Facile One-Step Dynamic Hydrothermal Synthesis of Spinel LiMn2O4/Carbon Nanotubes Composite as Cathode Material for Lithium-Ion Batteries
Abstract
1. Introduction
2. Materials and Methods
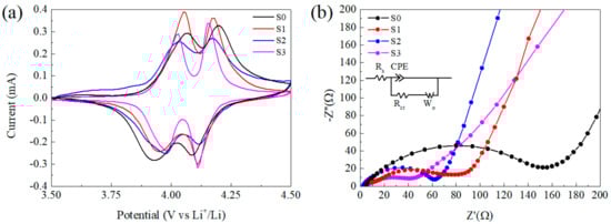
3. Results and Discussion
4. Conclusions
Supplementary Materials
Author Contributions
Funding
Conflicts of Interest
References
- Nitta, N.; Wu, F.X.; Lee, J.T.; Yushin, G. Li-ion battery materials: Present and future. Mater. Today 2015, 18, 252–264. [Google Scholar] [CrossRef]
- Zubi, G.; Dufo-Lopez, R.; Carvalho, M.; Pasaoglu, G. The lithium-ion battery: State of the art and future perspectives. Renew. Sustain. Energy Rev. 2018, 89, 292–308. [Google Scholar] [CrossRef]
- Yoshino, A. The Birth of the Lithium-Ion Battery. Angew. Chem. Int. Ed. 2012, 51, 5798–5800. [Google Scholar] [CrossRef] [PubMed]
- Manthiram, A. An Outlook on Lithium Ion Battery Technology. ACS Cent. Sci. 2017, 3, 1063–1069. [Google Scholar] [CrossRef] [PubMed]
- Kim, T.H.; Park, J.S.; Chang, S.K.; Choi, S.; Ryu, J.H.; Song, H.K. The Current Move of Lithium Ion Batteries Towards the Next Phase. Adv. Energy Mater. 2012, 2, 860–872. [Google Scholar] [CrossRef]
- Daniel, C. Materials and processing for lithium-ion batteries. Jom 2008, 60, 43–48. [Google Scholar] [CrossRef]
- Eftekhari, A. Lithium Batteries for Electric Vehicles: From Economy to Research Strategy. ACS Sustain. Chem. Eng. 2019, 7, 5602–5613. [Google Scholar] [CrossRef]
- Marom, R.; Amalraj, S.F.; Leifer, N.; Jacob, D.; Aurbach, D. A review of advanced and practical lithium battery materials. J. Mater. Chem. 2011, 21, 9938–9954. [Google Scholar] [CrossRef]
- Li, M.; Lu, J.; Chen, Z.W.; Amine, K. 30 Years of Lithium-Ion Batteries. Adv. Mater. 2018, 30, 1800561. [Google Scholar] [CrossRef]
- Zheng, G.; Zhang, W.C.; Huang, X.D. Lithium-Ion Battery Electrochemical-Thermal Model Using Various Materials as Cathode Material: A Simulation Study. ChemistrySelect 2018, 3, 11573–11578. [Google Scholar] [CrossRef]
- Liu, X.; Wu, Z.B.; Stoliarov, S.I.; Denlinger, M.; Masias, A.; Snyder, K. Heat release during thermally-induced failure of a lithium ion battery: Impact of cathode composition. Fire Saf. J. 2016, 85, 10–22. [Google Scholar] [CrossRef]
- Wang, J.J.; Sun, X.L. Olivine LiFePO4: The remaining challenges for future energy storage. Energy Environ. Sci. 2015, 8, 1110–1138. [Google Scholar] [CrossRef]
- Gong, C.L.; Xue, Z.G.; Wen, S.; Ye, Y.S.; Xie, X.L. Advanced carbon materials/olivine LiFePO4 composites cathode for lithium ion batteries. J. Power Sources 2016, 318, 93–112. [Google Scholar] [CrossRef]
- Xu, G.J.; Liu, Z.H.; Zhang, C.J.; Cui, G.L.; Chen, L.Q. Strategies for improving the cyclability and thermo-stability of LiMn2O4-based batteries at elevated temperatures. J. Mater. Chem. A 2015, 3, 4092–4123. [Google Scholar] [CrossRef]
- Wang, H.Q.; Lai, F.Y.; Li, Y.; Zhang, X.H.; Huang, Y.G.; Hu, S.J.; Li, Q.Y. Excellent stability of spinel LiMn2O4-based cathode materials for lithium-ion batteries. Electrochim. Acta 2015, 177, 290–297. [Google Scholar] [CrossRef]
- Tarascon, J.M.; Wang, E.; Shokoohi, F.K.; McKinnon, W.R.; Colson, S. The spinel phase of LiMn2O4 as a cathode in secondary lithium cells. J. Electrochem. Soc. 1991, 138, 2859–2864. [Google Scholar] [CrossRef]
- Amatucci, G.G.; Pereira, N.; Zheng, T.; Tarascon, J.M. Failure mechanism and improvement of the elevated temperature cycling of LiMn2O4 compounds through the use of the LiAlxMn2−xO4−zFz solid solution. J. Electrochem. Soc. 2001, 148, A171–A182. [Google Scholar] [CrossRef]
- Yamaguchi, H.; Yamada, A.; Uwe, H. Jahn-Teller transition of LiMn2O4 studied by x-ray-absorption spectroscopy. Phys. Rev. B 1998, 58, 8–11. [Google Scholar] [CrossRef]
- Chung, K.Y.; Ryu, C.W.; Kim, K.B. Onset mechanism of Jahn-Teller distortion in 4 V LiMn2O4 and its suppression by LiM0.05Mn1.95O4 (M = Co, Ni) coating. J. Electrochem. Soc. 2005, 152, A791–A795. [Google Scholar] [CrossRef]
- He, X.; Wang, J.; Jia, H.P.; Kloepsch, R.; Liu, H.D.; Beltrop, K.; Li, J. Ionic liquid-assisted solvothermal synthesis of hollow Mn2O3 anode and LiMn2O4 cathode materials for Li-ion batteries. J. Power Sources 2015, 293, 306–311. [Google Scholar] [CrossRef]
- Han, C.G.; Zhu, C.Y.; Saito, G.; Akiyama, T. Improved electrochemical performance of LiMn2O4 surface-modified by a Mn4+-rich phase for rechargeable lithium-ion batteries. Electrochim. Acta 2016, 209, 225–234. [Google Scholar] [CrossRef]
- Li, X.T.; Shao, Z.B.; Liu, K.R.; Liu, G.F.; Xu, B.S. Synthesis and electrochemical characterizations of LiMn2O4 prepared by high temperature ball milling combustion method with citric acid as fuel. J. Electroanal. Chem. 2018, 818, 204–209. [Google Scholar] [CrossRef]
- Tian, L.; Su, C.W.; Wang, Y.; Wen, B.X.; Bai, W.; Guo, J.M. Electrochemical properties of spinel LiMn2O4 cathode material prepared by a microwave-induced solution flameless combustion method. Vacuum 2019, 164, 153–157. [Google Scholar] [CrossRef]
- Ram, P.; Goren, A.; Ferdov, S.; Silva, M.M.; Singhal, R.; Costa, C.M.; Sharma, R.K.; Lanceros-Mendez, S. Improved performance of rare earth doped LiMn2O4 cathodes for lithium-ion battery applications. New J. Chem. 2016, 40, 6244–6252. [Google Scholar] [CrossRef]
- Ta, T.A.; Nguyen, H.S.; Nguyen, O.T.T.; Dang, C.T.; Hoang, L.A.; Pham, L.D. Crystalline structure and electrical conductivity of nickel substituted spinel lithium manganese oxide. Mater. Res. Express 2019, 6, 065505. [Google Scholar] [CrossRef]
- Wang, J.L.; Li, Z.H.; Yang, J.; Tang, J.J.; Yu, J.J.; Nie, W.B.; Lei, G.T.; Xiao, Q.Z. Effect of Al-doping on the electrochemical properties of a three-dimensionally porous lithium manganese oxide for lithium-ion batteries. Electrochim. Acta 2012, 75, 115–122. [Google Scholar] [CrossRef]
- Tron, A.; Park, Y.D.; Mun, J. AlF3-coated LiMn2O4 as cathode material for aqueous rechargeable lithium battery with improved cycling stability. J. Power Sources 2016, 325, 360–364. [Google Scholar] [CrossRef]
- Waller, G.H.; Brooke, P.D.; Rainwater, B.H.; Lai, S.Y.; Hu, R.; Ding, Y.; Alamgir, F.M.; Sandhage, K.H.; Liu, M.L. Structure and surface chemistry of Al2O3 coated LiMn2O4 nanostructured electrodes with improved lifetime. J. Power Sources 2016, 306, 162–170. [Google Scholar] [CrossRef]
- Yao, J.; Shen, C.; Zhang, P.; Gregory, D.H.; Wang, L. Surface coating of LiMn2O4 spinel via in situ hydrolysis route: Effect of the solution. Ionics 2013, 19, 739–745. [Google Scholar] [CrossRef]
- Li, X.F.; Xu, Y.L.; Wang, C.L. Suppression of Jahn-Teller distortion of spinel LiMn2O4 cathode. J. Alloys Compd. 2009, 479, 310–313. [Google Scholar] [CrossRef]
- Capsoni, D.; Bini, M.; Chiodelli, G.; Mustarelli, P.; Massarotti, V.; Azzoni, C.B.; Mozzati, M.C.; Linati, L. Inhibition of Jahn-Teller cooperative distortion in LiMn2O4 spinel by Ga3+ doping. J. Phys. Chem. B 2002, 106, 7432–7438. [Google Scholar] [CrossRef]
- Yao, J.; Shen, C.; Zhang, P.; Ma, C.A.; Gregory, D.H.; Wang, L. Spinel-Li3.5+xTi5O12 coated LiMn2O4 with high surface Mn valence for an enhanced cycling performance at high temperature. Electrochem. Commun. 2013, 31, 92–95. [Google Scholar] [CrossRef]
- Shang, Y.H.; Lin, X.J.; Lu, X.; Huang, T.; Yu, A.H. Nano-TiO2(B) coated LiMn2O4 as cathode materials for lithium-ion batteries at elevated temperatures. Electrochim. Acta 2015, 156, 121–126. [Google Scholar] [CrossRef]
- Cetinkaya, T.; Akbulut, A.; Guler, M.O.; Akbulut, H. A different method for producing a flexible LiMn2O4/MWCNT composite electrode for lithium ion batteries. J. Appl. Electrochem. 2014, 44, 209–214. [Google Scholar] [CrossRef]
- Ding, Y.H.; Li, J.X.; Zhao, Y.; Guan, L.H. Direct growth of LiMn2O4 on carbon nanotubes as cathode materials for lithium ion batteries. Mater. Lett. 2012, 68, 197–200. [Google Scholar] [CrossRef]
- Xia, H.; Wang, Y.; Lin, J.; Lu, L. Hydrothermal synthesis of MnO2/CNT nanocomposite with a CNT core/porous MnO2 sheath hierarchy architecture for supercapacitors. Nanoscale Res. Lett. 2012, 7, 33. [Google Scholar] [CrossRef]
- Li, X.; Kang, F.; Bai, X.; Shen, W. A novel network composite cathode of LiFePO4/multiwalled carbon nanotubes with high rate capability for lithium ion batteries. Electrochem. Commun. 2007, 9, 663–666. [Google Scholar] [CrossRef]
- Chen, S.Y.; Mi, C.H.; Su, L.H.; Gao, B.; Fu, Q.B.; Zhang, X.G. Improved performances of mechanical-activated LiMn2O4/MWNTs cathode for aqueous rechargeable lithium batteries. J. Appl. Electrochem. 2009, 39, 1943–1948. [Google Scholar] [CrossRef]
- Tang, M.; Yuan, A.; Zhao, H.; Xu, J. High-performance LiMn2O4 with enwrapped segmented carbon nanotubes as cathode material for energy storage. J. Power Sources 2013, 235, 5–13. [Google Scholar] [CrossRef]
- Zou, B.-K.; Ma, X.-H.; Tang, Z.-F.; Ding, C.-X.; Wen, Z.-Y.; Chen, C.-H. High rate LiMn2O4/carbon nanotube composite prepared by a two-step hydrothermal process. J. Power Sources 2014, 268, 491–497. [Google Scholar] [CrossRef]
- Yao, J.; Lv, L.; Shen, C.; Zhang, P.; Aguey-Zinsou, K.-F.; Wang, L. Nano-sized spinel LiMn2O4 powder fabricated via modified dynamic hydrothermal synthesis. Ceram. Int. 2013, 39, 3359–3364. [Google Scholar] [CrossRef]
- Nakamura, T.; Kajiyama, A. Low-temperature annealing of Li-Mn spinel oxide prepared at high temperature. Solid State Ion. 2000, 133, 195–202. [Google Scholar] [CrossRef]
- Seo, J.-H.; Verlinde, K.; Guo, J.; Heidary, D.S.B.; Rajagopalan, R.; Mallouk, T.E.; Randall, C.A. Cold sintering approach to fabrication of high rate performance binderless LiFePO4 cathode with high volumetric capacity. Scr. Mater. 2018, 146, 267–271. [Google Scholar] [CrossRef]
- Tang, M.; Yuan, A.; Xu, J. Synthesis of highly crystalline LiMn2O4/multiwalled carbon nanotube composite material with high performance as lithium-ion battery cathode via an improved two-step approach. Electrochim. Acta 2015, 166, 244–252. [Google Scholar] [CrossRef]
- Jo, J.; Nam, S.; Han, S.; Mathew, V.; Alfaruqi, M.H.; Pham, D.T.; Kim, S.; Park, S.; Park, S.; Kim, J. One-pot pyro synthesis of a nanosized-LiMn2O4/C cathode with enhanced lithium storage properties. RSC Adv. 2019, 9, 24030–24038. [Google Scholar] [CrossRef]
- Kitta, M.; Akita, T.; Kohyama, M. Preparation of a spinel LiMn2O4 single crystal film from a MnO wafer. J. Power Sources 2013, 232, 7–11. [Google Scholar] [CrossRef]
- Luo, X.D.; Yin, Y.Z.; Yuan, M.; Zeng, W.; Lin, G.; Huang, B.; Li, Y.W.; Xiao, S.H. High performance composites of spinel LiMn2O4/3DG for lithium ion batteries. RSC Adv. 2018, 8, 877–884. [Google Scholar] [CrossRef]
- Christiansen, T.L.; Bøjesen, E.D.; Søndergaard, M.; Birgisson, S.; Becker, J.; Iversen, B.B. Crystal structure, microstructure and electrochemical properties of hydrothermally synthesised LiMn2O4. CrystEngComm 2016, 18, 1996–2004. [Google Scholar] [CrossRef]
- Eftekhari, A. Energy efficiency: A critically important but neglected factor in battery research. Sustain. Energy Fuels 2017, 1, 2053–2060. [Google Scholar] [CrossRef]
- Xia, H.; Ragavendran, K.R.; Xie, J.P.; Lu, L. Ultrafine LiMn2O4/carbon nanotube nanocomposite with excellent rate capability and cycling stability for lithium-ion batteries. J. Power Sources 2012, 212, 28–34. [Google Scholar] [CrossRef]
- Deng, Y.; Zhou, Y.; Shi, Z.; Zhou, X.; Quan, X.; Chen, G. Porous LiMn2O4 microspheres as durable high power cathode materials for lithium ion batteries. J. Mater. Chem. A 2013, 1, 8170–8177. [Google Scholar] [CrossRef]
- Tonti, D.; Torralvo, M.J.; Enciso, E.; Sobrados, I.; Sanz, J. Three-Dimensionally Ordered Macroporous Lithium Manganese Oxide for Rechargeable Lithium Batteries. Chem. Mater. 2008, 20, 4783–4790. [Google Scholar] [CrossRef]
- Xi, L.J.; Wang, H.-E.; Lu, Z.G.; Yang, S.L.; Ma, R.G.; Deng, J.Q.; Chung, C.Y. Facile synthesis of porous LiMn2O4 spheres as positive electrode for high-power lithium ion batteries. J. Power Sources 2012, 198, 251–257. [Google Scholar] [CrossRef]






© 2019 by the authors. Licensee MDPI, Basel, Switzerland. This article is an open access article distributed under the terms and conditions of the Creative Commons Attribution (CC BY) license (http://creativecommons.org/licenses/by/4.0/).
Share and Cite
Shen, C.; Xu, H.; Liu, L.; Hu, H.; Chen, S.; Su, L.; Wang, L. Facile One-Step Dynamic Hydrothermal Synthesis of Spinel LiMn2O4/Carbon Nanotubes Composite as Cathode Material for Lithium-Ion Batteries. Materials 2019, 12, 4123. https://doi.org/10.3390/ma12244123
Shen C, Xu H, Liu L, Hu H, Chen S, Su L, Wang L. Facile One-Step Dynamic Hydrothermal Synthesis of Spinel LiMn2O4/Carbon Nanotubes Composite as Cathode Material for Lithium-Ion Batteries. Materials. 2019; 12(24):4123. https://doi.org/10.3390/ma12244123
Chicago/Turabian StyleShen, Chaoqi, Hui Xu, Liu Liu, Heshan Hu, Siyuan Chen, Liwei Su, and Lianbang Wang. 2019. "Facile One-Step Dynamic Hydrothermal Synthesis of Spinel LiMn2O4/Carbon Nanotubes Composite as Cathode Material for Lithium-Ion Batteries" Materials 12, no. 24: 4123. https://doi.org/10.3390/ma12244123
APA StyleShen, C., Xu, H., Liu, L., Hu, H., Chen, S., Su, L., & Wang, L. (2019). Facile One-Step Dynamic Hydrothermal Synthesis of Spinel LiMn2O4/Carbon Nanotubes Composite as Cathode Material for Lithium-Ion Batteries. Materials, 12(24), 4123. https://doi.org/10.3390/ma12244123
