Effect of Reaction Time on Microwave Absorption Properties of Fe3O4 Hollow Spheres Synthesized via Ostwald Ripening
Abstract
1. Introduction
2. Experimental
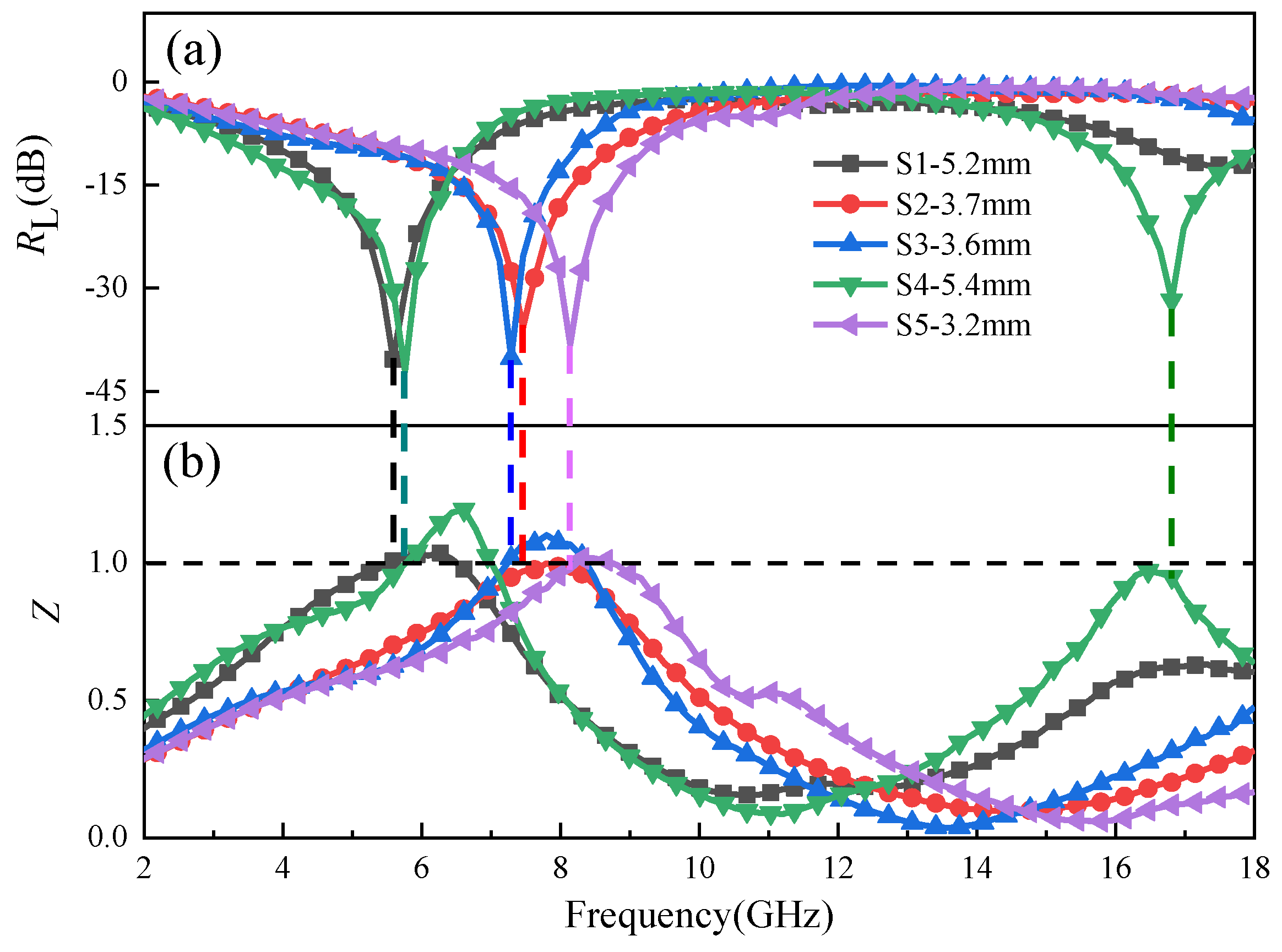
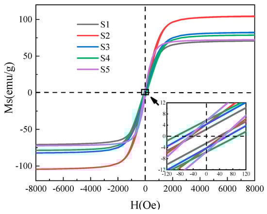
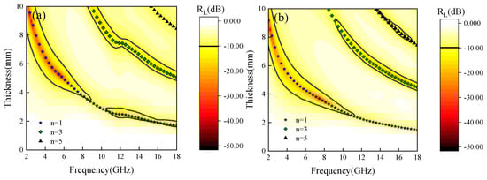
3. Results and Discussion
4. Conclusions
Author Contributions
Funding
Conflicts of Interest
References
- Duan, L.F.; Zhang, X.Y.; Yue, K.Q.; Wu, Y.; Zhuang, J.; Lv, W. Synthesis and electrochemical property of LiMn2O4 porous hollow nanofiber as cathode for lithium-ion batteries. Nanoscale Res. Lett. 2017, 12, 109. [Google Scholar] [CrossRef] [PubMed]
- Qi, X.H.; Zheng, W.J.; He, G.H.; Tian, T.F.; Du, N.X.; Wang, L. NiCo2O4 hollow microspheres with tunable numbers and thickness of shell for supercapacitors. Chem. Eng. J. 2017, 309, 426–434. [Google Scholar] [CrossRef]
- Chen, P.; Cui, B.; Cui, X.R.; Zhao, W.W.; Bu, Y.M.; Wang, Y.Y. A microwave-triggered controllable drug delivery system based on hollow-mesoporous cobalt ferrite magnetic nanoparticles. J. Alloys Compd. 2017, 699, 526–533. [Google Scholar] [CrossRef]
- Wu, Z.C.; Li, W.P.; Luo, C.H.; Su, C.H.; Ye, C.S. Rattle-type Fe3O4@CuS developed to conduct magnetically Guided photoinduced hyperthermia at first and second NIR biological windows. Adv. Funct. Mater. 2015, 25, 6527–6537. [Google Scholar] [CrossRef]
- Lai, X.Y.; Li, J.; Korgel, B.A.; Dong, Z.H.; Li, Z.M.; Su, F.B.; Du, J.; Wang, D. General synthesis and gas-sensing properties of multiple-shell metal oxide hollow microspheres. Angew. Chem. 2011, 50, 2738–2741. [Google Scholar] [CrossRef] [PubMed]
- Owens, F.J. Ferromagnetic resonance of magnetic field oriented Fe3O4 nanoparticles in frozen ferrofluids. J. Phys. Chem. Solids 2003, 64, 2289–2292. [Google Scholar] [CrossRef]
- Zhai, C.X.; Du, N.; Zhang, H.; Yang, D.R. Cobalt-iron cyanide hollow cubes: Three-dimensional self-assembly and magnetic properties. J. Alloys Compd. 2011, 509, 8382–8386. [Google Scholar] [CrossRef]
- Niu, K.Y.; Park, J.W.; Zheng, H.M.; Alivisatos, A.P. Revealing Bismuth Oxide Hollow Nanoparticle Formation by the Kirkendall Effect. Nano Lett. 2013, 13, 5715–5719. [Google Scholar] [CrossRef]
- Zhao, B.; Guo, X.Q.; Zhou, Y.Y.; Su, T.T.; Ma, C.; Zhang, R. Constructing hierarchical hollow CuS microspheres via a galvanic replacement reaction and their use as wide-band microwave absorbers. Cryst-EngComm 2017, 19, 2178–2186. [Google Scholar] [CrossRef]
- Jia, H.X.; Xing, H.L.; Ji, X.L.; Gao, S.T. Synergistic effect of hexagonal flake Co3O4@PANI core-shell composites with excellent microwave-absorbing properties. J. Mater. Sci.-Mater. Electron. 2019, 30, 1–10. [Google Scholar] [CrossRef]
- Qiu, H.; Luo, X.; Wang, J.; Zhong, X.L.; Qi, S.H. Synthesis and characterization of ternary polyaniline/barium ferrite/reduced graphene oxide composite as microwave-absorbing material. J. Electron. Mater. 2019, 48, 1–9. [Google Scholar] [CrossRef]
- Ji, P.C.; Xie, G.Z.; Xie, N.Y.; Li, J.; Chen, J.; Chen, J.W. Microwave absorbing properties of flaky carbonyl iron powder prepared by rod milling method. J. Electron. Mater. 2019, 48, 2495–2500. [Google Scholar] [CrossRef]
- Micheli, D.; Pastore, R.; Delfini, A.; Giusti, A.; Vricella, A.; Santoni, F.; Marchetti, M.; Tolovhko, O.V.; Vasilyeva, E. Electromagnetic characterization of advanced nanostructured materials and multilayer design optimization for metrological and low radar observability applications. Acta Astronaut. 2017, 134, 33–40. [Google Scholar] [CrossRef]
- Wang, H.Y.; Zhang, Y.L.; Wang, Q.Y.; Jia, C.W.; Cai, P.; Chen, G.; Dong, C.J.; Guan, H.T. Biomass carbon derived from pine nut shells decorated with NiO nanoflakes for enhanced microwave absorption properties. RSC Adv. 2019, 9, 9126–9135. [Google Scholar] [CrossRef]
- Wang, Y.P.; Peng, Z.; Jiang, W. Controlled synthesis of Fe3O4@SnO2/RGO nanocomposite for microwave absorption enhancement. Ceram. Int. 2016, 42, 10682–10689. [Google Scholar] [CrossRef]
- Qiao, M.T.; Lei, X.F.; Ma, Y.; Tian, L.D.; Wang, W.B.; Su, K.H.; Zhang, Q.Y. Facile synthesis and enhanced electromagnetic microwave absorption performance for porous core-shell Fe3O4@MnO2 composite microspheres with lightweight feature. J. Alloys Compd. 2017, 693, 432–439. [Google Scholar] [CrossRef]
- Peng, S.; Sun, S. Synthesis and characterization of monodisperse hollow Fe3O4 nanoparticles. Angew. Chem. Int. Ed. 2010, 46, 4155–4158. [Google Scholar] [CrossRef] [PubMed]
- Bin, Q.; Zhu, C.L.; Li, C.Y.; Zhang, X.T.; Chen, Y.J. Coupling hollow Fe3O4-Fe nanoparticles with graphene sheets for high-performance electromagnetic wave absorbing material. ACS Appl. Mater. Interfaces 2016, 8, 3730–3735. [Google Scholar]
- Pastore, R.; Delfini, A.; Micheli, D.; Vricella, A.; Marchetti, M.; Santoni, F.; Piergentili, F. Carbon foam electromagnetic mm-wave absorption in reverberation chamber. Carbon 2019, 144, 63–71. [Google Scholar] [CrossRef]
- Li, Z.W.; Yang, Z.H. Microwave absorption properties and mechanism for hollow Fe3O4 nanosphere composites. J. Magn. Magn. Mater. 2015, 387, 131–138. [Google Scholar] [CrossRef]
- Sui, M.X.; Sun, X.D.; Lou, H.F.; Li, X.P.; Lv, X.L.; Gu, G.X. Synthesis of hollow Fe3O4 particles via one-step solvothermal approach for microwave absorption materials: Effect of reactant concentration, reaction temperature and reaction time. J. Mater. Sci.-Mater. Electron. 2018, 29, 7539–7550. [Google Scholar] [CrossRef]
- Xu, H.L.; Shen, Y.; Bi, H.; Liang, W.F.; Yang, R.B. Preparation and microwave absorption properties of Fe3O4 hollow microspheres. Ferroelectrics 2012, 435, 98–103. [Google Scholar] [CrossRef]
- Sarkar, D.; Mandal, M.; Mandal, K. Domain controlled magnetic and electric properties of variable sized magnetite nano-hollow spheres. J. Appl. Phys. 2012, 112, 06318. [Google Scholar] [CrossRef]
- Zhao, S.Z.; Wu, H.Y.; Lin, S.; Tegus, O.; Asuha, S. Preparation of γ-Fe2O3, nanopowders by direct thermal decomposition of Fe-urea complex: reaction mechanism and magnetic properties. J. Mater. Sci. 2009, 44, 926–930. [Google Scholar] [CrossRef]
- Lee, J.; Isobe, T.; Senna, M. Preparation of Ultrafine Fe3O4 Particles by Precipitation in the Presence of PVA at High pH. J. Colloid Interface Sci. 1996, 177, 490–494. [Google Scholar] [CrossRef]
- Cole, K.S.; Cole, R.H. Dispersion and Absorption in Dielectrics I. Alternating Current Characteristics. J. Chem. Phys. 1941, 9, 341–351. [Google Scholar] [CrossRef]
- Li, N.; Huang, G.W.; Li, Y.Q.; Xiao, H.M.; Feng, O.P.; Hu, N.; Fu, S.Y. Enhanced microwave absorption performance of coated carbon nanotubes by optimizing the Fe3O4 nanocoating structure. ACS Appl. Mater. Interfaces 2017, 9, 2973–2983. [Google Scholar] [CrossRef] [PubMed]
- Meng, F.B.; Wang, H.G.; Huang, F.; Guo, Y.F.; Wang, Z.Y.; Hui, D.; Zhou, Z.W. Graphene-based microwave absorbing composites: A review and prospective. Compos. Part B-Eng. 2018, 137, 260–277. [Google Scholar] [CrossRef]
- Lu, M.M.; Cao, M.S.; Chen, Y.H.; Cao, W.Q.; Liu, J.; Shi, H.L.; Zhang, D.Q.; Wang, W.Z.; Yuan, J. Multiscale assembly of grape-like ferroferric oxide and carbon nanotubes: A smart absorber prototype varying temperature to tune intensities. ACS Appl. Mater. Interfaces 2015, 7, 19408–19415. [Google Scholar] [CrossRef]
- Liu, X.G.; Ou, Z.Q.; Geng, D.Y.; Xie, Z.G.; Zhang, Z.D.; Han, Z. Enhanced natural resonance and attenuation properties in superparamagnetic graphite-coated FeNi3 nanocapsules. J. Phys. D Appl. Phys. 2009, 42, 155004–155009. [Google Scholar] [CrossRef]
- Shi, G.M.; Zhang, B.; Wang, X.L.; Fu, Y.H. Enhanced microwave absorption properties of core double-shell type Fe@C@BaTiO3 nanocapsules. J. Alloys Compd. 2016, 655, 130–137. [Google Scholar] [CrossRef]
- Jazirehpour, M.; Ebrahimi, S. Effect of aspect ratio on dielectric, magnetic, percolative and microwave absorption properties of magnetite nanoparticles. J. Alloys Compd. 2015, 638, 188–196. [Google Scholar] [CrossRef]
- Naito, Y.; Suetake, K. Application of ferrite to electromagnetic wave absorber and its characteristics. IEEE Trans. Microw. Theory 1971, 19, 65–72. [Google Scholar] [CrossRef]
- Qin, F.X.; Brosseau, C. A review and analysis of microwave absorption in polymer composites filled with carbonaceous particles. J. Appl. Phys. 2012, 111, 061301–061324. [Google Scholar] [CrossRef]
- Du, Y.C.; Liu, W.W.; Qiang, R.; Han, X.J.; Ma, J.; Xu, P.; Wang, Y. Shell thickness-dependent microwave absorption of core-shell Fe3O4@C composites. ACS Appl. Mater. Interfaces 2014, 6, 12997–13006. [Google Scholar] [CrossRef] [PubMed]
- Gao, X.B.; Zhang, K.C.; Zhang, Q.; Li, C.W.; Wang, Y.; Chen, X.F. Porous corn-like Fe3O4 nanosheets decorated fluffy graphene nanocomposites and their enhanced microwave absorption properties. J. Mater. Sci.-Mater. Electron. 2018, 29, 12178–12186. [Google Scholar] [CrossRef]










| Sample | n(Fe2+):n(Fe3+) | FeσO4 | Oxidation Rate |
|---|---|---|---|
| S1 | 0.449 | Fe2.974O4 | 7.21 % |
| S2 | 0.463 | Fe2.982O4 | 5.27 % |
| S3 | 0.455 | Fe2.977O4 | 6.38 % |
| S4 | 0.459 | Fe2.979O4 | 5.82 % |
| S5 | 0.453 | Fe2.976O4 | 6.65 % |
| Sample | Saturation Magnetization (emu/g) | Coercive Force (H/Oe) |
|---|---|---|
| S1 | 70.64 | 74.7 |
| S2 | 103.93 | 98.8 |
| S3 | 81.83 | 129.7 |
| S4 | 78.55 | 188.8 |
| S5 | 72.27 | 101.4 |
| Sample | S Band | C Band | X Band | Ku Band | Total |
|---|---|---|---|---|---|
| S1 | 90.09 | 125.41 | 131.85 | 383.46 | 730.81 |
| S2 | 101.57 | 214.96 | 122.20 | 459.66 | 898.39 |
| S3 | 182.44 | 382.66 | 90.10 | 245.88 | 901.08 |
| S4 | 111.83 | 173.48 | 99.50 | 201.79 | 586.60 |
| S5 | 154.03 | 415.93 | 178.51 | 184.52 | 932.99 |
© 2019 by the authors. Licensee MDPI, Basel, Switzerland. This article is an open access article distributed under the terms and conditions of the Creative Commons Attribution (CC BY) license (http://creativecommons.org/licenses/by/4.0/).
Share and Cite
Huang, W.; Wang, Y.; Wei, S.; Wang, B.; Liang, Y.; Huang, Y.; Xu, B. Effect of Reaction Time on Microwave Absorption Properties of Fe3O4 Hollow Spheres Synthesized via Ostwald Ripening. Materials 2019, 12, 2921. https://doi.org/10.3390/ma12182921
Huang W, Wang Y, Wei S, Wang B, Liang Y, Huang Y, Xu B. Effect of Reaction Time on Microwave Absorption Properties of Fe3O4 Hollow Spheres Synthesized via Ostwald Ripening. Materials. 2019; 12(18):2921. https://doi.org/10.3390/ma12182921
Chicago/Turabian StyleHuang, Wei, Yujiang Wang, Shicheng Wei, Bo Wang, Yi Liang, Yuwei Huang, and Binshi Xu. 2019. "Effect of Reaction Time on Microwave Absorption Properties of Fe3O4 Hollow Spheres Synthesized via Ostwald Ripening" Materials 12, no. 18: 2921. https://doi.org/10.3390/ma12182921
APA StyleHuang, W., Wang, Y., Wei, S., Wang, B., Liang, Y., Huang, Y., & Xu, B. (2019). Effect of Reaction Time on Microwave Absorption Properties of Fe3O4 Hollow Spheres Synthesized via Ostwald Ripening. Materials, 12(18), 2921. https://doi.org/10.3390/ma12182921
