Effect of Selected Luminescent Layers on CCT, CRI, and Response Times
Abstract
1. Introduction
2. Materials and Methods
Preparation of Samples
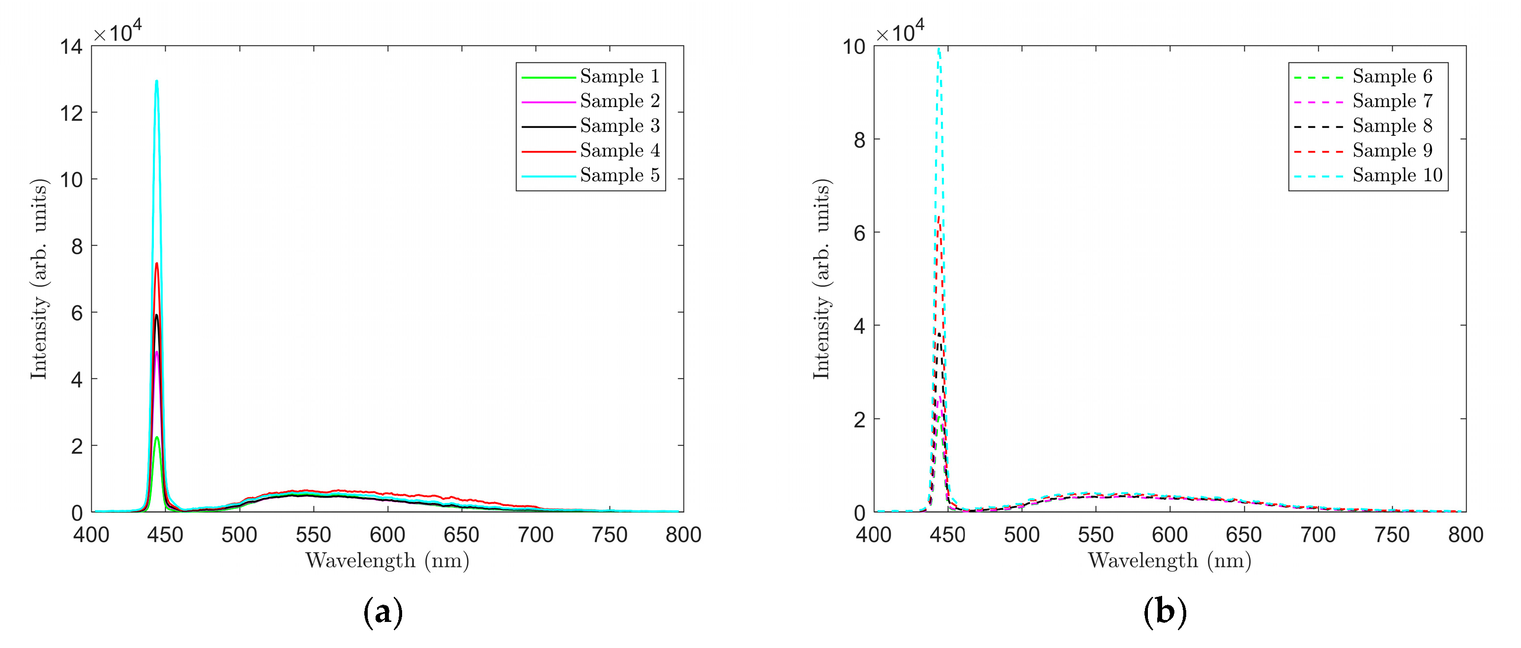
3. Measurements and Results
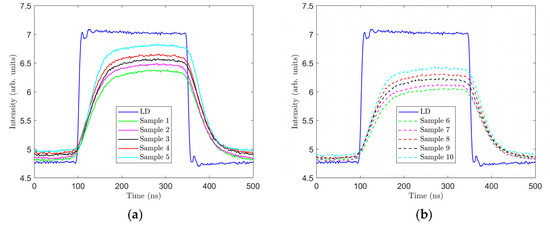
Measurement of Rising and Falling Edge Times
4. Conclusions
Author Contributions
Funding
Conflicts of Interest
References
- Schubert, E.F. Light-Emitting Diodes, 2nd ed.; Cambridge University Press: New York, NY, USA, 2006; ISBN 10-0-521-86538-7. [Google Scholar]
- Liu, M.; Li, K.; Kong, F.-M.; Zhao, J.; Xu, C.-J. Using three-component hierarchical structures to improve the light extraction from white LEDs based on red-green-blue color mixing method. Prog. Electromagn. Res. C 2017, 75, 169–180. [Google Scholar] [CrossRef]
- Mei, J.; Liu, L. Research on white light color temperature deviation based on tricolor LEDs. Guangxue Xuebao Acta Opt. Sin. 2016, 36, 0833001. (In Chinese) [Google Scholar] [CrossRef]
- Muthu, S.; Gaines, J.R. Green and Blue LED-Based White Light Source: Implementation Challenges and Control Design. In Proceeding of the IEEE Industry Applications Society 38th Annual Meeting: Crossroads to Innovation, Salt Lake City, UT, USA, 12–16 October 2003; pp. 515–522. [Google Scholar]
- Withnall, R.; Silver, J. Luminescence of phosphors. In Handbook of Visual Display Technology; Chen, J., Cranton, W., Fihn, M., Eds.; Springer: Berlin, Germany, 2012. [Google Scholar]
- Feng, G.; Jiang, W.; Liu, J.; Li, C.; Zhang, Q.; Miao, L.; Wu, Q. Synthesis and luminescence properties of Al2O3@YAG: Ce core–shell yellow phosphor for white LED application. Ceram. Int. 2018, 44, 8435–8439. [Google Scholar] [CrossRef]
- Chen, L.-C.; Tseng, Z.-L.; Chang, W.-W.; Lin, Y.W. Warm white light-emitting diodes using organic–inorganic halide perovskite materials coated YAG:Ce3+ phosphors. Ceram. Int. 2018, 44, 3868–3872. [Google Scholar] [CrossRef]
- Wang, J.; Lee, S.W.R.; Zou, H. Investigation on the influence of phosphor particle size gradient on the optical performance of white light-emitting diodes. In Proceedings of the IEEE 18th Electronics Packaging Technology Conference, EPTC 2016, Singapore, 30 November–3 December 2016. [Google Scholar]
- Kim, Y.; Shim, K.B.; Wu, M.; Jung, H.-K. Monodispersed spherical YAG:Ce3+ phosphor particles by one-pot synthesis. J. Alloy. Compd. 2017, 693, 40–47. [Google Scholar] [CrossRef]
- Gu, G.; Xiang, W.; Yang, C.; Fan, W.; Lv, Y.; Zhang, Z.; Liang, X. A novel single-component white-emitting Tb and Mn co-doped large-sized Y3Al5O12:Ce3+ single crystal for white LED. Sci. Adv. Mater. 2016, 8, 1354–1360. [Google Scholar] [CrossRef]
- Du, Y.; Shao, C.; Dong, Y.; Yang, Q. Electroluminescent Properties of WLEDs with the Structures of Ce:YAG Single Crystal/Blue Chip and Sr2Si5N8:Eu2+/Ce:YAG Single Crystal/Blue Chip. J. Disp. Technol. 2016, 12, 323–327. [Google Scholar] [CrossRef]
- Zhao, B.; Liang, X.; Chen, Z.; Xie, C.; Luo, L.; Zhang, Z.; Zhong, J.; Xiang, W. Studies on optical properties and Ce concentration of Ce: YAG single crystal for WLEDs. Gaodeng Xuexiao Huaxue Xuebao Chem. J. Chin. Univ. 2014, 35, 230–236. [Google Scholar]
- Zhou, H.; Zou, J.; Yang, B.; Wu, W.; Shi, M.; Wang, Z.; Liu, Y.; Li, M.; Zhao, G. Facile preparation and luminescence performance of transparent YAG:Ce phosphor-in-tellurate-glass inorganic color converter for white-light-emitting diodes. J. Non Cryst. Solids 2018, 481, 537–542. [Google Scholar] [CrossRef]
- Peng, Y.; Li, R.; Cheng, H.; Chen, Z.; Chen, M. High-power white LED packaging using phosphor-in-glass and its thermal reliability. In Proceedings of the 13th China International Forum on Solid State Lighting, SSLCHINA, Beijing, China, 15–17 November 2016. [Google Scholar]
- Gong, M.; Liang, X.; Wang, Y.; Xu, H.; Zhang, L.; Xiang, W. Novel synthesis and optical characterization of phosphor-converted WLED employing Ce:YAG-doped glas. J. Alloy. Compd. 2016, 664, 125–132. [Google Scholar] [CrossRef]
- Lin, H.-Y.; Tu, Z.-Y.; Ku, P.-C.; Lin, C.-C.; Kuo, H.-C. Large area lighting applications with organic dye embedded flexible film. In Proceedings of the Light-Emitting Diodes: Materials, Devices, and Applications for Solid State Lighting XIX; SPIE 9383, San Francisco, CA, USA, 7–12 February 2015. [Google Scholar]
- Chen, L.-C.; Lin, W.-W.; Chen, J.-W. Fabrication of GaN-based white light-emitting diodes on yttrium aluminum garnet-polydimethylsiloxane flexible substrates. Adv. Mater. Sci. Eng. 2015, 2015, 537163. [Google Scholar] [CrossRef]
- Jargus, J.; Nedoma, J.; Fajkus, M.; Novak, M.; Vasinek, V. Study combination of luminophore and polydimethylsiloxane for alternative option of passive energy lighting. In Proceedings of the Image Sensing Technologies: Materials, Devices, Systems, and Applications IV; SPIE 10209, Anaheim, CA, USA, 9–13 April 2017. [Google Scholar]
- Esteves, A.C.C.; Brokken-Zijp, J.; Laven, J.; de With, G. Light converter coatings from cross-linked PDMS/particles composite. Prog. Org. Coat. 2010, 68, 1–2. [Google Scholar] [CrossRef]
- Li, X.; Jiang, Y.; Li, J.; Shi, Z.; Zhu, G.; Wang, Y. Integrated photonics chip with InGaN/GaN light-emitting diode and bended waveguide for visible-light communications. Opt. Laser Technol. 2019, 114, 103–109. [Google Scholar] [CrossRef]
- Xie, E.; He, X.; Islim, M.S.; Purwita, A.A.; Mckendry, J.J.D.; Gu, E.; Haas, H.; Dawson, M.D. High-speed visible light communication based on a III-nitride series-biased micro-LED array. J. Lightwave Technol. 2019, 37, 1180–1186. [Google Scholar] [CrossRef]
- Wu, T.-C.; Chi, Y.-C.; Wang, H.-Y. White-lighting communication with a Lu3Al5O12:Ce3+/CaAlSiN3:Eu2+ Glass Covered 450-nm InGaN Laser Diode. J. Lightwave Technol. 2018, 36, 1634–1643. [Google Scholar] [CrossRef]
- Zafar, F.; Bakaul, M.; Parthiban, R. Laser-diode-based visible light communication: Toward gigabit class communication. IEEE Commun. Mag. 2017, 55, 144–151. [Google Scholar] [CrossRef]
- Devi, P.; Maddila, R.K. External modulation using MZM for visible wavelengths. In Optical and Wireless Technologies; Vijay, J., Singh, G., Tiwari, M., D’alessandro, A., Eds.; Springer: Singapore, 2020; pp. 37–41. [Google Scholar]
- Xu, Y.; Chen, Z.; Gong, Z.; Xia, Z.; Yuan, T.; Gu, Z.; Zhao, W.; Chen, J. Hybrid modulation scheme for visible light communication using CMOS camera. Opt. Commun. 2019, 440, 89–94. [Google Scholar] [CrossRef]
- Haigh, P.A.; Chvojka, P.; Ghassemlooy, Z.; Zvanovec, S.; Darwazeh, I. Visible light communications: Multi-band super-Nyquist CAP modulation. Opt. Express 2019, 27, 8912–8919. [Google Scholar] [CrossRef] [PubMed]
- Salmento, M.L.G.; Soares, G.M.; Alonso, J.M.; Braga, H.A.C. A Dimmable offline LED driver with OOK-M-FSK modulation for VLC applications. IEEE Trans. Ind. Electron. 2019, 66, 5220–5230. [Google Scholar] [CrossRef]
- Yan, D.; Mao, X.; Xie, S.; Cong, J.; Chen, H. Design Fully Integrated Driver Circuit for Phosphorescent White Light-Emitting-Diode High Speed Real-Time Wireless Communication. IEEE Photonics J. 2019, 11, 1–10. [Google Scholar] [CrossRef]
- Khadr, M.; Aziz, A.; Fayed, H.; Aly, M. Bandwidth and BER Improvement employing a pre-equalization circuit with white LED arrays in a MISO VLC system. Appl. Sci. 2019, 9, 986. [Google Scholar] [CrossRef]
- Salamandra, L.; Nia, N.Y.; Natali, M. Perovskite photo-detectors (PVSK-PDs) for visible light communication. Org. Electron. 2019, 69, 220–226. [Google Scholar] [CrossRef]
- Kosman, J.; Almer, O.; Abbas, T. 500Mb/s -46.1dBm CMOS SPAD Receiver for laser diode visible-light communications. In Proceedings of the IEEE International Solid-State Circuits Conference—(ISSCC) IEEE, San Francisco, CA, USA, 17–21 February 2019; pp. 468–470. [Google Scholar]
- Swain, K.P.; Palai, G.; Moharana, J.K. Design and implementation of opto-electro decoder using photonic structure: A new application of Li-fi vis-a-vis optical embedded system. Optik 2019, 178, 658–663. [Google Scholar] [CrossRef]
- Liu, X.; Lin, R.; Qian, Z. An InGaN micro-LED based photodetector array for high-speed parallel visible light communication. In Proceedings of the Asia Communications and Photonics Conference (ACP) IEEE, Hangzhou, China, 26–29 October 2018; pp. 1–3. [Google Scholar]
- Ma, S.; Dai, J.; Lu, S.; Li, H.; Zhang, H.; Du, C.; Li, S. Signal demodulation with machine learning methods for physical layer visible light communications: Prototype platform, open dataset, and algorithms. IEEE Access 2019, 7, 30588–30598. [Google Scholar] [CrossRef]
- Vitasek, J.; Jargus, J.; Stratil, T.; Latal, J.; Kolar, J. Illumination and communication characteristics of white light created by laser excitation of YAG: Ce phosphor powders. Opt. Mater. 2018, 83, 131–137. [Google Scholar] [CrossRef]
- Pokorny, M.; Paterek, J.; Nikl, M.; Sykorova, S.; Stehlik, A.; Polak, J.; Houzvivka, J. Concentration dependence of energy transfer Ce3+→Er3+ in YAG host. Opt. Mater. 2018, 86, 338–342. [Google Scholar] [CrossRef]
- Vitasek, J.; Jargus, J.; Hejduk, S.; Stratil, T.; Latal, J.; Vasinek, V. Phosphor decay measurement and its influence on communication properties. In Proceedings of the 19th International Conference on Transparent Optical Networks (ICTON) IEEE, Girona, Spain, 2–6 July 2017; pp. 1–4. [Google Scholar]
- Lisitsyn, V.M.; Ju, Y.; Stepanov, S.A.; Soschin, N.M. Complex study on photoluminescence properties of YAG:Ce,Gd phosphors. J. Phys. Conf. Ser. 2017, 830, 012160. [Google Scholar] [CrossRef]
- CIE Commission Internationale de l’Eclairage Proceedings; Cambridge University Press: Cambridge, UK, 1995.
- Bass, M. Handbook of Optics; R.R. Donnelly & Sons Company: Chicago, IL, USA, 1995; ISBN 0-07-047740-X. [Google Scholar]
- Janjua, B.; Ng, T.K.; Zhao, C.; Oubei, H.M.; Shen, C.; Prabaswara, A.; Alias, M.S.; Alhamoud, A.A.; Alatawi, A.A.; Albadri, A.M.; et al. Ultrabroad linewidth orange-emitting nanowires LED for high CRI laser-based white lighting and gigahertz communications. Opt. Express 2016, 24, 19228–19236. [Google Scholar] [CrossRef]
- He, M.; Cheng, Y.; Shen, L.; Zhang, H.; Shen, C.; Xiang, W.; Liang, X. Doping manganese into CsPb(Cl/Br)3 quantum dots glasses: Dual-color emission and super thermal stability. J. Am. Ceram. Soc. 2019, 102, 1090–1100. [Google Scholar] [CrossRef]
- Minh, T.H.Q.; Nhan, N.H.K.; Anh, N.D.Q.; Nam, T.T.; Lee, H.-Y. Improving color uniformity and color rending index of remote-phosphor packaging white leds by co-doping SiO2 and Sr2Si5N8:Eu2+ particles. Mater. Sci. Pol. 2018, 36, 370–374. [Google Scholar] [CrossRef]
- Khaidukov, N.M.; Hongbin, L. Extended broadband luminescence of dodecahedral multisite Ce3+ ions in garnets {Y3}[MgA](BAlSi)O12 (A = Sc, Ga, Al; B = Ga, Al). Dyes Pigments 2017, 142, 524–529. [Google Scholar] [CrossRef]
- Park, K.; Kim, H.; Shinde, K.N.; Dhoble, S.J. Luminescence Properties of Ces3+ Doped Y3Al5O12 Phosphors Synthesized by Solution Combustion Method for White LEDs. Adv. Mater. Res. 2013, 679, 63–67. [Google Scholar] [CrossRef]
- Okada, G.; Akatsuka, M.; Yanagida, T. Characterizations of Ce-doped Y4Al2O9 crystals for scintillator Applications. Sens. Mater. 2018, 30, 1547–1554. [Google Scholar] [CrossRef]
- Jinsheng, L.; Xiumei, H.; Lei, W.; Xudong, S.; Xiwei, Q. Photoluminescence properties of (Y1−xCex)3Al5O12 (x = 0.005–0.03) nanophosphors and transparent ceramic by a homogeneous co-precipitation method. J. Lumin. 2019, 206, 364–369. [Google Scholar]
- Osipov, V.V.; Ishchenko, A.V.; Shitov, L.A. Fabrication, optical and scintillation properties of transparent YAG:Ce ceramics. Opt. Mater. 2017, 71, 98–102. [Google Scholar] [CrossRef]













| Sample | Speed of Rotation to Prepare the Layer (rpm) | Layer Thickness (μm) | Weight Ratio YAG:Ce and PDMS | Weight Ratio CaS:Eu and PDMS |
|---|---|---|---|---|
| 1 | 400 | 96 | 1:2 | 0 |
| 2 | 450 | 90 | 1:2 | 0 |
| 3 | 500 | 86 | 1:2 | 0 |
| 4 | 550 | 80 | 1:2 | 0 |
| 5 | 600 | 75 | 1:2 | 0 |
| 6 | 400 | 94 | 1:2 | 1:20 |
| 7 | 450 | 90 | 1:2 | 1:20 |
| 8 | 500 | 84 | 1:2 | 1:20 |
| 9 | 550 | 80 | 1:2 | 1:20 |
| 10 | 600 | 74 | 1:2 | 1:20 |
| Sample | CCT (K) | CRI (-) | x | y |
|---|---|---|---|---|
| 1 | 5250 | 65.5 | 0.3403 | 0.3943 |
| 2 | 6375 | 70.1 | 0.3136 | 0.3421 |
| 3 | 7307 | 72.3 | 0.3012 | 0.3186 |
| 4 | 9350 | 75.0 | 0.2857 | 0.2892 |
| 5 | 14377 | 77.2 | 0.2699 | 0.2579 |
| Sample | CCT (K) | CRI (-) | x | y |
|---|---|---|---|---|
| 6 | 3317 | 83.9 | 0.4207 | 0.4070 |
| 7 | 4548 | 85.8 | 0.3551 | 0.3364 |
| 8 | 5724 | 85.3 | 0.3284 | 0.3072 |
| 9 | 8293 | 83.0 | 0.3026 | 0.2720 |
| 10 | 12286 | 79.9 | 0.2875 | 0.2490 |
| Sample | Rise Time tr (ns) | Fall Time tf (ns) |
|---|---|---|
| 1 | 75.89 | 76.58 |
| 2 | 72.48 | 73.35 |
| 3 | 70.38 | 71.29 |
| 4 | 64.82 | 66.44 |
| 5 | 58.05 | 58.53 |
| 6 | 80.22 | 80.79 |
| 7 | 77.77 | 78.84 |
| 8 | 74.15 | 75.22 |
| 9 | 69.20 | 70.02 |
| 10 | 65.16 | 65.71 |
| Sample | CCT (K) | CRI (-) | x | y |
|---|---|---|---|---|
| 1 | 5384 | 61.54 | 0.3357 | 0.3751 |
| 2 | 10328 | 69.96 | 0.2869 | 0.2695 |
| 3 | 16283 | 69.41 | 0.2747 | 0.2436 |
| 4 | 27460 | 66.62 | 0.2676 | 0.2261 |
| 5 | 5048 | 78.02 | 0.2381 | 0.1682 |
| Sample | CCT (K) | CRI (-) | x | y |
|---|---|---|---|---|
| 6 | 4703 | 77.67 | 0.3500 | 0.3276 |
| 7 | 5482 | 77.98 | 0.3326 | 0.3039 |
| 8 | 9450 | 72.26 | 0.3009 | 0.2538 |
| 9 | 21956 | 66.94 | 0.2811 | 0.2242 |
| 10 | 7848 | 76.58 | 0.2453 | 0.1652 |
© 2019 by the authors. Licensee MDPI, Basel, Switzerland. This article is an open access article distributed under the terms and conditions of the Creative Commons Attribution (CC BY) license (http://creativecommons.org/licenses/by/4.0/).
Share and Cite
Jargus, J.; Vitasek, J.; Nedoma, J.; Vasinek, V.; Martinek, R. Effect of Selected Luminescent Layers on CCT, CRI, and Response Times. Materials 2019, 12, 2095. https://doi.org/10.3390/ma12132095
Jargus J, Vitasek J, Nedoma J, Vasinek V, Martinek R. Effect of Selected Luminescent Layers on CCT, CRI, and Response Times. Materials. 2019; 12(13):2095. https://doi.org/10.3390/ma12132095
Chicago/Turabian StyleJargus, Jan, Jan Vitasek, Jan Nedoma, Vladimir Vasinek, and Radek Martinek. 2019. "Effect of Selected Luminescent Layers on CCT, CRI, and Response Times" Materials 12, no. 13: 2095. https://doi.org/10.3390/ma12132095
APA StyleJargus, J., Vitasek, J., Nedoma, J., Vasinek, V., & Martinek, R. (2019). Effect of Selected Luminescent Layers on CCT, CRI, and Response Times. Materials, 12(13), 2095. https://doi.org/10.3390/ma12132095

