Design Optimization of Heat Wheels for Energy Recovery in HVAC Systems
Abstract
:1. Introduction

2. Mathematical Model
2.1. Heat Wheel Description and Model Assumptions
- -
- Temperature and velocity profiles in the channels are fully developed.
- -
- Channels are equal and uniformly distributed throughout the wheel.
- -
- Temperature, humidity ratio and velocity of each inlet flow are uniform at the inlet face of the wheel.
- -
- Heat and mass transfer between adjacent channels is negligible.
- -
- Heat and mass transfer from the wheel to the surroundings is negligible.
- -
- Axial heat conduction and water vapour diffusion in the air stream are negligible.
- -
- Temperature gradient through the channel thickness is negligible.
- -
- Density and velocity variation of air along the channel are negligible.
- -
- Specific heat and thermal conductivity of dry air, water vapour and liquid water are assumed constant.
- -
- Air leakages between the two streams are negligible.
2.2. Governing Equations
2.3. Boundary and Initial Conditions
2.4. Pressure Drop
3. Experimental Methodology
3.1. Experimental Setup Description
3.2. Heat Transfer Test Rig

3.3. Pressure Drop Test Rig
3.4. Experimental Procedure
4. Model Validation
| Parameter | Data |
|---|---|
| ac (mm) | 2.0 |
| bc (mm) | 3.8 |
| s (mm) | 0.055 |
| D (m) | 0.6 |
| Dhub (m) | 0.06 |
| L (m) | 0.2 |
| Matrix Material | Aluminium * |
| Purge Sector | None |
4.1. Sensible Effectiveness
| Test | A1 | A2 | A3 | B1 | B2 | B3 | C1 | C2 | C3 | D1 | D2 | D3 | E1 | E2 | E3 | F1 | F2 | F3 |
|---|---|---|---|---|---|---|---|---|---|---|---|---|---|---|---|---|---|---|
| vf (m s−1) | 2.09 | 2.11 | 2.11 | 2.87 | 2.92 | 2.92 | 3.76 | 3.72 | 3.71 | 4.44 | 4.45 | 4.40 | 5.21 | 5.18 | 5.17 | 5.75 | 5.76 | 5.80 |
| N (rev min−1) | 10 | 15 | 20 | 10 | 15 | 20 | 10 | 15 | 20 | 10 | 15 | 20 | 10 | 15 | 20 | 10 | 15 | 20 |
| Tsu,in (°C) | 25.8 | 26.2 | 25.0 | 24.2 | 23.8 | 24.3 | 22.3 | 23.3 | 24.8 | 22.5 | 22.6 | 23.8 | 20.2 | 20.1 | 20.3 | 21.8 | 21.3 | 20.9 |
| Tex,in (°C) | 64.5 | 64.0 | 62.6 | 57.3 | 56.9 | 55.5 | 47.4 | 51.4 | 53.2 | 51.8 | 49.7 | 49.7 | 47.3 | 58.1 | 59.7 | 59.6 | 60.7 | 59.8 |
| Xin (g kg−1) | 9.1 | 7.8 | 8.2 | 8.2 | 8.0 | 8.1 | 9.8 | 11.1 | 9.9 | 9.3 | 9.5 | 9.6 | 9.8 | 9.7 | 9.8 | 10.5 | 10.2 | 10.1 |
| φsu,in (%) | 44.3 | 37.2 | 42.0 | 44.2 | 44.0 | 43.3 | 59.1 | 62.6 | 51.1 | 55.3 | 56.3 | 52.9 | 67.2 | 67.0 | 66.8 | 65.1 | 65.3 | 66.1 |
| φ ex,in (%) | 6.0 | 5.3 | 5.9 | 7.5 | 7.5 | 8.1 | 14.5 | 13.4 | 11.0 | 11.1 | 12.5 | 12.7 | 14.6 | 8.5 | 8.0 | 8.6 | 8.0 | 8.2 |
| ε s (-) | 0.79 | 0.79 | 0.79 | 0.74 | 0.74 | 0.74 | 0.68 | 0.69 | 0.69 | 0.65 | 0.65 | 0.65 | 0.61 | 0.62 | 0.62 | 0.58 | 0.59 | 0.60 |
| Q,s (kW) | 11.1 | 10.9 | 10.9 | 12.3 | 12.5 | 11.8 | 11.0 | 12.3 | 12.5 | 14.3 | 13.5 | 12.8 | 14.7 | 20.9 | 21.8 | 21.8 | 23.2 | 23.1 |
4.2. Pressure Drop

5. Heat Wheel Optimization
5.1. Preliminary Analysis of Performance
- -
- If the heat wheel rotates too slowly, the matrix material average temperature becomes close to the air stream and, therefore, heat transfer decreases due to limited temperature difference. On the other side, if the wheel rotates too fast, the effect of carryover, i.e., the cross contamination between the two streams due to the amount of air trapped in the wheel channel, becomes relevant. Therefore an optimal revolution speed exists: It is typically around 10–20 rev·min−1, depending on air flow rates and heat exchanger geometry.
- -
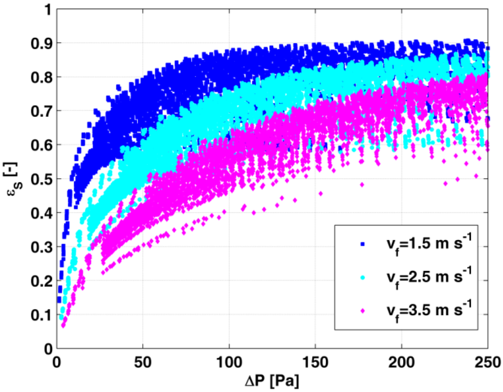
- If the face air velocity vf of both streams increases (and consequently the velocity in the channel u), the sensible effectiveness decreases because air heat capacity rate is bigger at constant heat transfer area.

- -
- The higher the wheel length L, the higher the effectiveness and pressure drop. In fact the heat transfer area increases proportionally to the wheel length.
- -
- The higher the channel thickness s, the lower the effectiveness. In this working condition, the trend can be explained considering that the increase in s leads to an increase in the wheel mass and thermal capacity. Therefore during each rotation the temperature variation of the wheel matrix decreases and, as a consequence, also the pinch-point between the matrix and each outlet air stream, reducing the heat transfer. In addition the wheel porosity decreases and, therefore, the air velocity u in the channel increases, leading to the previously described effects and to a slight increase in pressure drop.
- -
- Regarding the channel geometry, the increase in either ac or bc or both ac and bc with constant thickness leads to a bigger channel hydraulic diameter and, therefore, to a lower heat transfer area and heat transfer coefficient. These effects lead to a sensible effectiveness reduction. Note that this variation is less relevant if only the channel height ac is increased, because in this case, according to Equation (8), even the Nusselt number increases, with positive results on the heat transfer coefficient. Similarly the lower the heat transfer area, the lower pressure drop.
- -
- The effects of the variation of the face velocity vf and of the revolution speed N on sensible effectiveness are in agreement with results reported in Figure 5. In addition, there is an almost linear relationship between pressure drop and air velocity, showing that distributed pressure drop is prevailing on local one.

5.2. Optimization Results
5.2.1. Preliminary Simulations
| Parameter | Min | Max |
|---|---|---|
| N (rev·min−1) | 5 | 20 |
| ac (mm) | 1 | 6 |
| bc (mm) | 1 | 6 |
| s (mm) | 0.05 | 0.12 |
| L (m) | 0.05 | 0.4 |
| vf (m·s−1) | 1.5 | 3.5 |

5.2.2. Performance at Constant Heat Wheel Length L = 0.2 m

5.2.3. Performance at Constant Channel Aspect Ratio bc/ac = 2

5.2.4. Performance Optimization
- -
- When L = 0.2, the heat wheel is almost optimized if bc > 3.8–4.0 mm and bc/ac > 1. In other arrangements, for a given effectiveness, pressure drop is higher than the value attained with the best configuration.
- -
- If there are no restrictions on wheel length, a large hydraulic diameter should be selected (for example with bc = 6.0 mm and bc/ac = 2) and the increase in effectiveness should be obtained through the increase in wheel length. When wheel length cannot be further increased (for example L = 0.4), the increase in effectiveness should be achieved through a reduction in bc and bc/ac. In this way pressure drop is minimized for a given sensible effectiveness.

6. Conclusions
- -
- The best configurations are characterized by a small channel thickness (for example s = 0.05 mm).
- -
- Revolution speed barely affects wheel performance and, therefore, N should be within 10–15 rev·min−1.
- -
- Heat wheels with large channel hydraulic diameters should be preferred (for example bc = 5.0–6.0 mm and bc/ac = 1.5–2) and the increase in sensible effectiveness should be reached through the increase in the wheel length.
- -
- If the wheel length is equal to 0.2 m due to air handling units manufacturer restrictions, the component is almost optimized if bc > 3.8–4.0 mm and bc/ac > 1.
- -
- Heat wheels optimized through the increase in L do not require more matrix material than wheels optimized through the reduction of the channel hydraulic diameter.
Nomenclature
| ac | channel height (m) |
| a'c | inner channel height (m) |
| Ac | channel cross section area (m2) |
| AM | matrix layer cross section area (m2) |
| bc | channel base (m) |
| b′c | inner channel base (m) |
| cp | isobaric specific heat (J·kg−1·K−1) |
| D | external wheel diameter (m) |
| Dhub | wheel hub diameter (m) |
| Dv | diffusivity of water vapour in air (m2·s−1) |
| Deq | hydraulic channel diameter (m) |
| EXP | experiment |
| f | Fanning friction factor (-) |
| fM | matrix mass per unit of length (kg·m−1) |
| hm | mass transfer coefficient (kg·m−2·s−1) |
| hT | heat transfer coefficient (W·m−2·K−1) |
| k | thermal conductivity (W·m−1·K−1) |
| L | wheel length (m) |
| Le | Lewis number (-) |
| ṁ | mass flow of dry air (kg·s−1) |
| M | mass per unit of face area (kg·m−2) |
| N | wheel rotational speed (rev·min−1) |
| p | pressure (Pa) |
| P | channel perimeter (m) |
| Qs | heat transfer rate (W) |
| Re | Reynolds number (-) |
| s | channel thickness (m) |
| Sh | Sherwood number (-) |
| SIM | simulation |
| t | time (s) |
| T | temperature (°C) |
| u | air velocity in the channel (m·s−1) |
| vf | face air velocity (m·s−1) |
| W | water content (kg·kg−1) |
| X | air humidity ratio (kg·kg−1) |
| xi | monitored physical variable (-) |
| z | axial direction (m) |
Greek letters
| ΔP | pressure drop (Pa) |
| εs | sensible effectiveness (-) |
| λ | latent heat of vaporization (kJ·kg−1) |
| ξC | local pressure drop coefficient (-) |
| ρ | density (kg m−3) |
| σ | wheel porosity (-) |
| φ | relative humidity (-) |
Subscripts
| 0 | initial condition |
| a | air |
| da | dry air |
| dew | air dew point |
| ex | exhaust air |
| in | inlet |
| inst | instrumental |
| M | channel material |
| out | outlet |
| sat | saturated vapour |
| su | supply air |
| tot | total |
| v | water vapour |
| w | liquid water |
| W | channel wall |
| wa | wet air |
Acknowledgments
Author Contributions
Conflicts of Interest
References
- Mardiana, A.; Riffat, S.B. Review on physical and performance parameters of heat recovery systems for building applications. Renew. Sustain. Energy Rev. 2013, 28, 174–190. [Google Scholar] [CrossRef]
- Valancius, R.; Jurelionis, A.; Dorosevas, V. Method for cost-benefit analysis of improved indoor climate conditions and reduced energy consumption in office buildings. Energies 2013, 6, 4591–4606. [Google Scholar] [CrossRef]
- Airaksinen, M. Energy use in day care centers and schools. Energies 2011, 4, 998–1009. [Google Scholar] [CrossRef]
- Tommerup, H.; Svendsen, S. Energy savings in Danish residential building stock. Energy Build. 2006, 38, 618–626. [Google Scholar] [CrossRef]
- Rasouli, M.; Simonson, C.J.; Besant, R.W. Applicability and optimum control strategy of energy recovery ventilators in different climatic conditions. Energy Build. 2010, 42, 1376–1385. [Google Scholar] [CrossRef]
- Leone, C.; Liberati, P. Designing the comfort and the energy savings through the heat recovery use. In Proceedings of the AICARR National Conference 2014, Padua, Italy, 5 June 2014.
- Dall’O’, G.; Belli, V.; Brolis, M.; Mozzi, I.; Fasano, M. Nearly Zero-Energy Buildings of the Lombardy Region (Italy), a Case Study of High-Energy Performance Buildings. Energies 2013, 6, 3506–3527. [Google Scholar] [CrossRef]
- Airaksinen, M.; Matilainen, P. A Carbon Footprint of an Office Building. Energies 2011, 4, 1197–1210. [Google Scholar] [CrossRef]
- Eurovent Certified Performance. Available online: http://www.eurovent-certification.com (accessed on 1 September 2014).
- Nóbrega, C.E.L.; Brum, N.C.L. Modeling and simulation of heat and enthalpy recovery wheels. Energy 2009, 34, 2063–2068. [Google Scholar] [CrossRef]
- Wu, Z.; Melnik, R.V.; Borup, F. Model-based analysis and simulation of regenerative heat wheel. Energy Build. 2006, 38, 502–514. [Google Scholar] [CrossRef]
- Simonson, C.J.; Besant, R.W. Energy wheel effectiveness: Part I-development of dimensionless groups. Int. J. Heat Mass Transf. 1999, 42, 2161–2170. [Google Scholar] [CrossRef]
- Zhang, L.Z.; Niu, J.L. Performance comparisons of desiccant wheels for air dehumidification and enthalpy recovery. Appl. Therm. Eng. 2002, 22, 1347–1367. [Google Scholar] [CrossRef]
- Simonson, C.J.; Besant, R.W. Energy wheel effectiveness: Part II–correlations. Int. J. Heat Mass Transf. 1999, 42, 2171–2185. [Google Scholar] [CrossRef]
- Sphaier, L.A.; Worek, W.M. Parametric analysis of heat and mass transfer regenerators using a generalized effectiveness-NTU method. Int. J. Heat Mass Transf. 1999, 52, 2265–2272. [Google Scholar] [CrossRef]
- De Antonellis, S.; Intini, M.; Joppolo, C.M.; Pedranzini, F. Experimental analysis and practical effectiveness correlations of enthalpy wheels. Energy Build. 2014, 84, 316–323. [Google Scholar] [CrossRef]
- Jeong, J.W.; Mumma, S.A. Practical thermal performance correlations for molecular sieve and silica gel loaded enthalpy wheels. Appl. Therm. Eng. 2005, 25, 719–740. [Google Scholar] [CrossRef]
- Rabah, A.A.; Fekete, A.; Kabelac, S. Experimental Investigation on a Rotary Regenerator Operating at Low Temperatures. J. Therm. Sci. Eng. Appl. 2009, 1, 041004:1–041004:9. [Google Scholar] [CrossRef]
- Tu, R.; Liu, X.H.; Jiang, Y. Performance comparison between enthalpy recovery wheels and dehumidification wheels. Int. J. Refrig. 2013, 36, 2308–2322. [Google Scholar] [CrossRef]
- Enteria, N.; Yoshino, H.; Satake, A.; Mochida, A.; Takaki, R.; Yoshie, R.; Mitamura, T.; Baba, S. Experimental heat and mass transfer of the separated and coupled rotating desiccant wheel and heat wheel. Exp. Therm. Fluid Sci. 2010, 34, 603–615. [Google Scholar] [CrossRef]
- Mioralli, P.C.; Ganzarolli, M.M. Thermal analysis of a rotary regenerator with fixed pressure drop or fixed pumping power. Appl. Therm. Eng. 2013, 52, 187–197. [Google Scholar] [CrossRef]
- Swanepoel, D.C.; Kröger, D.G. Rotary regenerator design theory and optimisation. Res. Dev. J. Afr. Inst. Mech. Eng. 1996, 12, 90–97. [Google Scholar]
- Yilmaz, A.; Büyükalaca, O.; Yilmaz, T. Optimum shape and dimensions of ducts for convective heat transfer in laminar flow at constant wall temperature. Int. J. Heat Mass Transf. 2000, 43, 767–775. [Google Scholar] [CrossRef]
- Kakac, S.; Shah, R.K.; Aung, W. Handbook of Single Phase Convective Heat Transfer; John Wiley & Sons: New York, NY, USA, 1987. [Google Scholar]
- Niu, J.L.; Zhang, L.Z. Heat transfer and friction coefficient in corrugated ducts confined by sinusoidal and arc curves. Int. J. Heat Mass Transf. 2002, 45, 571–578. [Google Scholar] [CrossRef]
- Method of Testing Air-to-Air Heat/Energy Exchangers; ANSI/ASHRARE 84-2008; American Society of Heating, Refrigerating and Air Conditioning Engineers (ASHRAE): Atlanta, GA, USA, 2008.
- Measurement of Fluid Flow by Means of Pressure Differential Devices Inserted in Circular Cross-Section Conduits Running Full-Part 2: Orifice Plates; DIN EN ISO 5167–2 Standards (ISO 5167–2; International Organization for Standardization: Geneva, Switzerland, 2003.
- Moffat, R.J. Describing the uncertainties in experimental results. Exp. Therm. Fluid Sci. 1988, 1, 3–10. [Google Scholar] [CrossRef]
© 2014 by the authors; licensee MDPI, Basel, Switzerland. This article is an open access article distributed under the terms and conditions of the Creative Commons Attribution license (http://creativecommons.org/licenses/by/4.0/).
Share and Cite
De Antonellis, S.; Intini, M.; Joppolo, C.M.; Leone, C. Design Optimization of Heat Wheels for Energy Recovery in HVAC Systems. Energies 2014, 7, 7348-7367. https://doi.org/10.3390/en7117348
De Antonellis S, Intini M, Joppolo CM, Leone C. Design Optimization of Heat Wheels for Energy Recovery in HVAC Systems. Energies. 2014; 7(11):7348-7367. https://doi.org/10.3390/en7117348
Chicago/Turabian StyleDe Antonellis, Stefano, Manuel Intini, Cesare Maria Joppolo, and Calogero Leone. 2014. "Design Optimization of Heat Wheels for Energy Recovery in HVAC Systems" Energies 7, no. 11: 7348-7367. https://doi.org/10.3390/en7117348
APA StyleDe Antonellis, S., Intini, M., Joppolo, C. M., & Leone, C. (2014). Design Optimization of Heat Wheels for Energy Recovery in HVAC Systems. Energies, 7(11), 7348-7367. https://doi.org/10.3390/en7117348
