Titanium Dioxide Nanotube-Based Oxygen Indicator for Modified Atmosphere Packaging: Efficiency and Accuracy
Abstract
1. Introduction
2. Material and Methods
2.1. Materials
2.2. Experimental Section
2.2.1. Synthesis of TiO2 Nanotubes
2.2.2. Blue Bottle Light Experiment
2.2.3. Preparation of Oxygen Indicator
2.3. Characterization
3. Results and Discussion
3.1. Characterization of TiO2 Nanotube
3.2. Characterization of Photocatalytic Properties
3.3. Characterization of Printability
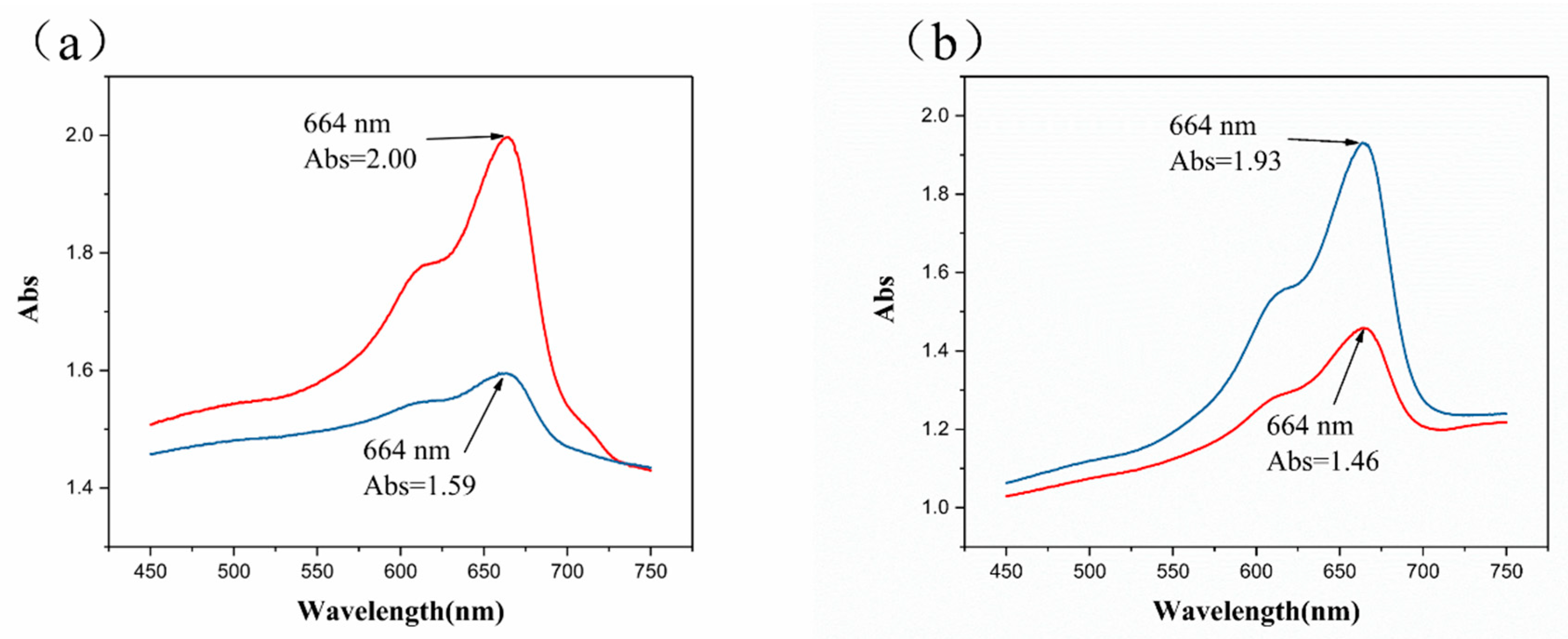
3.4. Application of Oxygen Indicator in MAP
4. Conclusions
Author Contributions
Funding
Acknowledgments
Conflicts of Interest
References
- Vu, C.H.T.; Won, K. Leaching-Resistant Carrageenan-Based Colorimetric Oxygen Indicator Films for Intelligent Food Packaging. J. Agric. Food Chem. 2014, 62, 7263–7267. [Google Scholar] [CrossRef] [PubMed]
- Won, K.; Jang, N.Y.; Jeon, J. A Natural Component-Based Oxygen Indicator with In-Pack Activation for Intelligent Food Packaging. J. Agric. Food Chem. 2016, 64, 9675–9679. [Google Scholar] [CrossRef] [PubMed]
- Vu, C.H.; Won, K. Novel water-resistant UV-activated oxygen indicator for intelligent food packaging. Food Chem. 2013, 140, 52–56. [Google Scholar] [CrossRef] [PubMed]
- Kuswandi, B.; Nurfawaidi, A. On-package dual sensors label based on pH indicators for real-time monitoring of beef freshness. Food Control 2017, 82, 91–100. [Google Scholar] [CrossRef]
- Deshwal, G.K.; Panjagari, N.R.; Badola, R.; Singh, A.K.; Minz, P.S.; Ganguly, S.; Alam, T. Characterization of Biopolymer-Based UV-Activated Intelligent Oxygen Indicator for Food-Packaging Applications. J. Packag. Technol. Res. 2018, 2, 29–43. [Google Scholar] [CrossRef]
- Khankaew, S.; Mills, A.; Yusufu, D.; Wells, N.; Hodgen, S.; Boonsupthip, W.; Suppakul, P. Multifunctional anthraquinone-based sensors: UV, O2 and time. Sens. Actuators B Chem. 2017, 238, 76–82. [Google Scholar] [CrossRef]
- Mills, A. Oxygen indicators and intelligent inks for packaging food. Chem. Soc. Rev. 2005, 34, 1003–1011. [Google Scholar] [CrossRef] [PubMed]
- Yap, R.C.C.; Kwablah, A.P.S.; He, J.; Li, X. Functions of Nano-Materials in Food Packaging. J. Mol. Eng. Mater. 2016, 4, 1640015. [Google Scholar] [CrossRef]
- Mills, A.; Lawrie, K. Novel photocatalyst-based colourimetric indicator for oxygen: Use of a platinum catalyst for controlling response times. Sens. Actuators B Chem. 2011, 157, 600–605. [Google Scholar] [CrossRef]
- Marek, P.; Velasco-Velez, J.J.; Haas, T.; Doll, T.; Sadowski, G. Time-monitoring sensor based on oxygen diffusion in an indicator/polymer matrix. Sens. Actuators B Chem. 2013, 178, 254–262. [Google Scholar] [CrossRef]
- Mills, A.; Lee, S.K. A web-based overview of semiconductor photochemistry-based current commercial applications. J. Photochem. Photobiol. A 2002, 152, 233–247. [Google Scholar] [CrossRef]
- Son, E.J.; Lee, J.S.; Lee, M.; Vu, C.H.T.; Lee, H.; Won, K.; Park, C.B. Self-adhesive graphene oxide-wrapped TiO2 nanoparticles for UV-activated colorimetric oxygen detection. Sens. Actuators B Chem. 2015, 213, 322–328. [Google Scholar] [CrossRef]
- Biji, K.B.; Ravishankar, C.N.; Mohan, C.O.; Gopal, T.K.S. Smart packaging systems for food applications: A review. J. Food Sci. Technol. 2015, 52, 6125–6135. [Google Scholar] [CrossRef] [PubMed]
- Xin, B.F.; Jing, L.Q.; Ren, Z.Y.; Wang, B.Q.; Fu, H.G. Effects of simultaneously doped and deposited ag on the photocatalytic activity and surface states of TiO2. J. Phys. Chem. B 2005, 109, 2805–2809. [Google Scholar] [CrossRef] [PubMed]
- Lee, S.K.; Sheridan, M.; Mills, A. Novel UV-activated colorimetric oxygen indicator. Chem. Mater. 2005, 17, 2744–2751. [Google Scholar] [CrossRef]
- Qu, X.F.; Xie, D.D.; Gao, L.; Cao, L.X.; Du, F.L. Synthesis and characterization of TiO2/WO3 composite nanotubes for photocatalytic applications. J. Mater. Sci. 2015, 50, 21–27. [Google Scholar] [CrossRef]
- Chen, F.; Zhao, J.; Hidaka, H. Adsorption factor and photocatalytic degradation of dye-constituent aromatics on the surface of TiO2 in the presence of phosphate anions. Res. Chem. Intermed. 2003, 29, 733–748. [Google Scholar] [CrossRef]
- Tehrani, F.M.K.; Rashidzadeh, M.; Nemati, A.; Irandoukht, A.; Faridnia, B. Characterization and photocatalytic activities of nanosized titanium dioxide thin films. Int. J. Environ. Sci. Technol. 2011, 8, 545–552. [Google Scholar] [CrossRef]
- Kim, S.J.; Lee, E.G.; Park, S.D.; Jeon, C.J.; Cho, Y.H.; Rhee, C.K.; Kim, W.W. Photocatalytic Effects of Rutile Phase TiO2 Ultrafine Powder with High Specific Surface Area Obtained by a Homogeneous Precipitation Process at Low Temperatures. J. Sol-Gel Sci. Technol. 2001, 22, 63–74. [Google Scholar] [CrossRef]
- Mills, A.; Lawrie, K.; McFarlane, M. Blue bottle light: Lecture demonstrations of homogeneous and heterogeneous photo-induced electron transfer reactions. Photochem. Photobiol. Sci. 2009, 8, 421–425. [Google Scholar] [CrossRef] [PubMed]
- Zhang, J.Y.; Wang, Y.H.; Zhang, J.; Lin, Z.; Huang, F.; Yu, J.G. Enhanced Photocatalytic Hydrogen Production Activities of Au-Loaded ZnS Flowers. ACS Appl. Mater. Interfaces 2013, 5, 1031–1037. [Google Scholar] [CrossRef] [PubMed]
- Michalow, K.A.; Logvinovich, D.; Weidenkaff, A.; Amberg, M.; Fortunato, G.; Heel, A.; Graule, T.; Rekas, M. Synthesis, characterization and electronic structure of nitrogen-doped TiO2 nanopowder. Catal. Today 2009, 144, 7–12. [Google Scholar] [CrossRef]
- Zhang, J.; Xu, H.; Hu, L.; Yang, Y.; Li, H.; Huang, C.; Liu, X. Novel Waterborne UV-Curable Hyperbranched Polyurethane Acrylate/Silica with Good Printability and Rheological Properties Applicable to Flexographic Ink. ACS Omega 2017, 2, 7546–7558. [Google Scholar] [CrossRef]
- Wang, H.X.; Qian, J.; Li, H.B.; Ding, F.Y. Rheological characterization and simulation of chitosan-TiO2 edible ink for screen-printing. Prog. Org. Coat. 2018, 120, 19–27. [Google Scholar] [CrossRef]
- Wang, H.X.; Guo, T.; Zhang, Y.F.; Zhang, Q.Y.; Li, H.B. Rheological properties, antimicrobial activity and screen-printing performance of chitosan-pigment (FeO(OH)center dot xH(2)O) composite edible ink. Prog. Org. Coat. 2017, 111, 75–82. [Google Scholar] [CrossRef]









| Sample | Temperature (°C) | Time (h) | Calcination |
|---|---|---|---|
| T1 | 130 | 2 | No |
| T2 | 130 | 2 | Yes |
| T3 | 130 | 3 | No |
| T4 | 130 | 3 | Yes |
© 2018 by the authors. Licensee MDPI, Basel, Switzerland. This article is an open access article distributed under the terms and conditions of the Creative Commons Attribution (CC BY) license (http://creativecommons.org/licenses/by/4.0/).
Share and Cite
Wen, J.; Huang, S.; Sun, Y.; Chen, Z.; Wang, Y.; Li, H.; Liu, X. Titanium Dioxide Nanotube-Based Oxygen Indicator for Modified Atmosphere Packaging: Efficiency and Accuracy. Materials 2018, 11, 2410. https://doi.org/10.3390/ma11122410
Wen J, Huang S, Sun Y, Chen Z, Wang Y, Li H, Liu X. Titanium Dioxide Nanotube-Based Oxygen Indicator for Modified Atmosphere Packaging: Efficiency and Accuracy. Materials. 2018; 11(12):2410. https://doi.org/10.3390/ma11122410
Chicago/Turabian StyleWen, Junwei, Shuting Huang, Yu Sun, Zhengjie Chen, Yixiang Wang, Houbin Li, and Xinghai Liu. 2018. "Titanium Dioxide Nanotube-Based Oxygen Indicator for Modified Atmosphere Packaging: Efficiency and Accuracy" Materials 11, no. 12: 2410. https://doi.org/10.3390/ma11122410
APA StyleWen, J., Huang, S., Sun, Y., Chen, Z., Wang, Y., Li, H., & Liu, X. (2018). Titanium Dioxide Nanotube-Based Oxygen Indicator for Modified Atmosphere Packaging: Efficiency and Accuracy. Materials, 11(12), 2410. https://doi.org/10.3390/ma11122410

