In-Situ and Ex-Situ Characterization of Femtosecond Laser-Induced Ablation on As2S3 Chalcogenide Glasses and Advanced Grating Structures Fabrication
Abstract
1. Introduction
2. Materials and Methods
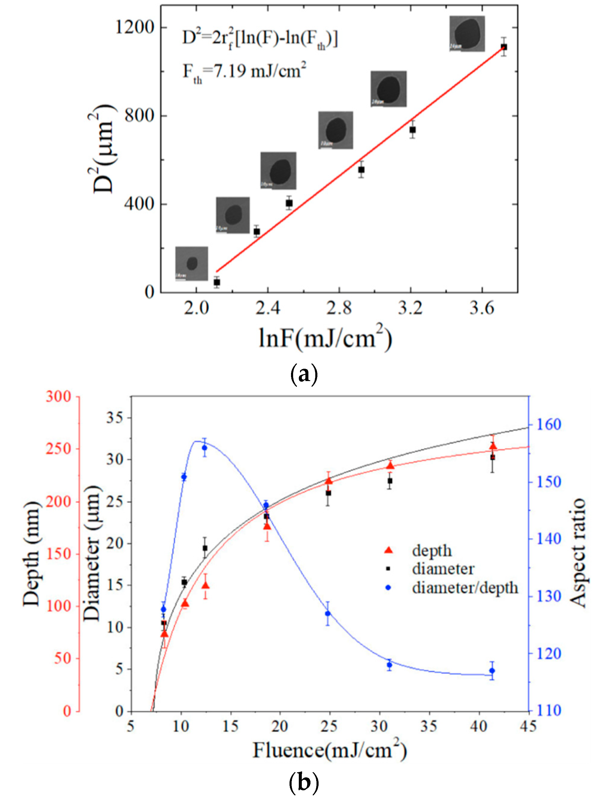
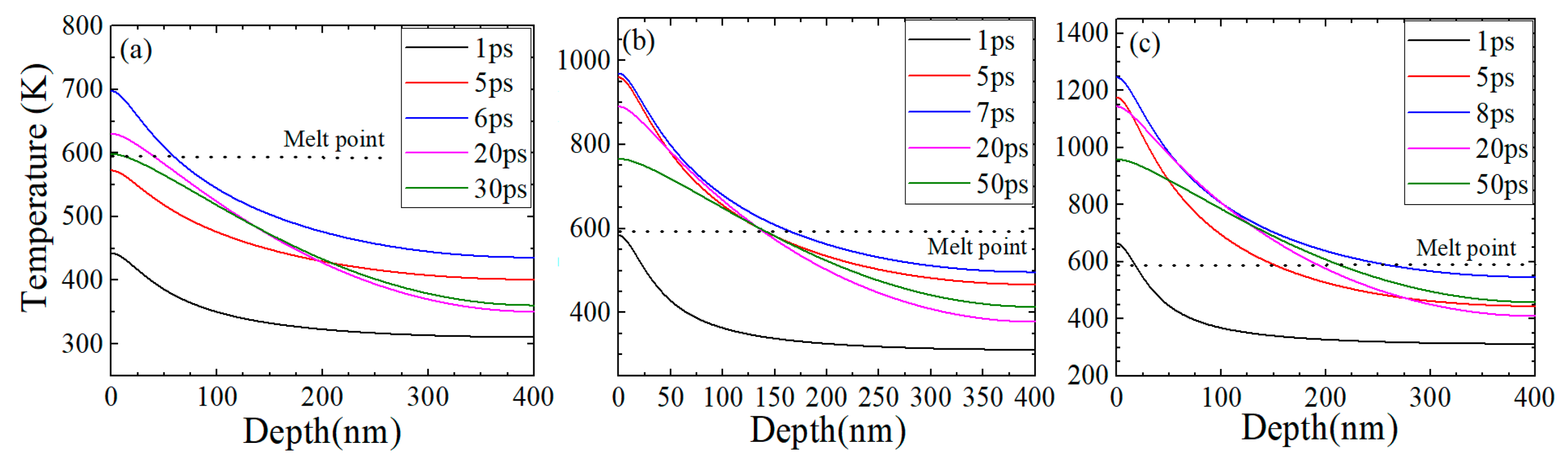
3. Results and Discussion
4. Conclusions
Author Contributions
Funding
Conflicts of Interest
References
- Smektala, F.; Quemard, C.; Leneindre, L.; Lucas, J.; Barthélémy, A.; Angelis, C.D. Chalcogenide glasses with large non-linear refractive indices. J. Non-Cryst. Solids 1998, 239, 139–142. [Google Scholar] [CrossRef]
- Petkov, K.; Ewen, P.J.S. Photoinduced changes in the linear and non-linear optical properties of chalcogenide glasses. J. Non-Cryst. Solids 1999, 249, 150–159. [Google Scholar] [CrossRef]
- Sanghera, J.S.; Shaw, L.B.; Aggarwal, I.D. Chalcogenide Glass-Fiber-Based Mid-IR Sources and Applications. IEEE J. Sel. Top. Quantum Electron. 2009, 15, 114–119. [Google Scholar] [CrossRef]
- Shimakawa, K.; Kolobov, A.; Elliott, S.R. Photoinduced effects and metastability in amorphous semiconductors and insulators. Adv. Phys. 1995, 44, 475–588. [Google Scholar] [CrossRef]
- Marie-Laure, A.; Julie, K.; Virginie, N.; Koji, H.; Satoru, I.; Catherine, B.P.; Hervé, L.; Joël, C.; Kiyoyuki, Y.; Olivier, L. Chalcogenide Glass Optical Waveguides for Infrared Biosensing. Sensors 2009, 9, 7398–7411. [Google Scholar]
- Madden, S.J.; Choi, D.; Bulla, D.A.; Rode, A.V.; Lutherdavies, B.; Ta’Eed, V.G.; Pelusi, M.D.; Eggleton, B.J. Long, low loss etched As2S3 chalcogenide waveguides for all-optical signal regeneration. Opt. Express 2007, 15, 14414–14421. [Google Scholar] [CrossRef] [PubMed]
- Wang, L.; Rho, Y.; Shou, W.; Hong, S.; Kato, K.; Eliceiri, M.; Shi, M.; Grigoropoulos, C.P.; Pan, H.; Carraro, C. Programming Nanoparticles in Multiscale: Optically Modulated Assembly and Phase Switching of Silicon Nanoparticle Array. ACS Nano 2018, 12, 2231. [Google Scholar] [CrossRef] [PubMed]
- Qi, D.; Tang, S.; Wang, L.; Dai, S.; Shen, X.; Wang, C.; Chen, S. Pulse laser-induced size-controllable and symmetrical ordering of single-crystal Si islands. Nanoscale 2018, 10, 8133–8138. [Google Scholar] [CrossRef] [PubMed]
- Zhang, Q.; Lin, H.; Jia, B.; Xu, L.; Gu, M. Nanogratings and nanoholes fabricated by direct femtosecond laser writing in chalcogenide glasses. Opt. Express 2010, 18, 6885–6890. [Google Scholar] [CrossRef]
- Velea, A.; Popescu, M.; Sava, F.; Lorinczi, A.; Simandan, I.D.; Socol, G.; Mihailescu, I.N.; Stefan, N.; Jipa, F.; Zamfirescu, M. Photoexpansion and nano-lenslet formation in amorphous As2S3 thin films by 800 nm femtosecond laser irradiation. J. Appl. Phys. 2012, 112, 499. [Google Scholar] [CrossRef]
- You, C.; Dai, S.; Zhang, P.; Xu, Y.; Wang, Y.; Xu, D.; Wang, R. Mid-infrared femtosecond laser-induced damages in As2S3 and As2Se3 chalcogenide glasses. Sci. Rep. 2017, 7, 6497. [Google Scholar] [CrossRef] [PubMed]
- Cumming, B.P.; Debbarma, S.; Luther-Davies, B.; Gu, M. Effect of refractive index mismatch aberration in arsenic trisulfide. Appl. Phys. B 2012, 109, 227–232. [Google Scholar] [CrossRef]
- Blackburn, D.H.; Osmalov, J.S. Properties of arsenic sulfide glass. J. Res. Natl. Bur. Stand. 1957, 59, 2774. [Google Scholar]
- Richardson, M.C.; Zoubir, A.; Rivero, C.; Lopez, C.; Petit, L.C.; Richardson, K.A. Femtosecond laser microstructuring and refractive index modification applied to laser and photonic devices. Proc. SPIE–Int. Soc. Opt. Eng. 2004, 5347, 18–27. [Google Scholar]
- Juodkazis, S.; Rode, A.V.; Matsuo, S. Three-dimensional recording and structuring of chalcogenide glasses by femtosecond pulses. Int. Symp. Laser Precis. Microfabr. 2004, 5662, 179–184. [Google Scholar]
- Mihailov, S.J.; Dan, G.; Smelser, C.W.; Lu, P.; Walker, R.B.; Ding, H. Bragg grating inscription in various optical fibers with femtosecond infrared lasers and a phase mask. Opt. Mater. Express 2011, 1, 754–765. [Google Scholar] [CrossRef]
- Kohoutek, T.; Hughes, M.A.; Orava, J.; Mastumoto, M.; Misumi, T.; Kawashima, H.; Suzuki, T.; Ohishi, Y. Direct laser writing of relief diffraction gratings into a bulk chalcogenide glass. J. Opt. Soc. Am. B 2012, 29, 2779. [Google Scholar] [CrossRef]
- Hughes, M.; Yang, W.; Hewak, D. Fabrication and characterization of femtosecond laser written waveguides in chalcogenide glass. Appl. Phys. Lett. 2007, 90, 704. [Google Scholar] [CrossRef]
- James, S.W.; Tatam, R.P. Optical fibre long-period grating sensors: characteristics and application. Meas. Sci. Technol. 2003, 14, 49–61. [Google Scholar] [CrossRef]
- Pudo, D.; Mägi, E.C.; Eggleton, B.J. Long-period gratings in chalcogenide fibers. Opt. Express 2006, 14, 3763–3766. [Google Scholar] [CrossRef]
- Finsterbusch, K.; Baker, N.; Ta’Eed, V.G.; Eggleton, B.J.; Choi, D.; Madden, S.; Lutherdavis, B. Long-period gratings in chalcogenide rib waveguides. Electron. Lett. 2006, 42, 1094–1095. [Google Scholar] [CrossRef]
- Rebollar, E.; Vázquez de Aldana, J.R.; Pérez-Hernández, J.A.; Ezquerra, T.A.; Moreno, P.; Castillejo, M. Ultraviolet and infrared femtosecond laser induced periodic surface structures on thin polymer films. Appl. Phys. Lett. 2012, 100, 041106. [Google Scholar] [CrossRef]
- Favazza, C.; Kalyanaraman, R.; Sureshkumar, R. Robust nanopatterning by laser-induced dewetting of metal nanofilms. Nanotechnology 2006, 17, 4229. [Google Scholar] [CrossRef] [PubMed]
- Hono, K.; Ohkubo, T.; Chen, Y.M.; Kodzuka, M.; Ohishi, K.; Sepehriamin, H.; Li, F.; Kinno, T.; Tomiya, S.; Kanitani, Y. Broadening the applications of the atom probe technique by ultraviolet femtosecond laser. Ultramicroscopy 2011, 111, 576–583. [Google Scholar] [CrossRef] [PubMed]
- Greenfield, M.; Guo, Y.Q.; Bernstein, E.R. Ultrafast photodissociation dynamics of HMX and RDX from their excited electronic states via femtosecond laser pump–probe techniques. Chem. Phys. Lett. 2006, 430, 277–281. [Google Scholar] [CrossRef]
- Mouskeftaras, A.; Guizard, S.; Fedorov, N.; Klimentov, S. Mechanisms of femtosecond laser ablation of dielectrics revealed by double pump–probe experiment. Appl. Phys. A 2013, 110, 709–715. [Google Scholar] [CrossRef]
- Qi, D.; Zhang, Z.; Yu, X.; Zhang, Y. Visualization of nanosecond laser-induced dewetting, ablation and crystallization processes in thin silicon films. Phys. Lett. A 2018, 1540–1544. [Google Scholar] [CrossRef]
- Zhang, N.; Zhu, X.; Yang, J.; Wang, X.; Wang, M. Time-resolved shadowgraphs of material ejection in intense femtosecond laser ablation of aluminum. Phys. Rev. Lett. 2007, 99, 167602. [Google Scholar] [CrossRef]
- Qi, D.; Paeng, D.; Yeo, J.; Kim, E.; Wang, L.; Chen, S.; Grigoropoulos, C.P. Time-resolved analysis of thickness-dependent dewetting and ablation of silver films upon nanosecond laser irradiation. Appl. Phys. Lett. 2016, 108, 193. [Google Scholar] [CrossRef]
- Georgescu, G.; Sava, F.; Rares-Medianu, M. Structure of bulk glassy As2Se3 and As2S3. J. Optoelectron. Adv. Mater. 2006, 8, 1801–1805. [Google Scholar]
- Zhang, H.; Oosten, D.V.; Krol, D.M.; Dijkhuis, J.I. Saturation effects in femtosecond laser ablation of silicon-on-insulator. Appl. Phys. Lett. 2011, 99, 214101. [Google Scholar] [CrossRef]
- Shaaban, E.R. Optical characterization of arsenic sulfide semiconducting glass films using the transmittance measurements. Mater. Chem. Phys. 2006, 100, 411–417. [Google Scholar] [CrossRef]
- Marquez, E.; Ramirezmalo, J.; Villares, P.; Jimenezgaray, R.; Ewen, P.J.S.; Owen, A.E. Calculation of the thickness and optical constants of amorphous arsenic sulphide films from their transmission spectra. J. Phys. D Appl. Phys. 2000, 139, 535. [Google Scholar] [CrossRef]
- Kosa, T.I.; Rangel-Rojo, R.; Hajto, E.; Ewen, P.J.S.; Owen, A.E.; Kar, A.K.; Wherrett, B.S. Nonlinear optical properties of silver-doped As2S3. J. Non-Cryst. Solids 1993, 164–166, 1219–1222. [Google Scholar] [CrossRef]
- Synowicki, R.A.; Tiwald, T.E. Optical properties of bulk c-ZrO2, c-MgO and a-As2S3 determined by variable angle spectroscopic ellipsometry. Thin Solid Films 2004, 455, 248–255. [Google Scholar] [CrossRef]
- Jandeleit, J.; Urbasch, G.; Hoffmann, H.D.; Treusch, H.G.; Kreutz, E.W. Picosecond laser ablation of thin copper films. Appl. Phys. A 1996, 63, 117–121. [Google Scholar] [CrossRef]
- Krause, S.; Miclea, P.T.; Steudel, F.; Schweizer, S.; Seifert, G. Precise microstructuring of indium-tin oxide thin films on glass by selective femtosecond laser ablation. EPJ Photovolt. 2013, 4, 40601. [Google Scholar] [CrossRef]
- Qiu, T.Q.; Tien, C.L. Femtosecond laser heating of multi-layer metals—I. Analysis. Int. J. Heat Mass Transf. 1994, 37, 2789–2797. [Google Scholar] [CrossRef]
- Sanghera, J.S.; Aggarwal, I.D. Active and passive chalcogenide glass optical fibers for IR applications: A review. J. Non-Cryst. Solids 1999, 256–257, 6–16. [Google Scholar] [CrossRef]
- Espeau, P.; Tamarit, J.L.; Barrio, M.; López, D.Ó.; Perrin, M.A.; Allouchi, H.; Céolin, R. Solid State Studies on Synthetic and Natural Crystalline Arsenic(III) Sulfide, As2S3 (Orpiment): New Data for an Old Compound. Chem. Mater. 2006, 18, 3821–3826. [Google Scholar] [CrossRef]
- Sheng, W.W.; Westgate, C.R. On the preswitching phenomena in semiconducting glasses. Solid State Commun. 1971, 9, 387–391. [Google Scholar] [CrossRef]
- Hattori, M.; Nagaya, K.; Umebachi, S.; Tanaka, M. Heat capacities of AsS glasses. J. Non-Cryst. Solids 1970, 3, 195–204. [Google Scholar] [CrossRef]
- Juodkazis, S.; Misawa, H.; Louchev, O.A.; Kitamura, K. Femtosecond laser ablation of chalcogenide glass: Explosive formation of nano-fibres against thermo-capillary growth of micro-spheres. Nanotechnology 2006, 17, 4802–4805. [Google Scholar] [CrossRef]
- Juodkazis, S.; Kondo, T.; Misawa, H.; Rode, A.; Samoc, M.; Luther-Davies, B. Photo-structuring of As2S3 glass by femtosecond irradiation. Opt. Express 2006, 14, 7751–7756. [Google Scholar] [CrossRef] [PubMed]






| As2S3 (Parameters) | Values |
|---|---|
| Initial temperature (T0) | 300 K |
| Thermal conductivity (k) | 0.17 W·m−1·C−1 |
| Lattice heat capacity (Ci) | 1 × 106 J·m−3·K−1 |
| Electron heat capacity (Ce) | 502 J·Kg−1·K−1 |
| Electron-phonon coupling factor (G) | 2.6 × 1016 W·m−3·K−1 |
| Reflection coefficient (R) | 0.6 |
| Radiation penetration depth (δ) | 15.3 nm |
© 2018 by the authors. Licensee MDPI, Basel, Switzerland. This article is an open access article distributed under the terms and conditions of the Creative Commons Attribution (CC BY) license (http://creativecommons.org/licenses/by/4.0/).
Share and Cite
Wang, H.; Qi, D.; Yu, X.; Zhang, Y.; Zhang, Z.; Xu, T.; Zhang, X.; Dai, S.; Shen, X.; Song, B.; et al. In-Situ and Ex-Situ Characterization of Femtosecond Laser-Induced Ablation on As2S3 Chalcogenide Glasses and Advanced Grating Structures Fabrication. Materials 2019, 12, 72. https://doi.org/10.3390/ma12010072
Wang H, Qi D, Yu X, Zhang Y, Zhang Z, Xu T, Zhang X, Dai S, Shen X, Song B, et al. In-Situ and Ex-Situ Characterization of Femtosecond Laser-Induced Ablation on As2S3 Chalcogenide Glasses and Advanced Grating Structures Fabrication. Materials. 2019; 12(1):72. https://doi.org/10.3390/ma12010072
Chicago/Turabian StyleWang, Hongyang, Dongfeng Qi, Xiaohan Yu, Yawen Zhang, Zifeng Zhang, Tiefeng Xu, Xiaowei Zhang, Shixun Dai, Xiang Shen, Baoan Song, and et al. 2019. "In-Situ and Ex-Situ Characterization of Femtosecond Laser-Induced Ablation on As2S3 Chalcogenide Glasses and Advanced Grating Structures Fabrication" Materials 12, no. 1: 72. https://doi.org/10.3390/ma12010072
APA StyleWang, H., Qi, D., Yu, X., Zhang, Y., Zhang, Z., Xu, T., Zhang, X., Dai, S., Shen, X., Song, B., Zhang, P., & Xu, Y. (2019). In-Situ and Ex-Situ Characterization of Femtosecond Laser-Induced Ablation on As2S3 Chalcogenide Glasses and Advanced Grating Structures Fabrication. Materials, 12(1), 72. https://doi.org/10.3390/ma12010072

