Next Article in Journal
Polylactic Acid Improves the Rheological Properties, and Promotes the Degradation of Sodium Carboxymethyl Cellulose-Modified Alkali-Activated Cement
Next Article in Special Issue
Thermal Analysis of an Industrial Furnace
Previous Article in Journal
Temperature Field Accurate Modeling and Cooling Performance Evaluation of Direct-Drive Outer-Rotor Air-Cooling In-Wheel Motor
Previous Article in Special Issue
Combined Production and Conversion of Energy in an Urban Integrated System
 
 
Font Type:
Arial Georgia Verdana
Font Size:
Aa Aa Aa
Line Spacing:
Column Width:
Background:
Article

Application of Absorption Systems Powered by Solar Ponds in Warm Climates for the Air Conditioning in Residential Buildings

by
Ferdinando Salata
1,*,
Anna Tarsitano
1,
Iacopo Golasi
1,
Emanuele De Lieto Vollaro
2,
Massimo Coppi
1 and
Andrea De Lieto Vollaro
1
1
Department of Astronautical, Electrical and Energy Engineering—Area Fisica Tecnica, “Sapienza” University of Rome, Via Eudossiana 18, 00184 Rome, Italy
2
Department of Architecture, University “Roma TRE”, Via della Madonna dei Monti 40, 00184 Rome, Italy
*
Author to whom correspondence should be addressed.
Energies 2016, 9(10), 821; https://doi.org/10.3390/en9100821
Submission received: 30 May 2016 / Revised: 23 September 2016 / Accepted: 28 September 2016 / Published: 14 October 2016

Abstract

:
The increasing importance of a significant reduction of CO2 emissions in the atmosphere asks the scientific community to find other solutions than fossil fuels with respect to the air conditioning of indoor environments. Nowadays, a priority is represented by the energy expenses reduction, in which residential buildings report one of the highest energy consumption levels among developed countries. The application of alternative energies in residential buildings is an issue debated in the European Commission for the reduction of greenhouse gas emissions with the objective to obtain 20% of the demand from renewable sources. This paper suggests the application of the solar energy stored in solar ponds to air-condition small residential buildings, through the use of absorption machines. A feasibility analysis was carried out in some places characterized by climates that are suitable to make the solution here suggested sustainable from an energetic point of view. Buildings characterized by different boundary surface/volume ratios were examined and the energy saving, the amount of CO2 that was not emitted in the environment and the return of investments with respect to a more traditional solution were evaluated.

1. Introduction

Over the past ten years, and with respect to industrialized countries, the living comfort of having an air-conditioning system in indoor environments of residential buildings during the hottest season has been changing from being considered a pleasant luxury to a common exertion, especially in the main rooms of the building [1]. This condition is especially evident in those areas characterized by high outdoor temperatures for long periods of time. The necessities related to air conditioning and dehumidification processes in the systems used in residential buildings are usually performed by compression refrigeration machines that are supplied by electric power converted into useful work provided to the thermodynamic cycle. Given that in developed countries statistics report a high percentage of buildings exerting air-conditioning systems, it can be stated that the overall demand of energy caused by air-conditioners reports remarkable numbers. For example, in the USA, 89% of residential units are characterized by centralized or single user air-conditioning systems [2] affecting 50% of the overall energy consumption of the construction sector [3] and 11.8% of the overall energy consumption of the entire country [4].
In emerging countries, the situation is different [5]. Energy consumptions increase together with economic development, which is changing the habits of people. Thus, air-conditioning systems in environments has become a necessity for a population that is increasing [6]. These countries are usually located in areas characterized by hot climates with a high solar radiation. Hence, those conditions requiring cooling systems in buildings [7,8] because of the presence of solar radiation can find a possible solution in the exertion of the most common renewable source: the Sun. However, nowadays, supplying compression refrigeration systems [9] with the electric energy provided by photovoltaic panels is a solution that implies high installation costs.
An alternative is represented by absorption machines, which require a heat source to function, an energy source which usually presents lower supply costs than electric energy. However, if the goal is to develop in the emerging countries a sustainable model of development, the focus must be on renewable sources. As a matter of fact, the heat could be provided by a solar energy storage system; that is, solar ponds [10,11,12,13]. However, sometimes the temperature they report, even in the hottest climates, is insufficient to supply a basic absorption refrigeration (AR) machine.
One possible solution might be a machine (Figure 1) that is the combination of a refrigeration system and a heat transformer (HT) (both of them of the absorption type). By exploiting these machines, it is possible to increase the temperature of the heat extracted from the solar pond (with negative consequences on the part of the heat whose temperature decreases reporting lower values in a heat well than the one characterizing the environment). Even if the efficiency of the heat converted is not very satisfying, the solution here suggested can be valid since the heat exerted is provided by a natural energy source and it is gratuitous. Moreover, the whole process reports a low environmental impact, being devoid of CO2 emissions [14].

2. The System Suggested

This study suggests the system here described. It must be considered a first approach based on theoretical calculations to study how much this system is feasible and advantageous. The system is based on the thermophysical properties of some substances (solute = absorbent, and solvent = refrigerant) and on the possible interaction and thermal exchange among the part forming a HT and the part forming an AR system, which are here present in one system. Figure 1 shows the patterns of the solution through: (i) the components that are a HT; and (ii) the components that are the AR system.
Figure 2 reports the diagram with the energetic flux of the component of the thermal machine suggested.
Figure 3 reports the diagram with the energetic flux of the entire system (from the solar pond to the end users).
An absorption machine functions thanks to the different pressures between container E (that functions as an evaporator) and container A (that functions as an absorber). In particular, pressure PE inside the evaporator is higher than PA of the absorber. This is because the pressure of the evaporator is affected by the pressure of the substance used as a refrigerant (which in E is pure), whereas the pressure of the absorber is the sum of the partial pressures of the two components (refrigerant, with a high partial pressure; and absorbent, with a lower partial pressure than the one of the refrigerant) multiplied by the substance fraction with respect to the total (oblique lines of the graph, Figure 2). As a matter of fact, the contribution to the total pressure in the absorber depends on the contribution of the pressure of the refrigerant multiplied by its fraction (a number which is lower that one unit). This explains the pressure difference PEPA characterizing these two containers.
This difference determines a vapor migration of the refrigerant from container E towards container A. The liquid part of the refrigerant present in the evaporator tends to evaporate to reach an equilibrium with its own vapor. In order to have this evaporation, the fluid needs latent heat of vaporization taken from the same substance that is cooled (QE). This explains the refrigerating effect that starts thanks to the thermochemical properties of the substances present in the solution. The phenomenon is temporary because the vapor migration towards container A (where it condenses thus heating the fluid and the heat will be released, QA) makes the refrigerant fraction present in the absorber tend to the unit, hence determining a value which is similar to the one of the pressure of container E (with the pure refrigerant). This cancels the pressure difference PEPA, which is necessary to the system to make the refrigerating effect happen. To maintain this pressure difference, the concentration of container A must be kept constant, though there is a constant arrival of vapor of the refrigerant substance of container E. This is why two more containers are required: the generator G and the condenser C. Part of the solution is extracted from the absorber, which is taken to the generator. Some heat must be here provided, QG, from the outside (thermal energy that must be introduced into the system, in this way it can function constantly), thus the boiling solution can split (through a distillation process) into pure refrigerant (in the form of vapor migrating towards container C) and a solution that has more absorbent substance sent to container A in order to maintain the right functioning concentration. The vapor of the refrigerant substance, having migrated to container C, condenses (releasing latent heat QC) and is sent to container E to restore the initial level. The system, to function, requires minimum amounts of work that must be provided to the circulator pumps present to transport the pure refrigerant LPR or the solution LPS between the containers.
These are the different functions performed by each container in the system here suggested, both referring to the HT that the absorption refrigerator. While managing the energy fluxes of the entire system, it is possible to have the cooling the users demand (influenced by the needs of the building) through the exertion of the solar heat stored in the solar ponds (at a low temperature).
The system suggested allows the energy flux to have the following pattern:
(1)
The solar radiation heats the water in the solar pond, which has a high saline level. Thanks to the geometry of the pond (with low depth values and an insulation layer located towards the surrounding ground) and the covering materials of the bottom, presenting a high absorption coefficient of solar radiation, the solar radiation penetrates the water of the solar pond and the heat is entrapped in the deepest layers. This is possible thanks to the high-salinity of the water forming different layers which inhibits the convective exchanges. In fact, the deepest layers of the pond present higher temperatures and the related higher solubility of salts allows an increase of the salinity level, enhancing the phenomenon. What the phenomenon hence avoids is that the heat might dissipate through the first layer of the pond. A pond which is subject to a high solar radiation for long time intervals during the year, if characterized by hot climates with a low temperature range between day and night where the temperature gradient between the pond and the surrounding air is low, allows the deepest layer to have a temperature ranging between 60 °C and 80 °C [15,16,17,18,19,20,21], with steady conditions over the time thanks to balanced energy fluxes entering and exiting the pond. Therefore, a renewable heat source will be obtained.
(2)
The HT (in Figure 1, Figure 2 and Figure 3) is a machine dependent on the chemical-physical properties of some solutions characterized by one absorbent (the solute) and one refrigerant (the solvent). Its functioning is related to the one of a heat pump as the functioning of an AR machine is related to the one of a compression refrigeration machine. The system here suggested has the goal to extract thermal energy from the pond and provide it to its generator “GHT” and evaporator “EHT”, thus having a higher energy quality (hence the temperature) of part of the heat provided by the absorber “AHT” (with negative consequences on the rest of the thermal energy which is degraded during the process and released at lower temperatures in a heat well, to the condenser “CHT”). In this way, part of the heat of the solar pond is dissipated, though it is possible to extract part of it at higher temperatures than 80 °C, and be able to supply an AR machine which otherwise could not function if supplied directly by the solar pond.
The equations governing the heat exchanges among the different parts of the machine and its performances are known [12,13]. The heat exchanged from every component of the system depends on the behavior of the liquid that characterizes it. The heat exchanged is the sum of the heat related to the phase-change, the sensible heat and the heat solution due to chemical phenomena that can occur. Work provided by the pumps depends on the energy required for pumping the fluids present in the machine.
The coefficient of performance (COP) of a HT, which is the ratio between the thermal output of the absorber and the overall energy provided to the machine, is:
C O P = Q A HT Q G HT + Q E HT + L PS + L PR
where:
Q A HT = r ( T A ) + s ( x A , T A ) m S · c PS ( T A T G ) ( 1 α ) c PR , v ( T A T E )
Q G HT = r ( T G ) + s ( x G , T G ) α · m S · c PS ( T A T G )
Q E HT = r ( T E ) + c PR , l ( T E T C ) α · m · c PR , v ( T G T C )
L Ps = m S · γ s ( P A P G ) η p
L Pr = m r · γ rl ( P E P C ) η p
(3) The production necessary to the air-conditioning system operating in buildings during the summer depends on an absorption refrigerator (AR in Figure 1, Figure 2 and Figure 3). This machine, exploiting the thermophysical properties of an absorbent–refrigerant solution, thus presenting a different configuration of the components with respect to the HT, allows cooling the thermal-vector fluid of the hydronic system of the building. The heat with a high temperature is transferred from the absorber “AHT” of the HT to the generator “GAR” of the refrigerator machine. Thanks to this energy, it is possible to obtain at the evaporator “EAR” cool water at temperatures which are compatible with the cooling of domestic areas, transferring degraded heat at an ambient temperature to the condenser “CAR” and absorber “AAR”.
As in the HT, the COP of an AR machine (EAR), which is the ratio between the thermal output of the evaporator and the overall energy provided to the machine, is:
C O P = Q E AR Q G AR + L PS
where:
Q E AR = r ( T E ) + c PR , l ( T E T C )
Q G AR = r ( T G ) + s ( x G , T G ) m S ( 1 α ) + α · c PS ( T A T G )
L Ps = m S · γ s ( P A P G ) η p
(4) A hydronic system supplied by chilled water originated by the evaporator of the refrigerator machine provides “cool air” inside the building, guaranteeing air-conditioning when it is hot.
It can be noticed how Figure 3, representing the functioning conditions (in terms of pressure, temperature and concentration conditions) of every component of the machine, reports an assumed temperature difference of 5 °C for each heat exchanger used between two components in the system suggested.
The system, to function, requires the heat provided by the solar pond and the electric energy necessary to supply the fluid circulation pumps exerted in the parts forming the system.
This type of system can be used where local climates allow a continuous and correct functioning of solar ponds and in urban areas where people live in low-density buildings with outdoor areas allowing the realization of solar ponds. Naturally, a building able to minimize heat flux exchange phenomena with outdoor environments, determines a decrease in the thermal loads and thermal power of systems, while taking into consideration the importance of maintaining the internal conditions of comfort for its occupants, which is a goal that an air-conditioning system must consider [22].
In this study, to make an evaluation of the feasibility of the system here suggested, the focus was on the energy required to cool small one-family buildings located in tropical areas (both of the northern and southern hemisphere) or near the tropics, hence subject to different climatic conditions, though all were characterized by long periods of hot climate during the year. While examining the exertion of these machines in a residential environment, the refrigerant–absorbent couple H2O–LiBr was used, because they are non-toxic substances, hence they did not represent a danger to human health. Even the ranges of the temperatures for the air-conditioning in civil environments are compatible with the physical-chemical characteristics of these substances put into solution.

3. Examined Scenarios

In order to examine the energy behavior in the system here suggested, the research studies real conditions. In particular, a one-family building unit (living room, kitchen, two or three bedrooms, and three bathrooms) of 112 m2 and an air-conditioned volume of about 384 m3 was taken into consideration. The building is isolated from the ground through an aired crawl space and it presents a tiled solar plexus functioning as a terrace. The surfaces delimiting the house are characterized by a thermal transmittance (for what concerns the transmittance values the current Italian regulation was taken into consideration) of: (i) 0.23 W·m−2·K−1 for the vertical walls; (ii) 0.22 W·m−2·K−1 for the horizontal floors towards the outside; (iii) 0.27 W·m−2·K−1 for the floors towards the soil; and (iv) 1.40 W·m−2·K−1 for the glass surfaces [23]. The characteristics of the building envelope assumed for the boundary surfaces of the building imply a low energy demand. The external surface was assumed to have a light color with a high reflectance value of the solar radiation and placed in an isolated context. Moreover, the building was assumed to stand on the ground with a crawl space. The glass surfaces present dimensions that are limited and low emission double-glazed glasses (with a krypton camera).
Concerning the study of the dynamic thermal behavior of the building, a simulation model implemented through the software TRNSYS (TRaNsient SYstems Simulation Program) [24] was realized. This simulation model allowed making an evaluation of the transitory thermal loads during a sample year [25], with respect to outdoor climatic conditions (where the building was located).
The thermal loads were also evaluated by taking into consideration the changing morphological features of the building, usable areas being equal (ratio: dispersant surface/air-conditioned volume (S/V)).
The three morphological solutions examined are reported in Figure 4.
Table 1 reports the geometric characteristics of the three building solutions in function of the ratio S/V.
To perform the simulations and quantify the heat flux exchanged between the building and the outdoor environment and dimension the systems of the three building solutions here suggested in the most demanding conditions (during the hottest day of the year), the city of Rio de Janeiro was studied. During the planning phase, to cool the different areas, the indoor temperature was set to 26 °C with the presence of four occupants.
Table 2 reports briefly the power required to cool the buildings with respect to the ratio S/V.
The maximum chilling power required by the system in the most demanding conditions, according to the variation in the ratio S/V and in the assumed geometric disposition, is the one related to the ratio S/V of 0.82 m2/m3 varying with a difference of 1.4% between Buildings (A) and (B) and of 16.5% between Buildings (A) and (C). For the dimensioning of the components of the system and the solar pond, according to the geographic location, the decision was to examine the configuration of Building (A), being the most demanding. The sample building was hence defined, which was useful to have the performances of the building envelope without taking into consideration its position.
To understand the energy behavior in buildings characterized by different climatic conditions, and examine the maximum dimensioning of the system suggested, the simulation of the heat exchanges phenomenon between the building and the outdoor environment in the following cities was studied (Figure 5):
Casablanca (Morocco, Africa);
Dakar (Senegal, Africa);
Abu Dhabi (United Arab Emirates, Asia);
Yichang (China, Asia);
Manila (Philippines, Asia);
Havana (Cuba, America);
Rio de Janeiro (Brazil, America).
Table 3 reports briefly the climate of the listed cities.
Figure 6 reports the maximum power required for the cooling of the building (ratio: (S/V) of 0.82 m2/m3) in the cities taken into consideration. Concerning Abu Dhabi, which occasionally reported air temperatures values that were higher than those expected for the functioning of the components of the absorption machines transferring heat to the environment, the solution was to exploit the heat exchanged with the soil through geothermal probes [26,27,28]. This solution must also be examined in terms of financial feasibility.

4. Dimensioning of the Components of the System and the Area of the Solar Pond

Through the maximum thermal power required by the building, during the planning phase, it was possible to perform the system dimensioning. In particular, it was possible to set the maximum amounts of power exchanged between the components forming the HT and the AR machine. Table 4 and Table 5 report briefly the planning specifications of HT and AR, respectively. The assessment of these quantities is based on the equations previously reported (Equations (2)–(4), (8) and (9)).
Assuming that the energy extracted from the solar pond is 20 W·m−2, 30 W·m−2, or 40 W·m−2, it was possible to determine the area necessary to supply the system. It must be specified that, according to the data reported in the literature, extracting 20 W·m−2 is the most precautionary amount in all climatic conditions and guarantees the possibility to keep constant the temperature supply of the system. These values concerning the thermal power that can be extracted from the solar pond without having a negative influence on its functioning (especially the superior limit value) were verified experimentally in previous works [15,16,17,18,19,20,21] and used in this article. The proper dimensions of the solar pond reported on the plan (for each city) are shown in Figure 7.

5. Energy Analysis of the System According to Different Climatic Conditions

Besides the maximum amounts of power required for the dimensioning of the system during the planning phase (kW), thanks to the annual simulations performed while the system was operating (h/year), it was possible to quantify the energy (kWh/year) necessary to cool the buildings [29] in the cities examined. Table 6 reports the values of the thermal energy required by the building over the year and the energy extracted by the pond (from now on, Solution C). Finally, assuming that the building had been cooled through a compression chiller system (from now on, Solution A), the electric power consumed by the machine was determined considering a variable COP and affected by the operating temperatures of the air-cooled condenser.
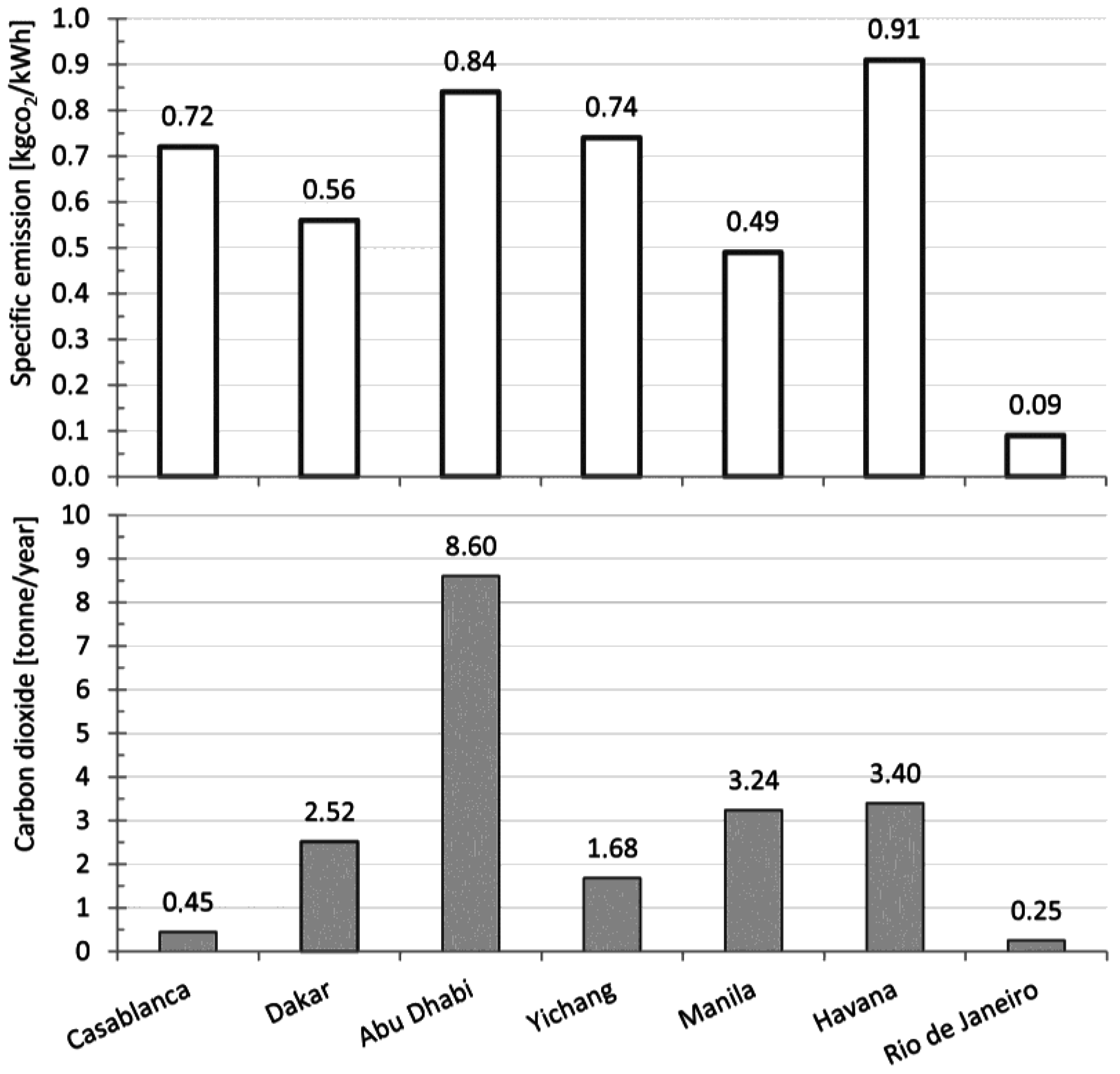
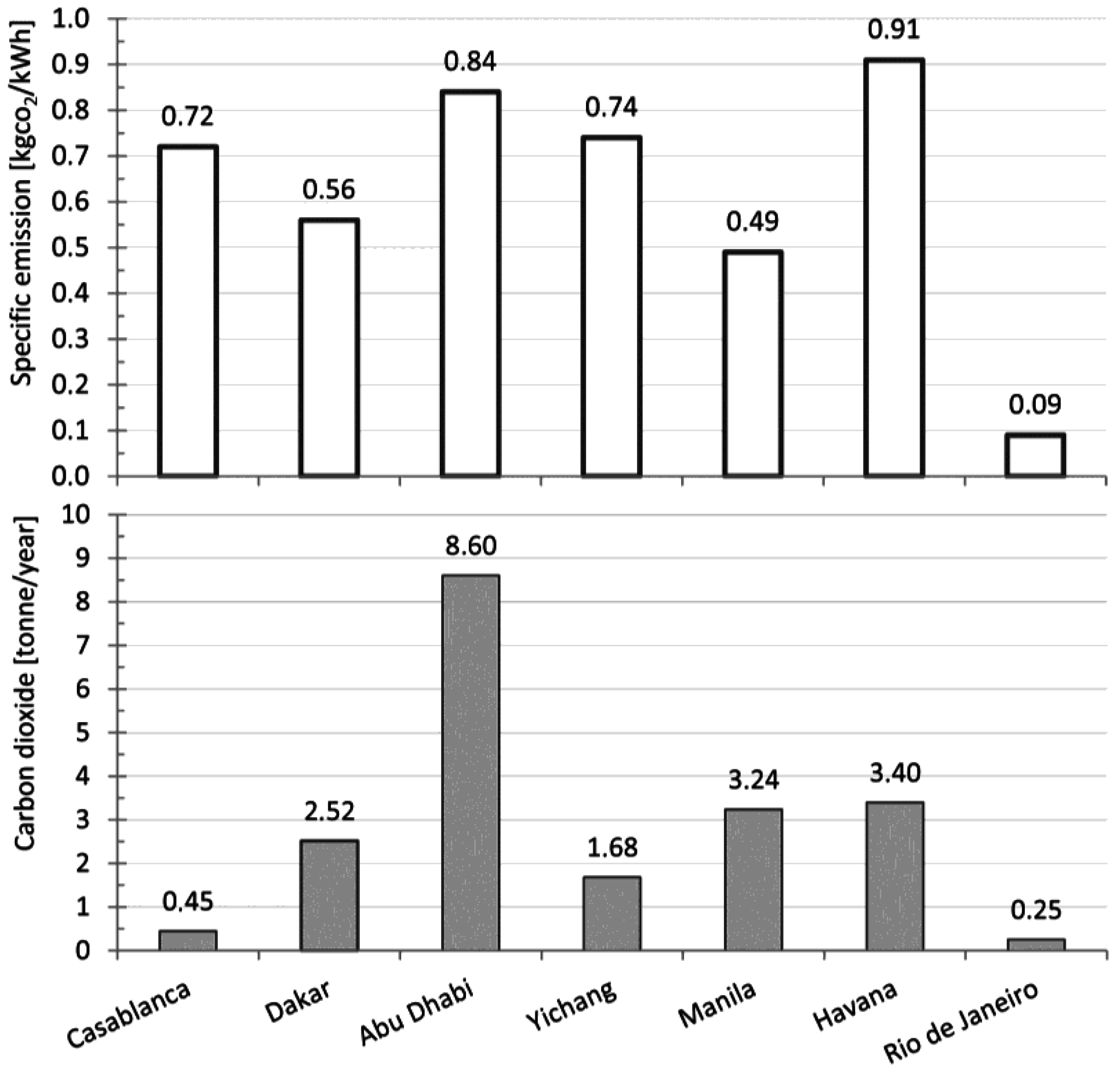
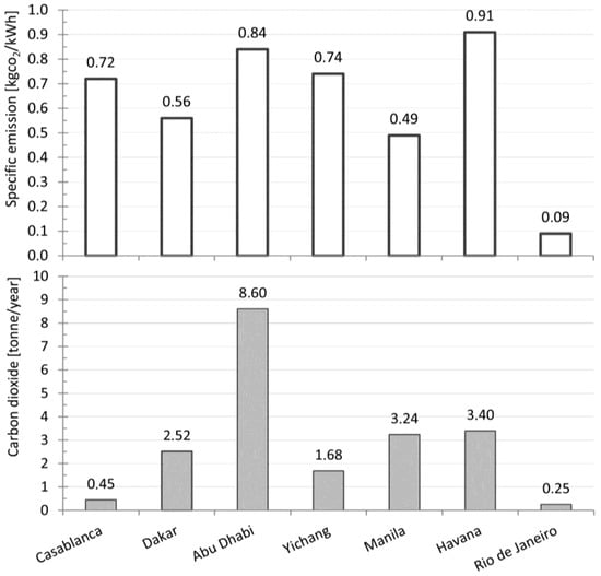
The emission coefficients (expressed in CO2 for each electric kWh generated by the national energy mix) are reported in Figure 8 [27,28,29,30,31,32]. Thanks to these coefficients, it was possible to estimate (Figure 8) the amount of carbon dioxide (a climate-change gas, able to damage the environment) that, thanks to the exertion of the system suggested, is not annually emitted into the atmosphere (i.e., if the installation of a traditional vapor compression refrigeration system supplied by electric energy were avoided).

6. Economic Feasibility: Installation and Energy Costs

The evaluation of the economic feasibility of the system suggested is related to the price that cooling machines supplied by solar ponds will have in industrial market. It must be specified that the overall cost also includes the realization of the pond.
The solution suggested can be an advantage if it presents costs comparable to those characterizing more traditional solutions or which already exist on the market.
In order to quantify the maximum cost of the system suggested, a financial comparison according to the payback periods of the following “Solutions” was carried out:
(A)
Compression chiller system supplied by electrical energy from the main (basic solution). The average seasonal COP of the system is equal to about 3.1.
(B)
Realization of Solution (A), but, in this configuration, it was supplied by stand-alone photovoltaic panels with batteries for the energy storage (solar energy).
(C)
Realization of the solution here suggested. The goodness of fit, from the energetic point of view, of the system (defined as the ratio between the cooling obtained and the thermal energy introduced) has an annual average of about 0.41. This value might seem low, but the system uses solar energy, a free and sustainable source. The electrical consumptions related to the circulation pumps of the system (Figure 1) are much lower than the thermal energy required for their operation. In this paper, the electricity consumed by Solution (C) is assumed negligible, since it is <1% compared to the thermal needs (collected for free from solar source).
To perform the economic analysis, the considered costs were those concerning the purchasing of low-voltage electricity (€/kWh) according to the national markets of the cities examined [33,34,35] (Figure 9) and costs of the equipment and labor in observance of the official regional price list [36]. The following were assumed: (i) a 1.80% annual inflation rate for the economic calculations; and (ii) a 2.50% annual interest rate for the capital. Cool-air distribution costs were excluded.
Solution (A) reports the exertion of an autonomous multisplit air-conditioning unit characterized by a highly efficient rotary hermetic compressor, a heat exchange battery and a helicoidal fan. The cost of the operating system is of 4,400.00 €. Solution (A) presents minimum installation costs, but it requires electricity from the grid.
The costs of Solution (B) were evaluated by dimensioning the photovoltaic panels, electronic supply and the capacities of the batteries to store electricity (assuming 24 h of autonomy without the contribution of solar radiation); the evaluation was performed when the highest amount of energy was extracted and when there was the peak of thermal power which had to be managed to guarantee the cooling of the building.
Solution (B) was dimensioned while taking into consideration the input data (maximum power required and day of the year with the highest amount of electricity demand) reported in Table 7. Considering simultaneously the thermal conversion efficiency of the equipment, Table 7 reports the results useful for the system dimensioning: the power of the photovoltaic panels, the capacity of the batteries to store electricity (with an input voltage range VCC = 12 V), and the power of the inverter. Finally, realization costs were estimated [36]. The difference between Emax (energy that must be provided to the users) and Eeff (energy generated) is determined by the energy consumed by the electronics that the system uses to function.
Solution (C) reported the costs for the realization of the solar pond according to the variation in the amount of the thermal power extracted for each m2 (1: extraction of 20 W·m−2; 2: extraction of 30 W·m−2; and 3: extraction of 40 W·m−2). Establishing that the solution could not exceed the costs of Solution (B), an extraction of 30 W·m−2 (setting both dimensions and costs of the pond) was assumed, thus setting the maximum cost concerning the heat machines necessary to the system according to the different operating conditions of each city. Hence, the maximum values of installation costs of the heat machine [36] for each country are reported in Table 8.
The realization of the solar pond presented an estimated cost of 77 €/m2. In Abu Dhabi, the cost also included the expenses determined by the exchange with geothermal probe: 70 m of depth with a cost of 55 €/m.
Figure 10 shows the payback periods of Solutions (B) (photovoltaic panels) and (C) with respect to Solution (A) (supplied by electrical energy). Where installation costs of Solutions (B) and (C) intersected with the line of the costs of Solution (A), the payback period of the maximum initial investment was determined.
Solutions reporting a payback period that exceed 20 years are not feasible, hence (C-1), with an extraction of 20 W·m−2, is not feasible.
Through the graphs in Figure 10, it can be noticed how in some cities (Casablanca and Yichang) it was not possible to have an amortization of Solution (B), hence also Solution (C), due to the low cost of the energy and due to the energy consumed by the building for the air-conditioning. These cities cannot be examined with respect to the system here suggested. In Manila, Rio de Janeiro and Havana, Solutions (B) and (C-2) report payback periods that are barely acceptable. It could be interesting, financially speaking, if in these countries it were possible to extract permanently a thermal power of 40 W·m−2 from the pond. Abu Dhabi reports periods that are too long (due to low electrical energy cost and additional costs caused by the geothermal probes) for any solution. Solution (C) becomes interesting in Dakar, with periods in (C-1), (C-2) and (C-3) of about 7, 9 and 15 years, respectively.
Solutions (B) and (C), though with higher installation costs than Solution (A), while operating do not have any further energy costs (both exploit solar energy), they do not depend on the national power grid and are zero-carbon-emission solutions. Hence, the amortization period of the investment costs in Solutions (B) and (C) with respect to Solution (A) were determined. This period, which was equally set for Solutions (B) and (C-2), was longer in Solution (C-1) and shorter in Solution (C-3) because Solution (C-1), with a wider solar pond area, will be the most expensive, whereas Solution (C-3), with smaller solar ponds (extraction 40 W·m−2), will be the most advantageous financially speaking.

7. Conclusions

The importance of having air-conditioning systems in environments with hot climates can be satisfied with unconvential solutions in order to realize a living comfort without consuming high quantities of depletable energy resources with a resulting higher environmental respect [37,38,39]. A possible solution, exploiting solar energy in countries that have high solar radiations for long periods during the year, can exert absorption heat machines. Absorption machines exploit absorbent–refrigerant solutions (H2O and LiBr, respectively) to produce cool air (AR machines) or ennoble part of the thermal energy provided (HTs). This study suggests a machine that combines these characteristics exploits the solar heat stored in solar ponds to air-condition low-density residential buildings.
It was demonstrated that it was possible to supply properly, through solar ponds (thanks to the climatic conditions of the tropical areas of the world) these heat machines to air-condition buildings taken as samples. Besides, the analysis of the thermal powers used to fulfill the cool-air peak demand, the annual energy demand in different cities (Casablanca, Dakar, Abu Dhabi, Yichang, Manila, Havana, and Rio de Janeiro) was examined. The data provided, besides measuring the amount of non-emitted carbon dioxide thanks to the solution system here suggested, allowed a financial comparison with respect to other traditional system. The solution here suggested was compared to (in terms of installation costs and payback periods for their realization) both a traditional solution with a compressor refrigeration machine supplied by the national power grid and an stand-alone solution formed by the same compressor machine supplied by the energy provided by photovoltaic panels and equipped with a storage battery (providing cool air even in a temporary absence of the Sun).
If the solution here suggested assumed lower installation costs than the solution characterized by photovoltaic panels, it can be noticed that the highest cost was the realization of a solar pond with dimensions that can satisfy the energy demand of a building. To minimize the area of the solar pond, hence its costs, it is possible to vary the amount of thermal power extracted per unit of area. The conclusion is that the solution here suggested, if it is feasible from a technical point of view, can be financially advantageous if, in the city where it is realized, there are the following conditions: (i) a thermal power of 40 W·m−2 can be extracted without causing an excessive heat impoverishment in the solar pond (which must be provided by the solar source daily); (ii) the air temperature must not reach values that do not permit the heat machine to exploit the air as a heat well; and (iii) the price of electricity must not be too advantageous. In this study, such conditions can be found in Dakar, Senegal. If in future scenarios the realization costs of the components of the system are lower and the electricity costs are higher, this solution would be more interesting in more cases. It must be specified that this is a zero greenhouse gas emissions system, hence it observes the recent international climate agreements. In addition, in developed Countries (where skilled labor is not always available), the simplicity of these plant solutions could ensure easier and cheaper maintenance compared to systems based on more complicated electronics (such as the Solution (B) in this article).
The issue of having proper maintenance, which should be sustainable from an economic point of view and able to guarantee the reliability of the system [40,41] (especially if the systems are not traditional [42] or if the goal is to simplify the system by using the most reliable regulation system [43]), might be the subject of a future study (the present work can be considered a first approach to this type of problem). Further developments might concern the realization of a prototype that can provide experimental data about the functioning with reference to different meteorological conditions.

Acknowledgments

This research received no specific grant from any funding agency in the public, commercial, or not-for-profit sectors. A special thanks to Flavia Franco for the help she provided in the preparation of this paper.

Author Contributions

The study was designed by Ferdinando Salata, Iacopo Golasi, Massimo Coppi and Andrea de Lieto Vollaro. Anna Tarsitano carried out the numerical simulations. Ferdinando Salata retrieved the data from yearbooks and professional websites and reviewed the literature related to the research. The results were then analyzed by Ferdinando Salata and Iacopo Golasi. Model design and English corrections were undertaken by Anna Tarsitano and Emanuele de Lieto Vollaro. Finally, Andrea de Lieto Vollaro and Massimo Coppi, respectively, the full professors and associate professor of the research group, supervised the work related to the paper and the execution of its various phases.

Conflicts of Interest

The authors declare no conflict of interest.

Nomenclature

AAbsorber
ARAbsorption refrigerator
CCondenser
COPCoefficient of performance
EEvaporator
GGenerator
HTHeat transformer
lLiquid
mMass flow rate
PPump
QExchanged heat
rLatent heat
RRefrigerator fluid (H2O)
SSolution = refrigerator fluid (H2O) + absorbent salt (LiBr)
TATemperature absorber
TCTemperature condenser
TETemperature evaporator
TGTemperature generator
vVapor
xConcentration of fluid
αExchanger efficiency
γDensity

References

  1. Sivak, M. Potential energy demand for cooling in the 50 largest metropolitan areas of the world: Implications for developing countries. Energy Policy 2009, 37, 1382–1384. [Google Scholar] [CrossRef]
  2. U.S. Census Bureau. Statistical Abstract of the United States, Washington, DC. Available online: https://www.census.gov/hhes/www/housing/census/censushousing.html (accessed on 20 February 2016).
  3. Chua, K.J.; Chou, S.K.; Yang, W.M.; Yan, J. Achieving better energy-efficient air conditioning—A review of technologies and strategies. Appl. Energy 2013, 104, 87–104. [Google Scholar] [CrossRef]
  4. Building Energy Data Book. 2015 U.S. Buildings Energy End-Use Splits, by Fuel Type. Available online: http://buildingsdatabook.eren.doe.gov/TableView.aspx?table=1.1.5 (accessed on 20 February 2016).
  5. Zhao, H.; Magoulès, F. A review on the prediction of building energy consumption. Renew. Sustain. Energy Rev. 2012, 16, 3586–3592. [Google Scholar] [CrossRef]
  6. Zhang, Q. Residential energy consumption in China and its comparison with Japan, Canada, and USA. Energy Build. 2004, 36, 1217–1225. [Google Scholar] [CrossRef]
  7. Yang, L.; Yan, H.; Lam, J.C. Thermal comfort and building energy consumption implications—A review. Appl. Energy 2014, 115, 164–173. [Google Scholar] [CrossRef]
  8. Isaac, M.; van Vuuren, D.P. Modeling global residential sector energy demand for heating and air conditioning in the context of climate change. Energy Policy 2009, 37, 507–521. [Google Scholar] [CrossRef]
  9. Perez-Lombard, L.; Ortiz, J.; Pout, C. A review on buildings energy consumption information. Energy Build. 2008, 40, 394–398. [Google Scholar] [CrossRef]
  10. Coppi, M.; Quintino, A.; Salata, F. Numerical study of a vertical channel heated from below to enhance natural ventilation in a residential building. Int. J. Vent. 2013, 12, 41–49. [Google Scholar] [CrossRef]
  11. Coppi, M.; Quintino, A.; Salata, F. Fluid dynamic feasibility study of solar chimney in residentail buildings. Int. J. Heat Technol. 2011, 29, 1–5. [Google Scholar]
  12. Salata, F.; Coppi, M. A first approach study on the desalination of sea water using heat transformers powered by solar ponds. Appl. Energy 2014, 136, 611–618. [Google Scholar] [CrossRef]
  13. Salata, F.; Alippi, C.; Tarsitano, A.; Golasi, I.; Coppi, M. A first approach to natural thermoventilation of residential buildings through ventilation chimneys supplied by solar ponds. Sustainability 2015, 7, 9649–9663. [Google Scholar] [CrossRef]
  14. Vollaro, R.D.L.; Faga, F.; Tallini, A.; Cedola, L.; Vallati, A. Energy and thermodynamical study of a small innovative compressed air energy storage system (micro-CAES). Energy Procedia 2015, 82, 645–651. [Google Scholar] [CrossRef]
  15. Pisello, A.L.; Asdrubali, F. Human-based energy retrofits in residential buildings: A cost-effective alternative to traditional physical strategies. Appl. Energy 2014, 133, 224–235. [Google Scholar] [CrossRef]
  16. Legislative Decree of 19 August 2005, No. 192, Official Gazette No. 222 of 23 September 2005—Ordinary Supplement No. 158. Available online: http://www.camera.it/parlam/leggi/deleghe/05192dl.htm (accessed on 10 March 2016). (In Italian)
  17. The Board of Regents of the University of Wisconsin System. TRNSYS (A TRaNsient SYstems Simulation Program). Available online: http://sel.me.wisc.edu/trnsys/index.html (accessed on 20 February 2016).
  18. Evangelisti, L.; Battista, G.; Guattari, C.; Basilicata, C.; Vollaro, R.L. Analysis of two models for evaluating the energy performance of different buildings. Sustainability 2014, 6, 5311–5321. [Google Scholar] [CrossRef]
  19. Salata, F.; De Lieto Vollaro, A.; De Lieto Vollaro, R. A model for the evaluation of heat loss from underground cables in non-uniform soil to optimize the system design. Therm. Sci. 2015, 9, 461–474. [Google Scholar] [CrossRef]
  20. Salata, F.; Nardecchia, F.; De Lieto Vollaro, A.; Gugliermetti, F. Underground electric cables a correct evaluation of the soil thermal resistance. Appl. Therm. Eng. 2015, 78, 268–277. [Google Scholar] [CrossRef]
  21. Golasi, I.; Salata, F.; Coppi, M.; de Lieto Vollaro, E.; de Lieto Vollaro, A. Experimental analysis of thermal fields surrounding horizontal cylindrical geothermal exchangers. Energy Procedia 2015, 82, 294–300. [Google Scholar] [CrossRef]
  22. Al-Jamal, K.; Khashan, S. Effect of energy extraction on solar pond performance. Energy Convers. Manag. 1998, 39, 559–566. [Google Scholar] [CrossRef]
  23. Leblanc, J.; Akbarzadeh, A.; Andrews, J.; Lu, H.; Golding, P. Heat extraction methods from salinity-gradient solar ponds and introduction of a novel system of heat extraction for improved efficiency. Sol. Energy 2011, 85, 3103–3142. [Google Scholar] [CrossRef]
  24. Andrews, J.; Akbarzadeh, A. Enhancing the thermal efficiency of solar ponds by extracting heat from the gradient layer. Sol. Energy 2005, 78, 704–716. [Google Scholar] [CrossRef]
  25. Jaefarzadeh, M.R. Heat extraction from a salinity-gradient solar pond using in pond heat exchanger. Appl. Therm. Eng. 2006, 26, 1858–1865. [Google Scholar] [CrossRef]
  26. Ould Dah, M.M.; Ouni, M.; Guizani, A.; Belghith, A. The influence of the heat extraction mode on the performance and stability of a mini solar pond. Appl. Energy 2010, 87, 3005–3010. [Google Scholar] [CrossRef]
  27. Tundee, S.; Terdtoon, P.; Sakulchangsatjatai, P.; Singh, R.; Akbarzadeh, A. Heat extraction from salinity-gradient solar ponds using heat pipe heat exchangers. Sol. Energy 2010, 84, 1706–1716. [Google Scholar] [CrossRef]
  28. Leshuk, J.P.; Zaworski, R.J.; Styris, D.K.; Harling, D.K. Solar pond stability experiments. Sol. Energy 1987, 21, 237–244. [Google Scholar] [CrossRef]
  29. D’Orazio, A.; Fontana, L.; Salata, F. Experimental study of a semi-passive ventilation grille with a feedback control system. Rev. Sci. Instrum. 2011, 82. [Google Scholar] [CrossRef] [PubMed]
  30. World Energy Outlook 2010; International Energy Agency (IEA): Paris, France, 2010.
  31. Key World Energy Statistics 2015; International Energy Agency (IEA): Paris, France, 2015.
  32. CO2 Emissions from Fuel Combustion, 2011 ed.; Organisation for Economic Co-operation and Development (OECD)/International Energy Agency (IEA): Paris, France, 2011.
  33. IEA Statistics, Electricity Information 2012; Organisation for Economic Co-operation and Development (OECD)/International Energy Agency (IEA): Paris, France, 2012.
  34. Global Benchmark Study of Residential Electricity Tariffs; The Lantau Group (HK) Limited: Kwai Fong, Hong Kong, China, 2013.
  35. Global Electricity Initiative 2014 Report; World Energy Council: London, UK, 2014.
  36. Lazio Region, Price Tariff, Part E: Technological Systems. Available online: http://www.regione.lazio.it/binary/rl_infrastrutture/tbl_contenuti/BURL_28_08_2012.pdf (accessed on 10 February 2015). (In Italian)
  37. Luca, G.; Benedetta, M.; Nardecchia, F.; Bisegna, F.; Chiara, G. Home Smart Grid Device for Energy Saves and Failure Monitoring. In Proceedings of the 2015 IEEE 15th International Conference on Environment and Electrical Engineering (EEEIC), Rome, Italy, 10–13 June 2015; pp. 671–676.
  38. Castellani, B.; Morini, E.; Filipponi, M.; Nicolini, A.; Palombo, M.; Cotana, F.; Rossi, F. Clathrate hydrates for thermal energy storage in buildings: Overview of proper hydrate-forming compounds. Sustainability 2014, 6, 6815–6829. [Google Scholar] [CrossRef]
  39. De Lieto Vollaro, R.; Evangelisti, L.; Carnielo, E.; Battista, G.; Gori, P.; Guattari, C.; Fanchiotti, A. An integrated approach for an historical buildings energy analysis in a smart cities perspective. Energy Procedia 2014, 45, 372–378. [Google Scholar] [CrossRef]
  40. Salata, F.; de Lieto Vollaro, A.; de Lieto Vollaro, R.; Davoli, M. Plant reliability in hospital facilities. Energy Procedia 2014, 45, 1195–1204. [Google Scholar] [CrossRef]
  41. Peruzzi, L.; Salata, F.; de Lieto Vollaro, A.; de Lieto Vollaro, R. The reliability of technological systems with high energy efficiency in residential buildings. Energy Build. 2014, 68, 19–24. [Google Scholar] [CrossRef]
  42. Salata, F.; de Lieto Vollaro, A.; de Lieto Vollaro, R.; Mancieri, L. Method for energy optimization with reliability analysis of a trigeneration and teleheating system on urban scale: A case study. Energy Build. 2015, 86, 118–136. [Google Scholar] [CrossRef]
  43. Salata, F.; Golasi, I.; Falanga, G.; Allegri, M.; de Lieto Vollaro, E.; Nardecchia, F.; Pagliaro, F.; Gugliermetti, F.; de Lieto Vollaro, A. Maintenance and energy optimization of lighting systems for the improvement of historic buildings: A case study. Sustainability 2015, 7, 10770–10788. [Google Scholar] [CrossRef]
Figure 1. Functional diagram of the system here suggested. One machine characterized being part heat transformer (HT) and part absorption refrigeration (AR) machine.
Figure 1. Functional diagram of the system here suggested. One machine characterized being part heat transformer (HT) and part absorption refrigeration (AR) machine.
Energies 09 00821 g001
Figure 2. Functioning conditions (and energetic flux) of each component of the machine suggested (p, T).
Figure 2. Functioning conditions (and energetic flux) of each component of the machine suggested (p, T).
Energies 09 00821 g002
Figure 3. Energetic flux of the system (during the summer) designed for low density residential buildings located in hot climates.
Figure 3. Energetic flux of the system (during the summer) designed for low density residential buildings located in hot climates.
Energies 09 00821 g003
Figure 4. Planimetries assumed for the house examined: (a) solutions on two communicating levels through an interior stair; (b) solution with rectangular plan on one level; and (c) solution with an “L” plan on one level.
Figure 4. Planimetries assumed for the house examined: (a) solutions on two communicating levels through an interior stair; (b) solution with rectangular plan on one level; and (c) solution with an “L” plan on one level.
Energies 09 00821 g004
Figure 5. Geographic position of the cities examined for the feasibility study.
Figure 5. Geographic position of the cities examined for the feasibility study.
Energies 09 00821 g005
Figure 6. Maximum thermal power (kW) necessary to cool the building in every examined city (with S/V = 0.82).
Figure 6. Maximum thermal power (kW) necessary to cool the building in every examined city (with S/V = 0.82).
Energies 09 00821 g006
Figure 7. Solar pond area necessary to cool the buildings during the summer in each city examined.
Figure 7. Solar pond area necessary to cool the buildings during the summer in each city examined.
Energies 09 00821 g007
Figure 8. Specific emission factors for grid electricity and annual CO2 non-emitted in the environment in the case study.
Figure 8. Specific emission factors for grid electricity and annual CO2 non-emitted in the environment in the case study.
Energies 09 00821 g008
Figure 9. Prices of the electricity in the cities examined.
Figure 9. Prices of the electricity in the cities examined.
Energies 09 00821 g009
Figure 10. Payback periods of the investments in Solutions (B) and (C) with respect to Solution (A).
Figure 10. Payback periods of the investments in Solutions (B) and (C) with respect to Solution (A).
Energies 09 00821 g010
Table 1. Geometric characteristics of the three building solutions examined.
Table 1. Geometric characteristics of the three building solutions examined.
Building ParameterBuilding (A)Building (B)Building (C)
S/V (m2/m3)0.820.981.02
ExposureAopaque (m2)Aglass (m2)Aglass/Aopaque (%)Aopaque (m2)Aglass (m2)Aglass/Aopaque (%)Aopaque (m2)Aglass (m2)Aglass/Aopaque (%)
North484.329.923.280.723.139.000.000.0
East43.680.000.042.965.0411.734.683.6010.2
South46.564.329.923.280.7253.136.122.888.0
West43.681.443.142.965.0411.735.404.3212.5
Table 2. Maximum thermal power (kW) necessary for the cooling process (related to the sensible load and the latent load of the air in the environment) keeping into consideration the ratio (S/V) of the building.
Table 2. Maximum thermal power (kW) necessary for the cooling process (related to the sensible load and the latent load of the air in the environment) keeping into consideration the ratio (S/V) of the building.
Building ParameterBuilding (A)Building (B)Building (C)
S/V (m2/m3)0.820.981.02
Maximum Thermal Power (kW)Building (A)Building (B)Building (C)
Rio de Janeiro2.122.091.77
Table 3. Climatic characteristics of the cities studied.
Table 3. Climatic characteristics of the cities studied.
SiteAnnual Tmax (°C)Annual Taverage (°C)N° of Annual Hours of Cooling (h)
Casablanca30.026.91502
Dakar34.328.26437
Abu Dhabi45.732.57027
Yichang37.929.12388
Manila35.628.88036
Havana34.328.55158
Rio de Janeiro34.228.04557
Table 4. Planning phase. Thermal power of the components of the HT.
Table 4. Planning phase. Thermal power of the components of the HT.
ComponentHT (kW)
CasablancaDakarAbu DhabiYichangManilaHavanaRio de Janeiro
GHT (Equation (3))1.792.534.142.902.732.462.41
EHT (Equation (4))1.722.433.982.802.632.372.32
AHT (Equation (2))1.762.484.062.852.682.412.37
Table 5. Planning phase. Thermal power of the components of the AR machine.
Table 5. Planning phase. Thermal power of the components of the AR machine.
ComponentAR Machine (kW)
CasablancaDakarAbu DhabiYichangManilaHavanaRio de Janeiro
GAR (Equation (9))1.762.484.062.852.682.412.37
EAR (Equation (8))1.572.223.632.552.402.162.12
Table 6. Annual thermal energy required by the building; annual thermal energy extracted by the pond; and annual electric energy consumed by a compression chiller system.
Table 6. Annual thermal energy required by the building; annual thermal energy extracted by the pond; and annual electric energy consumed by a compression chiller system.
SiteEbuilding (MWh/year)Epond (MWh/year)Eelectric (MWh/year)
Casablanca23655315622
Dakar14,30632,1454471
Abu Dhabi25,54357,39510,217
Yichang609913,7052259
Manila19,28743,3376650
Havana11,15225,0583717
Rio de Janeiro455721,6792838
Table 7. Dimensioning of the generation and electrical energy storage system in Solution (B).
Table 7. Dimensioning of the generation and electrical energy storage system in Solution (B).
Type of DataData Used for the System DimensioningCasablancaDakarAbu DhabiYichangManilaHavanaRio de Janeiro
InputPmax (kW)0.410.691.450.950.830.720.62
Emax (kWh)4.639.1824.0514.1912.369.488.35
OutputEeff (kWh)5.4510.8028.2916.6914.5411.159.82
PVp (kWp)0.911.804.722.781.901.861.64
Vbattery (V)12121212121212
Abattery (kAh)0.711.413.702.191.901.461.29
Pinverter (kW)0.570.972.031.331.161.010.87
Costs (k€)5.519.1121.7913.4712.069.428.78
Table 8. Maximum cost of the heat machine used in Solution (C).
Table 8. Maximum cost of the heat machine used in Solution (C).
SiteCountryHeat Machine Cost (€)
CasablancaMorocco3,090.00
DakarSenegal3,880.00
Abu DhabiUnited Arab Emirates6,580.00
YichangChina6,790.00
ManilaPhilippines6,050.00
HavanaCuba4,450.00
Rio de JaneiroBrazil4,000.00
Average-4,980.00

Share and Cite

MDPI and ACS Style

Salata, F.; Tarsitano, A.; Golasi, I.; De Lieto Vollaro, E.; Coppi, M.; De Lieto Vollaro, A. Application of Absorption Systems Powered by Solar Ponds in Warm Climates for the Air Conditioning in Residential Buildings. Energies 2016, 9, 821. https://doi.org/10.3390/en9100821

AMA Style

Salata F, Tarsitano A, Golasi I, De Lieto Vollaro E, Coppi M, De Lieto Vollaro A. Application of Absorption Systems Powered by Solar Ponds in Warm Climates for the Air Conditioning in Residential Buildings. Energies. 2016; 9(10):821. https://doi.org/10.3390/en9100821

Chicago/Turabian Style

Salata, Ferdinando, Anna Tarsitano, Iacopo Golasi, Emanuele De Lieto Vollaro, Massimo Coppi, and Andrea De Lieto Vollaro. 2016. "Application of Absorption Systems Powered by Solar Ponds in Warm Climates for the Air Conditioning in Residential Buildings" Energies 9, no. 10: 821. https://doi.org/10.3390/en9100821

APA Style

Salata, F., Tarsitano, A., Golasi, I., De Lieto Vollaro, E., Coppi, M., & De Lieto Vollaro, A. (2016). Application of Absorption Systems Powered by Solar Ponds in Warm Climates for the Air Conditioning in Residential Buildings. Energies, 9(10), 821. https://doi.org/10.3390/en9100821

Note that from the first issue of 2016, this journal uses article numbers instead of page numbers. See further details here.

Article Metrics

Back to TopTop