Binary Phase Diagrams and Thermodynamic Properties of Silicon and Essential Doping Elements (Al, As, B, Bi, Ga, In, N, P, Sb and Tl)
Abstract
:1. Introduction
2. Crystalline Silicon Solar Cells
3. Impurity Atoms
4. Impurity Atoms from Groups IIIA and VA
5. Phase Diagrams
5.1. The Al-Si System
5.2. The As-Si System
5.3. The B-Si System
5.4. The Bi-Si System
5.5. The Ga-Si System
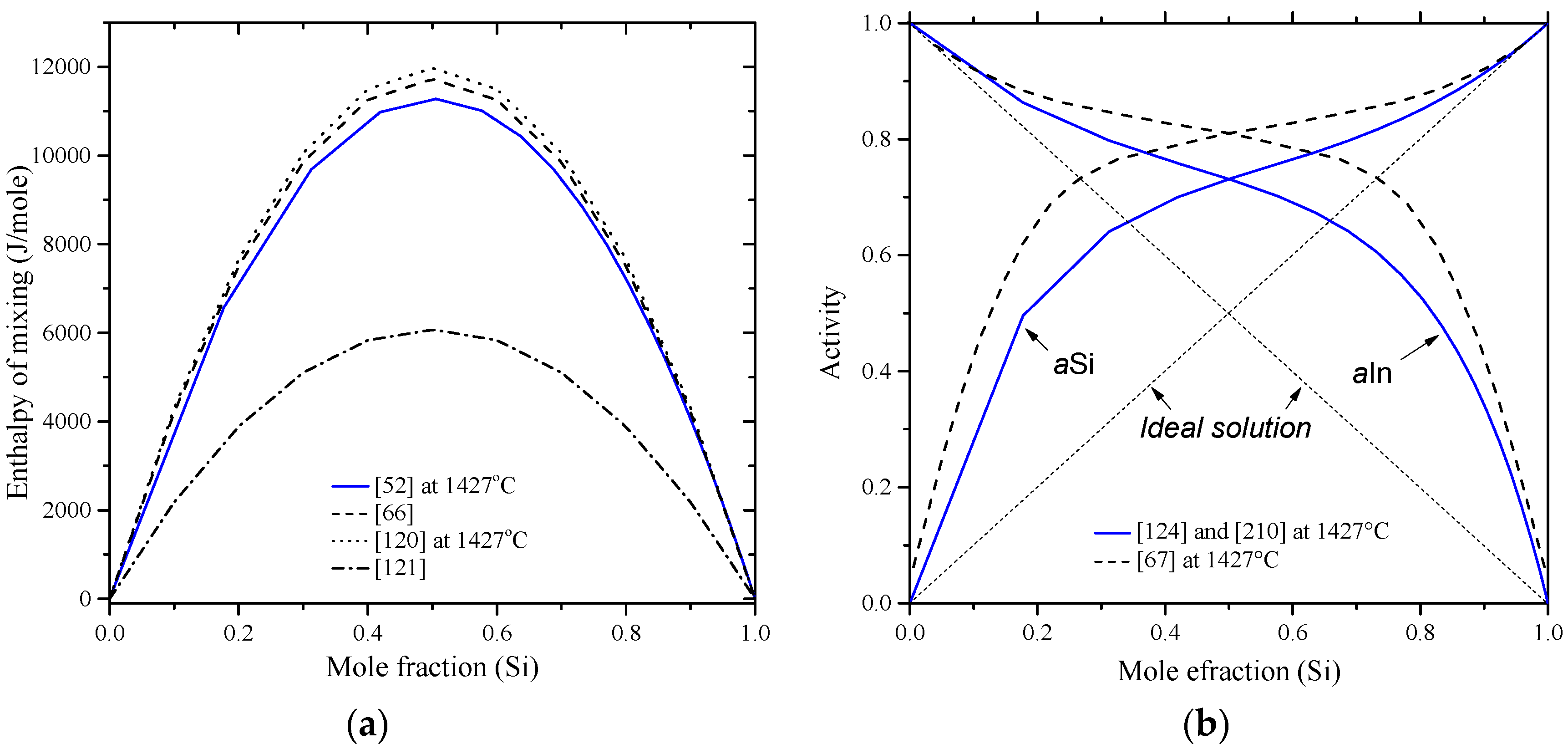
5.6. The In-Si System
5.7. The N-Si System
5.8. The P-Si System
5.9. The Sb-Si System
5.10. The Tl-Si System
6. Discussion
7. Summary
Acknowledgments
Conflicts of Interest
Abbreviations
| Al | Aluminum |
| As | Arsenic |
| a-Si | Amorphous silicon |
| B | Boron |
| Bi | Bismuth |
| Calphad | Calculations of phase diagram |
| CdTe | Cadmium telluride |
| CIGS | Copper indium gallium diselenide |
| Cm | Maximum solid solubility |
| CO2 | Carbon dioxide |
| c-Si | Crystalline silicon |
| Csat | Saturation concentration |
| Cu(In,Ga)Se2 | Copper indium gallium diselenide |
| D | Diffusivity |
| D0 | Temperature-independent pre-exponential factor |
| Deff | Effective diffusivity |
| Dex | Extrinsic diffusivity |
| Di | Intrinsic diffusivity |
| DSSC | Dye-sensitized solar cells |
| DTA | Differential thermal analysis |
| EPMA | Electron probe microanalyzer |
| Ga | Gallium |
| GHSER | Gibbs free energy values at reference state (1 atm and 298.15 K) for a pure element |
| ICP | Inductively coupled plasma |
| In | Indium |
| IR | Infra-red |
| k | Boltzmann constant |
| Ko | Distribution coefficient |
| N | Nitrogen |
| P | Phosphorus |
| P | Pressure |
| ppb | Particle per billion |
| PV | Photovoltaic |
| Qd | Activation energy |
| R | Universal gas constant |
| Sb | Antimony |
| Si | Silicon |
| Si:As | Arsenic-doped-silicon |
| Si:Bi | Bismuth-doped-silicon |
| Si:P | Phosphorus-doped-silicon |
| T | Absolute temperature |
| TEM | Transition electron microscopy |
| TFSC | Thin film solar cells |
| TG | Thermogravimetric |
| TGMZ | True gradient melting zone |
| Tl | Thallium |
| WDS | Wavelength dispersive spectroscopy |
| Xm | Maximum molar solid solubility |
| XRD | X-ray diffraction |
References
- Luque, A.; Hegedus, S. Handbook of Photovoltaic Science and Engineering, 2nd ed.; Luque, A., Hegedus, S., Eds.; John Wiley & Sons: Chichester, UK, 2010. [Google Scholar]
- Anwar, S.; Efstathiadis, H.; Qazi, S. Handbook of Research on Solar Energy Systems and Technologies; Engineering Science Reference (IGI Global): Hershey, PA, USA, 2013. [Google Scholar]
- Singh, V.K.; Giribabu, L. Photovoltaic—A Review of the Solar Cell Generation. J. Innov. Electron. Commun. 2013, 3, 44–53. [Google Scholar]
- Sovacool, B.K. The Costs of Failure: A Preliminary Assessment of Major Energy Accidents, 1907–2007. Energy Policy 2008, 36, 1802–1820. [Google Scholar] [CrossRef]
- Hollangel, E.; Fujita, Y. The Fukushima Disaster—Systemic Failures as the Lack of Resilience. Nucl. Eng. Technol. 2013, 45, 13–20. [Google Scholar] [CrossRef]
- Parida, B.; Iniyan, S.; Goic, R. A Review of Solar Photovoltaic Technologies. Renew. Sustain. Energy Rev. 2011, 15, 1625–1636. [Google Scholar] [CrossRef]
- Becquerel, A.E. Mémoire Sur Les Effets Électriques Produits Sous L’influence Des Rayons Solaires. Ann. Phys. Chem. 1841, 54, 35–42. [Google Scholar] [CrossRef]
- Becquerel, A.E. Recherches Sur Les Effets de La Radiation Chimique de La Lumiere Solaire Au Moyen Des Courants Electriques. CR Acad. Sci. 1839, 9, 145–149. [Google Scholar]
- Badawy, W.A. A Review on Solar Cells from Si-Single Crystals to Porous Materials and Quantum Dots. J. Adv. Res. 2015, 6, 123–132. [Google Scholar] [CrossRef] [PubMed]
- Chopra, K.L.; Paulson, P.D.; Dutta, V. Thin-Film Solar Cells: An Overview. Prog. Photovolt. Res. Appl. 2004, 12, 69–92. [Google Scholar] [CrossRef]
- Green, M.A. Thin-Film Solar Cells: Review of Materials, Technologies and Commercial Status. J. Mater. Sci. Mater. Electron. 2007, 18, 15–19. [Google Scholar] [CrossRef]
- Kerr, M.J.; Cuevas, A.; Campbell, P. Limiting Efficiency of Crystalline Silicon Solar Cells due to Coulomb-Enhanced Auger Recombination. Prog. Photovolt. Res. Appl. 2003, 11, 97–104. [Google Scholar] [CrossRef]
- Tsuo, Y.S.; Wang, T.H.; Ciszek, T.F. Crystalline-Silicon Solar Cells for the 21st Century. National Renewable Energy Laboratory: Seattle, WA, USA, 1999. [Google Scholar]
- Green, M.A. Limiting Efficiency of Bulk and Thin-Film Silicon Solar Cells in the Presence of Surface Recombination. Prog. Photovolt. Res. Appl. 1999, 7, 327–330. [Google Scholar] [CrossRef]
- Aberle, A.G. Surface Passivation of Crystalline Silicon Solar Cells: A Review. Prog. Photovolt. Res. Appl. 2000, 8, 473–487. [Google Scholar] [CrossRef]
- Tiedje, T.; Yablonovitch, E.; Cody, G.D.; Brooks, B.G. Limiting Efficiency of Silicon Solar Cells. IEEE Trans. Electron. Devices 1984, 31, 711–716. [Google Scholar] [CrossRef]
- Chroneos, A.; Sgourou, E.N.; Londos, C.A.; Schwingenschlögl, U. Oxygen Defect Processes in Silicon and Silicon Germanium. Appl. Phys. Rev. 2015, 2, 21306. [Google Scholar] [CrossRef]
- Sgourou, E.N.; Timerkaeva, D.; Londos, C.A.; Aliprantis, D.; Chroneos, A.; Caliste, D.; Pochet, P. Impact of Isovalent Doping on the Trapping of Vacancy and Interstitial Related Defects in Si. J. Appl. Phys. 2013, 113, 113506. [Google Scholar] [CrossRef]
- Wang, H.; Chroneos, A.; Londos, C.A.; Sgourou, E.N.; Schwingenschlögl, U. A-Centers in Silicon Studied with Hybrid Density Functional Theory. Appl. Phys. Lett. 2013, 103, 52101. [Google Scholar] [CrossRef]
- Van der Zwaan, B.; Rabl, A. Prospects for PV: A Learning Curve Analysis. Sol. Energy 2003, 74, 19–31. [Google Scholar] [CrossRef]
- Jia, G. Characterization of Electrical and Optical Properties of Silicon Based Materials; Fakultät für Mathematik; Naturwissenschaften und Informatik: Cottbus, Germany, 2010. [Google Scholar]
- Graff, K. Metal Impurities in Silicon-Device Fabrication; Springer: Berlin/Heidelberg, Germany, 1995. [Google Scholar]
- Coletti, G. Impurities in Silicon and Their Impact on Solar Cell Performance; Utrecht University: Utrecht, The Netherlands, 2011. [Google Scholar]
- Fahey, P.M.; Griffin, P.B.; Plummer, J.D. Point Defects and Dopant Diffusion in Silicon. Rev. Mod. Phys. 1989, 61, 289–384. [Google Scholar] [CrossRef]
- Taylor, W.; Gosele, U.; Tan, T.Y. Present Understanding of Point Defect Parameters and Diffusion in Silicon: An Overview. In Proceedings of the Third International Symposium on Process Physics and Modeling in Semiconductor Technology, Pennington, NJ, USA, 19–21 May 1993; pp. 3–19. [Google Scholar]
- Scotten, W.J. Diffusion in Silicon; IC Knowledge: Georgetown, USA, 2000. [Google Scholar]
- Tang, K.; Øvrelid, E.J.; Tranell, G.; Tangstad, M. A Thermochemical Database for the Solar Cell Silicon Materials. Mater. Trans. 2009, 50, 1978–1984. [Google Scholar] [CrossRef]
- O’Mara, W.; Herring, R.B.; Hunt, L.P. Handbook of Semiconductor Silicon Technology; Noyes Publications: Park Ridge, IL, USA, 2007. [Google Scholar]
- Gudmundsen, R.A.; Maserjian, J. Semiconductor Properties of Recrystallized Silicon in Aluminum Alloy Junction Diodes. J. Appl. Phys. 1957, 28, 1308. [Google Scholar] [CrossRef]
- Mckelvey, A.L. Retrograde Solubility in Semiconductors. Metall. Mater. Trans. A 1996, 27, 2704–2707. [Google Scholar] [CrossRef]
- Khan, M.I.; Mostafa, A.O.; Aljarrah, M.; Essadiqi, E.; Medraj, M. Influence of Cooling Rate on Microsegregation Behavior of Magnesium Alloys. J. Mater. 2014, 2014, 657647. [Google Scholar] [CrossRef]
- Yatsurugi, Y.; Akiyama, N.; Endo, Y.; Nozaki, T. Concentration, Solubility, and Equilibrium Distribution Coefficient of Nitrogen and Oxygen in Semiconductor Silicon. J. Electrochem. Soc. 1973, 120, 975. [Google Scholar] [CrossRef]
- Hall, R.N.; Soltys, T.J. High Purity Germanium for Detector Fabrication. IEEE Trans. Nucl. Sci. 1971, 18, 160–165. [Google Scholar] [CrossRef]
- Fischler, S. Correlation between Maximum Solid Solubility and Distribution Coefficient for Impurities in Ge and Si. J. Appl. Phys. 1962, 33, 1615. [Google Scholar] [CrossRef]
- Gumaste, J.L.; Mohanty, B.C.; Galgali, R.K.; Syamaprasad, U.; Nayak, B.B.; Singh, S.K.; Jena, P.K. Solvent Refining of Metallurgical Grade Silicon. Sol. Energy Mater. 1987, 16, 289–296. [Google Scholar] [CrossRef]
- Tafaghodikhajavi, L. Thermodynamics of Impurity Removal in Solvent Refining of Silicon; University of Toronto: Toronto, ON, Canada, 2015. [Google Scholar]
- Pizzini, S. Physical Chemistry of Semiconductor Materials and Processes; John Wiley & Sons: West Sussex, UK, 2015. [Google Scholar]
- Predel, B. Al-Si. In Binary Systems. Part 1_Elements and Binary Systems from Ag-Al to Au-Tl; Landolt-Börnstein-Group IV Physical Chemistry; Springer: Berlin/Heidelberg, Germany, 2002; Volume 19B1, pp. 198–200. [Google Scholar]
- Villars, P.; Cenzual, K. Pearson’s Crystal Data—Crystal Structure Database for Inorganic Compounds (on CD-ROM); Release 2009/2010; ASM International: Materials Park, OH, USA, 2009/2010. [Google Scholar]
- Beck, C.G. Crystallography of SiP and SiAs Single Crystals and of SiP Precipitates in Si. J. Appl. Phys. 1966, 37, 4683. [Google Scholar] [CrossRef]
- Han, Q.; Schmid-Fetzer, R. Phase Equilibria in Ternary Ga-As-M Systems (M = W, Re, Si). J. Mater. Sci. Mater. Electron. 1993, 4. [Google Scholar] [CrossRef]
- Wadsten, T.; Vikan, M.; Krohn, C.; Nilsson, Å.; Theorell, H.; Blinc, R.; Paušak, S.; Ehrenberg, L.; Dumanović, J. The Crystal Structures of SiP2, SiAs2, and GeP. Acta Chem. Scand. 1967, 21, 593–594. [Google Scholar] [CrossRef]
- Massalski, T.B.; Okamoto, H.; Subramanian, P.R.; Kacprzak, L. Binary Alloy Phase Diagrams; ASM International: Materials Park, OH, USA, 1990. [Google Scholar]
- Wu, J.; Ma, W.; Tang, D.; Jia, B.; Yang, B.; Liu, D.; Dai, Y. Thermodynamic Description of Si-B Binary System. Procedia Eng. 2012, 31, 297–301. [Google Scholar] [CrossRef]
- Magnusson, B.; Brosset, C. The Crystal Structure of В2.8Si. Acta Chem. Scand. 1962, 16, 449–455. [Google Scholar] [CrossRef]
- Cline, C.F. An Investigation of the Compound Silicon Boride (SiB6]). J. Electrochem. Soc. 1959, 106, 322. [Google Scholar] [CrossRef]
- Giese, R.F.; Matkovich, V.I.; Economy, J. The Crystal Structure of YB 4. Z. Krist. 1965, 122, 423–432. [Google Scholar] [CrossRef]
- Korniyenko, K. Boron—Carbon—Silicon. In Landolt-Börnstein-Group IV Physical Chemistry 11E1 (Refractory Metal Systems); Springer: Stuttgart, Germany, 2009; pp. 499–534. [Google Scholar]
- Franke, P.; Neuschütz, D. Bi-Si. In Binary Systems. Part 2: Elements and Binary Systems from B—C to Cr—Zr; Springer: Berlin/Heidelberg, Germany, 2004; pp. 1–2. [Google Scholar] [CrossRef]
- Olesinski, R.W.; Abbaschian, G.J. The Bi-Si (Bismuth-Silicon) System. Bull. Alloy Phase Diagr. 1985, 6, 359–361. [Google Scholar] [CrossRef]
- Olesinski, R.W.; Kanani, N.; Abbaschian, G.J. The Ga-Si (Gallium-Silicon) System. Bull. Alloy Phase Diagr. 1985, 6, 362–364. [Google Scholar] [CrossRef]
- Olesinski, R.W.; Kanani, N.; Abbaschian, G.J. The In-Si (Indium-Silicon) System. Bull. Alloy Phase Diagr. 1985, 6, 128–130. [Google Scholar] [CrossRef]
- Kato, K.; Inoue, Z.; Kijima, K.; Kawada, I.; Tanaka, H.; Yamane, T. Structural Approach to the Problem of Oxygen Content in Alpha Silicon Nitride. J. Am. Ceram. Soc. 1975, 58, 90–91. [Google Scholar] [CrossRef]
- Grün, R. The Crystal Structure of β-Si3N4: Structural and Stability Considerations between α- and β-Si3N4. Acta Crystallogr. Sect. B Struct. Crystallogr. Cryst. Chem. 1979, 35, 800–804. [Google Scholar] [CrossRef]
- Franke, P.; Neuschütz, D. P-Si. In Binary Systems. Part 4: Binary Systems from Mn-Mo to Y-Zr; Springer: Berlin/Heidelberg, Germany, 2006; pp. 1–4. [Google Scholar]
- Franke, P.; Neuschütz, D. Sb-Si. In Binary Systems. Part 4: Binary Systems from Mn-Mo to Y-Zr; Springer: Berlin/Heidelberg, Germany, 2006; pp. 1–3. [Google Scholar]
- Olesinski, R.W.; Abbaschian, G.J. The Si-Tl (Silicon-Thallium) System. Bull. Alloy Phase Diagr. 1985, 6, 543–544. [Google Scholar] [CrossRef]
- Murray, J.L.; McAlister, A.J. The Al-Si (Aluminum-Silicon) System. Bull. Alloy Phase Diagr. 1984, 5, 74–84. [Google Scholar] [CrossRef]
- Liang, Y.; Guo, C.; Li, C.; Du, Z. A Thermodynamic Description of the Al-Cr-Si System. J. Phase Equilib. Diffus. 2009, 30, 462–479. [Google Scholar] [CrossRef]
- Dix, E.H.; Heath, A.C. Equilibrium Relations in Aluminum-Silicon and Aluminum-Iron-Silicon Alloys of High Purity. Trans. AIME 1928, 78, 164–194. [Google Scholar]
- Losana, L.; Stratta, R. Solid Solubility of Silicon in Aluminum in the Solid State, in Italian. Metall. Ital. 1931, 23, 193–197. [Google Scholar]
- Durer, A. Determination of Solvus Curves by Dilatometric Measurements. Z. Metallkd. 1940, 32, 280–281. [Google Scholar]
- Glazov, V. Plotting of the solidus lines by measuring microhardness. Izv. Akad. Nauk SSSR Otd. Teckhn. Nauk. Met. Topl. 1961, 3, 9–42. [Google Scholar]
- Drits, M.Y.; Kadaner, E.S.; Kuz’mina, V.I. Solubility of Silicon and Zirconium in Aluminium. Izv. Akad. Nauk SSR Met. 1968, 1, 170–175. [Google Scholar]
- Mondolfo, L.F. Aluminum Alloys: Structure and Properties; Butterworth & Co. Ltd.: London, UK, 1976. [Google Scholar]
- Safarian, J.; Kolbeinsen, L.; Tangstad, M. Liquidus of Silicon Binary Systems. Metall. Mater. Trans. B 2011, 42, 852–874. [Google Scholar] [CrossRef]
- Safarian, J.; Kolbeinsen, L.; Tangstad, M. Thermodynamic Activities in Silicon Binary Melts. J. Mater. Sci. 2012, 47, 5561–5580. [Google Scholar] [CrossRef]
- Navon, D.; Chernyshov, V. Retrograde Solubility of Aluminum in Silicon. J. Appl. Phys. 1957, 28, 823. [Google Scholar] [CrossRef]
- Miller, R.C.; Savage, A. Diffusion of Aluminum in Single Crystal Silicon. J. Appl. Phys. 1956, 27, 1430. [Google Scholar] [CrossRef]
- Yoshikawa, T.; Morita, K. Solid Solubilities and Thermodynamic Properties of Aluminum in Solid Silicon. J. Electrochem. Soc. 2003, 150, G465. [Google Scholar] [CrossRef]
- Nishi, Y.; Kang, Y.; Morita, K. Control of Si Crystal Growth during Solidification of Si-Al Melt. Mater. Trans. 2010, 51, 1227–1230. [Google Scholar] [CrossRef]
- Martin, J.W. Concise Encyclopedia of the Structure of Materials, 1st ed.; Elsevier Science: Amsterdam, The Netherlands, 2007. [Google Scholar]
- Soma, T.; Funayama, Y.; Kagaya, H.-M. Solid Solubility of Silicon and Germanium in Aluminium under Pressure. J. Mater. Sci. 1990, 25, 3917–3921. [Google Scholar] [CrossRef]
- Fujishiro, I.; Mii, H.; Senoo, M.; Akao, M. High-Pressure Phase Diagram of Al-Si System. J. Soc. Mater. Eng. Jpn. 1971, 215, 952–955. [Google Scholar] [CrossRef]
- Senoo, M.; Mii, H.; Fujishiro, I.; Fujikawa, T. Precise Measurements of Lattice Compression of Al, Si and Al-Si Alloys by High Pressure X-Ray Diffractometry. Jpn. J. Appl. Phys. 1976, 15, 871. [Google Scholar] [CrossRef]
- Fraenkel, W. Silicon–aluminum alloys. Z. Anorg. Chem. 1908, 58, 154–158. [Google Scholar] [CrossRef]
- Roberts, C.E. CXXIX.—The Alloys of Aluminium and Silicon. J. Chem. Soc. Trans. 1914, 105, 1383. [Google Scholar] [CrossRef]
- Gwyer, A.G.C.; Phillips, H.W.L. Alloys of Aluminium with Silicon and Iron. J. Inst. Met. 1927, 38, 311–335. [Google Scholar]
- Broniewski, W.; Smialowski, M. On the Al-Si Alloys. Rev. Met. 1932, 29, 542–552. [Google Scholar] [CrossRef]
- Matsuyama, K. Ternary Diagram of the Al-Cu-Si System. Kinzoku No Kenkyu 1934, 11, 461–490. [Google Scholar]
- Craighead, C.M.; Cawthorne, E.W.; Jaffee, R.I. Solution Rate of Solid Aluminum in Molten Al-Si Alloy. Trans. AIME 1955, 203, 81–87. [Google Scholar] [CrossRef]
- Berthon, O.; Petot-Ervas, G.; Petot, C.; Desres, P. Thermodynamics of Aluminium-Silicon Alloys Containing 3–5 at% of Silicon. CR Acad. Sci. Paris 1969, 268C, C1939–C1942. [Google Scholar]
- Kobayashi, K.; Shingu, P.H.; Kanbara, H.; Ozaki, R. The Role of the Primary Phase on Eutectic Solidification of Al-Si Alloys. Trans. Jpn. Inst. Met. 1976, 17, 545–550. [Google Scholar] [CrossRef]
- Kobayashi, K.; Shingu, R.H.; Ozaki, R. The Role of the Primary Phase on Eutectic Solidification of Al-Si Alloys. Scr. Met. 1976, 10, 525–527. [Google Scholar] [CrossRef]
- Girault, B.; Chevrier, F.; Joullie, A.; Bougnot, G. Liquid Phase Epitaxy of Silicon at Very Low Temperatures. J. Cryst. Growth 1977, 37, 169–177. [Google Scholar] [CrossRef]
- Singer, A.R.E.; Jennings, P.H. Hot-Shortness of the Aluminium-Silicon Alloys of Commercial Purity. J. Inst. Met. 1947, 73, 33–55. [Google Scholar]
- Mey, S.; Hack, K. A Thermodynamic Evaluation of the Si-Zn, Al-Si and Al-Si-Zn Systems. Z. Met. 1986, 77, 454–459. [Google Scholar]
- Dörner, P.; Henig, E.-T.; Krieg, H.; Lukas, H.L.; Petzow, G. Optimization and Calculation of the Binary System Al-Si. Calphad 1980, 4, 241–254. [Google Scholar] [CrossRef]
- Lozovskii, V.N.; Udyanskaya, A.I. Solubility of Aluminum in Silicon Single Crystals. Inorg. Mater. 1968, 4, 1030–1031. [Google Scholar]
- Pichler, P. Intrinsic Point Defects, Impurities, and Their Diffusion in Silicon; Computational Microelectronics; Springer: Vienna, Austria, 2004. [Google Scholar]
- Krause, O.; Ryssel, H.; Pichler, P. Determination of Aluminum Diffusion Parameters in Silicon. J. Appl. Phys. 2002, 91, 5645. [Google Scholar] [CrossRef]
- Galvagno, G.; Scandurra, A.; Raineri, V.; Rimini, E.; La Ferla, A.; Sciascia, V.; Frisina, F.; Raspagliesi, M.; Ferla, G. Implants of Aluminum into Silicon. Nucl. Instrum. Methods Phys. Res. Sect. B Beam Interact. Mater. Atoms 1993, 74, 105–108. [Google Scholar] [CrossRef]
- Fisher, D.J. Diffusivity in Silicon 1953 to 2009. Defect Diffus. Forum 2010, 302, 230. [Google Scholar] [CrossRef]
- Tang, K.; Øvrelid, E.J.; Tranell, G.; Tangstad, M. Critical Assessment of the Impurity Diffusivities in Solid and Liquid Silicon. JOM 2009, 61, 49–55. [Google Scholar] [CrossRef]
- Chakraborti, N.; Lukas, H.L. Thermodynamic Optimization of the Mg-Al-Si Phase Diagram. Calphad 1992, 16, 79–86. [Google Scholar] [CrossRef]
- Feufel, H.; Gödecke, T.; Lukas, H.L.; Sommer, F. Investigation of the Al-Mg-Si System by Experiments and Thermodynamic Calculations. J. Alloy. Compd. 1997, 247, 31–42. [Google Scholar] [CrossRef]
- Du, Y.; Schuster, J.C.; Liu, Z.-K.; Hu, R.; Nash, P.; Sun, W.; Zhang, W.; Wang, J.; Zhang, L.; Tang, C.; et al. A Thermodynamic Description of the Al-Fe-Si System over the Whole Composition and Temperature Ranges via a Hybrid Approach of CALPHAD and Key Experiments. Intermetallics 2008, 16, 554–570. [Google Scholar] [CrossRef]
- Gröbner, J.; Lukas, H.L.; Aldinger, F. Thermodynamic Calculation of the Ternary System Al-Si-C. Calphad 1996, 20, 247–254. [Google Scholar] [CrossRef]
- Tang, Y.; Du, Y.; Zhang, L.; Yuan, X.; Kaptay, G. Thermodynamic Description of the Al-Mg-Si System Using a New Formulation for the Temperature Dependence of the Excess Gibbs Energy. Thermochim. Acta 2012, 527, 131–142. [Google Scholar] [CrossRef]
- Desai, P.D. Thermodynamic Properties of Selected Binary Aluminum Alloy Systems. J. Phys. Chem. Ref. Data 1987, 16, 109. [Google Scholar] [CrossRef]
- Hansen, S.C.; Loper, C.R. Effect of Antimony on the Phase Equilibrium of Binary Al-Si Alloys. Calphad 2000, 24, 339–352. [Google Scholar] [CrossRef]
- Bros, J.P.; Eslami, H.; Gaune, P. Thermodynamics of Al-Si and Al-Ge-Si Liquid Alloys: Enthalpies of Formation by High Temperature Calorimetry. Ber. Bunsenges. Phys. Chem. 1981, 85, 333–336. [Google Scholar] [CrossRef]
- Gizenko, N.V.; Emlin, B.I.; Kilesso, S.N.; Zav’yalov, A.L. Heats of Formation of Molten Aluminum-silicon Alloys. Izv. Akad. Nauk SSR Met. 1983, 3, 3–35. [Google Scholar]
- Rostovtsev, S.T.; Khitrik, S.I. Activity of Components in Silicon-aluminum, Silicon-manganese, and Silicon-chromium Alloys. Izv. Vyssh. Ucheb. Zaved. Met. 1971, 14, 61–63. [Google Scholar]
- Tang, K.; Øvrelid, E.J.; Tranell, G.; Tangstad, M. Thermochemical and Kinetic Databases for the Solar Cell Silicon Materials. Adv. Mate. Res. 2009, 14, 219–251. [Google Scholar]
- Batalin, G.I.; Beloborodova, E.A. An Investigation of the Thermodynamic Properties of Al-Si Melts. Izv. Akad. Nauk SSSR Met. 1971, 6, 9–74. [Google Scholar]
- Chatillon, C.; Allibert, M.; Pattoret, A. Thermodynamic Study by Mass Spectrometry of Aluminum-Silicon Alloys From 1000 to 1700 K. High Temp. High Press. 1975, 5, 583–594. [Google Scholar]
- Loseva, A.; Al’mukhamedov, A.; Tyumentsev, V.; Luzhnova, M. Thermodynamic Properties of Liquid Al-Si Alloys. Russ. J. Phys. Chem. 1977, 51, 495. [Google Scholar]
- Gokcen, N.A. The As (Arsenic) System. Bull. Alloy Phase Diagr. 1989, 10, 11–22. [Google Scholar] [CrossRef]
- Klement, W.; Jayaraman, A.; Kennedy, G.C. Phase Diagrams of Arsenic, Antimony, and Bismuth at Pressures up to 70 Kbars. Phys. Rev. 1963, 131, 632–637. [Google Scholar] [CrossRef]
- Jayaraman, A.; Klement, W.J.; Newton, R.C.; Kennedy, G.C. High-Pressure Investigations of Group III Elements. Part I. Fusion Curves and Polymorphic Transitions of Aluminum, Gallium, Indium, and Thallium at High Pressures. Part II. Phase Transformations in Uranium at High Pressures; Institute of Geophysics, University of California: Livermore, CA, USA, 1962. [Google Scholar]
- Olesinski, R.W.; Abbaschian, G.J. The As-Si (Arsenic-Silicon) System. Bull. Alloy Phase Diagrams 1985, 6, 254–258. [Google Scholar] [CrossRef]
- Klemm, W.; Pirscher, P. Uber Siliciumarsenide. Z. Anorg. Allg. Chem. 1941, 247, 211–220. [Google Scholar] [CrossRef]
- Ugay, Y.A.; Miroshnichenko, S.N.; Goncharov, E.G. Investigation of the pTx Diagram of the Si-As System. Izv. Akad. Nauk SSSR Neorg. Mat. 1974, 10, 1774–1777. [Google Scholar]
- Ugay, Y.A.; Goncharov, E.G.; Gladyshev, N.F.; Popov, A.E.; Inozemtseva, N.Y. Tensimetric Study of the Si-As System. Fiz. Khim. Prots. Polyprovod. Poverkh 1981, 138–144. [Google Scholar]
- Belousov, V.I. Calculation of the Activity Coefficient of Arsenic in Single Crystal Silicon. Russ. J. Phys. Chem. 1979, 53, 1266–1267. [Google Scholar]
- Sandhu, J.S.; Reuter, J.L. Arsenic Source Vapor Pressure Kinetics and Capsule Diffusion. IBM J. Res. Dev. 1971, 15, 464–471. [Google Scholar] [CrossRef]
- Trumbore, F.A. Solid Solubilities of Impurity Elements in Germanium and Silicon. Bell Syst. Tech. J. 1960, 39, 205–233. [Google Scholar] [CrossRef]
- Donohue, P.C.; Siemons, W.J.; Gillson, J.L. Preparation and Properties of Pyrite-Type SiP2 and SiAs2. J. Phys. Chem. Solids 1968, 29, 807–813. [Google Scholar] [CrossRef]
- Thurmond, C.D.; Kowalchik, M. Germanium and Silicon Liquidus Curves. Bell Syst. Tech. J. 1960, 39, 169–204. [Google Scholar] [CrossRef]
- Thurmond, C.D. Equilibrium Thermochemistry of Solid and Liquid Alloys of Germanium and of Silicon. I. The Solubility of Ge and Si in Elements of Groups III, IV and V. J. Phys. Chem. 1953, 57, 827–830. [Google Scholar] [CrossRef]
- Jordan, A.S.; Weiner, M.E. Calculation of the Liquidus Isotherms and Component Activities in the Ga-As-Si and Ga-P-Si Ternary Systems. J. Electrochem. Soc. 1974, 121, 1634. [Google Scholar] [CrossRef]
- Sudavtsova, V.S.; Batalin, G.I. Calculation of the Activities of the Components of Molten Metal-Si Alloys from the Phase Diagrams. Ukr. Khim. Zh. 1977, 43, 235–240. [Google Scholar]
- FACTSAGE. Integrated Thermodynamic Databank System; University Montreal: Montreal, QC, Canada, 2001. [Google Scholar]
- Fair, R.B.; Weber, G.R. Effect of Complex Formation on Diffusion of Arsenic in Silicon. J. Appl. Phys. 1973, 44, 273. [Google Scholar] [CrossRef]
- Ohkawa, S.; Nakajima, Y.; Fukukawa, Y. Arsenic Diffusion into Silicon from Elemental Source. Jpn. J. Appl. Phys. 1975, 14, 458. [Google Scholar] [CrossRef]
- Angelucci, R.; Armigliato, A.; Landi, E.; Nobili, D.; Solmi, S. Equilibrium Solubility of Arsenic and Antimony in Silicon. In Proceedings of the 17th European Solid State Device Research Conference (ESSDERC), Bologna, Italy, 14–17 September 1987; pp. 461–464. [Google Scholar]
- Nobili, D.; Solmi, S.; Parisini, A.; Derdour, M.; Armigliato, A.; Moro, L. Precipitation, Aggregation, and Diffusion in Heavily Arsenic-Doped Silicon. Phys. Rev. B 1994, 49, 2477–2483. [Google Scholar] [CrossRef]
- Nobili, D.; de Cogan, D. Solubility of B, Al, Ga, In, Tl, P, As an Sb in c-Si. Prop. Cryst. Silicon INSPEC Inst. Electr. Eng. Lond. 1999, 620–635. [Google Scholar]
- Fair, R.B.; Tsai, J.C.C. The Diffusion of Ion-Implanted Arsenic in Silicon. J. Electrochem. Soc. 1975, 122, 1689. [Google Scholar] [CrossRef]
- Miyamoto, N.; Kuroda, E.; Yoshida, S. The Behavior of Arsenic in Silicon During Heat Treatment. J. Jpn. Soc. Appl. Phys. Suppl. 1974, 43, 408–414. [Google Scholar]
- Pandey, K.C.; Erbil, A.; Cargill, G.S.; Boehme, R.F.; Vanderbilt, D. Annealing of Heavily Arsenic-Doped Silicon: Electrical Deactivation and a New Defect Complex. Phys. Rev. Lett. 1988, 61, 1282–1285. [Google Scholar] [CrossRef] [PubMed]
- Ventzek, P.L.G.; Kweon, K.E.; Ueda, H.; Oka, M.; Sugimoto, Y.; Hwang, G.S. Formation, Nature, and Stability of the Arsenic-Silicon-Oxygen Alloy for Plasma Doping of Non-Planar Silicon Structures. Appl. Phys. Lett. 2014, 105, 262102. [Google Scholar] [CrossRef]
- Nobili, D.; Solmi, S. Features of Arsenic Clusters in Silicon. Phys. Status Solidi 2005, 2, 3681–3685. [Google Scholar] [CrossRef]
- Moynagh, P.B.; Rosser, P.J. Quantification of Diffusion Mechanisms of Boron, Phosphorus, Arsenic, and Antimony in Silicon. In ESSDERC 1989; Springer: Berlin/Heidelberg, Germany, 1989; pp. 291–296. [Google Scholar]
- Kim, Y.; Massoud, H.Z.; Fair, R.B. The Effect of Ion-Implantation Damage on Dopant Diffusion in Silicon during Shallow-Junction Formation. J. Electron. Mater. 1989, 18, 143–150. [Google Scholar] [CrossRef]
- Fair, R. Concentration Profiles of Diffusion Dopants in Silicon. In Impurity Doping Processes in Silicon; Wang, F.F.Y., Ed.; Noth-Holland Publishing Company: New York, NY, USA, 1981; pp. 315–442. [Google Scholar]
- Hull, R. Properties of Crystalline Silicon; Institution of Engineering and Technology (IET): London, UK, 1999. [Google Scholar]
- Pelton, A.D. On the Slopes of Phase Boundaries. Metall. Trans. A 1988, 19, 1819–1825. [Google Scholar] [CrossRef]
- Fitzner, K.; Kleppa, O.J. Direct Synthesis Calorimetry of Some Binary Alloys in the Systems Si-As, Ge-As and Sn-As. J. Alloy. Compd. 1996, 238, 187–192. [Google Scholar] [CrossRef]
- Niessen, A.K.; de Boer, F.R.; Boom, R.; de Châtel, P.F.; Mattens, W.C.M.; Miedema, A.R. Model Predictions for the Enthalpy of Formation of Transition Metal Alloys II. Calphad 1983, 7, 51–70. [Google Scholar] [CrossRef]
- Zaitsev, A.I.; Kodentsov, A.A. Thermodynamic Properties and Phase Equilibria in the Si-B System. J. Phase Equilib. 2001, 22, 126–135. [Google Scholar] [CrossRef]
- Olesinski, R.W.; Abbaschian, G.J. The B-Si (Boron-Silicon) System. Bull. Alloy Phase Diagr. 1984, 5, 478–484. [Google Scholar] [CrossRef]
- Brosset, C.; Magnusson, B. The Silicon-Boron System. Nature 1960, 187, 54–55. [Google Scholar] [CrossRef]
- Samsonov, G.V.; Sleptsov, V.M. Forefront Version of the Phase Diagram in the Boron-Silicon System. Acad. Sci. UK SSR 1962, 8, 1066–1068. [Google Scholar]
- Hesse, J. Loeslichkeit Und Ausscheidungskinetik von Bor in Polykristallinem Silizium. Z. Met. 1968, 59, 499–503. [Google Scholar]
- Male, G.; Salanoubat, D. The Existence of a Rich Boron Phase in the Boron-Silicon System. Rev. Int. Ht. Temp. Refract. 1981, 18, 109–120. [Google Scholar]
- Armas, B.; Chatillon, C.; Allibert, M. Determination by Differential Mass Spectrometry of Activities in the Solid Silicon-Boron System. Rev. Int. Ht. Temp. Refract. 1981, 18, 153–165. [Google Scholar]
- Barin, I.; Knacke, O.; Kubaschewski, O. Thermochemical Properties of Inorganic Substances; Springer: Berlin/Heidelberg, Germany, 1977. [Google Scholar]
- Esin, Y.O.; Kolesnikov, S.P.; Baev, B.M.; Ermakov, A.F. Entalpij Obrazovanya Zhidkikh Splavov Kremnya S Borom (Ethalpies Formation of Liquid Alloys of Silicon with Boron), Tezisy Nauchn. Soobshch. Vses. Konf. Str. Svoistvam Met. Shlakovykh Rasplav. 1978, 2, 182–183. [Google Scholar]
- Li, J.; Goto, T.; Hirai, T. Thermoelectric Properties of SiB14-SiB6 Composites Prepared by Arc Melting and Annealing. J. Jpn. Soc. Powder Powder Metall. 1998, 45, 581–585. [Google Scholar] [CrossRef]
- Ettmayer, P.; Horn, H.C.; Schwetz, K.A. Untersuchungen Im System Silicium-Bor Mit Hilfe Der Elektronenstarhl-Mikroanalyse. Mikrochim. Acta 1970, 4, 87–95. [Google Scholar]
- Dirkx, R.R.; Spear, K.E. Optimization of Thermodynamic Data for Silicon Borides. Calphad 1987, 11, 167–175. [Google Scholar] [CrossRef]
- Okamoto, H. B-Si (Boron-Silicon). J. Phase Equilib. Diffus. 2005, 26, 396. [Google Scholar] [CrossRef]
- Fries, S.; Lukas, H.L. System B-Si. In COST 507. Thermochemical Database for Light Metal Alloys; Ansara, I., Dinsdale, A.T., Rand, M.H., Eds.; Office for Official Publications of the European Communities: Brussels, Belgium, 1998; Volume 2, pp. 126–128. [Google Scholar]
- Seifert, H.J.; Aldinger, F. Phase Equilibria in the Si-B-C-N System. In High Performance Non-Oxide Ceramics I; Springer: Berlin/Heidelberg, Germany, 2002; pp. 1–58. [Google Scholar]
- Vick, G.L.; Whittle, K.M. Solid Solubility and Diffusion Coefficients of Boron in Silicon. J. Electrochem. Soc. 1969, 116, 1142. [Google Scholar] [CrossRef]
- Van Hung, V.; Hong, P.T.T.; Van Khue, B. Boron and Phosphorus Diffusion In Silicon: Interstitial, Vacancy and Combination Mechanisms. Proc. Natl. Conf. Theor. Phys. 2010, 35, 73–79. [Google Scholar]
- Nichols, C.S.; Van de Walle, C.G.; Pantelides, S.T. Mechanisms of Dopant Impurity Diffusion in Silicon. Phys. Rev. B 1989, 40, 5484–5496. [Google Scholar] [CrossRef]
- Windl, W.; Bunea, M.M.; Stumpf, R.; Dunham, S.T.; Masquelier, M.P. First-Principles Study of Boron Diffusion in Silicon. Phys. Rev. Lett. 1999, 83, 4345–4348. [Google Scholar] [CrossRef]
- Haddara, Y.M.; Folmer, B.T.; Law, M.E.; Buyuklimanli, T. Accurate Measurements of the Intrinsic Diffusivities of Boron and Phosphorus in Silicon. Appl. Phys. Lett. 2000, 77, 1976. [Google Scholar] [CrossRef]
- Lide, D.R. Handbook of Chemistry and Physics, 85th edition; CRC Press: Boca Raton, USA, 2004. [Google Scholar]
- Sugino, O.; Oshiyama, A. Microscopic Mechanism of Atomic Diffusion in Si under Pressure. Phys. Rev. B 1992, 46, 12335–12341. [Google Scholar] [CrossRef]
- Khajavi, L.T.; Morita, K.; Yoshikawa, T.; Barati, M. Thermodynamics of Boron Distribution in Solvent Refining of Silicon Using Ferrosilicon Alloys. J. Alloy. Compd. 2015, 619, 634–638. [Google Scholar] [CrossRef]
- Beletskii, A.K.; Shcheretskii, A.K.; Vitusevich, V.T.; Shumikhin, V.S. Enthalpies of Formation of Melts in the Si-B System. Izv. AN SSSR Met. 1988, 3, 66–68. [Google Scholar]
- Kudin, V.G.; Makara, V.A.; Sudavtsova, V.S. Interactions in Molten Aluminum (Silicon)-Boron Alloys. Powder Metall. Met. Ceram. 2001, 40, 61–64. [Google Scholar] [CrossRef]
- Franke, P.; Neuschütz, D. B-Si. In Binary systems. Part 2: Elements and Binary Systems from B-C to Cr-Zr; Springer: Berlin/Heidelberg, Germany, 2004; pp. 1–4. [Google Scholar]
- Kudin, V.G.; Makara, V.A. Thermodynamic Properties of Metal-Boron Alloys. Inorg. Mater. 2002, 38, 216–219. [Google Scholar] [CrossRef]
- Kaufman, L.; Uhrenius, B.; Birnie, D.; Taylor, K. Coupled Pair Potential, Thermochemical and Phase Diagram Data for Transition Metal Binary Systems-VII. Calphad 1984, 8, 25–66. [Google Scholar] [CrossRef]
- Zaitseva, N.; Tsaplin, A.; Kodentsov, A. Thermodynamic Properties and Phase Equilibria in the Si-B System. In High Temperature Corrosion and Materials Chemistry III; Opila, E.J., McNallan, M.D., Eds.; The Electrochemistry Society: Washington, DC, USA, 2001. [Google Scholar]
- Gordienko, S.P. Enthalpies of Formation for Boron Silicides. Powder Metall. Met. Ceram. 1996, 34, 660–662. [Google Scholar] [CrossRef]
- George, R.E.; Witzel, W.; Riemann, H.; Abrosimov, N.V.; Nötzel, N.; Thewalt, M.L.W.; Morton, J.J.L. Electron Spin Coherence and Electron Nuclear Double Resonance of Bi Donors in Natural Si. Phys. Rev. Lett. 2010, 105, 67601. [Google Scholar] [CrossRef] [PubMed]
- Sekiguchi, T.; Steger, M.; Saeedi, K.; Thewalt, M.L.W.; Riemann, H.; Abrosimov, N.V.; Nötzel, N. Hyperfine Structure and Nuclear Hyperpolarization Observed in the Bound Exciton Luminescence of Bi Donors in Natural Si. Phys. Rev. Lett. 2010, 104, 137402. [Google Scholar] [CrossRef] [PubMed]
- Belli, M.; Fanciulli, M.; Abrosimov, N.V. Pulse Electron Spin Resonance Investigation of Bismuth-Doped Silicon: Relaxation and Electron Spin Echo Envelope Modulation. Phys. Rev. B 2011, 83, 235204. [Google Scholar] [CrossRef]
- Mohammady, M.H.; Morley, G.W.; Nazir, A.; Monteiro, T.S. Analysis of Quantum Coherence in Bismuth-Doped Silicon: A System of Strongly Coupled Spin Qubits. Phys. Rev. B 2012, 85, 94404. [Google Scholar] [CrossRef]
- Parry, C.M. Bismuth-Doped Silicon: An Extrinsic Detector For Long-Wavelength Infrared (LWIR) Applications. Proceedings of SPIE 0244, Mosaic Focal Plane Methodologies, San Diego, CA, USA, 18 February 1981. [Google Scholar]
- Williams, R.S. On the Alloys of Antimony with Manganese, Chromium, Silicon and Tin; of Bismuth with Chromium and Silicon; and of Manganese with Tin and Lead. Z. Anorg. Chem. 1907, 55, 1–33. [Google Scholar] [CrossRef]
- Girault, B. Liquidus Curves of Some Metal-Silicon Systems. CR Hebd Sci. L Acad. 1977, 1, 1–4. [Google Scholar]
- Fuller, C.S.; Ditzenberger, J.A. Diffusion of Donor and Acceptor Elements in Silicon. J. Appl. Phys. 1956, 27, 544. [Google Scholar] [CrossRef]
- Ghoshtagore, R.N. Donor Diffusion Dynamics in Silicon. Phys. Rev. B 1971, 3, 397–403. [Google Scholar] [CrossRef]
- Ishikawa, Y.; Yazaki, K.; Nakamichi, I. The Diffusion of Bismuth in Silicon. Jpn. J. Appl. Phys. 1989, 28, 1272–1273. [Google Scholar] [CrossRef]
- Smigelskas, A.D.; Kirkendall, E.O. Zinc Diffusion in Alpha Brass. Trans. Aime 1947, 171, 130–142. [Google Scholar]
- Kaban, I.; Gröbner, J.; Hoyer, W.; Schmid-Fetzer, R. Liquid-liquid Phase Equilibria, Density Difference, and Interfacial Tension in the Al-Bi-Si Monotectic System. J. Mater. Sci. 2010, 45, 2030–2034. [Google Scholar] [CrossRef]
- Scheel, H.J. Introduction to Liquid Phase Epitaxy. In Liquid Phase Epitaxy of Electronic, Optical and Optoelectronic Materials; John Wiley & Sons, Ltd.: Chichester, UK, 2007; pp. 1–19. [Google Scholar]
- Franke, P.; Neuschütz, D. Ga-Si (Gallium-Silicon). In Binary Systems. Part 5: Binary Systems Supplement 1; Springer: Berlin/Heidelberg, Germany, 2007; pp. 1–3. [Google Scholar]
- Klemm, W.; Klemm, L.; Hohmann, E.; Volk, H.; Orlamünder, E.; Klein, H.A. Das Verhalten Der Elemente Der III. Gruppe Zueinander Und Zu Den Elementen Der IV. Gruppe. Z. Anorg. Chem. 1948, 256, 239–252. [Google Scholar] [CrossRef]
- Savitskiy, Y.M.; Baron, V.V.; Tylkina, M.A. Phase Diagrams on Properties of Alloys of Gallium and Thallium. Russ. J. Inorg. Chem. 1958, 3, 310–327. [Google Scholar]
- Keck, P.H.; Broder, J. The Solubility of Silicon and Germanium in Gallium and Indium. Phys. Rev. 1953, 90, 521–522. [Google Scholar] [CrossRef]
- Banerjee, A. Advances in Physical Metallurgy; CRC Press: Amsterdam, The Netherlands, 1996. [Google Scholar]
- Haridoss, S.; Bénière, F.; Gauneau, M.; Rupert, A. Diffusion of Gallium in Silicon. J. Appl. Phys. 1980, 51, 5833. [Google Scholar] [CrossRef]
- Kurtz, A.D.; Gravel, C.L. Diffusion of Gallium in Silicon. J. Appl. Phys. 1958, 29, 1456. [Google Scholar] [CrossRef]
- Boltaks, B.I.; Dzhafarov, T.D. Diffusion of Gallium in Inhomogeneous Silicon. Sov. Phys. Solid State 1964, 5, 2649–2651. [Google Scholar]
- Kren, J.G.; Masters, B.J.; Wajda, E.S. Effect of Surface Imperfections on Gallium Diffusion in Silicon. Appl. Phys. Lett. 1964, 5, 49. [Google Scholar] [CrossRef]
- Makris, J.S. Gallium Diffusions into Silicon and Boron-Doped Silicon. J. Appl. Phys. 1971, 42, 3750. [Google Scholar] [CrossRef]
- Kanibolotsky, D.S.; Golovata, N.V.; Bieloborodova, O.A.; Lisnyak, V.V. Calorimetric Investigation of Liquid Gallium-Based Alloys. Z. Naturforsch. A 2003, 58, 473–474. [Google Scholar] [CrossRef]
- Sudavtsova, V.S.; Zinevich, T.N.; Kotova, N.V.; Beloborodova, E.A. Thermodynamic Properties of Ga-Si (Ge, Sn, Pb) Melts. Russ. J. Phys. Chem. 78, 829–831.
- Tmar, M.; Pasturel, A.; Colinet, C. Thermodynamics of (Silicon + Indium) and (Silicon + Gallium) Calorimetric Determination of the Partial Molar Enthalpy at Infinite Dilution of Si in Indium and Gallium. J. Chem. Thermodyn. 1983, 15, 1037–1040. [Google Scholar] [CrossRef]
- Backenstoss, G. Conductivity Mobilities of Electrons and Holes in Heavily Doped Silicon. Phys. Rev. 1957, 108, 1416–1419. [Google Scholar] [CrossRef]
- Jones, C.E.; Schafer, D.E.; Scott, M.W.; Hager, R.J. Studies of Indium-Doped Silicon; Honeywell Inc.: Minneapolis, MN, USA, 1980. [Google Scholar]
- Cerofolini, G.F.; Ferla, G.; Pignatel, G.U.; Riva, F. Thermodynamic and Kinetic Properties of Indium-Implanted Silicon II: High Temperature Diffusion in an Inert Atmosphere. Thin Solid Films 1983, 101, 275–283. [Google Scholar] [CrossRef]
- Millea, M.F. The Effect of Heavy Doping on the Diffusion of Impurities in Silicon. J. Phys. Chem. Solids 1966, 27, 315–325. [Google Scholar] [CrossRef]
- Antoniadis, D.A.; Moskowitz, I. Diffusion of Indium in Silicon Inert and Oxidizing Ambients. J. Appl. Phys. 1982, 53, 9214. [Google Scholar] [CrossRef]
- Noël, J.-P.; Hirashita, N.; Markert, L.C.; Kim, Y.-W.; Greene, J.E.; Knall, J.; Ni, W.-X.; Hasan, M.A.; Sundgren, J.-E. Electrical Properties of Si Films Doped with 200-eV In+ Ions during Growth by Molecular-Beam Epitaxy. J. Appl. Phys. 1989, 65, 1189. [Google Scholar] [CrossRef]
- Scott, W.; Hager, R.J. Solution Growth of Indium-Doped Silicon. J. Electron. Mater. 1979, 8, 581–602. [Google Scholar] [CrossRef]
- Sato, A.; Suzuki, K.; Horie, H.; Sugii, T. Determination of Solid Solubility Limit of In and Sb in Si Using Bonded Silicon-on-Insulator (SOI) Substrate. In Proceedings of the IEEE International Conference on Microelectronic Test Structures (ICMTS), Nara, Japan, 22–25 March 1995; pp. 259–263. [Google Scholar]
- Solmi, S.; Parisini, A.; Bersani, M.; Giubertoni, D.; Soncini, V.; Carnevale, G.; Benvenuti, A.; Marmiroli, A. Investigation on Indium Diffusion in Silicon. J. Appl. Phys. 2002, 92, 1361. [Google Scholar] [CrossRef]
- Liu, J.; Jeong, U.; Mehta, S.; Sherbondy, J.; Lo, A.; Shim, K.H.; Lim, J.E. Investigation of Indium Activation by C-V Measurement, in: Ion Implantation Technology; Ryssel, H., Frey, L., Gyulai, J., Glawischnig, H., Eds.; IEEE: Piscataway, NJ, USA, 2000. [Google Scholar]
- Yoshikawa, T.; Morita, K.; Kawanishi, S.; Tanaka, T. Thermodynamics of Impurity Elements in Solid Silicon. J. Alloy. Compd. 2010, 490, 31–41. [Google Scholar] [CrossRef]
- Cerofolini, G.F.; Ferla, G.; Pignatel, G.U.; Riva, F.; Ottaviani, G. Thermodynamic and Kinetic Properties of Indium-Implanted Silicon I: Moderate Temperature Recovery of the Implant Damage and Metastability Effects. Thin Solid Films 1983, 101, 263–273. [Google Scholar] [CrossRef]
- Franke, P.; Neuschütz, D. In-Si. In Binary Systems. Part 3: Binary Systems from Cs-K to Mg-Zr; Springer: Berlin/Heidelberg, Germany, 2006; pp. 1–3. [Google Scholar]
- Pavlov, P.V.; Zorin, E.I.; Tetelbaum, D.I.; Khokhlov, A.F. Nitrogen as Dopant in Silicon and Germanium. Phys. Status Solidi 1976, 35, 11–36. [Google Scholar] [CrossRef]
- Kaiser, W.; Thurmond, C.D. Nitrogen in Silicon. J. Appl. Phys. 1959, 30, 427–431. [Google Scholar] [CrossRef]
- Wu, J.; Sun, J.; Zhong, X.; Zhou, Z.; Wu, C.; Li, F. Silicon Nitride Films Synthesized by Reactive Pulsed Laser Deposition in an Electron Cyclotron Resonance Nitrogen Plasma. Thin Solid Films 1999, 350, 101–105. [Google Scholar] [CrossRef]
- Ma, X.; Li, C.; Wang, F.; Zhang, W. Thermodynamic Assessment of the Si-N System. Calphad 2003, 27, 383–388. [Google Scholar] [CrossRef]
- Blegen, K. Equilibria and Kinetics in Systems Si-N, Si-O-N and Si-C-O-N. Ph.D. Thesis, Department of Silicate and High Temperature Chemistry, University of Trondheim, Trondheim, Norway, 1976. [Google Scholar]
- Pehlke, R.D.; Elliott, J.F. High-Temperature Thermodynamics of the Silicon, Nitrogen, Silicon-Nitride System. Trans. Am. Inst. Min. Metall. Eng. 1959, 215, 781–785. [Google Scholar]
- Guzman, I.Y.; Demidenko, A.F.; Koshchenko, V.I.; Fraifel’d, M.S.; Egner, Y.V. Specific-Heats and Thermodynamic Functions of Si3N4 and Si2ON2. Izv. Akad. Nauk SSSR Neorg. Mater. 1976, 12, 1879–1881. [Google Scholar]
- Koshchenko, V.I.; Grinburg, Y. Thermodynamic Functions of B6As (5–600 K), Beta-SiC (5–2500 K) and Si3N4 (5–4000 K). Izv. Akad. Nauk SSSR Neorg. Mater. 1985, 21, 244–248. [Google Scholar]
- Hillert, M.; Jonsson, S.; Sundman, B. Thermodynamic Calculation of the Si-N-O System. Z. Met. 1992, 83, 648–654. [Google Scholar]
- Kaufman, L. Calculation of Quasi Binary and Quasiternary Oxynitride Systems—III. Calphad 1979, 3, 275–291. [Google Scholar] [CrossRef]
- Dorner, P.; Gauckler, L.J.; Krieg, H.; Lukas, H.L.; Petzow, G.; Weiss, J. Calculation of Heterogeneous Phase Equilibria in the SiAlON System. J. Mater. Sci. 1981, 16, 935–943. [Google Scholar] [CrossRef]
- Hincke, W.B.; Brantley, L.R. The High-Temperature Equilibrium Between Silicon Nitride, Silicon and Nitrogen. J. Am. Chem. Soc. 1930, 52, 48–52. [Google Scholar] [CrossRef]
- Forgeng, W.D.; Decker, B.F. Nitrides of Silicon. Min. Metall. Eng. 1958, 212, 343–348. [Google Scholar]
- Fujita, N.; Jones, R.; Goss, J.P.; Briddon, P.R.; Frauenheim, T.; Öberg, S. Diffusion of Nitrogen in Silicon. Appl. Phys. Lett. 2005, 87, 21902. [Google Scholar] [CrossRef]
- Alpass, C.R.; Murphy, J.D.; Falster, R.J.; Wilshaw, P.R. Nitrogen in Silicon: Diffusion at 500–750 °C and Interaction with Dislocations. Mater. Sci. Eng. B 2009, 159–160, 95–98. [Google Scholar] [CrossRef]
- Jones, R.; Hahn, I.; Goss, J.P.; Briddon, P.R.; Öberg, S. Structure and Electronic Properties of Nitrogen Defects in Silicon. Solid State Phenom. 2004, 95–96, 93–98. [Google Scholar] [CrossRef]
- Leslie, W.C.; Carroll, K.; Fishe, R.M. Diffraction Patterns and Crystal Structures of Si3N4 and Ge3N4. Trans. Met. Soc. AIME 1952, 194, 204–206. [Google Scholar]
- Carlson, O.N. The N-Si (Nitrogen-Silicon) System. Bull. Alloy Phase Diagr. 1990, 11, 569–573. [Google Scholar] [CrossRef]
- Arrowsmith, J.M. A New Silicon Nitride Phase in Commercial Silicon Killed Steels. J. Iron Steel Inst. 1963, 201, 699. [Google Scholar]
- Mellor, J.W. A Comprehensive Treatise on Inorganic and Theoretical Chemistry; Longmans, Green and Co. Ltd.: London, UK, 1928. [Google Scholar]
- Hengge, E. Uber Die Darstellung Eines Neuen Siliciumsubnitrides (Si6N2)n. Z. Anorg. Allg. Chem. 1962, 315, 298–304. [Google Scholar] [CrossRef]
- Wiberg, E.; Michaud, H. Zur Kenntnis Eines Siliciumtetrazids Si(N3)4. Z. Naturforsch. Sect. B J. Chem. Sci. 1954, 9, 500. [Google Scholar] [CrossRef]
- Peng, H. Spark Plasma Sintering of Si3N4-Based Ceramics-Sintering Mechanism-Tailoring Microstructure-Evaluating Properties; Stockholm University: Stockholm, Sweden, 2004. [Google Scholar]
- Riedel, R.; Zerr, A.; Miehe, G.; Serghiou, G.; Schwarz, M.; Kroke, E.; Fueß, H.; Kroll, P.; Boehler, R. Synthesis of Cubic Silicon Nitride. Nature 1999, 400, 340–342. [Google Scholar] [CrossRef]
- Wang, C.-M.; Pan, X.; Ruhle, M.; Riley, F.L.; Mitomo, M. Silicon Nitride Crystal Structure and Observations of Lattice Defects. J. Mater. Sci. 1996, 31, 5281–5298. [Google Scholar] [CrossRef]
- Scientific Group Thermodata Europe. SGTE Substance Database; Royal Institute of Technology: Stockholm, Sweden, 1994. [Google Scholar]
- Dinsdale, A.T. SGTE Data for Pure Elements. Calphad 1991, 15, 317–425. [Google Scholar] [CrossRef]
- Favre, S.; Nuta, I.; Chichignoud, G.; Zaïdat, K.; Chatillon, C. Removing Phosphorus from Molten Silicon: A Thermodynamic Evaluation of Distillation. ECS J. Solid State Sci. Technol. 2016, 5, P129–P137. [Google Scholar] [CrossRef]
- Miki, T.; Morita, K.; Sano, N. Thermodynamics of Phosphorus in Molten Silicon. Metall. Mater. Trans. B 1996, 27, 937–941. [Google Scholar] [CrossRef]
- Christensen, J.S. Dopant Diffusion in Si and SiGe; Mikroelektronik och Informationsteknik: Stockholm, Sweden, 2004. [Google Scholar]
- Giessen, V.B.; Vogel, R. About the Silicon-Phosphorus System. Z. Met. 1959, 50, 274. [Google Scholar]
- Olesinski, R.W.; Kanani, N.; Abbaschian, G.J. The P-Si (Phosphorus-Silicon) System. Bull. Alloy Phase Diagr. 1985, 6, 130–133. [Google Scholar] [CrossRef]
- Kooi, E. Formation and Composition of Surface Layers and Solubility Limits of Phosphorus During Diffusion in Silicon. J. Electrochem. Soc. 1964, 111, 1383. [Google Scholar] [CrossRef]
- Abrikosov, N.K.; Glazov, V.M.; Chen-Yuan, L. Individual and Joint Solubilities of Aluminum and Phosphorus in Germanium and Silicon. Russ. J. Lnorg. Chem. 1962, 7, 429–431. [Google Scholar]
- Uda, K.; Kamoshida, M. Annealing Characteristics of Highly P+-Ion-Implanted Silicon Crystal—Two-Step Anneal. J. Appl. Phys. 1977, 48, 18. [Google Scholar] [CrossRef]
- Solmi, S.; Parisini, A.; Angelucci, R.; Armigliato, A.; Nobili, D.; Moro, L. Dopant and Carrier Concentration in Si in Equilibrium with Monoclinic SiP Precipitates. Phys. Rev. B 1996, 53, 7836–7841. [Google Scholar] [CrossRef]
- Yoshida, M.; Arai, E.; Nakamura, H.; Terunuma, Y. Excess Vacancy Generation Mechanism at Phosphorous Diffusion into Silicon. J. Appl. Phys. 1974, 45, 1498–1501. [Google Scholar] [CrossRef]
- Tsai, J.C.C. Shallow Phosphorus Diffusion Profiles. IEEE 1969, 57, 1499–1506. [Google Scholar] [CrossRef]
- Tamura, M. Dislocation Networks in Phosphorus-Implanted Silicon. Philos. Mag. 1977, 35, 663–691. [Google Scholar] [CrossRef]
- Fogarassy, E.; Stuck, R.; Muller, J.C.; Grob, A.; Grob, J.J.; Siffert, P. Effects of Laser Irradiation on Phosphorus Diffused Layers in Silicon. J. Electron. Mater. 1980, 9, 197–209. [Google Scholar] [CrossRef]
- Mackintosh, I.M. The Diffusion of Phosphorus in Silicon. J. Electrochem. Soc. 1962, 109, 392. [Google Scholar] [CrossRef]
- Itoh, K.; Sasaki, Y.; Mitsuishi, T.; Miyao, M.; Tamura, M. Thermal Behavior of B, P and As Atoms in Supersaturated Si Produced by Ion Implantation and Pulsed-Laser Annealing. Jpn. J. Appl. Phys. 1982, 21, L245–L247. [Google Scholar] [CrossRef]
- Nobili, D.; Armigliato, A.; Finnetti, M.; Solmi, S. Precipitation as the Phenomenon Responsible for the Electrically Inactive Phosphorus in Silicon. J. Appl. Phys. 1982, 53, 1484. [Google Scholar] [CrossRef]
- Boeisenko, V.E.; Yudin, S.G. Steady-State Solubility of Substitutional Impurities in Silicon. Phys. Status Solidi 1987, 101, 123–127. [Google Scholar] [CrossRef]
- Safarian, J.; Tangstad, M. Phase Diagram Study of the Si-P System in Si-Rich Region. J. Mater. Res. 2011, 26, 1494–1503. [Google Scholar] [CrossRef]
- Jung, I.-H.; Zhang, Y. Thermodynamic Calculations for the Dephosphorization of Silicon Using Molten Slag. JOM 2012, 64, 973–981. [Google Scholar] [CrossRef]
- Liang, S.-M.; Schmid-Fetzer, R. Modeling of Thermodynamic Properties and Phase Equilibria of the Si-P System. J. Phase Equilib. Diffus. 2014, 35, 24–35. [Google Scholar] [CrossRef]
- Fritz, G.; Berkenhoff, H.O. Uber Ein Siliciumphosphid Si2P. Z. Anorg. Allg. Chem. 1959, 300, 205–209. [Google Scholar] [CrossRef]
- Wadsten, T. Preparative and Crystal-Structure Studies on Orthorhombic Silicon Monophosphide. Chem. Scr. 1975, 8, 63–69. [Google Scholar]
- SpringThorpe, A.J. The Preparation of Single Crystal Orthorhombic SiP2. Mater. Res. Bull. 1969, 4, 125–128. [Google Scholar] [CrossRef]
- Ntep, J.-M.; Said Hassani, S.; Lusson, A.; Tromson-Carli, A.; Ballutaud, D.; Didier, G.; Triboulet, R. ZnO Growth by Chemical Vapour Transport. J. Cryst. Growth 1999, 207, 30–34. [Google Scholar] [CrossRef]
- Carlsson, J.R.A. A New Silicon Phosphide, Si12P5: Formation Conditions, Structure, and Properties. J. Vac. Sci. Technol. A Vac. Surf. Films 1997, 15, 394. [Google Scholar] [CrossRef]
- Zaitsev, A.I.; Shelkova, N.E.; Kodentsov, A.A. Thermodynamic Properties and Phase Equilibria in the Silicon-Phosphorous System. J. Phase Equilib. 2000, 21, 528–533. [Google Scholar] [CrossRef]
- Gurvich, L.V. Ivtantermo-Automatic Data System on Thermodynamic Properties of Substances. Vestn. Akad. Nauk SSSR 1983, 3, 54–65. [Google Scholar]
- The Japan Society for Promotion of Science. The 19th Committee in Steelmaking: Steelmaking Data Sourcebook; Gordon and Beach Science Publishers: New York, NY, USA, 1988. [Google Scholar]
- Pelton, A.D.; Degterov, S.A.; Eriksson, G.; Robelin, C.; Dessureault, Y. The Modified Quasichemical Model I—Binary Solutions. Metall. Mater. Trans. B 2000, 31, 651–659. [Google Scholar] [CrossRef]
- Hillert, M. The Compound Energy Formalism. J. Alloy. Compd. 2001, 320, 161–176. [Google Scholar] [CrossRef]
- Ugai, Y.A.; Sokolov, L.I.; Goncharov, E.G.; Makarov, V.S. PTx Composition Diagram and Thermodynamics of Phase Equilibrium in the Silicon-Phosphorus System. Russ. J. Inorg. Chem. 1987, 32, 727–729. [Google Scholar]
- Knacke, O.; Kubaschewski, O.; Hesselmann, K. Thermochemical Properties of Inorganic Substances, 2nd ed.; Springer: Berlin, Germany, 1991. [Google Scholar]
- Philipp, F.; Schmidt, P. The Cationic Clathrate Si46−2xP2xTex Crystal Growth by Chemical Vapour Transport. J. Cryst. Growth 2008, 310, 5402–5408. [Google Scholar] [CrossRef]
- Wilmsen, C.W. Physics and Chemistry of III-V Compound Semiconductor Interfaces; Wilmsen, C.W., Ed.; Springer: Boston, MA, USA, 1985. [Google Scholar]
- Arutyunyan, N.A.; Zaitsev, A.I.; Shaposhnikov, N.G. Analysis of Thermodynamic Properties and Phase Equilibria in the Si-P System. Russ. J. Phys. Chem. A 2011, 85, 911–915. [Google Scholar] [CrossRef]
- Knudsen, M. Die Gesetze Der Molekularströmung Und Der Inneren Reibungsströmung Der Gase Durch Röhren. Ann. Phys. 1909, 333, 75–130. [Google Scholar] [CrossRef]
- Olesinski, R.W.; Abbaschian, G.J. The Sb-Si (Antimony-Silicon) System. Bull. Alloy Phase Diagr. 1985, 6, 445–448. [Google Scholar] [CrossRef]
- Malmeja, Y.; Desré, P.; Bonnier, E. Contribution to the Ternary Phase Diagram of Ge-Si-Sb. Mém. Sci. Rev. Métall. Fr. 1972, 69, 565–577. [Google Scholar]
- Rohan, J.J.; Pickering, N.E.; Kennedy, J. Diffusion of Radioactive Antimony in Silicon. J. Electrochem. Soc. 1959, 106, 705. [Google Scholar] [CrossRef]
- Wang, J.; Liu, Y.J.; Liu, L.B.; Zhou, H.Y.; Jin, Z.P. Thermodynamic Modeling of the Au-Sb-Si Ternary System. J. Alloy. Compd. 2011, 509, 3057–3064. [Google Scholar] [CrossRef]
- Nobili, D. Equilibrium Carrier Density and Solubility of Antimony in Silicon. J. Electrochem. Soc. 1989, 136, 1142. [Google Scholar] [CrossRef]
- Zhao, B.; Zhou, J.; Chen, Y. Numerical Simulation of the Impurity Photovoltaic Effect in Silicon Solar Cells Doped with Thallium. Phys. B Condens. Matter 2010, 405, 3834–3837. [Google Scholar] [CrossRef]
- Tamaru, S. Metallographische Mitteilungen Aus Dem Institut Für Physikalische Chemie Der Universität Göttingen. LXIX. Über Die Legierungen Des Siliciums Mit Zinn, Blei Und Thallium. Z. Anorg. Chem. 1909, 61, 40–45. [Google Scholar] [CrossRef]
- Predel, B. Si-Tl (Silicon-Thallium). In Pu-Re—Zn-Zr; Madelung, O., Ed.; Springer: Berlin/Heidelberg, Germany, 1985; p. 1. [Google Scholar]
- Schmit, J.L.; Scott, M.W. Growth of Thallium-Doped Silicon from a Tin-Thallium Solution. U.S. Patent Application No. 4,270,973, 2 June 1981. [Google Scholar]
- Ghoshtagore, R.N. Dopant Diffusion in Silicon. III. Acceptors. Phys. Rev. B 1971, 3, 2507–2514. [Google Scholar] [CrossRef]
- Burton, J.A.; Kolb, E.D.; Slichter, W.P.; Struthers, J.D. Distribution of Solute in Crystals Grown from the Melt. Part II. Experimental. J. Chem. Phys. 1953, 21, 1991. [Google Scholar] [CrossRef]
- Cordero, B.; Gómez, V.; Platero-Prats, A.E.; Revés, M.; Echeverría, J.; Cremades, E.; Barragán, F.; Alvarez, S. Covalent Radii Revisited. Dalton Trans. 2008, 21, 2832. [Google Scholar] [CrossRef] [PubMed]






























| Element | Ko [28] | Element | Ko [28] |
|---|---|---|---|
| Al | 0.002 | In | 4 × 10−4 |
| As | 0.300 | N1 | 7 × 10−4 |
| B | 0.800 | P | 0.350 |
| Bi | 7 × 10−4 | Sb | 0.023 |
| Ga | 0.008 | Tl | - |
| System | Phase | Prototype | Lattice Parameters (nm) | Space Groupe Number | Space Group | Ref. | ||
|---|---|---|---|---|---|---|---|---|
| a | b | c | ||||||
| All systems | (Si) | C (diamond) | 0.5430 | 227 | Fd-3m | [38,39] | ||
| Al-Si | (Al) | Cu | 0.4047 | 225 | Fm-3m | [38,39] | ||
| As-Si | AsSi | AsSi | 1.598 | 0.3668 | 0.953 | 12 | C2/m | [39,40,41] |
| As2Si | As2Ge | 1.453 | 1.037 | 0.3728 | 55 | Pbam | [39,42] | |
| As2Si 1 | FeS2 | 6.0232 | 205 | Pa-3 | [41,43] | |||
| (As) | αAs | 0.3760 | 1.0682 | 166 | R-3m | [39,41,43] | ||
| B-Si | β-B | β-B | 1.101 | 2.3900 | 166 | R-3m h | [39,44] | |
| B3Si | B4C | 0.6319 | 1.2713 | 166 | R-3m h | [39,45] | ||
| B6Si | B6Si | 1.439 | 1.827 | 0.988 | 58 | Pnnm | [39,46] | |
| BnSi n ≈ 23 | β-B | 1.101 | 2.390 | 166 | R-3m | [39,47,48] | ||
| Bi-Si | Bi | αAs | 0.4546 | 1.1862 | 166 | R-3m | [49,50] | |
| Ga-Si | (αGa) | αGa | 0.45192 | 0.76586 | 0.45258 | Cmca | [39,51] | |
| (βGa) | 0.27713 | 0.80606 | 0.33314 | 15 | C12/c1 | [39,51] | ||
| (γGa) | γGa | 1.0593 | 1.3523 | 0.5203 | 63 | Cmcm | [39,51] | |
| (δGa) | 0.909 | 1.702 | 177 | R-3m | [39,51] | |||
| In-Si | (In) | In | 0.4599 | 0.4947 | F4/mmm | [52] | ||
| N-Si | αSi3N4 | Si3N4 | 0.7818 | 0.5591 | 159 | P31c | [53] | |
| βSi3N4 | Si3N4 | 0.7595 | 0.2902 | 173 | P63 | [54] | ||
| γSi3N41 | Fe3O4 | 0.7772 | 227 | Fd-3m | [39] | |||
| P-Si | P(red) | P | 0.9210 | 0.9250 | 2.2600 | 13 | P12/c1 | [39] |
| SiP | SiP | 0.3511 | 2.0488 | 1.3607 | 36 | Cmc21 | [39,55] | |
| SiP2 | GeAs2 | 1.397 | 1.008 | 0.3436 | 55 | Pbam | [42] | |
| Si6P2.5 | C5W12 | 0.616 | 1.317 | 162 | P-31m | [39] | ||
| Sb-Si | Sb | αAs | 0.4331 | 1.1374 | 166 | R-3m | [39,56] | |
| Si-Tl | αTl | Mg | 0.3456 | 0.5526 | 194 | P63/mmc | [39,57] | |
| βTl | W | 0.3882 | 229 | Im3m | [39,57] | |||
| Temperature (°C) | Intrinsic Diffusivity 1 (cm2/s) | Extrinsic Diffusivity 1 (cm2/s) |
|---|---|---|
| 900 | 1.9 × 10−14 | 1.2 × 10−16 |
| 1000 | 2.5 × 10−13 | 1.4 × 10−15 |
| 1100 | 2.3 × 10−12 | 1.0 × 10−13 |
| Phase | Excess Gibbs Energy Parameter (J/Mole) | Ref. |
|---|---|---|
| Liquid | 0 1 2 | [59,98] |
| FCC_Al | 0 | [59,98] |
| Diamond_Si | 0 | This work |
| Features | Olesinski and Abbaschian [112] | FTlite Database [124] |
|---|---|---|
| Si terminal solid solution | Retrograde behavior | Typical behavior |
| Si-rich eutectic | 60 at % Si at 1097 °C | 56 at % at 1108 °C |
| As-rich eutectic | 9.8 at % Si at 797 °C | 4.7 at % Si at 795 °C |
| As2Si peritectic temperature | 977 °C | 979 °C |
| Compound | Enthalpy of Formation kJ·(Mole·Atom)−1 | Entropy of Formation (J/Mole·Atom·K) | Ref. | |
|---|---|---|---|---|
| AsSi | Experimental | −5.4 ± 1.2 | - | [140] |
| Calculated | −114.0 | - | [141] | |
| CALPHAD 1 | −5.9 | 30.64 | [124] | |
| As2Si | Experimental | −3.7 ± 2.3 | - | [140] |
| Calculated | −89.0 | - | [141] | |
| CALPHAD | −4.3 | 33.8 | [124] | |
| Phase | Excess Gibbs Energy Parameter (J/Mole) [155] |
|---|---|
| Liquid | 0 1 |
| Diamond_Si | 0 |
| β-B | 0 |
| B3Si | 0 |
| B6Si | 0 |
| BnSi | 0 |
| Compound | Enthalpy of Formation kJ·(Mole·Atom)−1 | Entropy of Formation (J/Mole·Atom·K) | Ref. |
|---|---|---|---|
| B3Si | −6.150 | − | [124,155] |
| −11.119 | −3.68 | [153] CALPHAD | |
| −6.025 | - | [169] | |
| −27.350 | −16.18 | [170] | |
| B4Si | −18.16 | - | [171] |
| B6Si | −4.230 | - | [124,155] |
| −21.186 ± 1.07 | - | [142] | |
| −17.286 ± 6.85 | −5.31 | [148] | |
| −6.616 | - | [169] | |
| −8.380 | −1.43 | [153] CALPHAD | |
| −17.457 | - | [171] | |
| B14Si | −3.825 | - | [153] CALPHAD |
| BnSi, n = 15.67 | −12.304 ± 1.37 | - | [142] |
| BnSi, n = 36 | −1.810 | - | [124,155] |
| B15Si | −13.563 ± 4.84 | −3.78 | [148] |
| B12Si | −4.316 | - | [169] |
| Phase | Excess Gibbs Energy Parameter (J/Mole) | Ref. |
|---|---|---|
| Liquid | 0 | [50] |
| 0 | [120] |
| Phase | Excess Gibbs Energy Parameter (J/Mole) | Ref. |
|---|---|---|
| Liquid | 0 | [51] |
| Phase | Excess Gibbs Energy Parameter (J/mole) | Ref. |
|---|---|---|
| Liquid | 0 | [52] |
| Phase | Symmetry | Pearson Symbol | Atom | Wyckoff Position | x | y | z |
|---|---|---|---|---|---|---|---|
| αSi3N4 | Hexagonal | hP28 | N1 | 6c | 0.0424 | 0.3891 | 0.0408 |
| N2 | 6c | 0.3169 | 0.3198 | 0.2712 | |||
| N3 | 2b | 0.3333 | 0.6667 | 0.3649 | |||
| N4 | 2a | 0.0000 | 0.0000 | 1.0000 | |||
| Si1 | 6c | 0.0821 | 0.5089 | 0.3172 | |||
| Si2 | 6c | 0.1712 | 0.2563 | 0.0274 | |||
| βSi3N4 | Hexagonal | hP14 | N1 | 6c | 0.0298 | 0.3294 | 0.2680 |
| N2 | 2b | 0.3333 | 0.6667 | 1.0000 | |||
| Si | 6c | 0.7686 | 0.1744 | 0.2550 | |||
| γSi3N4 | Cubic | cF56 | N | 32e | 0.8676 | 0.8676 | 0.8676 |
| Si1 | 8a | 0 | 0 | 0 | |||
| Si2 | 16d | 0.6250 | 0.6250 | 0.6250 |
| Phase | Excess Gibbs Energy Parameter (J/Mole) [214] |
|---|---|
| Liquid | 0 |
| Si3N4 | 0 |
| Compound | Enthalpy of FormationkJ·(Mole·Atom)−1 | Entropy of Formation(J/Mole·Atom·K) | Ref. |
|---|---|---|---|
| Si3N4 | −103.400 | −45.000 | [216] |
| Phase | Excess Gibbs Energy Parameter (J/Mole) [257] |
|---|---|
| Gas | |
| Liquid | |
| Diamond_Si | |
| SiP | |
| SiP2 | |
| P is the pressure in Pascal | |
| Compound | Enthalpy of Formation kJ·(Mole·Atom)−1 | Entropy of Formation (J/Mole·Atom·K) | Ref. |
|---|---|---|---|
| SiP | −61.118 | 15.016 | [55] |
| −71.128 | - | [271] | |
| −61.923 | 32.635 | [124,242] | |
| −63.300 | 34.735 | [256] | |
| −63.300 | 34.740 | [257] | |
| −63.220 | 29.400 | [272] | |
| SiP2 | −80.070 | 64.050 | [257] |
| −79.300 | 67.000 | [256] | |
| −84.300 | 69.900 | [270] |
| Phase | Excess Gibbs Energy Parameter (J/Mole) | Ref. |
|---|---|---|
| Liquid | ° | [277] |
| Diamond_Si | ° | [277] |
| Sb | Obtained from SGTE database | [237] |
| Phase | Excess Gibbs Energy Parameter (J/Mole) | Ref. |
|---|---|---|
| Liquid | 0 | [120] |
© 2017 by the authors. Licensee MDPI, Basel, Switzerland. This article is an open access article distributed under the terms and conditions of the Creative Commons Attribution (CC BY) license (http://creativecommons.org/licenses/by/4.0/).
Share and Cite
Mostafa, A.; Medraj, M. Binary Phase Diagrams and Thermodynamic Properties of Silicon and Essential Doping Elements (Al, As, B, Bi, Ga, In, N, P, Sb and Tl). Materials 2017, 10, 676. https://doi.org/10.3390/ma10060676
Mostafa A, Medraj M. Binary Phase Diagrams and Thermodynamic Properties of Silicon and Essential Doping Elements (Al, As, B, Bi, Ga, In, N, P, Sb and Tl). Materials. 2017; 10(6):676. https://doi.org/10.3390/ma10060676
Chicago/Turabian StyleMostafa, Ahmad, and Mamoun Medraj. 2017. "Binary Phase Diagrams and Thermodynamic Properties of Silicon and Essential Doping Elements (Al, As, B, Bi, Ga, In, N, P, Sb and Tl)" Materials 10, no. 6: 676. https://doi.org/10.3390/ma10060676
APA StyleMostafa, A., & Medraj, M. (2017). Binary Phase Diagrams and Thermodynamic Properties of Silicon and Essential Doping Elements (Al, As, B, Bi, Ga, In, N, P, Sb and Tl). Materials, 10(6), 676. https://doi.org/10.3390/ma10060676
