APA StyleNatarajan, S., Udayabanu, M., Ponnan, S., & Murugan, S. (2019). Performance of Nano-Silica Modified Self-Compacting Glass Mortar at Normal and Elevated Temperatures. Materials, 12(3), 437. https://doi.org/10.3390/ma12030437

