Analysis of a Battery Management System (BMS) Control Strategy for Vibration Aged Nickel Manganese Cobalt Oxide (NMC) Lithium-Ion 18650 Battery Cells
Abstract
:1. Introduction
- Society of Automotive Engineers (SAE) J2380 [20];
2. Experimental Method—Vibration Ageing of Cells
2.1. Test Samples
2.2. Pre-test Characterization
2.2.1. Electrochemical Impedance Spectroscopy (EIS)
2.2.2. 1 C Capacity Discharge
2.3. Conditioning to Desired Test Charge State
2.4. Application of SAE J2380 Vibration Profiles and Cell Orientation
- Z:Z to X:X to Y:Y
- Z:X to X:Y to Y:Z
- Z:Y to X:Z to Y:X
2.5. Post-test Characterization
3. Vibration Ageing Results
3.1. EIS Results for Post Vibration Aged Cells
3.2. 1 C discharge capacity
4. Cell Modelling
5. Model Parameterization
6. Simulation Case Studies
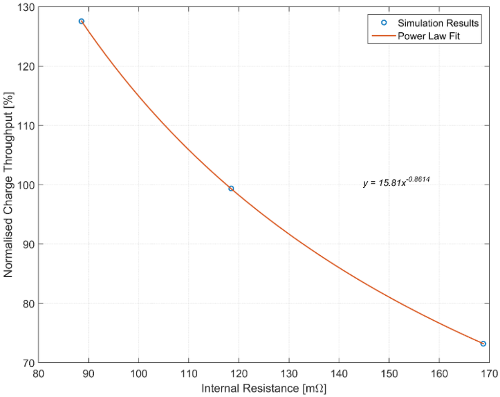
6.1. Parallel Cells Subjected to a HEV Profile
6.2. Charging Cells in Series
7. Further Work
8. Conclusions
Acknowledgments
Author Contributions
Conflicts of Interest
References
- Jackson, N. Technology Road Map, R+D Agenda and UK Capabilities. In Proceedings of the Cenex Low Carbon VehicleEvent, Millbrook Proving Ground, Bedfordshire, UK, 15–16 September 2010; pp. 1–16.
- Parry-Jones, R.; Cable, V. Driving Success—A Strategy for Growth and Sustainability in the UK Automotive Sector; Automotive Council UK: London, UK, 2013. [Google Scholar]
- Lu, L.; Han, X.; Li, J.; Hua, J.; Ouyang, M. A review on the key issues for lithium-ion battery management in electric vehicles. J. Power Sources 2013, 226, 272–288. [Google Scholar] [CrossRef]
- Xing, Y.; Ma, E.W.M.; Tsui, K.L.; Pecht, M. Battery Management Systems in Electric and Hybrid Vehicles. Energies 2011, 4, 1840–1857. [Google Scholar] [CrossRef]
- Day, J. Johnson Controls’ Lithium-Ion Batteries Power Jaguar Land Rover’s 2014 Hybrid Range Rover. Available online: http://johndayautomotivelectronics.com/johnson-controls-lithium-ion-batteries-power-2014-hybrid-range-rover/ (accessed on 28 November 2015).
- Rawlinson, P.D. Integration System for a Vehicle Battery Pack. US8833499 B2, 16 September 2014. [Google Scholar]
- Berdichevsky, G.; Kelty, K.; Straubel, J.B.; Toomre, E.; Motors, T. The Tesla Roadster Battery System, 2nd ed.; Tesla Motors: Palo Alto, CA, USA, 2007. [Google Scholar]
- Kelty, K. The battery technology behind the wheel. Available online: http://asia.stanford.edu/us-atmc/wordpress/wp-content/uploads/2010/12/ee402s-04022009-tesla.pdf (accessed on 23 March 2016).
- Paterson, A. Our Guide to Batteries. Available online: http://www.jmbatterysystems.com/JMBS/media/JMBS/Technology/Axeon-Guide-to-Batteries-2nd-edition.pdf (accessed on 23 March 2016).
- Anderman, M. Tesla Motors: Battery Technology, Analysis of the Gigafactory, and the Automakers’ Perspectives; Advanced Automotive Batteries: 9204 Citron Way, Oregon House, CA, USA, 2014; pp. 1–39. [Google Scholar]
- Karbassian, A.; Bonathan, D.P. Accelerated Vibration Durability Testing of a Pickup Truck Rear Bed (2009-01-1406). SAE Int. 2009, 1–5. [Google Scholar] [CrossRef]
- Risam, G.S.; Balakrishnan, S.; Patil, M.G.; Kharul, R.; Antonio, S. Methodology for Accelerated Vibration Durability Test on Electrodynamic Shaker. SAE Int. 2006, 1, 1–9. [Google Scholar]
- Harrison, T. An Introduction to Vibration Testing; Bruel and Kjaer Sound and Vibration Measurement: Naerum, Denmark, 2014. [Google Scholar]
- Hooper, J.M.; Marco, J. Experimental Modal Analysis of Lithium-Ion Pouch Cells. J. Power Sources 2015, 285, 247–259. [Google Scholar] [CrossRef]
- Moon, S.-I.; Cho, I.-J.; Yoon, D. Fatigue life evaluation of mechanical components using vibration fatigue analysis technique. J. Mech. Sci. Technol. 2011, 25, 611–637. [Google Scholar] [CrossRef]
- Halfpenny, A.; Hayes, P. Fatigue Analysis of Seam Welded Structures using nCode DesignLife. In Proceedings of 2010 European HyperWorks Technology Conference, Versailles, France, 27–29 October 2010; pp. 1–21.
- Halfpenny, A. Methods for Accelerating Dynamic Durability Tests. In Proceedings of the 9th International Conference on Recent Advances in Structural Dynamics, Southampton, UK, 17–19 July 2006; pp. 1–19.
- Brand, M.J.; Schuster, S.F.; Bach, T.; Fleder, E.; Stelz, M.; Glaser, S.; Muller, J.; Sextl, G.; Jossen, A.A.; Gläser, S.; et al. Effects of vibrations and shocks on lithium-ion cells. J. Power Sources 2015, 288, 62–69. [Google Scholar] [CrossRef]
- Hooper, J.; Marco, J.; Chouchelamane, G.; Lyness, C. Vibration Durability Testing of Nickel Manganese Cobalt Oxide (NMC) Lithium-Ion 18650 Battery Cells. Energies 2016, 9, 27. [Google Scholar] [CrossRef]
- Vibration Testing of Electric Vehicle Batteries; Society of Automotive Engineers (SAE): Warrendale, PA, USA, 2013; pp. 1–7.
- Hooper, J. Study into the Vibration Inputs of Electric Vehicle Batteries. Master’s Thesis, Cranfield University, Cranfield, Bedfordshire, UK, December 2012. [Google Scholar]
- Hooper, J.M.; Marco, J. Characterising the in-vehicle vibration inputs to the high voltage battery of an electric vehicle. J. Power Sources 2014, 245, 510–519. [Google Scholar] [CrossRef]
- Barai, A.; Chouchelamane, G.H.; Guo, Y.; McGordon, A.; Jennings, P. A study on the impact of lithium-ion cell relaxation on electrochemical impedance spectroscopy. J. Power Sources 2015, 280, 74–80. [Google Scholar] [CrossRef]
- Hooper, J.; Marco, J. Understanding Vibration Frequencies Experienced by Electric Vehicle Batteries. In Proceedings of the 4th Hybrid and Electric Vehicles Conference (HEVC), London, UK, 6–7 Novermber 2013; pp. 1–6.
- Harrison, T. Random Vibration Theory; Bruel and Kjaer Sound and Vibration Measurement: Naerum Denmark, 2014. [Google Scholar]
- Harrison, T. The Vibration System; Bruel and Kjaer Sound and Vibration Measurement: Naerum, Denmark, 2014. [Google Scholar]
- Chouchelamane, G. Electrochemical Impedance Spectroscopy; Warwick Manufacturing Group: Warwick, UK, 2013. [Google Scholar]
- Birkl, C.R.; Howey, D.A. Model Identification and Parameter Estimation for LiFePO4 Batteries. In Proceedings of the 4th Hybrid and Electric Vehicles Conference (HEVC), London, UK, 6–7 Novermber 2013; pp. 1–6.
- Hu, X.; Li, S.; Peng, H. A comparative study of equivalent circuit models for Li-ion batteries. J. Power Sources 2012, 198, 359–367. [Google Scholar] [CrossRef]
- He, H.; Xiong, R.; Fan, J. Evaluation of Lithium-Ion Battery Equivalent Circuit Models for State of Charge Estimation by an Experimental Approach. Energies 2011, 4, 582–598. [Google Scholar] [CrossRef]
- Seaman, A.; Dao, T.-S.; McPhee, J. A survey of mathematics-based equivalent-circuit and electrochemical battery models for hybrid and electric vehicle simulation. J. Power Sources 2014, 256, 410–423. [Google Scholar] [CrossRef]
- Fleischer, C.; Waag, W.; Heyn, H.-M.; Sauer, D.U. On-line adaptive battery impedance parameter and state estimation considering physical principles in reduced order equivalent circuit battery models. Part 1. Requirements, critical review of methods and modeling. J. Power Sources 2014, 260, 276–291. [Google Scholar] [CrossRef]
- The Tesla Battery Report. Available online: http://advancedautobat.com/industry-reports/2014-Tesla-report/Extract-from-the-Tesla-battery-report.pdf (accessed on 22 October 2014).
- Dubarry, M.; Vuillaume, N.; Liaw, B.Y. From single cell model to battery pack simulation for Li-ion batteries. J. Power Sources 2009, 186, 500–507. [Google Scholar] [CrossRef]
- Truchot, C.; Dubarry, M.; Liaw, B.Y. State-of-charge estimation and uncertainty for lithium-ion battery strings. Appl. Energy 2014, 119, 218–227. [Google Scholar] [CrossRef]
- Kim, J.; Cho, B.H. Screening process-based modeling of the multi-cell battery string in series and parallel connections for high accuracy state-of-charge estimation. Energy 2013, 57, 581–599. [Google Scholar]
- Bruen, T.; Marco, J. Modelling and experimental evaluation of parallel connected lithium ion cells for an electric vehicle battery system. J. Power Sources 2016, 310, 91–101. [Google Scholar] [CrossRef]
- Bruen, T.; Marco, J.; Gama, M. Model Based Design of Balancing Systems for Electric Vehicle Battery Packs. IFAC-PapersOnLine 2015, 48, 395–402. [Google Scholar] [CrossRef]
- Waag, W.; Käbitz, S.; Sauer, D.U. Experimental investigation of the lithium-ion battery impedance characteristic at various conditions and aging states and its influence on the application. Appl. Energy 2013, 102, 885–897. [Google Scholar] [CrossRef]
- Andre, D.; Meiler, M.; Steiner, K.; Wimmer, C.; Soczka-Guth, T.; Sauer, D.U. Characterization of high-power lithium-ion batteries by electrochemical impedance spectroscopy. I. Experimental investigation. J. Power Sources 2011, 196, 5334–5341. [Google Scholar] [CrossRef]
- Mueller, K.; Tittel, D.; Graube, L.; Sun, Z.; Luo, F. Optimizing BMS Operating Strategy Based on Precise SOH Determination of Lithium Ion Battery Cells. In Proceedings of the International Federation of Automotive Engineering Societies 2012 World Automotive Congress, Beijing, China, 27–30 November 2012; pp. 807–819.
- Waag, W.; Käbitz, S.; Sauer, D.U. Application-specific parameterization of reduced order equivalent circuit battery models for improved accuracy at dynamic load. Measurement 2013, 46, 4085–4093. [Google Scholar] [CrossRef]
- Xu, J.; Li, S.; Mi, C.; Chen, Z.; Cao, B. SOC Based Battery Cell Balancing with a Novel Topology and Reduced Component Count. Energies 2013, 6, 2726–2740. [Google Scholar] [CrossRef]
- Zhang, Z.; Sisk, B. Model-Based Analysis of Cell Balancing of Lithium-ion Batteries for Electric Vehicles. SAE Int. J. Alt. Power 2013, 2, 379–388. [Google Scholar] [CrossRef]
- Moore, S.W.; Schneider, P.J. A Review of Cell Equalization Methods for Lithium Ion and Lithium Polymer Battery Systems. SAE Publ. 2001, 2001010959, 1–7. [Google Scholar]
- Gallardo-Lozano, J.; Romero-Cadaval, E.; Milanes-Montero, M.I.; Guerrero-Martinez, M.A. Battery equalization active methods. J. Power Sources 2014, 246, 934–949. [Google Scholar] [CrossRef]












| Sample No in [1] * | Test Profile | SOC (%) | Cell Orientation (Vehicle Axis: Cell Axis) |
|---|---|---|---|
| 4 | Control sample—In permanent storage | 50% | Control |
| 5 | Control sample—Followed J2380 test samples | 50% | Control |
| 13 | J2380 | 50% | Z:Z |
| 14 | J2380 | 50% | Z:X |
| 15 | J2380 | 50% | Z:Y |
| Profile Description and GRMS Level | Duration (HH:MM) | Test Cumulative Duration (HH:MM) |
|---|---|---|
| Z Axis Schedule | ||
| Subject cells to 9 min of Z-axis profile 1 at 1.9 Grms in the Z axis orientation of the cells under assessment. | 00:09 | 00:09 |
| Subject cells to 5 h and 15 min of Z-axis profile 1 at 0.75 Grms in the Z axis orientation of the cells under assessment. | 05:15 | 05:24 |
| Subject cells to 9 min of Z-axis profile 2 at 1.9 Grms in the Z axis orientation of the cells under assessment. | 00:09 | 05:33 |
| Subject cells to 5 h and 15 min of Z-axis profile 2 at 0.75 Grms in the Z axis orientation of the cells under assessment. | 05:15 | 10:48 |
| Subject cells to 9 min of Z-axis profile 3 at 1.9 Grms in the Z axis orientation of the cells under assessment. | 00:09 | 10:57 |
| Subject cells to 5 h and 15 min of Z-axis profile 3 at 0.75 Grms in the Z axis orientation of the cells under assessment. | 05:15 | 16:12 |
| X Axis Schedule | ||
| Subject cells to 5 min of X & Y-axis profile at 1.5 Grms in the X axis orientation of the cells under assessment. | 00:05 | 16:17 |
| Subject cells to 19 h of X & Y-axis profile at 0.4 Grms in the X axis orientation of the cells under assessment. | 19:00 | 35:17 |
| Subject cells to 5 min of X & Y-axis profile at 1.5 Grms in the X axis orientation of the cells under assessment. | 00:05 | 35:22 |
| Subject cells to 19 h of X & Y-axis profile at 0.4 Grms in the X axis orientation of the cells under assessment. | 19:00 | 54:22 |
| Y Axis Schedule | ||
| Subject cells to 5 min of X & Y-axis profile at 1.5 Grms in the Y axis orientation of the cells under assessment. | 00:05 | 54:27 |
| Subject cells to 19 h of X & Y-axis profile at 0.4 Grms in the Y axis orientation of the cells under assessment. | 19:00 | 73:27 |
| Subject cells to 5 min of X & Y-axis profile at 1.5 Grms in the Y axis orientation of the cells under assessment. | 00:05 | 73:32 |
| Subject cells to 19 h of X & Y-axis profile at 0.4 Grms in the Y axis orientation of the cells under assessment. | 19:00 | 92:32 |
| Total | - | 92:32 |
| Sample No | SOC | Orientation | SOT (mΩ) | EOT (mΩ) | Percentage Change (%) |
|---|---|---|---|---|---|
| 15 | 50 % | Z:Y | 46.4 | 164.5 | 254.53 |
| 14 | 50 % | Z:X | 47.3 | 114.2 | 141.44 |
| 13 | 50 % | Z:Z | 46.0 | 84.0 | 82.61 |
| 5 | 50 % | Control | 49.6 | 60.8 | 22.58 |
| SOT | EOT | ||||
| Standard deviation for tested 50% SOC samples (mΩ) | 0.67 | 40.67 | |||
| Mean for tested 50% SOC samples (mΩ) | 46.57 | 120.90 | |||
| Sample No. | SOC (%) | Orientation | Cell Capacity at SOT (Ah) | Cell Capacity at EOT (Ah) | Percentage Change in Ah (%) |
|---|---|---|---|---|---|
| 15 | 50% | Z:Y | 2.18 | 2.14 | −1.83 |
| 13 | 50% | Z:Z | 2.23 | 2.19 | −1.79 |
| 14 | 50% | Z:X | 2.15 | 2.17 | 0.93 |
| 5 | 50% | Control | 2.18 | 2.19 | 0.46 |
| SOT | EOT | ||||
| Standard deviation for tested 50% SOC samples (Ah) | 0.040 | 0.025 | |||
| Mean for tested 50% SOC samples (Ah) | 2.19 | 2.17 | |||
| Cell Age | SOT | EOT | ||||||
|---|---|---|---|---|---|---|---|---|
| Cell Number | 5 | 13 | 14 | 15 | 5 | 13 | 14 | 15 |
| RD | 0.05416 | 0.05034 | 0.05183 | 0.05097 | 0.06506 | 0.08858 | 0.11846 | 0.16881 |
| Rp1 | 0.01084 | 0.01067 | 0.01086 | 0.01074 | 0.00915 | 0.00921 | 0.00933 | 0.00927 |
| Cp1 | 0.38418 | 0.39693 | 0.38167 | 0.39326 | 0.11962 | 0.13251 | 0.11753 | 0.1235 |
| Rp2 | 0.00847 | 0.00774 | 0.0087 | 0.00834 | 0.00401 | 0.00369 | 0.00449 | 0.00426 |
| Cp2 | 3.0674 | 3.4627 | 2.9801 | 3.1816 | 2.1007 | 2.6789 | 1.8483 | 2.0417 |
| Rp3 | 0.00174 | 0.00171 | 0.00177 | 0.0018 | 0.00253 | 0.00268 | 0.00243 | 0.00246 |
| Cp3 | 355.19 | 465.36 | 331.11 | 339.43 | 481.78 | 508.56 | 570.11 | 540.8 |
| Rp4 | 0.00869 | 0.01002 | 0.00881 | 0.00826 | 0.02331 | 0.02562 | 0.02754 | 0.02574 |
| Cp4 | 3150.5 | 3191.9 | 3155.6 | 3041.6 | 1459.9 | 1454.3 | 1498 | 1513.7 |
| Cell Sample Number | 13 | 14 | 15 | |
|---|---|---|---|---|
| Relative current loading (%) | New | 101.9 | 98.2 | 99.9 |
| Aged | 127.5 | 99.4 | 73.2 | |
| Relative heat energy (%) | New | 101.9 | 98.2 | 99.9 |
| Aged | 126.8 | 99.5 | 73.8 | |
© 2016 by the authors; licensee MDPI, Basel, Switzerland. This article is an open access article distributed under the terms and conditions of the Creative Commons by Attribution (CC-BY) license (http://creativecommons.org/licenses/by/4.0/).
Share and Cite
Bruen, T.; Hooper, J.M.; Marco, J.; Gama, M.; Chouchelamane, G.H. Analysis of a Battery Management System (BMS) Control Strategy for Vibration Aged Nickel Manganese Cobalt Oxide (NMC) Lithium-Ion 18650 Battery Cells. Energies 2016, 9, 255. https://doi.org/10.3390/en9040255
Bruen T, Hooper JM, Marco J, Gama M, Chouchelamane GH. Analysis of a Battery Management System (BMS) Control Strategy for Vibration Aged Nickel Manganese Cobalt Oxide (NMC) Lithium-Ion 18650 Battery Cells. Energies. 2016; 9(4):255. https://doi.org/10.3390/en9040255
Chicago/Turabian StyleBruen, Thomas, James Michael Hooper, James Marco, Miguel Gama, and Gael Henri Chouchelamane. 2016. "Analysis of a Battery Management System (BMS) Control Strategy for Vibration Aged Nickel Manganese Cobalt Oxide (NMC) Lithium-Ion 18650 Battery Cells" Energies 9, no. 4: 255. https://doi.org/10.3390/en9040255
APA StyleBruen, T., Hooper, J. M., Marco, J., Gama, M., & Chouchelamane, G. H. (2016). Analysis of a Battery Management System (BMS) Control Strategy for Vibration Aged Nickel Manganese Cobalt Oxide (NMC) Lithium-Ion 18650 Battery Cells. Energies, 9(4), 255. https://doi.org/10.3390/en9040255

