Control-Oriented Modelling of a 3D-Printed Soft Actuator
Abstract
1. Introduction
2. Fabrication of the Polyelectrolyte Actuator
3. Electro-Chemo-Mechanical Model of the 3D-Printed Polyelectrolyte Actuator
3.1. Electrochemical Modelling
3.2. Electromechanical Modelling
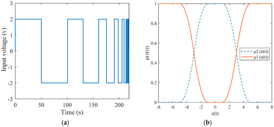
3.3. T-S Fuzzy System Modeling Formulation
3.4. Actuator Characterization
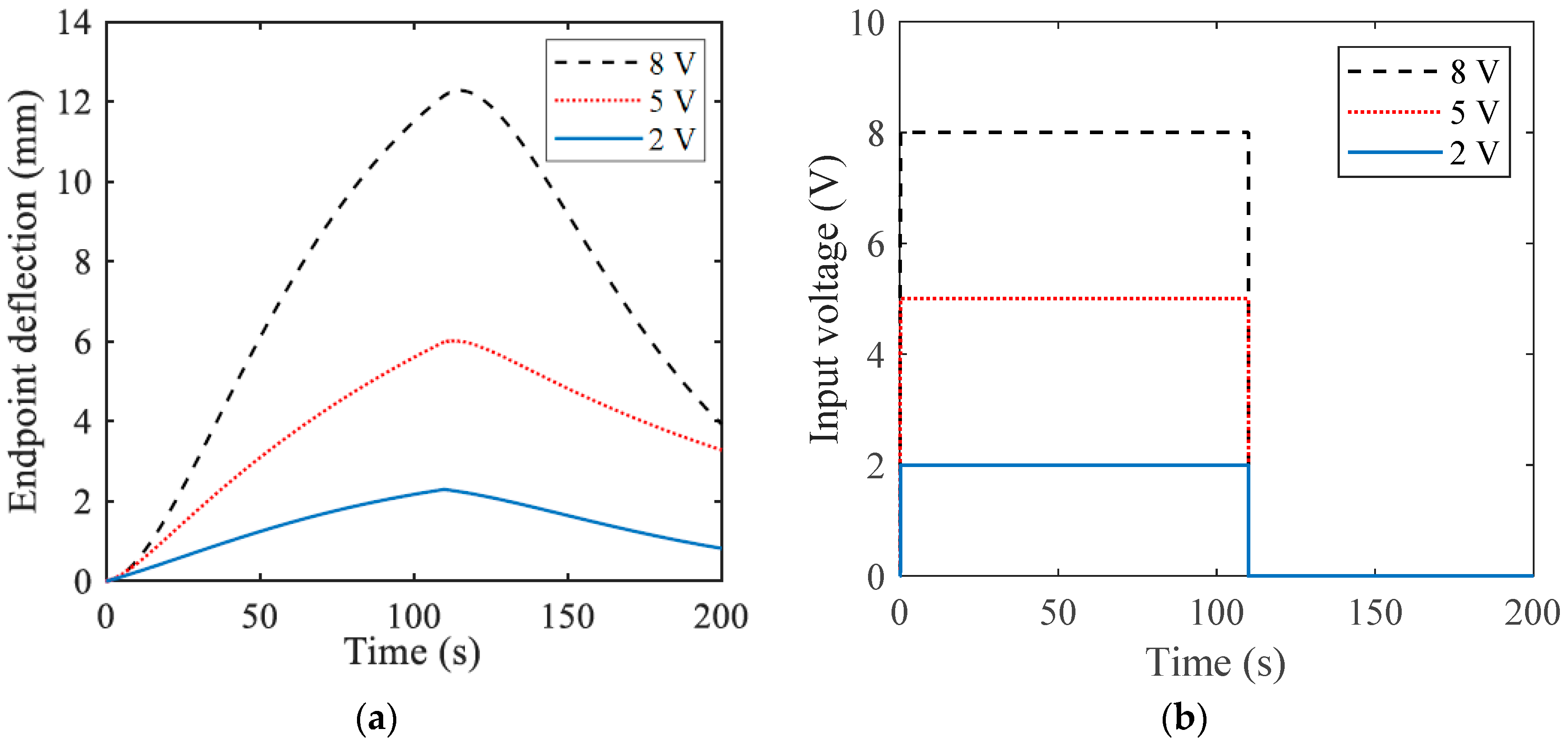
4. Modelling and Experimental Results
5. Conclusions
Author Contributions
Funding
Conflicts of Interest
References
- Zolfagharian, A.; Kouzani, A.Z.; Khoo, S.Y.; Moghadam, A.A.A.; Gibson, I.; Kaynak, A. Evolution of 3D printed soft actuators. Sens. Actuators A Phys. 2016, 250, 258–272. [Google Scholar] [CrossRef]
- Ma, J.; Franco, B.; Tapia, G.; Karayagiz, K.; Johnson, L.; Liu, J.; Arroyave, R.; Karaman, I.; Elwany, A. Spatial control of functional response in 4D-printed active metallic structures. Sci. Rep. 2017, 7, 46707. [Google Scholar] [CrossRef] [PubMed]
- Zolfagharian, A.; Kouzani, A.Z.; Khoo, S.Y.; Gibson, I.; Kaynak, A. 3D printed hydrogel soft actuators. In Proceedings of the IEEE Region 10—Asia and Pacific, Singapore, 22–25 November 2016; pp. 2272–2277. [Google Scholar]
- Zolfagharian, A.; Kouzani, A.Z.; Khoo, S.Y.; Nasri-Nasrabadi, B.; Kaynak, A. Development and analysis of a 3D printed hydrogel soft actuator. Sens. Actuators A Phys. 2017, 265, 94–101. [Google Scholar] [CrossRef]
- Zolfagharian, A.; Kaynak, A.; Khoo, S.Y.; Kouzani, A.Z. Polyelectrolyte soft actuators: 3D printed chitosan and cast gelatin. 3D Printing Addit. Manuf. 2018, 5, 138–150. [Google Scholar] [CrossRef]
- Elviri, L.; Foresti, R.; Bergonzi, C.; Zimetti, F.; Marchi, C.; Bianchera, A.; Bernini, F.; Silvestri, M.; Bettini, R. Highly defined 3D printed chitosan scaffolds featuring improved cell growth. Biomed. Mater. 2017, 12, 045009. [Google Scholar] [CrossRef] [PubMed]
- Shiga, T.; Kurauchi, T. Deformation of polyelectrolyte gels under the influence of electric field. J. Appl. Polym. Sci. 1990, 39, 2305–2320. [Google Scholar] [CrossRef]
- Li, Y.; Sun, Y.; Xiao, Y.; Gao, G.; Liu, S.; Zhang, J.; Fu, J. Electric field actuation of tough electroactive hydrogels cross-linked by functional triblock copolymer micelles. ACS Appl. Mater. Interfaces 2016, 8, 26326–26331. [Google Scholar] [CrossRef] [PubMed]
- Shang, J.; Shao, Z.; Chen, X. Electrical behavior of a natural polyelectrolyte hydrogel: chitosan/carboxymethylcellulose hydrogel. Biomacromolecules 2008, 9, 1208–1213. [Google Scholar] [CrossRef] [PubMed]
- Vunder, V.; Punning, A.; Aabloo, A. Electromechanical Distributed Modeling of Ionic Polymer Metal Composites, Ionic Polymer Metal Composites (IPMCs); Shahinpoor, M., Ed.; RCS Publishing: Cambridge, UK, 2015; pp. 228–247. [Google Scholar]
- Attaran, A.; Brummund, J.; Wallmersperger, T. Modeling and simulation of the bending behavior of electrically-stimulated cantilevered hydrogels. Smart Mater. Struct. 2015, 24, 035021. [Google Scholar] [CrossRef]
- Bar-Cohen, Y. Electroactive Polymer (EAP) Actuators as Artificial Muscles: Reality, Potential, and Challenges; SPIE: Bellingham, WA, USA, 2004. [Google Scholar]
- Liu, Y.; Zhao, R.; Ghaffari, M.; Lin, J.; Liu, S.; Cebeci, H.; de Villoria, R.G.; Montazami, R.; Wang, D.; Wardle, B.L.; et al. Equivalent circuit modeling of ionomer and ionic polymer conductive network composite actuators containing ionic liquids. Sens. Actuators A Phys. 2012, 181, 70–76. [Google Scholar] [CrossRef]
- Tanaka, K.; Sugeno, M. Stability analysis and design of fuzzy control systems. Fuzzy Sets Systs. 1992, 45, 135–156. [Google Scholar] [CrossRef]
- Nasiri, S.; Khosravani, M.R.; Weinberg, K. Fracture mechanics and mechanical fault detection by artificial intelligence methods: A review. Eng. Fail. Anal. 2017, 81, 270–293. [Google Scholar] [CrossRef]
- Zolfagharian, A.; Kouzani, A.Z.; Khoo, S.Y.; Noshadi, A.; Kaynak, A. 3D printed soft parallel actuator. Smart Mater. Struct. 2018, 27, 045019. [Google Scholar] [CrossRef]
- Madden, P.G.A. Development and Modeling of Conducting Polymer Actuators and the Fabrication of A Conducting Polymer Based Feedback Loop. Ph.D. Thesis, Massachusetts Institute of Technology, Cambridge, MA, USA, 2003. [Google Scholar]
- Nemat-Nasser, S.; Li, J.Y. Electromechanical response of ionic polymer-metal composites. J. Appl. Phys. 2000, 87, 3321–3331. [Google Scholar] [CrossRef]
- Fang, Y.; Tan, X.; Shen, Y.; Xi, N.; Alici, G. A scalable model for trilayer conjugated polymer actuators and its experimental validation. Mater. Sci. Eng. C 2008, 28, 421–428. [Google Scholar] [CrossRef]
- Yu, X.; Man, Z.; Wu, B. Design of fuzzy sliding-mode control systems. Fuzzy Sets Syst. 1998, 95, 295–306. [Google Scholar] [CrossRef]
- Golubev, B.; Horowitz, I. Plant rational transfer approximation from input-output data. Int. J. Control 1982, 36, 711–723. [Google Scholar] [CrossRef]
- Noshadi, A.; Zolfagharian, A.; Wang, G. Performance analysis of the computed torque based active force control for a planar parallel manipulator. Appl. Mech. Mater. 2012, 110, 4932–4940. [Google Scholar] [CrossRef]
- Zolfagharian, A.; Kouzani, A.Z.; Moghadam, A.A.A.; Khoo, S.Y.; Nahavandi, S.; Kaynak, A. Rigid elements dynamics modelling of a 3D printed soft actuator. Smart Mater. Struct. 2019, 28, 025003. [Google Scholar] [CrossRef]
- Benedetti, I.; Nguyen, H.; Soler-Crespo, R.A.; Gao, W.; Mao, L.; Ghasemi, A.; Wen, J.; Nguyen, S.; Espinosa, H.D. Formulation and validation of a reduced order model of 2D materials exhibiting a two-phase microstructure as applied to graphene oxide. J. Mech. Phys. Solids 2018, 112, 66–88. [Google Scholar] [CrossRef]
- Innis, P.C.; Chen, J.; Zheng, W. Mechanism in charge transfer and electrical stability. Conductive Polymers; CRC Press: Boca Raton, FL, USA, 2017; pp. 99–128. [Google Scholar]











| Actuator | Length (mm) | Width (mm) | Thickness (mm) | Maximum Deflection (mm) |
|---|---|---|---|---|
| S1 | 40 | 8 | 2 | 5.92 |
| S2 | 40 | 8 | 1 | 8.27 |
| S3 | 40 | 4 | 2 | 5.38 |
| S4 | 20 | 8 | 2 | 1.83 |
© 2018 by the authors. Licensee MDPI, Basel, Switzerland. This article is an open access article distributed under the terms and conditions of the Creative Commons Attribution (CC BY) license (http://creativecommons.org/licenses/by/4.0/).
Share and Cite
Zolfagharian, A.; Kaynak, A.; Yang Khoo, S.; Zhang, J.; Nahavandi, S.; Kouzani, A. Control-Oriented Modelling of a 3D-Printed Soft Actuator. Materials 2019, 12, 71. https://doi.org/10.3390/ma12010071
Zolfagharian A, Kaynak A, Yang Khoo S, Zhang J, Nahavandi S, Kouzani A. Control-Oriented Modelling of a 3D-Printed Soft Actuator. Materials. 2019; 12(1):71. https://doi.org/10.3390/ma12010071
Chicago/Turabian StyleZolfagharian, Ali, Akif Kaynak, Sui Yang Khoo, Jun Zhang, Saeid Nahavandi, and Abbas Kouzani. 2019. "Control-Oriented Modelling of a 3D-Printed Soft Actuator" Materials 12, no. 1: 71. https://doi.org/10.3390/ma12010071
APA StyleZolfagharian, A., Kaynak, A., Yang Khoo, S., Zhang, J., Nahavandi, S., & Kouzani, A. (2019). Control-Oriented Modelling of a 3D-Printed Soft Actuator. Materials, 12(1), 71. https://doi.org/10.3390/ma12010071

