Hot Deformation Characteristics—Constitutive Equation and Processing Maps—of 21-4N Heat-Resistant Steel
Abstract
:1. Introduction
2. Materials and Experimental Procedures
3. Results and Discussion
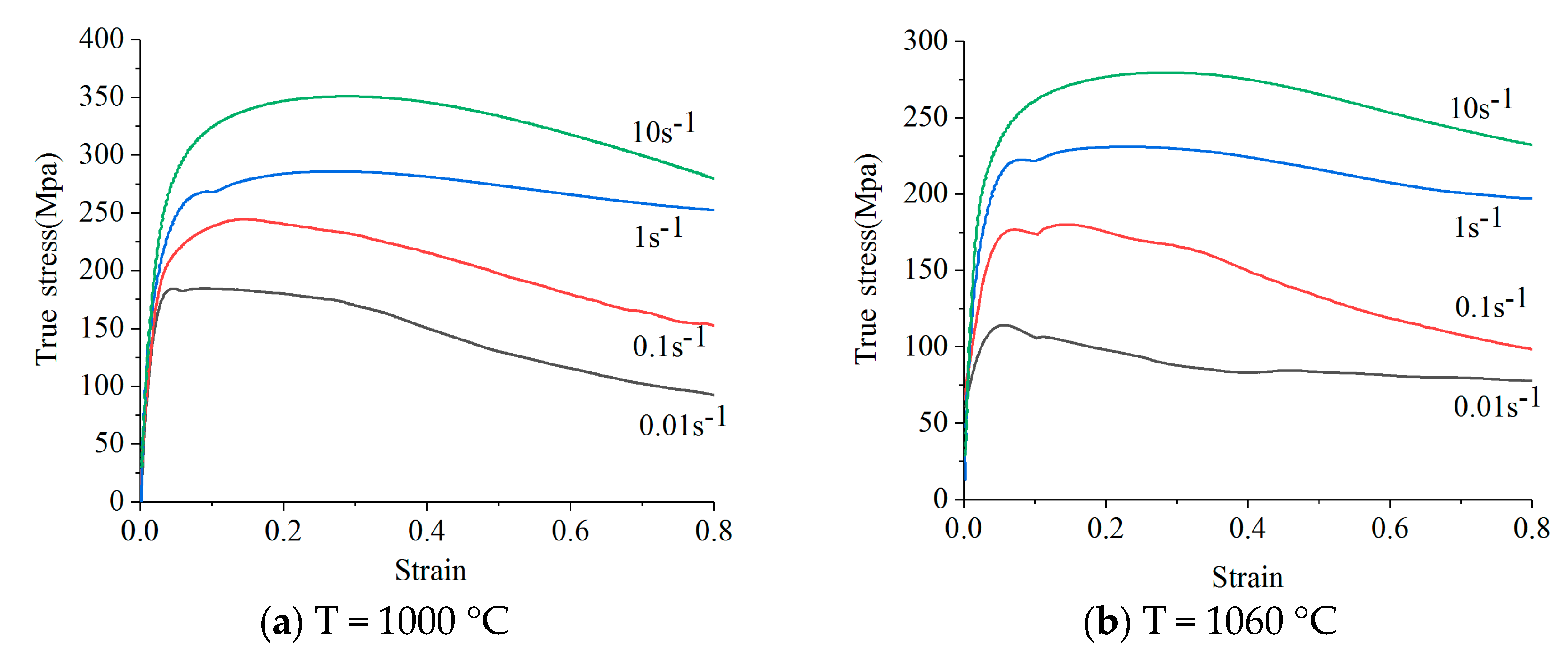
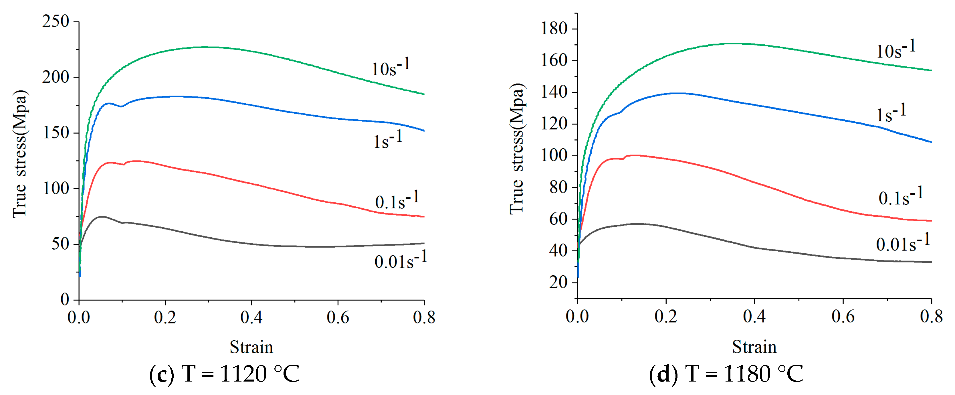
3.1. Flow Stress-Strain Behavior
- When deformation temperature is constant, the rheological stress increases with the increase in strain rate; when strain rate is constant, the rheological stress decreases with the increase in deformation temperature.
- At the initial stage of deformation (strain at 0–0.2), the rheological stress increases rapidly and reaches the peak with the increase in strain; when strain is larger than 0.4, the rheological stress decreases with the increase in strain, and the curves present a dynamic recrystallization. Finally, it tends to be stable and enters the steady state deformation stage.
- Stress has a significant hardening stage before reaching its peak, which is related to the increase in dislocation density and incomplete subgrain boundary.
- Stress-strain curves are all single-peak curves; it can be concluded that the main softening mechanism of 21-4N heat-resistant steel in the high-temperature deformation process is dynamic recrystallization.
3.2. Constitutive Equation
3.2.1. Stress Parameters
- At a low stress level (ασ < 0.8), Equation (1) can be simplified into an exponential form:
- At a high stress level (ασ > 1.2), Equation (1) can be simplified into a power exponential form:
- At full stress level, Equation (1) can be simplified to hyperbolic sine form:where α, β, and m satisfy the relationship shown in Equation (5):
3.2.2. Accuracy Verification of Constitutive Equation
3.3. Processing Map
3.3.1. Processing Map of 21-4N Heat-Resistant Steel
- The stress under the conditions of strains of 0.2, 0.4 and 0.6 were respectively obtained from the stress-strain curves, as shown in Table 5.
- The cubic spline interpolation function was used to interpolate lnσ-ln at different deformation temperatures, and the strain rate sensitivity (m) of each node at different deformation temperatures was obtained. The results are shown in Table 6.
- Equations (3) and (4) were used to calculate the efficiency of the power dissipation (η) of each node at different deformation temperatures.
- The cubic spline interpolation function was used to interpolate ln(m/(m + 1)) − ln at different deformation temperatures, and the criteria of each node were obtained.
- Energy dissipation maps and destabilization maps were drawn, and they were overlaid to obtain the processing maps of 21-4N heat-resistant steel.
3.3.2. Analysis of Processing Map of 21-4N Heat-Resistant Steel
3.4. Microstructural Observation
4. Conclusions
- During hot deformation of 21-4N heat-resistant steel, rheological stresses decrease with increasing temperature and decreasing strain rate; rheological stress curves show obvious dynamic recrystallization at high temperature and low strain rate; with decreasing temperature and strain rate, rheological stress curves present obvious dynamic recovery; due to work hardening, stress quickly reaches peak, and then gradually drops to a steady rheological stress under the action of dynamic recrystallization, and enters the stable deformation stage.
- The hot deformation activation energy of 21-4N heat-resistant steel is calculated to be 583.742 KJ·mol−1. Based on the hyperbolic sine equation, the relationship among the peak stress, deformation temperature and strain rate can be described by the constitutive equation as follows:
- The favorable hot deformation conditions are located in one domain of the processing maps, with a peak efficiency of more than 0.4 occurring at a temperature of about 1120–1180 °C and a strain rate of 0.01–0.1 s−1.
Author Contributions
Funding
Conflicts of Interest
References
- Jaswin, M.A.; Lal, D.M. Effect of cryogenic treatment on the tensile behavior of En 52 and 21-4N valve steels at room and elevated temperatures. Mater. Des. 2011, 32, 2429–2437. [Google Scholar] [CrossRef]
- Ji, H.C.; Liu, J.P.; Wang, B.Y.; Tang, X.F.; Lin, J.G.; Huo, Y.M. Microstructure evolution and constitutive equations for the high-temperature deformation of 5Cr21Mn9Ni4N heat-resistant steel. J. Alloys Compd. 2017, 693, 674–687. [Google Scholar] [CrossRef]
- Mehtedi, M.E.; Ricci, P.; Drudi, L.; Mohtadi, S.E.; Cabibbo, M.; Spigarelli, S. Analysis of the effect of deep cryogenic treatment on the hardness and microstructure of X30 CrMoN 15 1 steel. Mater. Des. 2012, 33, 136–144. [Google Scholar] [CrossRef]
- Li, W.Y.; Yu, M.; Li, J.L.; Zhang, G.F.; Wang, S.Y. Characterizations of 21-4N to 4Cr9Si2 stainless steel dissimilar joint bonded by electric-resistance-heat-aided friction welding. Mater. Des. 2009, 30, 4230–4235. [Google Scholar] [CrossRef]
- Yu, S.C.; Zhu, Q.H.; Wu, S.Q.; Gong, Y.J.; Gong, Y.S.; Lian, M.S.; Ye, G.; Cheng, Y.J. Microstructure of steel 5Cr21Mn9Ni4N alloyed by rare earth. J. Iron Steel Res. 2006, 13, 40–44. [Google Scholar] [CrossRef]
- Hao, H.Y.; Cao, S.R.; Hao, Y. Effect of solid solution/aging treatment on microstructure and properties of austenitic base heat resistant steel. Heat Treat. Met. 2006, 31, 65–67. [Google Scholar]
- Wang, B.; Liu, Z.D.; Cheng, S.C.; Liu, C.M.; Wang, J.Z.; Liu, Q. Effect of solid solution treatment on microstructure and mechanical properties of HR3C austenite heat resistant steel. Mater. Mech. Eng. 2014, 38, 25–30. [Google Scholar]
- Zhang, X.; Li, D.Z.; Li, Y.Y.; Lu, S.P. Effect of aging treatment on the microstructures and mechanical properties evolution of 25Cr-20Ni austenitic stainless steel weldments with different Nb contents. J. Mater. Sci. Technol. 2018. [Google Scholar] [CrossRef]
- Lei, Z.; Zhang, M.C.; Chellali, R.; Dong, J.X. Investigations on the growing, cracking and spalling of oxides scales of powder metallurgy Rene95 nickel-based superalloy. Appl. Surf. Sci. 2011, 257, 9762–9767. [Google Scholar]
- Wang, H.T.; Zhang, G.L.; Yu, H.S.; Wang, S.Q.; Ming, G.H. Effects of Chromium, Aluminium and Silicon on oxidation resistance of Fe-base superalloy. J. Mater. Eng. 2008, 12, 73–77. [Google Scholar]
- Yu, Z.W.; Xu, X.L. Research on isohot aging structure of 5Cr21Mn9Ni4N heat resistant steel. Trans. Mater. Heat Treat. 2004, 25, 5–7. [Google Scholar]
- Xu, X.L.; Yu, Z.W.; Wang, J. Structure and property changes of 5Cr21Mn9Ni4N (21-4N) heat-resistant steel in high temperature service. Mater. Mech. Eng. 2007, 23, 903–909. [Google Scholar]
- Liu, X.S.; Li, Y.Q.; Zhong, S. Effect of grain boundary carbides of 5Cr21Mn9Ni4Nb2WN austenitic heat-resistant steel on high temperature plasticity. Mater. Sci. Technol. 1997, 1, 125–128. [Google Scholar]
- Ji, G.L.; Li, L.; Qin, F.L.; Zhu, L.Y.; Li, Q. Comparative study of phenomenological constitutive equations for an as-rolled M50NiL steel during hot deformation. J. Alloys Compd. 2017, 695, 2389–2399. [Google Scholar] [CrossRef]
- Hao, Z.P.; Ji, F.F.; Fan, Y.H.; Lin, J.Q.; Liu, X.Y.; Gao, S. Flow characteristics and constitutive equations of flow stress in high speed cutting Alloy 718. J. Alloys Compd. 2017, 728, 854–862. [Google Scholar] [CrossRef]
- Li, D.Y.; Zhu, Z.W.; Xiao, S.N.; Zhang, G.H.; Lu, Y.S. Plastic flow behavior based on hot activation and dynamic constitutive equation of 25CrMo4 steel during impact compression. Mater. Sci. Eng. A 2017, 707, 459–465. [Google Scholar] [CrossRef]
- Zhao, L.; Yasmeen, T.; Gao, P.; Wei, S.; Bai, Z.; Jiang, J.; Lin, J. Mechanism-based constitutive equations for superplastic forming of TA15 with equiaxed fine grain structure. Procedia Eng. 2017, 207, 1874–1879. [Google Scholar] [CrossRef]
- Cheng, J.; Mao, Y.; Yu, Z.T.; Niu, J.L.; Yu, S.; Zhang, W. Hot deformation behavior and establishment of constitutive equation of Ti-25Al-14Nb-2Mo-1Fe alloy. Heat Treat. Met. 2015, 40, 146–151. [Google Scholar]
- Wu, H.Y.; Yang, J.C.; Zhu, F.J.; Wu, C.T. Hot compressive flow stress modeling of homogenized AZ61 Mg alloy using strain-dependent constitutive equations. Mater. Sci. Eng. A 2013, 574, 17–24. [Google Scholar] [CrossRef]
- Wu, H.Y.; Wu, C.T.; Yang, J.C.; Lin, M.J. Hot workability analysis of AZ61 Mg alloys with processing maps. Mater. Sci. Eng. A 2014, 607, 261–268. [Google Scholar] [CrossRef]
- Mei, R.B.; Li, B.; Huang, F.; Zhang, X.; Qi, X.W.; Liu, X.H. Simulation of the flow behavior of AZ91 magnesium alloys at high deformation temperatures using a piecewise function of constitutive equations. Mech. Mater. 2018, 125, 110–120. [Google Scholar] [CrossRef]
- Liu, J.W.; Zhao, Z.G.; Lu, S.Q. Microstructure evolution and constitutive equation for the hot deformation of LZ91 Mg alloy. Catal. Today 2018, 318, 119–125. [Google Scholar]
- Sui, F.L.; Xu, L.X.; Chen, L.Q.; Liu, X.H. Processing map for hot working of Inconel 718 alloy. J. Mater. Process. Technol. 2011, 211, 433–440. [Google Scholar] [CrossRef]
- Kong, Y.H.; Chang, P.P.; Li, Q.; Xie, L.X.; Zhu, S.G. Hot deformation characteristics and processing map of nickel-based C276 superalloy. J. Alloys Compd. 2015, 622, 738–744. [Google Scholar] [CrossRef]
- Wang, C.; Zhang, L.; Wei, S.; Pan, K.; Wu, X.; Li, Q. Preparation, microstructure, and constitutive equation of W-0.25 wt% Al2O3 alloy. Mater. Sci. Eng. A 2019, 744, 79–85. [Google Scholar] [CrossRef]
- Lu, J.; Song, Y.L.; Hua, L.; Zheng, K.L.; Dai, D.G. Thermal deformation behavior and processing maps of 7075 aluminum alloy sheet based on isothermal uniaxial tensile tests. J. Alloys Compd. 2018, 767, 856–869. [Google Scholar] [CrossRef]
- Meng, Q.; Bai, C.; Xu, D. Flow behavior and processing map for hot deformation of ATI425 titanium alloy. J. Mater. Sci. Technol. 2018, 34, 679–688. [Google Scholar] [CrossRef]
- Chen, G.J.; Chen, L.; Zhao, G.Q.; Zhang, C.S.; Cui, W.C. Microstructure analysis of an Al-Zn-Mg alloy during porthole die extrusion based on modeling of constitutive equation and dynamic recrystallization. J. Alloys Compd. 2017, 710, 80–91. [Google Scholar] [CrossRef]
- Cheng, W.L.; Bai, Y.; Ma, S.C.; Wang, L.F. Hot deformation behavior and workability characteristic of a fine-grained Mg‒8Sn‒2Zn‒2Al alloy with processing map. J. Mater. Sci. Technol. 2018. [Google Scholar] [CrossRef]
- Gong, B.; Duan, X.W.; Liu, J.S.; Liu, J.J. A physically based constitutive model of as-forged 34CrNiMo6 steel and processing maps for hot working. Vacuum 2018, 155, 345–357. [Google Scholar] [CrossRef]
- Shi, Z.X.; Yan, X.F.; Duan, C.H.; Song, J.G.; Zhao, M.H.; Wang, J. Hot deformation behavior of GH4945 superalloy using constitutive equation and processing map. J. Iron Steel Res. (Int.) 2017, 24, 625–633. [Google Scholar] [CrossRef]
- Kishor, B.; Chaudhari, G.P.; Nath, S.K. Hot workability of 16Cr-5Ni stainless steel using constitutive equation and processing map. Mater. Today Proc. 2018, 5, 17213–17222. [Google Scholar] [CrossRef]
- Ji, H.C.; Huang, X.M.; Ma, C.J.; Pei, W.C.; Liu, J.P.; Wang, B.Y. Predicting the Microstructure of a Valve Head during the Hot Forging of Steel 21-4N. Metals 2018, 8, 391. [Google Scholar] [CrossRef]
- Shi, H.; Mclaren, A.J.; Sellars, C.M.; Shahani, R.; Bolingbroke, R. Constitutive equations for high temperature flow stress of aluminium alloys. Met. Sci. J. 1997, 13, 210–216. [Google Scholar] [CrossRef]
- Spigarelli, S. Constitutive equations in creep of Mg–Al alloys. Mater. Sci. Eng. A 2008, 492, 153–160. [Google Scholar] [CrossRef]
- Kang, S.K.; Kim, Y.C.; Kim, K.H.; Kwon, D.; Kim, J.Y. Constitutive equations optimized for determining strengths of metallic alloys. Mech. Mater. 2014, 73, 51–57. [Google Scholar] [CrossRef]
- Cheng, Y.Q.; Zhang, Z.R.; Zheng, M.Y.; Mo, D.Q. Constitutive equation of 5Cr21Mn9Ni4N valve steel during hot compression. Adv. Mater. Res. 2013, 750–752, 2165–2169. [Google Scholar] [CrossRef]
- Son, K.T.; Kim, M.H.; Kim, S.W.; Lee, J.W.; Hyun, S.K. Evaluation of hot deformation characteristics in modified AA5052 using processing map and activation energy map under deformation heating. J. Alloys Compd. 2018, 740, 96–108. [Google Scholar] [CrossRef]
- Huang, Y.L.; Wang, J.B.; Ling, X.S.; Zhang, X.Y.; Luan, B.F.; Liu, Q.; Huang, G.J. Research development of hot processing map theory. Mater. Rev. 2008, 22, 173–176. [Google Scholar]
- Wang, Y.; Wang, M.J.; Cai, D.Y.; Xiong, L.Y.; Wang, Q.F. Hot deformation behavior and processing map of high strength austenitic stainless steel. Trans. Mater. Heat Treat. 2005, 26, 65–68. [Google Scholar]
- Venugopal, S.; Venugopal, P.; Mannan, S.L. Optimisation of cold and warm workability of commercially pure titanium using dynamic materials model (DMM) instability maps. J. Mater. Process. Technol. 2008, 202, 201–215. [Google Scholar] [CrossRef]
- Senthilkumar, V.; Balaji, A.; Narayanasamy, R. Analysis of hot deformation behavior of Al 5083–TiC nanocomposite using constitutive and dynamic material models. Mater. Des. 2012, 37, 102–110. [Google Scholar] [CrossRef]
- Lu, S.Q.; Li, X.; Wang, K.L.; Dong, X.J.; Li, Z.X.; Cao, C.X. Dynamic material model theory for controlling microstructure and properties of materials for hot processing and application. Chin. J. Mech. Eng. 2007, 43, 77–85. [Google Scholar] [CrossRef]
- Zhang, J.; Di, H.; Mao, K.; Di, H.S.; Mao, K.; Wang, X.Y.; Han, Z.J.; Ma, T.J. Processing maps for hot deformation of a high-Mn TWIP steel: A comparative study of various criteria based on dynamic materials model. Mater. Sci. Eng. A Struct. Mater. Prop. Microstruct. Process. 2013, 587, 110–122. [Google Scholar] [CrossRef]
- Chiba, A.; Lee, S.H.; Matsumoto, H.; Nakamurac, M. Construction of processing map for biomedical Co–28Cr–6Mo–0.16N alloy by studying its hot deformation behavior using compression tests. Mater. Sci. Eng. A 2009, 513, 286–293. [Google Scholar] [CrossRef]
- Pu, E.X.; Zheng, W.J.; Xiang, J.Z.; Song, Z.G.; Li, J. Hot deformation characteristic and processing map of superaustenitic stainless steel S32654. Mater. Sci. Eng. A 2014, 598, 174–182. [Google Scholar] [CrossRef]
- Zhou, H.T.; Liu, R.R.; Liu, Z.C.; Zhou, X.; Peng, Q.Z.; Zhong, F.H.; Peng, Y. Hot deformation characteristics of GH625 and development of a processing map. J. Mater. Eng. Perform. 2013, 22, 2515–2521. [Google Scholar] [CrossRef]
- Yu, Y.; Xiong, B.Q.; Hui, S.X.; Ye, W.J.; Song, X.Y.; Liu, R.; Fu, Y.Y. Hot deformation behavior and processing map of as-cast Ti-6Al-4V-0.1B alloy. Trans. Mater. Heat Treat. 2012, 33, 142–146. [Google Scholar]











| C | Si | Mn | S | P | Cr | Ni | N | Fe |
|---|---|---|---|---|---|---|---|---|
| 0.48–0.58 | ≤0.35 | 8–10 | ≤0.03 | ≤0.04 | 20–22 | 3.25–4.5 | 0.35–0.5 | Bal. |
| Deformation Degree (%) | T/°C | Strain Rate/s−1 | Peak Stress/MPa |
|---|---|---|---|
| 60 | 1000 | 0.01 | 189.6 |
| 0.1 | 249.6 | ||
| 1 | 286.8 | ||
| 10 | 351.5 | ||
| 1060 | 0.01 | 112.9 | |
| 0.1 | 180.5 | ||
| 1 | 231.4 | ||
| 10 | 280.3 | ||
| 1120 | 0.01 | 73.7 | |
| 0.1 | 125.1 | ||
| 1 | 183.1 | ||
| 10 | 228.3 | ||
| 1180 | 0.01 | 61.3 | |
| 0.1 | 100.5 | ||
| 1 | 140.7 | ||
| 10 | 171.8 |
| /s−1 | T/°C | |||
|---|---|---|---|---|
| 1000 | 1060 | 1120 | 1180 | |
| 0.01 | 181.2 | 128.2 | 90.0 | 63.6 |
| 0.1 | 238.6 | 177.0 | 128.9 | 93.2 |
| 1 | 300.8 | 233.9 | 177.9 | 133.2 |
| 10 | 365.7 | 295.9 | 234.8 | 183.0 |
| /s−1 | T/°C | |||
|---|---|---|---|---|
| 1000 | 1060 | 1120 | 1180 | |
| 0.01 | 0.0444 | 0.1353 | 0.2203 | 0.0376 |
| 0.1 | 0.0442 | 0.0192 | 0.0302 | 0.0723 |
| 1 | 0.0488 | 0.0110 | 0.0288 | 0.0535 |
| 10 | 0.0403 | 0.0554 | 0.0288 | 0.0652 |
| Strain | T/°C | /s−1 | |||
|---|---|---|---|---|---|
| 0.01 | 0.1 | 1 | 10 | ||
| 0.2 | 1000 | 155.4 | 229.1 | 282.5 | 346.0 |
| 1060 | 98.1 | 174.5 | 230.5 | 278.0 | |
| 1120 | 63.9 | 119.9 | 182.3 | 224.1 | |
| 1180 | 55.3 | 97.1 | 138.4 | 161.0 | |
| 0.4 | 1000 | 150.4 | 215.8 | 281.8 | 346.2 |
| 1060 | 82.7 | 145.0 | 225.2 | 276.4 | |
| 1120 | 51.2 | 104.4 | 175.5 | 223.7 | |
| 1180 | 42.7 | 83.1 | 132.6 | 170.4 | |
| 0.6 | 1000 | 115.7 | 179.4 | 265.9 | 321.0 |
| 1060 | 81.4 | 120.1 | 201.8 | 262.8 | |
| 1120 | 48.8 | 86.1 | 157.6 | 214.3 | |
| 1180 | 34.1 | 67.1 | 129.5 | 178.0 | |
| Strain | T/°C | /s−1 | |||
|---|---|---|---|---|---|
| 0.01 | 0.1 | 1 | 10 | ||
| 0.2 | 1000 | 0.232 | 0.117 | 0.077 | 0.111 |
| 1060 | 0.345 | 0.171 | 0.086 | 0.091 | |
| 1120 | 0.323 | 0.229 | 0.136 | 0.044 | |
| 1180 | 0.290 | 0.199 | 0.110 | 0.022 | |
| 0.4 | 1000 | 0.182 | 0.134 | 0.100 | 0.081 |
| 1060 | 0.254 | 0.226 | 0.148 | 0.022 | |
| 1120 | 0.340 | 0.274 | 0.171 | 0.033 | |
| 1180 | 0.330 | 0.247 | 0.157 | 0.060 | |
| 0.6 | 1000 | 0.177 | 0.192 | 0.138 | 0.014 |
| 1060 | 0.085 | 0.225 | 0.198 | 0.003 | |
| 1120 | 0.190 | 0.279 | 0.222 | 0.021 | |
| 1180 | 0.252 | 0.313 | 0.235 | 0.019 | |
© 2018 by the authors. Licensee MDPI, Basel, Switzerland. This article is an open access article distributed under the terms and conditions of the Creative Commons Attribution (CC BY) license (http://creativecommons.org/licenses/by/4.0/).
Share and Cite
Li, Y.; Ji, H.; Li, W.; Li, Y.; Pei, W.; Liu, J. Hot Deformation Characteristics—Constitutive Equation and Processing Maps—of 21-4N Heat-Resistant Steel. Materials 2019, 12, 89. https://doi.org/10.3390/ma12010089
Li Y, Ji H, Li W, Li Y, Pei W, Liu J. Hot Deformation Characteristics—Constitutive Equation and Processing Maps—of 21-4N Heat-Resistant Steel. Materials. 2019; 12(1):89. https://doi.org/10.3390/ma12010089
Chicago/Turabian StyleLi, Yiming, Hongchao Ji, Wangda Li, Yaogang Li, Weichi Pei, and Jinping Liu. 2019. "Hot Deformation Characteristics—Constitutive Equation and Processing Maps—of 21-4N Heat-Resistant Steel" Materials 12, no. 1: 89. https://doi.org/10.3390/ma12010089
APA StyleLi, Y., Ji, H., Li, W., Li, Y., Pei, W., & Liu, J. (2019). Hot Deformation Characteristics—Constitutive Equation and Processing Maps—of 21-4N Heat-Resistant Steel. Materials, 12(1), 89. https://doi.org/10.3390/ma12010089

