1. Introduction
The energy performance of a photo-voltaic (PV) system depends on many environmental parameters, nevertheless two of them are mainly responsible: the solar irradiance and the cell temperature. The former strongly affects the short-circuit current, the latter the open-circuit voltage, and both of them affect the maximum power point (MPP). Therefore, any reliable model of a PV system must take into account these parameters for any type of investigation: monitoring of the performance [
1], forecasting of the produced power [
2], development and testing of maximum power point tracking algorithms [
3], and so on. A reliable model is also needed to study defective PV cells [
4]. In these cases the thermal issues are relevant to classify the size and the severity of the defects; the finite element approach to model some classes of defects in the PV cells can be found in [
5,
6,
7].
There also exist several equivalent circuits based on a photocurrent source, one or more resistors, and one or more diodes. These topologies are characterized by several unknowns to be calculated, in fact the models are also classified with respect to the total number of unknowns. For example, the widely used “single-diode” model is also known as a “five-parameters” model, because it may be completely characterized by five parameters, as will be seen later. Similarly, the more detailed “double-diode” model is also known as a “seven-parameters” model, because just two other parameters have to be calculated in addition to those of the “five-parameters” model. Both of the previous models are based on the accuracy through three characteristic points of the current-voltage (I-V) curve (open-circuit condition, short-circuit condition, and MPP) [
8]. Other models are based on five characteristic points; beside the previous three points, two other points are considered: midway between MPP and open-circuit condition, at one-half of the open circuit condition [
9].
The drawback of the previous models is that the values of the components (resistors, diodes,
etc.) are not reported in any manufacturers’ datasheet. Instead, the datasheets may contain electrical information and some temperature-dependent coefficients. Thus, almost always a pre-processing of the values reported in the datasheet is needed before using the five- or seven-parameters model. Several authors have investigated this issue and there already exist PV models based on manufacturer datasheet information [
10,
11,
12,
13]. Nevertheless, these models are mathematical-based and cannot be used directly in a circuit simulator, even if circuit simulation is nowadays very important for many applications, including the study of the PV systems [
14]. For this aim, this paper proposes a scalable model of a PV cell, derived from the five-parameters model. After defining the mathematical model, the equations are interpreted from a circuit point of view, thus an electrical circuit is derived. Moreover, it can be implemented in a standard circuit simulator, because only basic analog components are used. The paper is organized as follows:
Section 2 derives the complete model and the simplified model,
Section 3 shows the lumped electrical circuits,
Section 4 presents the simulation results, finally
Section 5 draws the conclusions.
2. Proposed Scalable Model of a PV Cell
This section is constituted by two parts. The first one introduces the single diode model, the link to the main environment parameters (solar irradiance and temperature) and the formulas to scale the model. The second one derives the mathematical models of a PV cell, starting from the well-known five-parameters circuit model. The single terms of the descriptive equation are revised, taking into account the environmental conditions (ECs). Moreover, the approach is based only on the parameters usually available in a manufacturer’s PV module datasheet. In this way, the proposed models can be used without any preliminary processing of the information reported in the datasheet.
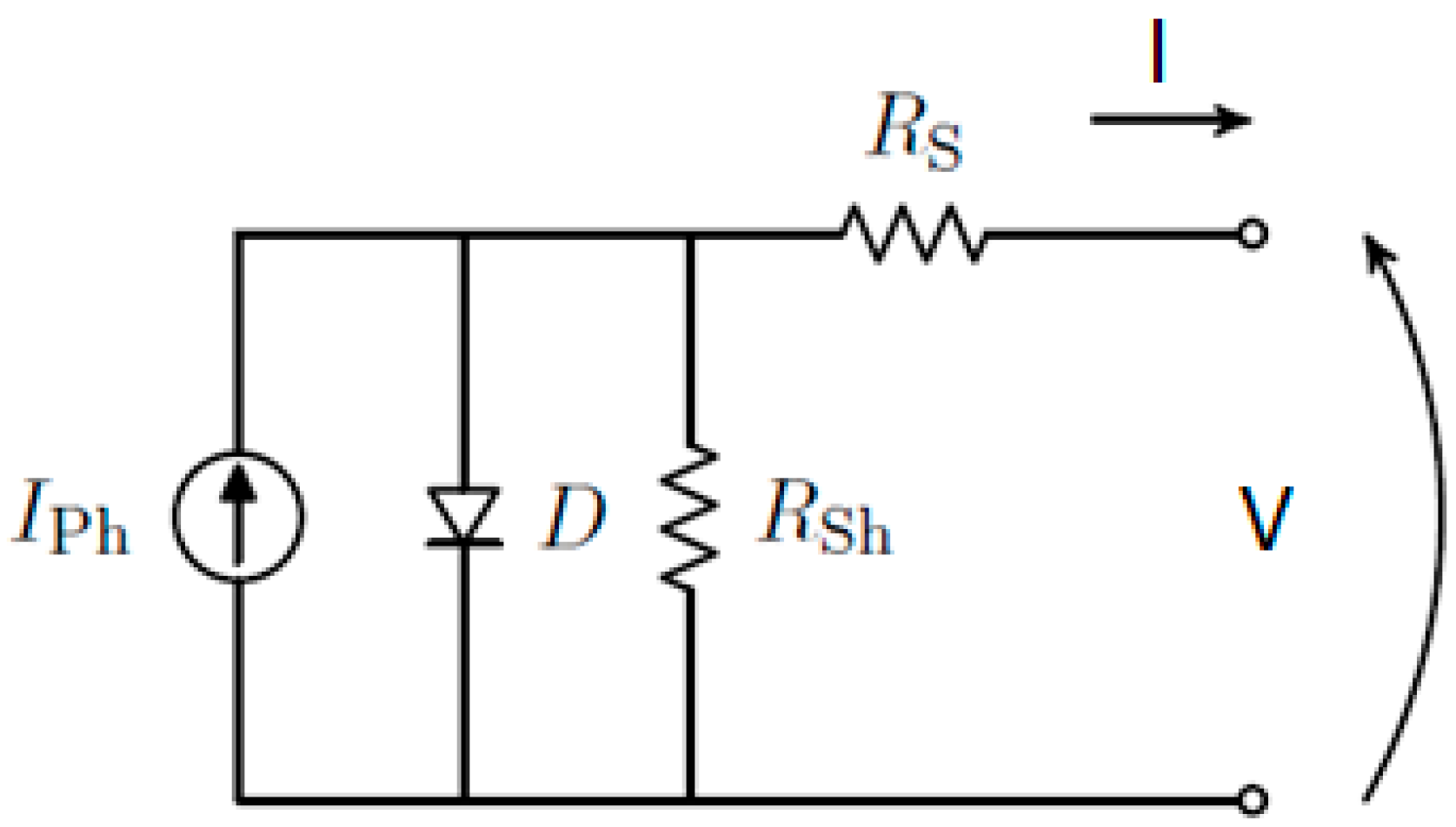
Figure 1 represents the well-known five-parameters model of a PV cell [
8], whose descriptive equation is:
where
IPh (A) is the light generated current (
i.e., the short circuit current neglecting the parasitic resistances),
Io (A) is the dark saturation current due to recombination,
q (C) is the electron charge,
Rs (Ω) is a series resistance,
n is the ideality factor,
k (J/K) is the Boltzmann constant,
Tc (K) is the cell temperature, and
Rsh (Ω) is a shunt resistance. The five unknown parameters are
Rs,
Rsh,
n,
Io,
Iph.
This model is valid for a fixed condition, but all the parameters are dependent on the ECs, primarily the solar radiance
G and the air temperature
Ta. Thus, Equation (1) can be used after determining the correct value of the parameters
Rs,
Rsh,
n,
Io,
Iph under the actual ECs. Moreover, the values of these parameters are not available at all in the datasheets of the PV modules, where other specifications are usually shown and are related to the PV module and not to the PV cell
vs. short-circuit current (
Isc), open-circuit voltage (
Voc), voltage and current in MPP (
Vmpp and
Impp), rated peak power (
Pn), coefficients
(temperature coefficient for the short circuit current) and
(temperature coefficient for the open circuit voltage). All these parameters are defined in the standard test conditions (STCs),
i.e., for solar radiation of 1000 W/m
2, air temperature
Ta = 25 °C, air wind of 1 m/s and air mass AM = 1.5. Usually, also the nominal operating condition temperature (NOCT) is defined, but for 800 W/m
2 and cell temperature
Tc of 20 °C. The NOCT is directly linked to
Ta and
Tc by the following expression:
The datasheet contains also information about the number of series- and parallel-connected PV cells in the PV module, therefore it is easy to evaluate the characteristic currents and voltages of a PV cell using the corresponding values of the PV module:
being
Ns the number of series-connected cells and
Np the number of parallel-connected groups of cells, respectively. Therefore, in the following we consider the voltage and the current of the PV cell satisfying Equations (3) and (4).
To summarize, the parameters of
Figure 1 are not reported in the datasheet of the PV module and the parameters available are known only for a specific and fixed set of ECs. Therefore, the model in
Figure 1 can be successfully used in a circuit simulator only after calculating the five parameters in the operating EC, thus a single simulation with variable EC cannot be run.
The aim of this paper is to propose an upgraded model of a PV cell, constituted by components depending on both the manufacturer datasheet and the operating ECs. In this way, it can be used in a circuit simulator for the analysis in variable Operating Conditions (OCs).
2.1. Mathematical Formulation of the Complete Model
The light generated current is directly proportional to the solar irradiance [
15]:
where
Gpu =
G/1000 is the relative solar irradiance referred to the STC value,
is the short circuit current and the superscript “
o” stands for STC,
is the current-temperature coefficient at STC, ΔT = (
Tc − 25) is the mismatch of the cell temperature with respect to the STC cell temperature.
The structure of Equation (5) is approximately valid also for the
Impp:
The above equation states that the current in MPP depends on both the solar irradiance and the cell temperature.
Let us study the second term of Equation (1). The dark saturation current
Io depends on the cell temperature [
16], whereas the series resistance
Rs depends on the ECs [
17]. Moreover, it has two characteristic values for
V = 0 and
V =
Voc,
i.e., in short- and open-circuit condition. For these extreme values, it ranges from about zero to
Io, because the exponential term ranges from 1 to 0. This term can be represented as:
where
is the open circuit voltage in STC, while β and γ are parameters to be calculated, as shown later, and Δ
T = (
Tc − 25), as already explained.
Equation (7) highlights that the open circuit voltage
Voc strongly depends on the cell temperature as [
18]:
Also for
Vmpp the following mathematical relation is approximately valid:
because the values of
Vmpp and
Voc typically differ by less than 15%.
The last term of Equation (1) contains the dissipative resistors
Rs and
Rsh. These resistors do not represent components that actually exist in a PV cell, instead they model some dissipative phenomena of the PV cell/module (Table 2, page 91 of [
17]).
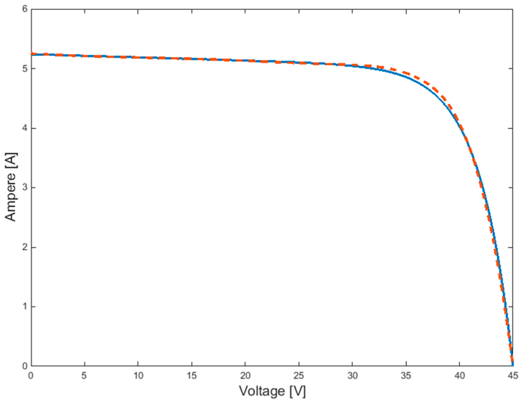
Figure 2 represents the typical I-V curve of a PV module (a set of PV cells connected in series and, sometimes, in parallel). The red lines are the asymptotes of the open- and short-circuit conditions, whereas the solid black lines define the MPP. From a graphical point of view, the resistance
Rs is related the slope of the I-V curve in the open circuit condition (black dotted line), whereas
Rsh is related to the slope in the short-circuit condition (black dotted line) [
18].
For the sake of simplicity, the losses resistances was neglected in [
19], thus assuming
Rsh → ∞ and
Rs = 0. Otherwise, this paper just studies the effects of the two resistances, upgrading the previous model introduced in [
19]. For this aim, firstly the equations describing the values of the resistances are proposed and inserted into the general I-V equation, then the characteristic parameters are derived.
Since
Rsh is related to the slope of the I-V curve in the short-circuit condition, it can be approximated (
Figure 2) as:
Instead,
Rs is related to the slope of the I–V curve in the open circuit condition, following (
Figure 2):
Finally, substituting Equations (5)–(7) into Equation (1) and taking into account Equations (10) and (11), Equation (12) that permits one to trace the I-V curve under arbitrary ECs follows. It can be seen that Equation (12) depends on the ECs, on the datasheet parameters, and on the β and γ parameters:
In order to evaluate β and γ, we impose some constraints to Equation (12),
i.e., the values in the three most significant points:
Solving Equation (13) gives:
where
.
It results that the parameters β and γ depend on the ECs and on the manufacturers’ parameters. Finally, the mathematical model (12), together with Equations (15) and (16), allows tracing the I-V curve under variable ECs.
Figure 3 shows a representative scheme to follow the several steps needed to calculate the final relationship between the current and the voltage for each point of the I-V curve under any ECs.
2.2. Mathematical Formulation of the Simplified Model
The resistor
Rsh takes into account all the leakage current of the
p-
n junction depending on the fabrication process of the PV cell. Since its stronger influence is relevant in an uncommon region of operation, e.g., for low solar irradiation, then it can be neglected for higher irradiance value [
20]. In this case, the resistor
Rsh can be neglected [
21,
22] in the scheme of
Figure 1 and the mathematical model results simplified. In fact, the Equations (12) and (14)–(16) become, respectively:
and
p = 1. Now, the logical scheme of
Figure 3 is still valid, but the calculations are reduced, because
Rsh is neglected.
3. Lumped Electrical Circuits
The mathematical models just defined can be implemented in any software or in a simple spreadsheet such as MATLAB, Mathematica, Microsoft Office-based suites, and so on. Nevertheless, several times one needs to study the time-domain behavior of the PV cell while the ECs change. Moreover, sometimes it is necessary to study the interaction between the PV cell/module and the other components directly linked to the PV cell/module or the interaction with the grid, if a grid-connected PV system is under study. In all these cases the circuit simulation is very effective because allows to monitor and display all the electrical variables in all possible ECs and OCs. This last feature is not always possible with other mathematical PV cell/module models, because they often require, for each EC, an iterative procedure to calculate internal parameters and this is a decisive obstacle for the implementation in a circuit simulation.
Instead, the proposed models (12) and (17) do not require iterative calculation for each EC, thus they can be easily implemented in the circuit simulators, where the solar radiance can be modelled as a variable resistor and the cell temperature as a voltage source.
Figure 4 represents the electrical circuit of the complete model of the PV cell under arbitrary ECs. The mismatch Δ
T = (
Tc − 25) is modelled with two series-connected voltage sources; Δ
T is the control variable of four voltage-controlled sources, which upgrade both
and
by means of the coefficient
and both
and
by means of the coefficient
, respectively. The value G of the resistance is equal to the solar radiance, whereas the (1000 −
G) resistance is the complementary value with respect to the solar radiance of 1000 W/m
2 stated in STC.
The first block of
Figure 4a models the temperature mismatch (
Tc − 25) the second block models the term
of the Equation (12) by means of a current divider, finally the third block models the last two terms of the Equation (12). Moreover, the variable values of the resistances
Rsh and
Rs are calculated by means of the other two sub-circuits (
Figure 4b,c, respectively), derived from the circuital interpretation of the Equations (10) and (11), respectively. The denominator of Equation (10), except for the division for 2, can be again interpreted as a current divider of the total current
, therefore the second sub-circuit allows to calculate the ratio
just equal to the value
Rsh. For analogy, also the denominator of the Equation (11) can be interpreted as a current divider of the total current
, then the third sub-circuit is useful to calculate the ratio
just equal to the value
Rs.
This complete electrical circuit models a PV cell, but can also represent a whole PV module by using Equations (3) and (4) or a larger PV system by using analogous equations which define the connection scheme. Moreover, Equations (3) and (4) are valid under the hypothesis that all the PV cells show the same I-V curve, but this is not always verified, because they can experiment performance variations, as explained later at the end of
Section 3. In these cases, it is needed to model each single PV cell and to group: (a) the series-connected cells by means of the Kirchhoff’s Voltage Law (KVL)
, being
the voltage of the
j-th cell; (b) the parallel-connected cells by means of the Kirchhoff’s Current Law (KCL)
, being
the current of the
k-th cell.
Nevertheless, several circuits of
Figure 4 can be connected each other, if we are interested in studying the interaction among two or more PV cells/modules under variable ECs and OCs. Then, two cases are possible: (a) the ECs are unique for all the PV parts under test; (b) the ECs are different for different PV parts. In the first case, only one electrical circuit of
Figure 4 can be considered, by using Equations (3) and (4) if necessary, in the second case one electrical circuit of
Figure 4 is used for each group of PV cell operating under the same ECs.
If the simplified model is used, the electrical circuit of
Figure 4 is still valid after removing the resistor
Rsh from
Figure 4a and the companion sub-circuit (
Figure 4b). Moreover the parameters of the datasheet are usually affected by spreading. Sometimes the spreading is balanced with respect to the rated value (e.g., ±
X%), but other times not (e.g., (0,
X%)). Both of the spreading typologies can be easily taken into account with the proposed model, considering a parametric simulation, which allows one to run several continuous simulations, including the extreme spreading values, in order to trace the whole real operation “area” of the PV module rather than a simple I-V curve.