Effects of Servo Tensile Test Parameters on Mechanical Properties of Medium-Mn Steel
Abstract
:1. Introduction
2. Experimentation
2.1. Materials
2.2. Determination of Process Parameters
2.3. Servo Tensile Test Setup
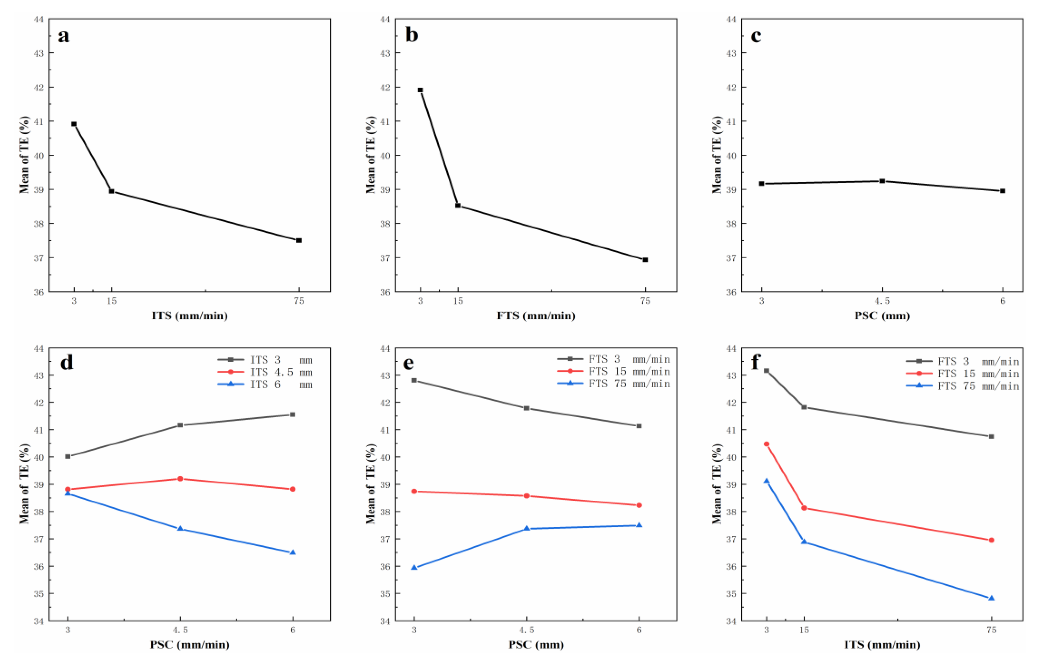
3. Effect of Process Parameters on Elongation
3.1. Servo Tensile Results and Data Analysis
3.2. Analysis of Variance
4. Artificial Neural Network
4.1. Calculation Model of Total Elongation Based on Servo Tensile Parameters
4.1.1. BPNN and RBFNN Modelling
4.1.2. Neural Network Setup
4.2. Prediction of Total Elongation by Neural Networks
4.2.1. Comparison of Prediction Results
4.2.2. Result Analysis
- For 3 mm PSC, the optimal range of ITS was 3–75 mm/min and FTS was 3–17 mm/min. The total elongation could reach 41% in the optimal range. The maximum total elongation was 44.64%. Low total elongation was concentrated at ITS of 25–75 mm/min and FTS of 30–75 mm/min. The minimum total elongation was 34.2%.
- For 4 mm PSC, the optimal range of ITS was 3–75 mm/min and FTS was 3–25 mm/min. The total elongation could reach 40% in the optimal range. The maximum total elongation was 44.05%. Low total elongation was concentrated at ITS of 25–75 mm/min and FTS of 25–75 mm/min. The minimum total elongation was 34.2%.
- For 5 mm PSC, the optimal range of ITS was 3–37 mm/min and FTS was 3–32 mm/min. The total elongation could reach 40% in the optimal range. The maximum total elongation was 44.36%. Low total elongation was concentrated at ITS of 30–75 mm/min and FTS of 20–75 mm/min. The minimum total elongation was 34.2%.
- For 6 mm PSC, the optimal range of ITS was 3–20 mm/min and FTS was 3–25 mm/min. The total elongation could reach 40% in the optimal range. The maximum total elongation was 44.36%. Low total elongation was concentrated at ITS of 35–75 mm/min and FTS of 18–75 mm/min. The minimum total elongation was 34.2%.
- With the increase of PSC, the changes of maximum and minimum total elongations were limited, but the combinations of servo tensile parameters to obtain a total elongation higher than 40% changed significantly.
- The variation trend of optimal servo tensile parameters was: with the increase of PSC, the optimal tensile parameters from higher ITS and lower FTS shifted to lower ITS and higher FTS gradually.
- For 3 and 4 mm PSC, the influence of ITS on total elongation was not significant.
5. Conclusions
Author Contributions
Funding
Conflicts of Interest
References
- Taylor, T.; Clough, A. Critical Review of Automotive Hot-Stamped Sheet Steel from an Industrial Perspective. Mater. Sci. Technol. (UK) 2018, 34, 809–861. [Google Scholar] [CrossRef]
- Karbasian, H.; Tekkaya, A.E. A Review on Hot Stamping. J. Mater. Process. Technol. 2010, 210, 2103–2118. [Google Scholar] [CrossRef]
- Thomas, W.; Oenoki, T.; Altan, T. Process Simulation in Stamping—Recent Applications for Product and Process Design. J. Mater. Process. Technol. 2000, 98, 232–243. [Google Scholar] [CrossRef]
- Zhang, W.Y.; Tor, S.B.; Britton, G.A. Indexing and Retrieval in Case-Based Process Planning for Multi-Stage Non-Axisymmetric Deep Drawing. Int. J. Adv. Manuf. Technol. 2006, 28, 12–22. [Google Scholar] [CrossRef]
- Chang, Y.; Wang, M.; Wang, N.; Li, X.; Wang, C.; Zheng, G.; Ren, D.; Dong, H. Investigation of Forming Process of the Third-Generation Automotive Medium-Mn Steel Part with Large-Fractioned Metastable Austenite for High Formability. Mater. Sci. Eng. A 2018, 721, 179–188. [Google Scholar] [CrossRef]
- Kawamoto, K.; Ando, H.; Yamamichi, K. Application of Servo Presses to Metal Forming Processes. Procedia Manuf. 2018, 15, 31–38. [Google Scholar] [CrossRef]
- Osakada, K.; Mori, K.; Altan, T.; Groche, P. Mechanical Servo Press Technology for Metal Forming. Cirp Ann. Manuf. Technol. 2011, 60, 651–672. [Google Scholar] [CrossRef]
- Mori, K.; Akita, K.; Abe, Y. Springback Behaviour in Bending of Ultra-High-Strength Steel Sheets Using CNC Servo Press. Int. J. Mach. Tools Manuf. 2007, 47, 321–325. [Google Scholar] [CrossRef]
- Ouakdi, E.H.; Louahdi, R.; Khirani, D.; Tabourot, L. Evaluation of Springback under the Effect of Holding Force and Die Radius in a Stretch Bending Test. Mater. Des. 2012, 35, 106–112. [Google Scholar] [CrossRef]
- Ramezani, M.; Mohd Ripin, Z.; Ahmad, R. Modelling of Kinetic Friction in V-Bending of Ultra-High-Strength Steel Sheets. Int. J. Adv. Manuf. Technol. 2010, 46, 101–110. [Google Scholar] [CrossRef]
- Abbas, M.A.; Milman, R.; Eklund, J.M. Obstacle Avoidance in Real Time with Nonlinear Model Predictive Control of Autonomous Vehicles Evitement d’obstacle En Temps Réel Avec Une Commande Prédictive Non Linéaire des Véhicules Autonomes. Can. J. Electr. Comput. Eng. 2017, 40, 12–22. [Google Scholar]
- Obermeyer, E.; Majlessi, S. A Review of Recent Advances in the Application of Blank-Holder Force towards Improving the Forming Limits of Sheet Metal Parts. J. Mater. Process. Technol. 1998, 75, 222–234. [Google Scholar] [CrossRef]
- Kriechenbauer, S.; Mauermann, R.; Muller, P. Deep Drawing with Superimposed Low-Frequency Vibrations on Servo-Screw Presses. Procedia Eng. 2014, 81, 905–913. [Google Scholar] [CrossRef]
- Hayashi, H.; Nishimura, H. The Application of Servo Press Machine to Forming of Sheet Metals with Low Formability. Newtech 2009, 3, 3–10. [Google Scholar]
- Ju, L.; Patil, S.; Dykeman, J.; Altan, T. Forming of Al 5182-o in a Servo Press at Room and Elevated Temperatures. J. Manuf. Sci. Eng. Trans. Asme. 2015, 137, 1–23. [Google Scholar] [CrossRef]
- Mori, K. ichiro. Smart Hot Stamping for Ultra-High Strength Steel Parts. 60 Excell. Invent. Met. Form. 2015, 22, 403–408. [Google Scholar]
- Hu, B.; He, B.; Cheng, G.; Yen, H.; Huang, M.; Luo, H. Super-High-Strength and Formable Medium Mn Steel Manufactured by Warm Rolling Process. Acta Mater. 2019, 174, 131–141. [Google Scholar] [CrossRef]
- Suh, D.-W.; Kim, S.-J. Medium Mn Transformation-Induced Plasticity Steels: Recent Progress and Challenges. Scr. Mater. 2017, 126, 63–67. [Google Scholar] [CrossRef]
- Callahan, M.; Perlade, A.; Schmitt, J.-H. Interactions of Negative Strain Rate Sensitivity, Martensite Transformation, and Dynamic Strain Aging in 3rd Generation Advanced High-Strength Steels. Mater. Sci. Eng. A 2019, 754, 140–151. [Google Scholar] [CrossRef]
- Sevsek, S.; Haase, C.; Bleck, W. Strain-Rate-Dependent Deformation Behavior and Mechanical Properties of a Multi-Phase Medium-Manganese Steel. Metals 2019, 9, 344. [Google Scholar] [CrossRef]
- Yang, H.K.; Zhang, Z.J.; Tian, Y.Z.; Zhang, Z.F. Negative to Positive Transition of Strain Rate Sensitivity in Fe-22Mn-0.6C-x(Al) Twinning-Induced Plasticity Steels. Mater. Sci. Eng. A 2017, 690, 146–157. [Google Scholar] [CrossRef]
- ISO. (Standard No. 6892–1) Metallic Materials-Tensile Testing-Part 1: Method of Test at Room Temperature. Int. Organ. Stand: International organization for standardization Geneva, Switzerland. 2016. [Google Scholar]
- Zhao, D.; Ren, D.; Zhao, K.; Pan, S.; Guo, X. Effect of Welding Parameters on Tensile Strength of Ultrasonic Spot Welded Joints of Aluminum to Steel by Experimentation and Artificial Neural Network. J. Manuf. Process. 2017, 30, 63–74. [Google Scholar] [CrossRef]
- Hornik, K. Approximation Capabilities of Multilayer Feedforward Networks. Neural Netw. 1991, 4, 251–257. [Google Scholar] [CrossRef]
- Kitayama, S.; Koyama, H.; Kawamoto, K.; Miyasaka, T.; Yamamichi, K.; Noda, T. Optimization of Blank Shape and Segmented Variable Blank Holder Force Trajectories in Deep Drawing Using Sequential Approximate Optimization. Int. J. Adv. Manuf. Technol. 2017, 91, 1809–1821. [Google Scholar] [CrossRef]
- Köksal, G.; Batmaz, İ.; Testik, M.C. A Review of Data Mining Applications for Quality Improvement in Manufacturing Industry. Expert Syst. Appl. 2011, 38, 13448–13467. [Google Scholar] [CrossRef]
- Sadeghi, B.H.M. A BP-Neural Network Predictor Model for Plastic Injection Molding Process. J. Mater. Process. Technol. 2000, 103, 411–416. [Google Scholar] [CrossRef]
- Juez-Gil, M.; Erdakov, I.N.; Bustillo, A.; Pimenov, D.Y. A Regression-Tree Multilayer-Perceptron Hybrid Strategy for the Prediction of Ore Crushing-Plate Lifetimes. J. Adv. Res. 2019, 18, 173–184. [Google Scholar] [CrossRef]
- Haykin, S. Neural Networks and Learning Machines, 3rd ed.; Prentice Hall: Upper Saddle River, NJ, USA, 2008. [Google Scholar]
- Kappatos, V.; Chamos, A.N.; Pantelakis, S.G. Assessment of the Effect of Existing Corrosion on the Tensile Behaviour of Magnesium Alloy AZ31 Using Neural Networks. Mater. Des. 2010, 31, 336–342. [Google Scholar] [CrossRef]
- Hornik, K.; Stinchcombe, M.; White, H. Multilayer Feedforward Networks Are Universal Approximators. Neural Netw. 1989, 2, 359–366. [Google Scholar] [CrossRef]
- Yamashita, N.; Fukushima, M. On the Rate of Convergence of the Levenberg-Marquardt Method. Computing 2001, 15, 239–249. [Google Scholar]











| C | Mn | AL | S | P | Fe |
|---|---|---|---|---|---|
| 0.1 | 5.0 | 0.03 | 0.02 | 0.008 | Balance |
| Test | Initial Tensile Speed mm/min | Position where Speed Changes mm | Final Tensile Speed mm/min |
|---|---|---|---|
| 1 | 3 | 3 | 15 |
| 2 | 3 | 3 | 75 |
| 3 | 15 | 3 | 3 |
| 4 | 15 | 3 | 75 |
| 5 | 75 | 3 | 3 |
| 6 | 75 | 3 | 15 |
| 7 | 3 | 4.5 | 15 |
| 8 | 3 | 4.5 | 75 |
| 9 | 15 | 4.5 | 3 |
| 10 | 15 | 4.5 | 75 |
| 11 | 75 | 4.5 | 3 |
| 12 | 75 | 4.5 | 15 |
| 13 | 3 | 6 | 15 |
| 14 | 3 | 6 | 75 |
| 15 | 15 | 6 | 3 |
| 16 | 15 | 6 | 75 |
| 17 | 75 | 6 | 3 |
| 18 | 75 | 6 | 15 |
| Source | df | SS | MS | F |
|---|---|---|---|---|
| ITS | 2 | 52.673 | 26.336 | 289.4 |
| FTS | 2 | 116.008 | 58.004 | 637.4 |
| PSC | 2 | 0.400 | 0.200 | 2.2 |
| ITS*FTS | 4 | 2.989 | 0.747 | 8.2 |
| ITS*PSC | 4 | 10.834 | 2.708 | 29.78 |
| FTS*PSC | 4 | 8.836 | 2.209 | 24.27 |
| Error | 8 | 0.726 | 0.091 | – |
| Total | 26 | 192.465 | – | – |
| Test | ITS (mm/min) | PSC (mm) | FTS (mm/min) | TE (%) |
|---|---|---|---|---|
| 1 | 3 | 3 | 3 | 43.15 |
| 2 | 3 | 3 | 15 | 39.88 |
| 3 | 3 | 3 | 75 | 37.01 |
| 4 | 3 | 4.5 | 3 | 43.15 |
| 5 | 3 | 4.5 | 15 | 40.58 |
| 6 | 3 | 4.5 | 75 | 39.75 |
| 7 | 3 | 6 | 3 | 43.15 |
| 8 | 3 | 6 | 15 | 40.94 |
| 9 | 3 | 6 | 75 | 40.56 |
| 10 | 15 | 3 | 3 | 42.33 |
| 11 | 15 | 3 | 15 | 38.13 |
| 12 | 15 | 3 | 75 | 35.96 |
| 13 | 15 | 4.5 | 3 | 41.91 |
| 14 | 15 | 4.5 | 15 | 38.13 |
| 15 | 15 | 4.5 | 75 | 37.56 |
| 16 | 15 | 6 | 3 | 41.21 |
| 17 | 15 | 6 | 15 | 38.13 |
| 18 | 15 | 6 | 75 | 37.11 |
| 19 | 75 | 3 | 3 | 42.92 |
| 20 | 75 | 3 | 15 | 38.22 |
| 21 | 75 | 3 | 75 | 34.81 |
| 22 | 75 | 4.5 | 3 | 40.27 |
| 23 | 75 | 4.5 | 15 | 37.01 |
| 24 | 75 | 4.5 | 75 | 34.81 |
| 25 | 75 | 6 | 3 | 39.02 |
| 26 | 75 | 6 | 15 | 35.63 |
| 27 | 75 | 6 | 75 | 34.81 |
| Test | ITS (mm/min) | PSC (mm) | FTS (mm/min) | Test Value of TE % | Predicted Value of BPNN % | Predicted Value of RBFNN % | Error | |
|---|---|---|---|---|---|---|---|---|
| BP | RBF | |||||||
| 1 | 10 | 3.5 | 75 | 36.15 | 37.04 | 37.34 | 0.89 | 1.19 |
| 2 | 10 | 3.5 | 50 | 37.02 | 37.43 | 35.56 | 0.41 | 1.46 |
| 3 | 3 | 4 | 50 | 38.72 | 39.35 | 37.39 | 0.63 | 1.33 |
| 4 | 3 | 4 | 30 | 39.55 | 39.82 | 38.53 | 0.27 | 1.02 |
| 5 | 15 | 4.5 | 30 | 37.80 | 37.62 | 35.88 | 0.18 | 1.91 |
| 6 | 30 | 4.5 | 3 | 40.32 | 40.61 | 38.81 | 0.29 | 1.51 |
| 7 | 30 | 5.0 | 3 | 40.50 | 40.34 | 38.74 | 0.16 | 1.76 |
| 8 | 50 | 5.0 | 15 | 36.32 | 36.29 | 35.04 | 0.03 | 1.28 |
| 9 | 10 | 5.5 | 50 | 37.68 | 38.48 | 35.88 | 0.8 | 1.80 |
| 10 | 75 | 5.5 | 3 | 39.97 | 39.89 | 39.72 | 0.08 | 0.25 |
| PSC (mm) | Optimal Range for Total Elongation | Worst Range for Total Elongation | ||||
|---|---|---|---|---|---|---|
| ITS (mm/min) | FTS (mm/min) | Maximum (%) | ITS (mm/min) | FTS (mm/min) | Minimum (%) | |
| 3 | 3–75 | 3–17 | 44.64 | 25–75 | 30–75 | 34.20 |
| 4 | 3–75 | 3–19 | 44.05 | 25–75 | 25–75 | 33.89 |
| 5 | 3–25 | 3–20 | 44.36 | 30–75 | 20–75 | 33.98 |
| 6 | 3–20 | 3–25 | 44.13 | 35–75 | 18–75 | 33.55 |
© 2019 by the authors. Licensee MDPI, Basel, Switzerland. This article is an open access article distributed under the terms and conditions of the Creative Commons Attribution (CC BY) license (http://creativecommons.org/licenses/by/4.0/).
Share and Cite
Chi, X.; Han, S. Effects of Servo Tensile Test Parameters on Mechanical Properties of Medium-Mn Steel. Materials 2019, 12, 3793. https://doi.org/10.3390/ma12223793
Chi X, Han S. Effects of Servo Tensile Test Parameters on Mechanical Properties of Medium-Mn Steel. Materials. 2019; 12(22):3793. https://doi.org/10.3390/ma12223793
Chicago/Turabian StyleChi, Xuemin, and Shuo Han. 2019. "Effects of Servo Tensile Test Parameters on Mechanical Properties of Medium-Mn Steel" Materials 12, no. 22: 3793. https://doi.org/10.3390/ma12223793
APA StyleChi, X., & Han, S. (2019). Effects of Servo Tensile Test Parameters on Mechanical Properties of Medium-Mn Steel. Materials, 12(22), 3793. https://doi.org/10.3390/ma12223793
