Compatibilization of Polypropylene/Polyamide 6 Blend Fibers Using Photo-Oxidized Polypropylene
Abstract
:1. Introduction
2. Materials and Methods
2.1. Materials and Sample Preparation
2.2. Characterization
3. Results
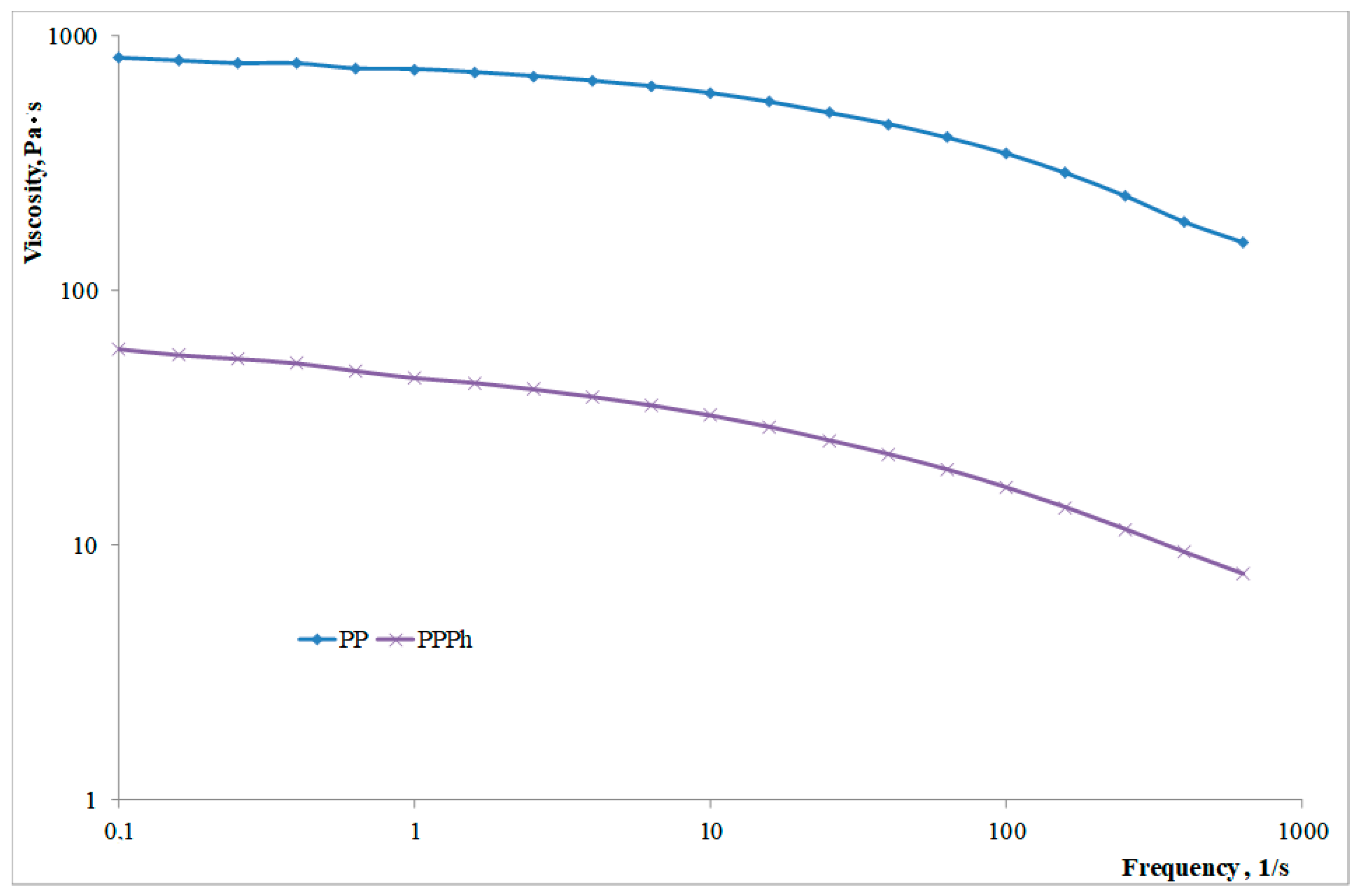
3.1. Characterization of the Photooxidized PP
3.2. Isotropic Blends
3.3. Characterization of Anisotropic Blends
4. Conclusions
Author Contributions
Funding
Conflicts of Interest
References
- Polymer Blends Handbook; Utracki, L.A.; Wilkie, C.A. (Eds.) Springer: Dordrecht, The Netherlands, 2014; ISBN 978-94-007-6063-9. [Google Scholar]
- Encyclopedia of polymer blends. Fundamentals; Isayev, A. (Ed.) Wiley-WCH: Weinheim, Germany, 2011; ISBN 978-3-527-31929-9. [Google Scholar]
- Polymer Blends: Formulation and Performance; Paul, D.R.; Brucknall, C. (Eds.) John Wiley and Sons: New York, NY, USA, 2000; ISBN 978-0-471-24825-5. [Google Scholar]
- Robeson, L.M. Fundamentals of polymer blends. In Polymer Blends. A Comprehensive Review; Robeson, L.M., Ed.; Hanser: Munich, Germany, 2007; ISBN 978-3-446-22569-5. [Google Scholar]
- La Mantia, F.P. Degradation of Polymer Blends. In Handbook of Polymer Degradation; Hamid, S.H., Amin, M.B., Maadhah, A.G., Eds.; M. Dekker: New York, NY, USA, 1992; pp. 95–126. ISBN 8247-8671-8. [Google Scholar]
- La Mantia, F.P.; Morreale, M.; Botta, L.; Mistretta, M.C.; Ceraulo, M.; Scaffaro, R. Degradation of polymer blends: A brief review. Polym. Degrad. Stab. 2017, 145, 79–92. [Google Scholar] [CrossRef]
- La Mantia, F.P.; Scaffaro, R.; Colletti, C.; Dimitrova, T.; Magagnini, P.; Paci, M.; Filippi, S. Oxazoline functionalization of polyethylenes and their blends with polyamides and polyesters. Macromol. Symp. 2001, 176, 265–278. [Google Scholar] [CrossRef]
- Scaffaro, R.; La Mantia, F.P.; Canfora, L.; Polacco, G.; Filippi, S.; Magagnini, P. Reactive compatibilization of PA6/LDPE blends with an ethylene–acrylic acid copolymer and a low molar mass bis-oxazoline. Polymer 2003, 44, 6951–6957. [Google Scholar] [CrossRef]
- Robeson, L.M. Compatibilization methods. In Polymer blends. A Comprehensive Review; Robeson, L.M., Ed.; Hanser: Munich, Germany, 2007; ISBN 978-3-446-22569-5. [Google Scholar]
- La Mantia, F.P.; Fontana, P.; Morreale, M.; Mistretta, M.C. Orientation induced brittle-ductile transition in a polyethylene/polyamide6 blend. Polym. Test. 2014, 36, 20–23. [Google Scholar] [CrossRef]
- Ajji, A. Interphase and Compatibilization by Addition of a Compatibilizer. In Polymer Blends Handbook; Utracki, L.A., Wilkie, C.A., Eds.; Springer: Dordrecht, The Netherlands, 2014; ISBN 978-94-007-6063-9. [Google Scholar]
- Brown, S.B. Reactive Compatibilization. In Polymer Blends Handbook; Utracki, L.A., Wilkie, C.A., Eds.; Springer: Dordrecht, The Netherlands, 2014; ISBN 978-94-007-6063-9. [Google Scholar]
- Filippone, G.; Netti, P.A.; Acierno, D. Microstructural evolutions of LDPE/PA6 blends by rheological and rheo-optical analyses: Influence of flow and compatibilizer on break-up and coalescence processes. Polymer 2007, 48, 564–573. [Google Scholar] [CrossRef]
- La Mantia, F.P.; Mongiovì, C. Thermomechanical degradation of compatibilized and uncompatibilized nylon 6/polypropylene blends. Polym. Degr. Stab. 1999, 66, 337–342. [Google Scholar] [CrossRef]
- Miskolczi, N.; Kucharczyk, P.; Sedlarik, V.; Szakacs, H. Plastic waste minimization: Compatibilization of polypropylene/polyamide 6 blends by polyalkenyl-poly-maleic-anhydride-based agents. J. Appl. Polym. Sci. 2013, 129, 3028–3037. [Google Scholar] [CrossRef]
- Huber, T.; Misra, M.; Mohanty, A.K. Mechanical properties of compatibilized nylon 6/polypropylene blends; studies of the interfacial behavior through an emulsion model. J. Appl. Polym. Sci. 2014, 131, 40792. [Google Scholar] [CrossRef]
- Shin, B.Y.; Ha, M.H.; Han, D.H. Morphological, rheological, and mechanical properties of polyamide 6/polypropylene blends compatibilized by electron-beam irradiation in the presence of a reactive agent. Materials 2016, 9, 342. [Google Scholar] [CrossRef]
- Laoutid, F.; François, D.; Paint, Y.; Bonnaud, L.; Dubois, P. Using nanosilica to fine-tune morphology and properties of polyamide 6/poly(propylene) blends. Macromol. Mater. Eng. 2013, 298, 328–338. [Google Scholar] [CrossRef]
- Kodal, M. Polypropylene/polyamide 6/POSS ternary nanocomposites: Effects of POSS nanoparticles on the compatibility. Polymer 2016, 105, 43–50. [Google Scholar] [CrossRef]
- Yousfi, M.; Livi, S.; Dumas, A.; Crépin-Leblond, J.; Greenhill-Hooper, M.; Duchet-Rumeau, J. Ionic compatibilization of polypropylene/polyamide 6 blends using an ionic liquids/nanotalc filler combination: morphology, thermal and mechanical properties. RSC Adv. 2015, 5, 46197–46205. [Google Scholar] [CrossRef]
- Curto, D.; Valenza, A.; La Mantia, F.P. Blends of Nylon 6 with a polyethylene functionalized by photooxidation. J. Appl. Polym. Sci. 1990, 39, 865–873. [Google Scholar] [CrossRef]
- La Mantia, F.P.; Curto, D. Recycling of degraded polyethylene. Blends with Nylon 6. Polym. Degrad. Stab. 1992, 36, 131–135. [Google Scholar] [CrossRef]
- Jia, S.; Du, S.; Li, Y.; Cao, N.; He, M.; Kong, Y. Improved compatibility of blends between recycled polypropylene and polyamide 6 by the products of degradation. Polym. Sci. Ser. B 2018, 60, 107–115. [Google Scholar] [CrossRef]
- La Mantia, F.P.; Ceraulo, M.; Giacchi, G.; Mistretta, M.C.; Botta, L. Effect of a compatibilizer on the morphology and properties of polypropylene/polyethylentherephtalate spun fibers. Polymers 2017, 9, 47. [Google Scholar] [CrossRef]
- Lacoste, J.; Vaillant, D.; Carlsson, D.J. Gamma-, photo-, and thermally-initiated oxidation of isotactic polypropylene. J. Polym. Sci. A Polym. Chem. 1993, 31, 715–722. [Google Scholar] [CrossRef]
- Molau, G.E. Heterogeneous polymer systems. I. Polymeric oil-in-oil emulsions. J. Polym. Sci. A 1965, 3, 1267–1278. [Google Scholar] [CrossRef]
- Molau, G.E. Heterogeneous polymer systems. Kolloid Z.Z. Polym. 1970, 238, 493–498. [Google Scholar] [CrossRef]
- Illing, G. Macromolecular alloy systems: A contribution to the determination of the structure of impact resistant polyamide-polyolefin-alloys. In Polymer Blends-Processing, Morphology and Properties; Martuscelli, E., Ed.; Springer: New York, NY, USA, 1980; ISBN 978-1-4613-3177-3. [Google Scholar]
- Ferry, J.D. Mechanical properties of substances of high molecular weight. III. Viscosities of the system polystyrene-xylene. J. Am. Chem. Soc. 1942, 64, 1330–1336. [Google Scholar] [CrossRef]
- La Mantia, F.P.; Morreale, M. Accelerated weathering of polypropylene/wood flour composites. Polym. Degrad. STable 2008, 93, 1252–1258. [Google Scholar] [CrossRef]
- Morreale, M.; Dintcheva, N.T.; La Mantia, F.P. Accelerated weathering of PP based nanocomposites: Effect of the presence of maleic anhydryde grafted polypropylene. Expr. Polym. Lett. 2013, 7, 703–715. [Google Scholar] [CrossRef]
- Mistretta, M.C.; Morreale, M.; Botta, L.; Ceraulo, M.; Fontana, P.; La Mantia, F.P. “Compatibilization” through elongational flow processing of LDPE/PA6 blends. Materials 2018, 11, 2375. [Google Scholar] [CrossRef] [PubMed]












| Sample | E (MPa) | TS (MPa) | EB (%) |
|---|---|---|---|
| PP | 465 | 19 | 467 |
| PPPh | 763 | 4 | 1 |
| Sample | E (MPa) | TS (MPa) | EB (%) |
|---|---|---|---|
| PP/PA6 | 460 | 12.6 | 51 |
| PP/PA6/PPPh | 722 | 21.2 | 62 |
© 2018 by the authors. Licensee MDPI, Basel, Switzerland. This article is an open access article distributed under the terms and conditions of the Creative Commons Attribution (CC BY) license (http://creativecommons.org/licenses/by/4.0/).
Share and Cite
La Mantia, F.P.; Ceraulo, M.; Mistretta, M.C.; Botta, L.; Morreale, M. Compatibilization of Polypropylene/Polyamide 6 Blend Fibers Using Photo-Oxidized Polypropylene. Materials 2019, 12, 81. https://doi.org/10.3390/ma12010081
La Mantia FP, Ceraulo M, Mistretta MC, Botta L, Morreale M. Compatibilization of Polypropylene/Polyamide 6 Blend Fibers Using Photo-Oxidized Polypropylene. Materials. 2019; 12(1):81. https://doi.org/10.3390/ma12010081
Chicago/Turabian StyleLa Mantia, Francesco Paolo, Manuela Ceraulo, Maria Chiara Mistretta, Luigi Botta, and Marco Morreale. 2019. "Compatibilization of Polypropylene/Polyamide 6 Blend Fibers Using Photo-Oxidized Polypropylene" Materials 12, no. 1: 81. https://doi.org/10.3390/ma12010081
APA StyleLa Mantia, F. P., Ceraulo, M., Mistretta, M. C., Botta, L., & Morreale, M. (2019). Compatibilization of Polypropylene/Polyamide 6 Blend Fibers Using Photo-Oxidized Polypropylene. Materials, 12(1), 81. https://doi.org/10.3390/ma12010081
