Effect of Sodium Hydroxide Concentration in Synthesizing Zinc Selenide/Graphene Oxide Composite via Microwave-Assisted Hydrothermal Method
Abstract
:1. Introduction
2. Materials and Methods
3. Results
3.1. Phase and Structural Results
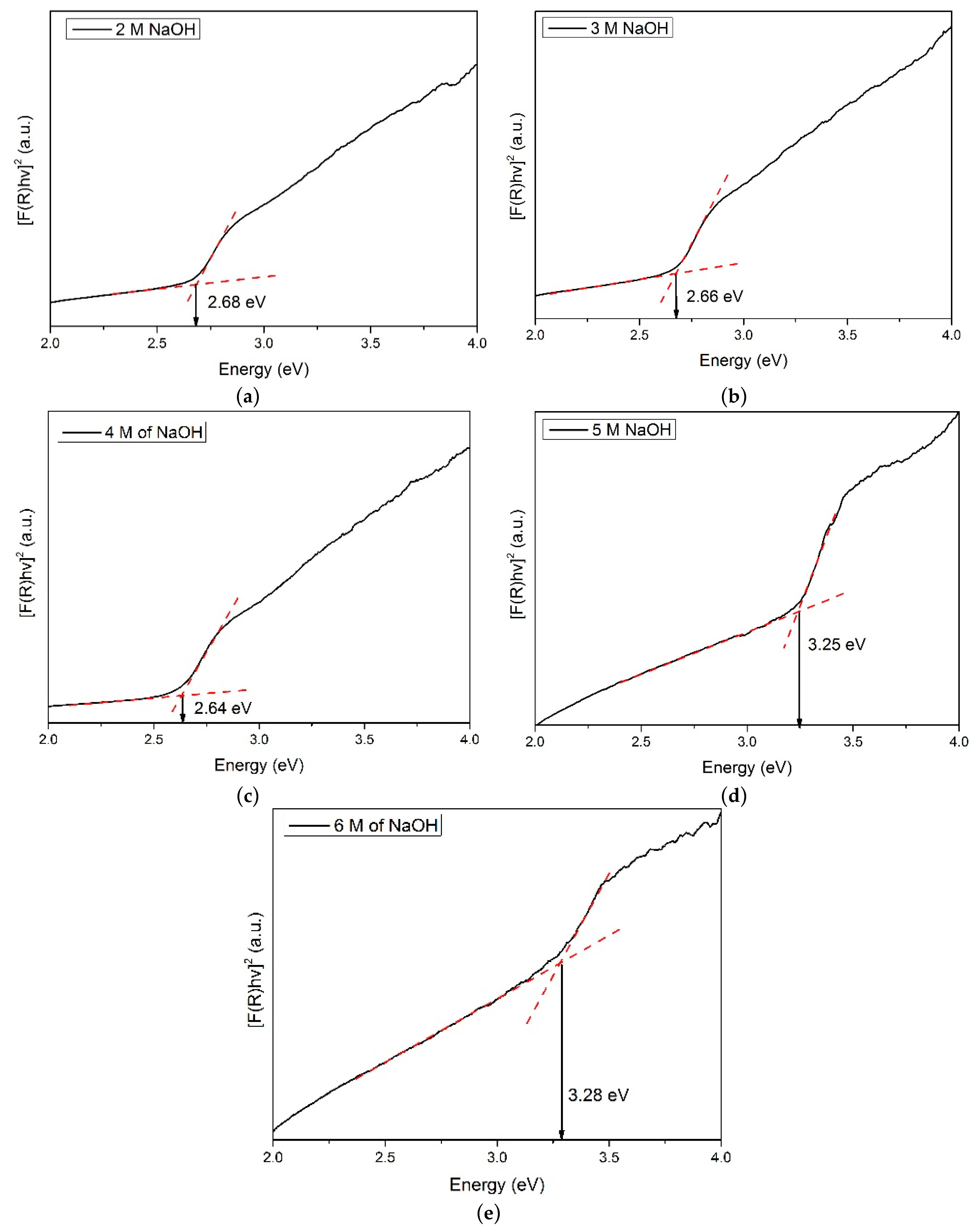
3.2. Optical Results
3.3. Morphological Results
4. Discussion
5. Conclusions
Author Contributions
Acknowledgments
Conflicts of Interest
References
- Farjami Shayesteh, S. Effect of pH on the structural and optical properties of ZnS nanoparticles embedded in PVA matrix. Indian J. Pure Ap. Mat. 2016, 51, 780–783. [Google Scholar]
- Gust, A.; Kruse, C.; Klude, M.; Roventa, E.; Kröger, R.; Sebald, K.; Lohmeyer, H.; Brendemühl, B.; Gutowski, J.; Hommel, D. ZnSe-based laser diodes: New approaches. J. Phys. Status Solidi C 2005, 2, 1098–1105. [Google Scholar]
- Roventa, E.; Kröger, R.; Klude, M.; Ueta, A.; Alexe, G.; Ryder, P.; Hommel, D. Microstructural study of quantum well degradation in ZnSe-based laser diodes. J. Phys. Status Solidi C 2004, 1, 1005–1009. [Google Scholar] [CrossRef]
- Hao, H.Y.; Yao, X.; Wang, M.Q. Preparation and optical characteristics of ZnSe nanocrystals doped glass by sol-gel in situ crystallization method. Opt. Mater. 2007, 29, 573–577. [Google Scholar] [CrossRef]
- Wei, J.; Li, K.Z.; Chen, J.; Zhang, J.Z.; Wu, R.H. Synthesis and photoluminescence of semiconductor ZnSe hollow microspheres by two-sourced evaporation. J. Alloys Compd. 2012, 531, 86–90. [Google Scholar] [CrossRef]
- Wang, X.; Zhu, J.J.; Zhang, Y.G.; Jiang, J.G.; Wei, S.B. One-pot synthesis and optical properties of monodisperse ZnSe colloidal microspheres. Appl. Phys. A 2010, 99, 651–656. [Google Scholar] [CrossRef]
- Gong, H.; Huang, H.; Wang, M.Q.; Liu, K.P. Characterization and growth mechanism of ZnSe microspheres prepared by hydrothermal synthesis. Ceram. Int. 2007, 33, 1381–1384. [Google Scholar] [CrossRef]
- Ren, X.L.; Li, Q.Y.; Xue, Y.N.; Zhai, X.F.; Yu, M. Solvothermal synthesis of well-dispersed ZnSe microspheres. J. Colloid Interface Sci. 2013, 389, 53–60. [Google Scholar] [CrossRef]
- Zhang, L.; Yang, H.; Xie, X.; Zhang, F.; Li, L. Preparation and photocatalytic activity of hollow ZnSe microspheres via Ostwald ripening. J. Alloy Compd. 2009, 473, 65–70. [Google Scholar] [CrossRef]
- Ashari, F.; Chyi, J.L.Y.; Talib, Z.A.; Yunus, W.W.W. Optical Characterization of Colloidal Zinc Selenide Quantum Dots Prepared through Hydrothermal Method. Sains Malaysiana. 2016, 45, 1191–1196. [Google Scholar]
- Zhao, L.; Pang, Q.; Cai, Y.; Wang, N.; Ge, W.; Wang, J.; Yang, S. Vertically aligned zinc selenide nanoribbon arrays: microstructure and field emission. J. Phys. D Apply. Phys. 2007, 40, 3587–3591. [Google Scholar] [CrossRef]
- Zou, R.; He, G.; Xu, K.; Liu, Q.; Zhang, Z.; Hu, J. ZnO nanorods on reduced graphene sheets with excellent field emission, gas sensor and photocatalytic properties. J. Mater. Chem. A 2013, 1, 8445–8452. [Google Scholar] [CrossRef]
- El-Shafai, N.M.; El-Khouly, M.E.; El-Kemary, M.; Ramadan, M.S.; Masoud, M.S. Graphene oxide–metal oxide nanocomposites: fabrication, characterization and removal of cationic rhodamine B dye. RSC Adv. 2018, 8, 13323–13332. [Google Scholar] [CrossRef]
- Dąbrowska, S.; Chudoba, T.; Wojnarowicz, J.; Łojkowski, W. Current trends in the development of microwave reactors for the synthesis of nanomaterials in laboratories and industries: a review. Crystals 2018, 8, 379. [Google Scholar] [CrossRef]
- Horikoshi, S.; Schiffmann, R.F.; Fukushima, J.; Serpone, N. Microwave Chemical and Materials Processing, 1st ed.; Springer: Singapore, 2018; pp. 1–17. [Google Scholar]
- Cintas, P.; Veronesi, P.; Leonelli, C.; Keglevich, G.; Mucsi, Z.; Radoiu, M.; Ano, T. Microwave Chemistry; DeGruyterTextbook; DeGruyter: Berlin, Germany, 2017; pp. 1–3. [Google Scholar]
- Khalil, U.; Muraza, O. Microwave-assisted hydrothermal synthesis of mordenite zeolite: Optimization of synthesis parameters. Microporous Mesoporous Mater. 2016, 232, 211–217. [Google Scholar] [CrossRef]
- Chen, H.; Lv, K.; Du, Y.; Ye, H.; Du, D. Microwave-assisted rapid synthesis of Fe2O3/ACF hybrid for high efficient As (V) removal. J. Alloy Compd. 2016, 674, 399–405. [Google Scholar] [CrossRef]
- Hasanpoor, M.; Aliofkhazraei, M.; Delavari, H. Microwave-assisted synthesis of zinc oxide nanoparticles. Proc. Mat. Sci. 2015, 11, 320–325. [Google Scholar]
- Kee, L.H.; Chyi, J.L.Y.; Talib, Z.A.; Mamat, M.S.; Ngee, J.L.H.; Ashari, F.; AL-Jumaili, B.E.; Huang, L.Z.; Hasbullah, N.N. Optical characterization of zinc selenide/graphene oxide composite synthesized via microwave-assisted hydrothermal method. Optik 2017, 144, 49–53. [Google Scholar] [CrossRef]
- Kim, C.C.; Sivananthan, S. Optical properties of ZnSe and its modeling. Phys. Rev. B Condens. Matter. 1996, 53, 1475–1484. [Google Scholar] [CrossRef] [PubMed]
- Singhal, M.A.N.J.U.; Sharma, J.K.; Kumar, S.U.N.I.L. Effect of molar concentration and pH on the nucleation of ZnS quantum dots. Atti della Fondazione Giorgio Ronchi 2010, 65, 755–758. [Google Scholar]
- Zhang, J.; Li, J.; Zhang, J.; Xie, R.; Yang, W. Aqueous synthesis of ZnSe nanocrystals by using glutathione as ligand: the pH-mediated coordination of Zn2+ with glutathione. J. Phys. Chem. C 2010, 114, 11087–11091. [Google Scholar] [CrossRef]
- Hardzei, M.; Artemyev, M. Influence of pH on luminescence from water-soluble colloidal Mn-doped ZnSe quantum dots capped with different mercaptoacids. J. Lumin. 2012, 132, 425–428. [Google Scholar] [CrossRef]
- Nasr, T.B.; Kamoun, N.; Kanzari, M.; Bennaceur, R. Effect of pH on the properties of ZnS thin films grown by chemical bath deposition. Thin Solid Films. 2006, 500, 4–8. [Google Scholar] [CrossRef]
- Hydrothermal Synthesis of ZnSe Nanoparticle. Available online: https://pdfs.semanticscholar.org/12fd/02c519fcdde5b154649d473e0aae30ded510.pdf (accessed on 27 May 2019).
- Kumar, P.; Singh, J.; Pandey, M.K.; Jeyanthi, C.E.; Siddheswaran, R.; Paulraj, M.; Hui, K.N.; Hui, K.S. Synthesis, structural, optical and Raman studies of pure and lanthanum doped ZnSe nanoparticles. Mater. Res. Bull. 2014, 49, 144–150. [Google Scholar] [CrossRef]
- Pinto, A.H.; Leite, E.R.; Longo, E.; de Camargo, E.R. Crystallization at room temperature from amorphous to trigonal selenium as a byproduct of the synthesis of water dispersible zinc selenide. Mater. Lett. 2012, 87, 62–65. [Google Scholar] [CrossRef]
- Feng, B.; Cao, J.; Yang, J.; Yang, S.; Han, D. Characterization and photocatalytic activity of ZnSe nanoparticles synthesized by a facile solvothermal method, and the effects of different solvents on these properties. Mater. Ress. Bull. 2014, 60, 794–801. [Google Scholar] [CrossRef]
- Ashfold, M.N.; Doherty, R.P.; Ndifor-Angwafor, N.G.; Riley, D.J.; Sun, Y. The kinetics of the hydrothermal growth of ZnO nanostructures. Thin Solid Films 2007, 515, 8679–8683. [Google Scholar] [CrossRef]
- Zeng, Q.; Xue, S.; Wu, S.; Gan, K.; Xu, L.; Han, J.; Zou, R. Synthesis and characterization of ZnSe rose-like nanoflowers and microspheres by the hydrothermal method. Ceram. Int. 2014, 40, 2847–2852. [Google Scholar] [CrossRef]
- Ando, K.; Saito, H.; Jin, Z.; Fukumura, T.; Kawasaki, M.; Matsumoto, Y.; Koinuma, H. Magneto-optical properties of ZnO-based diluted magnetic semiconductors. J. Appl. Phys. 2001, 89, 7284–7286. [Google Scholar] [CrossRef]
- Chen, Y.L.; Zhang, C.E.; Deng, C.; Fei, P.; Zhong, M.; Su, B. Preparation of ZnO/GO composite material with highly photocatalytic performance via an improved two-step method. Chin. Chem. Lett. 2013, 24, 518–520. [Google Scholar] [CrossRef]
- Li, B.; Liu, T.; Wang, Y.; Wang, Z. ZnO/graphene-oxide nanocomposite with remarkably enhanced visible-light-driven photocatalytic performance. J. Colloid Interface Sci. 2012, 377, 114–121. [Google Scholar] [CrossRef]





| NaOH (M) | Composition (%) | |||
|---|---|---|---|---|
| ZnSe | Se | ZnO | Zn(HSeO3)2(H2O)4 | |
| 2 | 88.2 | 10.2 | 1.6 | - |
| 3 | 98.2 | 1.8 | - | - |
| 4 | 100.0 | - | - | - |
| 5 | 27.7 | 35.6 | 5.9 | 30.8 |
| 6 | 6.0 | 40.0 | 26.0 | 28.0 |
© 2019 by the authors. Licensee MDPI, Basel, Switzerland. This article is an open access article distributed under the terms and conditions of the Creative Commons Attribution (CC BY) license (http://creativecommons.org/licenses/by/4.0/).
Share and Cite
Lee, H.K.; Talib, Z.A.; Mamat @ Mat Nazira, M.S.; Wang, E.; Lim, H.N.; Mahdi, M.A.; Ng, E.K.; Yusoff, N.M.; AL-Jumaili, B.E.; Liew, J.Y.C. Effect of Sodium Hydroxide Concentration in Synthesizing Zinc Selenide/Graphene Oxide Composite via Microwave-Assisted Hydrothermal Method. Materials 2019, 12, 2295. https://doi.org/10.3390/ma12142295
Lee HK, Talib ZA, Mamat @ Mat Nazira MS, Wang E, Lim HN, Mahdi MA, Ng EK, Yusoff NM, AL-Jumaili BE, Liew JYC. Effect of Sodium Hydroxide Concentration in Synthesizing Zinc Selenide/Graphene Oxide Composite via Microwave-Assisted Hydrothermal Method. Materials. 2019; 12(14):2295. https://doi.org/10.3390/ma12142295
Chicago/Turabian StyleLee, Han Kee, Zainal Abidin Talib, Md Shuhazlly Mamat @ Mat Nazira, EnZe Wang, Hong Ngee Lim, Mohd Adzir Mahdi, Eng Khoon Ng, Norita Mohd Yusoff, Batool Eneaze AL-Jumaili, and Josephine Ying Chyi Liew. 2019. "Effect of Sodium Hydroxide Concentration in Synthesizing Zinc Selenide/Graphene Oxide Composite via Microwave-Assisted Hydrothermal Method" Materials 12, no. 14: 2295. https://doi.org/10.3390/ma12142295
APA StyleLee, H. K., Talib, Z. A., Mamat @ Mat Nazira, M. S., Wang, E., Lim, H. N., Mahdi, M. A., Ng, E. K., Yusoff, N. M., AL-Jumaili, B. E., & Liew, J. Y. C. (2019). Effect of Sodium Hydroxide Concentration in Synthesizing Zinc Selenide/Graphene Oxide Composite via Microwave-Assisted Hydrothermal Method. Materials, 12(14), 2295. https://doi.org/10.3390/ma12142295

