Incorporation and Conduction of Protons in Ca, Sr, Ba-Doped BaLaInO4 with Ruddlesden-Popper Structure
Abstract
1. Introduction
2. Materials and Methods
3. Results and Discussions
3.1. X-ray Characterization
3.2. Thermal Properties
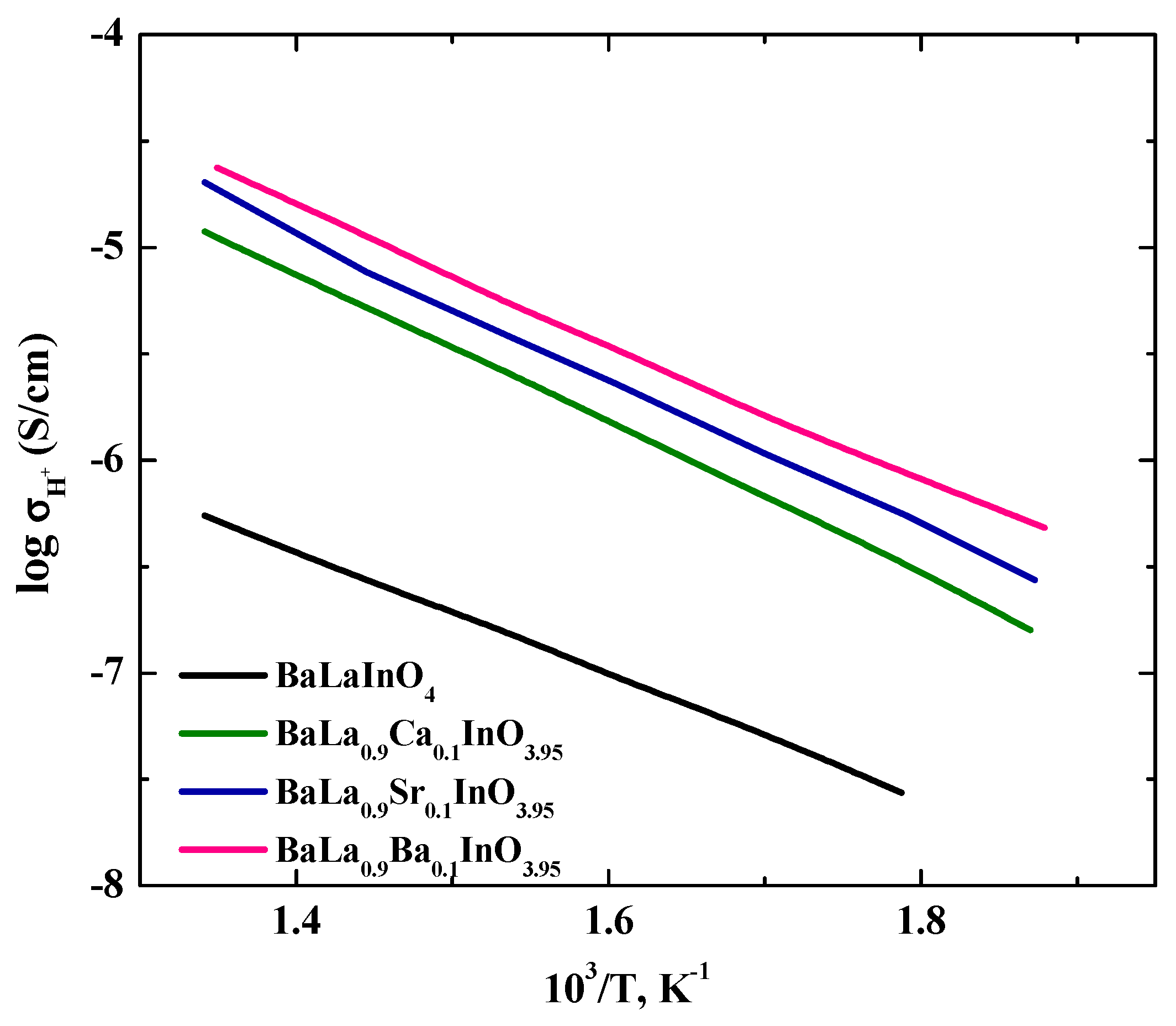
3.3. Electrical Properties
3.4. Dry Conditions
3.5. Wet Conditions
4. Conclusions
Author Contributions
Funding
Conflicts of Interest
References
- Shim, J.H. Ceramics breakthrough. Nat. Energy 2018, 3, 168–169. [Google Scholar] [CrossRef]
- Fabbri, E.; Bi, L.; Pergolesi, D.; Traversa, E. Towards the next generation of solid oxide fuel cells operating below 600 °C with chemically stable proton-conducting electrolytes. Adv. Mater. 2012, 24, 195–208. [Google Scholar] [CrossRef]
- Marrony, M.; Dailly, J. Advanced Proton Conducting Ceramic Cell as Energy Storage Device. ECS Trans. 2017, 78, 3349–3363. [Google Scholar] [CrossRef]
- Norby, T. Advances in proton ceramic fuel cells, steam electrolyzers, and dehydrogenation reactors based on materials and process optimizations. ECS Trans. 2017, 80, 23–32. [Google Scholar] [CrossRef]
- Colomban, P.; Zaafrani, O.; Slodczyk, A. Proton Content and Nature in Perovskite Ceramic Membranes for Medium Temperature Fuel Cells and Electrolysers. Membranes 2012, 2, 493–509. [Google Scholar] [CrossRef]
- Kochetova, N.; Animitsa, I.; Medvedev, D.; Demin, A.; Tsiakaras, P. Recent activity in the development of proton-conducting oxides for high-temperature applications. RSC Adv. 2016, 6, 73222–73268. [Google Scholar] [CrossRef]
- Duan, C.; Tong, J.; Shang, M.; Nikodemski, S.; Sanders, M.; Ricote, S.; Almansoori, A.; O’Hayre, R. Readily processed protonic ceramic fuel cells with high performance at low temperatures. Science 2015, 349, 1321–1326. [Google Scholar] [CrossRef] [PubMed]
- Dubois, A.; Ricote, S.; Braun, R. Benchmarking the expected stack manufacturing cost of next generation, intermediate-temperature protonic ceramic fuel cells with solid oxide fuel cell technology. J. Power Sources 2017, 369, 65–77. [Google Scholar] [CrossRef]
- De Souza, E.C.C.; Muccillo, R. Properties and applications of perovskite proton conductors. Mater. Res. 2010, 13, 385–394. [Google Scholar] [CrossRef]
- Duan, C.; Kee, R.J.; Zhu, H.; Karakaya, C.; Chen, Y.; Ricote, S.; Jarry, A.; Crumlin, E.J.; Hook, D.; Braun, R.; et al. Highly durable, coking and sulfur tolerant, fuel-flexible protonic ceramic fuel cells. Nature 2018, 557, 217–222. [Google Scholar] [CrossRef] [PubMed]
- Choi, S.; Kucharczyk, C.J.; Liang, Y.; Zhang, X.; Takeuchi, I.; Ji, H.-I.; Haile, S.M. Exceptional power density and stability at intermediate temperatures in protonic ceramic fuel cells. Nat. Energy 2018, 3, 202–210. [Google Scholar] [CrossRef]
- Fujii, K.; Shiraiwa, M.; Esaki, Y. Improved oxide-ion conductivity of NdBaInO4 by Sr doping. J. Mater. Chem. A 2015, 3, 11985–11990. [Google Scholar] [CrossRef]
- Yang, X.; Liu, S.; Lu, F.; Xu, J.; Kuang, X. Acceptor Doping and Oxygen Vacancy Migration in Layered Perovskite NdBaInO4-Based Mixed Conductors. J. Phys. Chem. C 2016, 120, 6416–6426. [Google Scholar] [CrossRef]
- Shiraiwa, M.; Fujii, K.; Esaki, Y.; Kim, S.J.; Lee, S.; Yashima, M. Crystal Structure and Oxide-Ion Conductivity of Ba1+xNd1−xInO4−x/2. J. Electrochem. Soc. 2017, 164, F1392–F1399. [Google Scholar] [CrossRef]
- Birgeneau, R.J.; Guggenheim, H.J.; Shirane, G. Neutron scattering investigation of phase transitions and magnetic correlations in the two-dimensional antiferromagnets K2NiF4, Rb2MnF4, Rb2FeF4. Phys. Rev. B 1970, 1, 2211–2230. [Google Scholar] [CrossRef]
- Cochrane, A.K.; Telfer, M.; Dixon, C.A.L.; Zhang, W.; Halasyamani, P.S.; Bousquet, E.; Lightfoot, P. NdBaScO4: Aristotype of a new family of geometric ferroelectrics. Chem. Commun. 2016, 52, 10980–10983. [Google Scholar] [CrossRef]
- Fuji, K.; Yashima, M. Discovery and development of BaNdInO4—A brief review. J. Ceram. Soc. Jpn. 2018, 126, 852–859. [Google Scholar] [CrossRef]
- Ishihara, T.; Yan, Y.; Sakai, T.; Ida, S. Oxide ion conductivity in doped NdBaInO4. Solid State Ion. 2016, 288, 262–265. [Google Scholar] [CrossRef]
- Troncoso, L.; Alonso, J.A.; Fernández-Díaz, M.T.; Aguadero, A. Introduction of interstitial oxygen atoms in the layered perovskite LaSrIn1−xBxO4+δ system (B = Zr, Ti). Solid State Ion. 2015, 282, 82–87. [Google Scholar] [CrossRef]
- Troncoso, L.; Alonso, J.A.; Aguadero, A. Low activation energies for interstitial oxygen conduction in the layered perovskites La1+xSr1−xInO4+δ. J. Mater. Chem. A 2015, 3, 17797–17803. [Google Scholar] [CrossRef]
- Tarasova, N.; Animitsa, I. Protonic transport in oxyfluorides Ba2InO3F and Ba3In2O5F2 with Ruddlesden-Popper structure. Solid State Ion. 2015, 275, 53–57. [Google Scholar] [CrossRef]
- Li, X.; Shimada, H.; Ihara, M. Conductivity of New Electrolyte Material Pr1−xM1+xInO4 (M = Ba, Sr) with Related Perovskite Structure for Solid Oxide Fuel Cells. ECS Trans. 2013, 50, 3–14. [Google Scholar] [CrossRef]
- Matsuhira, T.; Kurahashi, Y.; Hasegawa, K.; Ihara, M. Proton Conducting Properties of Sr1+xLn1−xAlO4−δ (Ln = Pr, Sm) with Layered Perovskite Structure for Solid Oxide Fuel Cells. In Proceedings of the 232nd ECS Meeting, National Harbor, MD, USA, 1–5 October 2017. [Google Scholar]
- Tyitov, Y.O.; Byilyavina, N.M.; Markyiv, V.Y.; Slobodyanik, M.S.; Krajevs’ka, Y.A. Synthesis and crystal structure of BaLaInO4 and SrLnInO4 (Ln−La, Pr). Dopovyidyi Natsyional'noyi Akademyiyi Nauk Ukrayini 2009, 10, 160–166. [Google Scholar]
- Rietveld, H.M. A profile refinement method for nuclear and magnetic structures. J. App. Cryst. 1969, 2, 65–71. [Google Scholar] [CrossRef]
- Shannon, R.D. Revised effective ionic radii and systematic studies of interatomic distances in halides and chalcogenides. Act. Cryst. 1976, A32, 751–767. [Google Scholar] [CrossRef]
- Jedvik, E.; Lindman, A.; Benediktsson, M.; Wahnström, G. Size and shape of oxygen vacancies and protons in acceptor-doped barium zirconate. Solid State Ion. 2015, 275, 2–8. [Google Scholar] [CrossRef]
- Norby, T. Chapter 11. Proton Conductivity in Perovskite Oxides. In Perovskite Oxide for Solid Oxide Fuel Cells; Ishihara, T., Ed.; Springer Science+Business Media, LLC: Berlin/Heidelberg, Germany, 2009; pp. 217–241. [Google Scholar]
- Shpanchenko, R.V.; Antipov, E.V.; Kovba, L.M. Ba2ZrO4 and its crystallohydrates. Russ. J. Inorg. Chem. 1993, 38, 599. [Google Scholar]
- Lehtimäki, M. Stability, Cation Ordering and Oxygen Non-Stoichiometry of Some Perovskites and Related Layered Oxides. Ph.D. Dissertation, Aalto University, Aalto, Finland, 2013. [Google Scholar]
- Wakamura, K. Ion conduction in proton- and related defect (super) ionic conductors: Mechanical, electronic and structure parameters. Solid State Ion. 2009, 180, 1343–1349. [Google Scholar] [CrossRef]
- Kharton, V.V.; Marques, F.M.B.; Kilner, J.A.; Atkinson, A. Oxygen Ion-Conducting Materials in Solid State Electrochemistry I: Fundamentals, Materials and Their Applications; Kharton, V.V., Ed.; WILEY-VCH Verlag GmbH & Co.: Weinheim, Germany, 2009; ISBN 978-3-527-32318-0. [Google Scholar]
- Liang, K.C.; Du, Y.; Nowick, A.S. Fast high-temperature proton transport in nonstoichiometric mixed perovskites. Solid State Ion. 1994, 69, 117–120. [Google Scholar] [CrossRef]
- Wakamura, K. Empirical relationships for ion conduction based on vibration amplitude in perovskite-type proton and superionic conductors. J. Phys. Chem. Solids 2005, 66, 133–142. [Google Scholar] [CrossRef]
- Proton Conductors: Solids, Membranes and Gels—Materials and Devices (Chemistry of Solid State Materials); Colomban, P., Ed.; Cambridge University Press: Cambridge, UK, 1992. [Google Scholar] [CrossRef]
- Jing, Y.; Matsumoto, H.; Aluru, N.R. Mechanistic Insights into Hydration of Solid Oxides. Chem. Mater. 2018, 30, 138–144. [Google Scholar] [CrossRef]









| Sample | a, Å | b, Å | c, Å | β, o | Cell Volume, (Å3) |
|---|---|---|---|---|---|
| BaLaInO4 | 12.932(3) | 5.906(0) | 5.894(2) | 90 | 450.188(2) |
| BaLa0.9Ca0.1InO3.95 | 12.967(4) | 5.913(3) | 5.884(5) | 90 | 451.224(2) |
| BaLa0.9Sr0.1InO3.95 | 12.950(2) | 5.917(1) | 5.897(5) | 90 | 451.911(4) |
| BaLa0.9Ba0.1InO3.95 | 13.002(1) | 5.919(3) | 5.901(3) | 90 | 454.183(7) |
| BaLaInO4∙nH2O | 12.717(4) | 14.763(4) | 7.214(9) | 92.92(6) | 1352(8) |
| BaLa0.9Ca0.1InO3.95∙nH2O | 12.710(8) | 14.770(8) | 7.218(6) | 92.82(2) | 1353(6) |
| BaLa0.9Sr0.1InO3.95∙nH2O | 12.725(3) | 14.791(2) | 7.220(4) | 92.79(0) | 1357(4) |
| BaLa0.9Ba0.1InO3.95∙nH2O | 12.741(0) | 14.806(5) | 7.222(6) | 92.75(2) | 1360(9) |
© 2019 by the authors. Licensee MDPI, Basel, Switzerland. This article is an open access article distributed under the terms and conditions of the Creative Commons Attribution (CC BY) license (http://creativecommons.org/licenses/by/4.0/).
Share and Cite
Tarasova, N.; Animitsa, I.; Galisheva, A.; Korona, D. Incorporation and Conduction of Protons in Ca, Sr, Ba-Doped BaLaInO4 with Ruddlesden-Popper Structure. Materials 2019, 12, 1668. https://doi.org/10.3390/ma12101668
Tarasova N, Animitsa I, Galisheva A, Korona D. Incorporation and Conduction of Protons in Ca, Sr, Ba-Doped BaLaInO4 with Ruddlesden-Popper Structure. Materials. 2019; 12(10):1668. https://doi.org/10.3390/ma12101668
Chicago/Turabian StyleTarasova, Nataliia, Irina Animitsa, Anzhelika Galisheva, and Daniil Korona. 2019. "Incorporation and Conduction of Protons in Ca, Sr, Ba-Doped BaLaInO4 with Ruddlesden-Popper Structure" Materials 12, no. 10: 1668. https://doi.org/10.3390/ma12101668
APA StyleTarasova, N., Animitsa, I., Galisheva, A., & Korona, D. (2019). Incorporation and Conduction of Protons in Ca, Sr, Ba-Doped BaLaInO4 with Ruddlesden-Popper Structure. Materials, 12(10), 1668. https://doi.org/10.3390/ma12101668
