Short-Term Load Forecasting for Microgrids Based on Artificial Neural Networks
Abstract
:1. Introduction

2. Evolution of Power Supply Systems: Smart Grids and Microgrids
2.1. Smart Grids and Microgrids
2.2. New Distributed Intelligence Elements in the Grid

3. Artificial Neural Networks for Electric Power Load Forecasting in Microgrids
3.1. Background
3.2. Geographical Area in Load Forecasting
4. An Architectural Model for Load Forecasting in Microgrids
4.1. Dataset
4.2. Top Level Architecture of the Forecasting System

- Historical Data: a database containing all the data handled by the system. This includes raw and filtered load data (processed by modules 2 and 3) in periods of 15-minute and 1 h, and the forecasting reports produced by the ANN.
- Data Processing: this module implements three algorithms carrying out the following operations: a) to detect missing data produced by faults in the data retrieval system, completing them via interpolation when possible; and b) to cluster 15-minute samples so as to get hourly and daily loads.
- Outlier Detection: this module tries to identify faulty data (potentially caused by malfunctions in sensors or communications) and remove them from the database. To complete this task, the outlier detector searches for abnormal data (meaning data which is outside the typical values of a given magnitude). Therefore, it is necessary to distinguish between abnormal values that are correct—as in the case of low electric power demand in a public holiday as compared to the demand in a workday—and errors that might be caused by a technical failure, which are the ones that must be identified and removed. For the detection of outliers, the Principal Component Analysis (PCA) is employed [62], which is a mathematical procedure that uses an orthogonal transformation to convert a set of observations of possibly correlated variables into a set of values of uncorrelated variables called principal components. Figure 4 shows the results yielded by PCA with components (components are the eigenvectors of the correlation matrix and are different from the covariance matrix) 8 and 9. Out of the 1096 daily patterns available in the dataset, a total of 53 patterns were marked as outliers.
- ANN: the ANN receives data from 1 and, once forecast is performed, the information obtained is sent to 5 to be distributed among the different elements of the grid and to 1 to be stored for future use.
- Output: this module is called after forecast in 4 is completed. Its main task is to send data to different devices where it is displayed, as an operator’s screen, a mobile device, etc.


4.3. Artificial Neural Network Design
- ▪
- Electric consumption highly depends on the hour of the day, and the load curve of the previous day. This previous day load curve actually packs a lot of information about other conditions (season and weather, as shown by Hernández et al. [63]) that are not explicitly fed into the system in this work.
- ▪
- There are many next-day total-load forecasting models, the 24 h-ahead forecast of the aggregated total load for the day. This is a very valuable input data for the ANN which packs a lot of information.
- ▪
- Therefore, load forecasting is performed on the basis of previous-day hourly load curve, aggregated daily load forecast, and calendar variables (day of the week, month, etc.)
- ▪
- Periodic variables are supplied to the network in the form of values of sines and cosines, as it has been demonstrated that this transformation significantly improves the performance of the ANN, as shown Drezga et al. [64]. Day of the week and month, which are essential for the ANN to detect weekly, monthly and seasonal patterns, are entered as sine and cosine, because the cyclical variables are best understood by ANN, as shown in [65,66].
- ▪
- While previous studies on load patterns—as the Red Eléctrica de España (REE) study [67]—have demonstrated that the type of day—workday or public holiday—has a clear effect on electric load, during the testing phase it was found that the accuracy of the forecast did not improve with the information provided by the type of day. The reason for this could be that the input variables used for the load curve of the previous day and the aggregated load forecast for the forecast day are enough for the network to understand the type of forecast day.
- ▪
- Electric load highly varies between workdays and weekends; electric demand in a public holiday is similar to that on Sundays.
- ▪
- The seasonality of electric demand is evident, as it significantly varies throughout the year.

- ▪
- L(d−1)1, L(d−1)2, L(d−1)3,…, L(d−1)24: represent the 24 values for the load curve of the previous day.
- ▪
- Day of the week d − 1: this variable is presented as two variables expressed as sine and cosine by sin[(2·π·day)/7](d−1) and cos[(2·π·day)/7](d−1), with day from 0 to 6 (Sunday = 0, Monday = 1, Tuesday = 2, Wednesday = 3,…, Saturday = 6).
- ▪
- Month d − 1: this variable is presented as two variables expressed as sine and cosine by sin[(2·π·day)/12](d−1) and cos[(2·π·day)/12](d−1), month from 1 to 12 (January = 1, February = 2,…, November = 11, December = 12).
- ▪
- NDTLd: Next Day’s Total Load, which can be easily estimated with an error ranging ±2% using for instance the model proposed by Hsu et al. [68].
- ▪
- Ld1, Ld2, Ld3,…, Ld24 represent the 24 values of the load curve for the forecast day.
- ▪
- The neurons of the hidden layer are fully connected with input and output layer neurons.
- ▪
- There are 16 neurons in the hidden layer.
4.4. Error Calculation
5. Results
5.1. Results


| Variable | Value | Percentage |
|---|---|---|
| Mean | 0.024 | 2.40% |
| Standard deviation (Std.) | 0.0095 | 0.95% |
| No. of errors above ×1 Std. | 42 | 14.73 |
| No. of errors between ×1 Std. | 206 | 72.28% |
| No. of errors below ×1 Std. | 37 | 12.99% |
| No. of errors above ×2 Std. | 12 | 4.21% |
| No. of errors between ×2 Std. | 273 | 95.79% |
| No. of errors below ×2 Std. | 0 | 0.00% |


| Variable | Value | Percentage |
|---|---|---|
| Mean | 0.024 | 2.40% |
| Standard deviation (Std.) | 0.0030 | 0.30% |
| No. of errors above ×1 Std. | 5 | 20.83% |
| No. of errors between ×1 Std. | 15 | 62.50% |
| No. of errors below ×1 Std. | 4 | 16.67% |
| No. of errors above ×2 Std. | 0 | 0.00% |
| No. of errors between ×2 Std. | 23 | 95.83% |
| No. of errors below ×2 Std. | 1 | 4.17% |

5.2. Computational Cost
6. Result Analysis
6.1. Error Distribution
6.2. Errors per Day of the Week and Month
6.3. Error Analysis


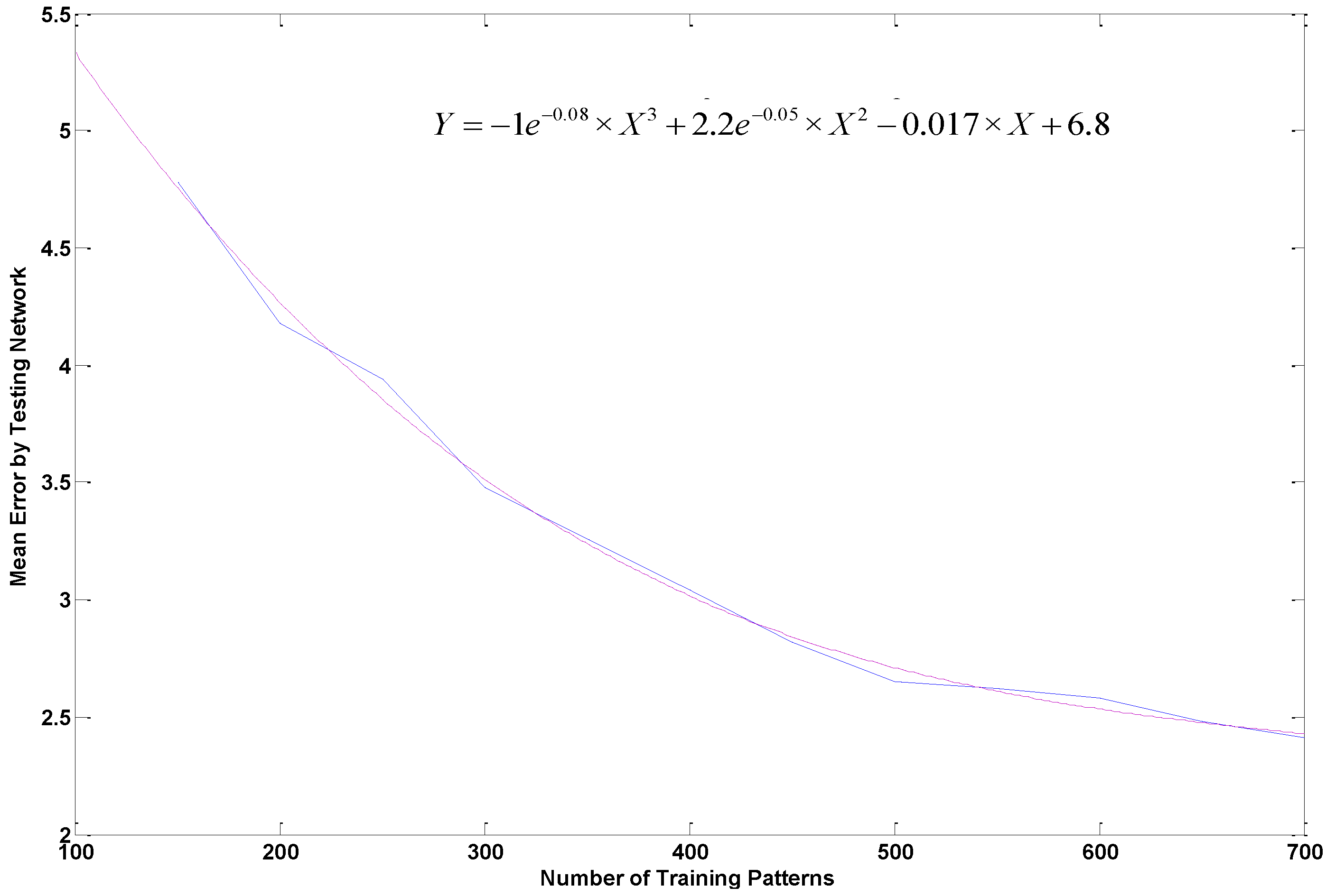
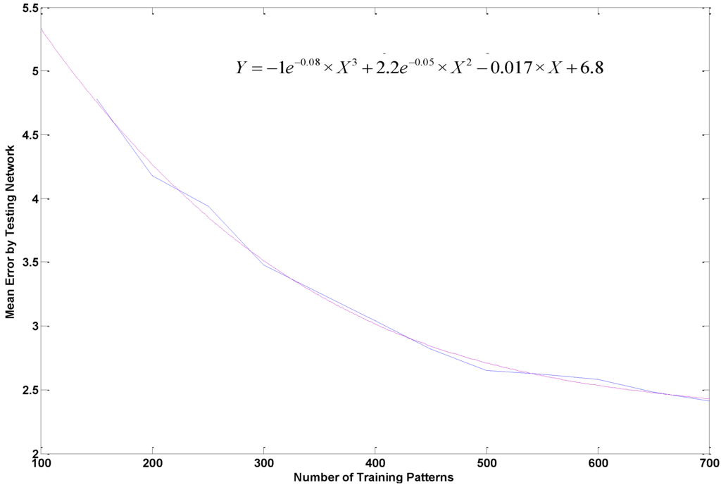
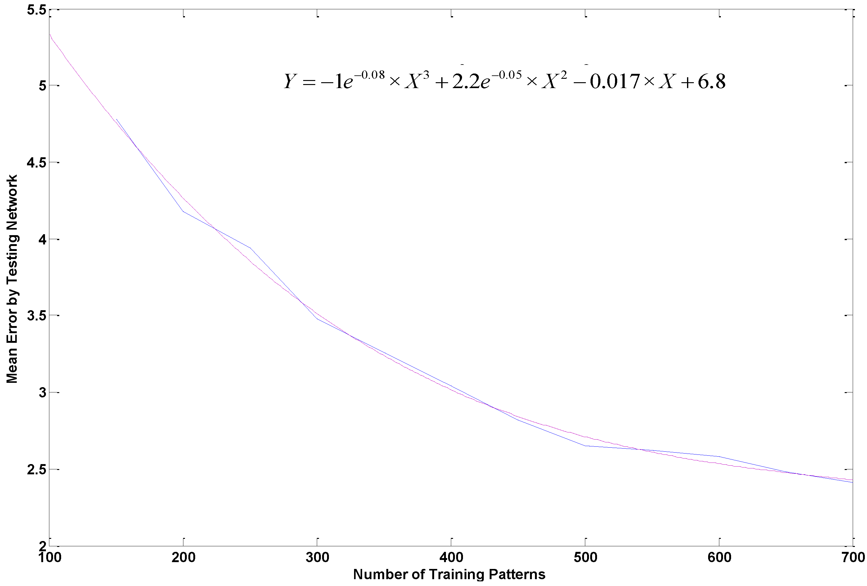
6.4. Association between Errors and Availability of Training Patterns
| Network number | Patterns | Neurons | Error |
|---|---|---|---|
| 1 | 150 | 3 | 4.78% |
| 2 | 200 | 4 | 4.18% |
| 3 | 250 | 4 | 3.94% |
| 4 | 300 | 4 | 3.48% |
| 5 | 350 | 6 | 3.26% |
| 6 | 400 | 6 | 3.04% |
| 7 | 450 | 12 | 2.82% |
| 8 | 500 | 12 | 2.65% |
| 9 | 550 | 13 | 2.62% |
| 10 | 600 | 13 | 2.58% |
| 11 | 650 | 15 | 2.48% |
| 12 | 700 | 16 | 2.41% |

| Networks i–j | Patterns added | Indicator given by Equation (5) |
|---|---|---|
| 2–1 | 50 | 0.01199 |
| 3–2 | 50 | 0.00478 |
| 4–3 | 50 | 0.00428 |
| 5–4 | 50 | 0.00428 |
| 6–5 | 50 | 0.00455 |
| 7–6 | 50 | 0.00440 |
| 8–7 | 50 | 0.00340 |
| 9–8 | 50 | 0.00060 |
| 10–9 | 50 | 0.00080 |
| 11–10 | 50 | 0.00200 |
| 12–11 | 50 | 0.00140 |
6.5. Comparison with Other Solutions
7. Conclusions and Future Studies
Acknowledgements
References
- Booklets European Comission. Your Guide to the Lisbon Treaty 2009. Available online: http://ec.europa.eu/publications/booklets/others/84/en.pdf (accessed on 1 September 2012).
- Hernández, L.; Baladrón, C.; Aguiar, J.M.; Carro, B.; Sánchez-Esguevillas, A.; Lloret, J.; Chinarro, D.; Gómez, J.J.; Cook, D. A multi-agent system architecture for smart grid management and forecasting of energy demand in virtual power plants. IEEE Commun. Mag. 2013, 51, 106–113. [Google Scholar] [CrossRef]
- Towards a Low-Carbon Future; Publications Office of the European Union: Luxembourg, 2010. Available online: http://ec.europa.eu/energy/technology/set_plan/set_plan_en.htm (accessed on 15 May 2012).
- FUTURED—Spanish Technological Platform for Energy Grids Home Page. Available online: http://www.futured.es/ (accessed on 12 May 2012).
- European Technology Platform for Electricity Networks of the Future—SmartGrids ETP Home Page. Available online: http://www.smartgrids.eu/ (accessed on 2 May 2012).
- Kim, H.M.; Kinoshita, T.; Shin, M.C. A multiagent system for autonomous operation of islanded microgrids based on a power market environment. Energies 2010, 3, 1972–1990. [Google Scholar] [CrossRef]
- Kim, H.M.; Lim, Y.; Kinoshita, T. An intelligent multiagent system for autonomous microgrid operation. Energies 2012, 5, 3347–3362. [Google Scholar] [CrossRef]
- Xiao, Z.; Li, T.; Huang, M.; Shi, J.; Yang, J.; Yu, J.; Wu, W. Hierarchical MAS based control strategy for microgrid. Energies 2010, 2, 1622–1638. [Google Scholar] [CrossRef]
- Hong, Y.Y.; Chou, J.H. Nonintrusive energy monitoring for microgrids using hybrid self-organizing feature-mapping networks. Energies 2012, 5, 2578–2593. [Google Scholar] [CrossRef]
- Douglas, A.P.; Breiphol, A.M.; Lee, F.N.; Adapa, R. The impacts of temperature forecast uncertainty on Bayesian load forecasting. IEEE Trans. Power Syst. 1998, 13, 1507–1513. [Google Scholar] [CrossRef]
- Sadownik, R.; Barbosa, E.P. Short-term forecasting of industrial electricity consumption in Brazil. J. Forecast. 1999, 18, 215–224. [Google Scholar] [CrossRef]
- Huang, S.R. Short-term load forecasting using threshold autoregressive models. IEE Proc. Gener. Transm. Distrib. 1997, 144, 477–481. [Google Scholar] [CrossRef]
- Infield, D.G.; Hill, D.C. Optimal smoothing for trend removal in short term electricity demand forecasting. IEEE Trans. Power Syst. 1998, 13, 1115–1120. [Google Scholar] [CrossRef]
- Sargunaraj, S.; Sen Gupta, D.P.S.; Devi, S. Short-term load forecasting for demand side management. IEE Proc. Gener. Transm. Distrib. 1997, 144, 68–74. [Google Scholar] [CrossRef]
- Yang, H.T.; Huang, C.M. A new short-term load forecasting approach using self-organizing fuzzy ARMAX models. IEEE Trans. Power Syst. 1998, 13, 217–225. [Google Scholar] [CrossRef]
- Yang, H.T.; Huang, C.M.; Huang, C.L. Identification of ARMAX model for short term load forecasting: An evolutionary programming approach. IEEE Trans. Power Syst. 1996, 11, 403–408. [Google Scholar] [CrossRef]
- Yu, Z. A temperature match based optimization method for daily load prediction considering DLC effect. IEEE Trans. Power Syst. 1996, 11, 728–733. [Google Scholar] [CrossRef]
- Charytoniuk, W.; Chen, M.S.; Van Olinda, P. Nonparametric regression based short-term load forecasting. IEEE Trans. Power Syst. 1998, 13, 725–730. [Google Scholar] [CrossRef]
- Taylor, J.W.; Majithia, S. Using combined forecast with changing weights for electricity demand profiling. J. Oper. Res. Soc. 2000, 51, 77–82. [Google Scholar]
- Ramanathan, R.; Engle, E.; Granger, C.W.J.; Vahid-Araghi, F.; Brace, C. Short-run forecasts of electricity load and peaks. Int. J. Forecast. 1997, 13, 161–174. [Google Scholar] [CrossRef]
- Soliman, S.A.; Persaud, S.; El-Nagar, K.; El-Hawary, M.E. Application of least absolute value parameter estimation based on linear programming to short-term load forecasting. Elec. Power Energy Syst. 1997, 19, 209–216. [Google Scholar] [CrossRef]
- Hyde, O.; Hodnett, P.F. An adaptable automated procedure for short-term electricity load forecasting. IEEE Trans. Power Syst. 1997, 12, 84–94. [Google Scholar] [CrossRef]
- Ho, K.L.; Hsu, Y.Y.; Chen, C.F.; Lee, T.E.; Liang, C.C.; Lai, T.S.; Chen, K.K. Short term load forecasting of Taiwan power system using a knowledge-based expert system. IEEE Trans. Power Syst. 1990, 5, 1214–1221. [Google Scholar] [CrossRef]
- Rahman, S.; Hazim, O. A generalized knowledge-based short-term load forecasting technique. IEEE Trans. Power Syst. 1993, 8, 508–514. [Google Scholar] [CrossRef]
- Mori, H.; Kobayashi, H. Optimal fuzzy inference for short-term load forecasting. IEEE Trans. Power Syst. 1996, 11, 390–396. [Google Scholar] [CrossRef]
- Bakirtzis, A.G.; Theocharis, J.B.; Kiartzis, S.J.; Satsios, K.J. Short-term load forecasting using fuzzy neural networks. IEEE Trans. Power Syst. 1995, 10, 1518–1524. [Google Scholar] [CrossRef]
- Papadakis, S.E.; Theocharis, J.B.; Kiartzis, S.J.; Bakirtzis, A.G. A novel approach to short-term load forecasting using fuzzy neural nerworks. IEEE Trans. Power Syst. 1998, 13, 480–492. [Google Scholar] [CrossRef]
- Rumelhart, D.; Hinton, G.; Williams, R. Learning internal representations by error propagation. In Parallel Distributed Processing: Explorations in the Microstructure of Cognition; Rumelhart, D., McClelland, J.L., Eds.; MIT Press Cambridge: Cambridge, MA, USA, 1996; pp. 318–362. [Google Scholar]
- Broomhead, D.S.; Lowe, D. Multivariable functional interpolation and adaptive networks. Complex Syst. 1988, 2, 321–355. [Google Scholar]
- Elman, J.L. Finding structure in time. Cognit. Sci. 1990, 14, 179–211. [Google Scholar] [CrossRef]
- Elman, J.L. Distributed representations, simple recurrent networks, and grammatical structure. Mach. Learn. 1991, 7, 95–126. [Google Scholar]
- Kohonen, T. The Self-organizing Map. Proc. IEEE 1990, 78, 1464–1480. [Google Scholar] [CrossRef]
- Baladrón, C.; Aguiar, J.M.; Calavia, L.; Carro, B.; Sánchez-Esguevillas, A.; Hernández, L. Performance study of the application of artificial neural networks to the completion and prediction of data retrieved by underwater sensors. Sensors 2012, 12, 1468–1481. [Google Scholar] [CrossRef] [PubMed]
- Martínez-Martínez, V.; Baladrón, C.; Gomez-Gil, J.; Ruiz-Ruiz, G.; Navas-Gracia, L.M.; Aguiar, J.M.; Carro, B. Temperature and relative humidity estimation and prediction in the tobacco drying process using artificial neural networks. Sensors 2012, 12, 14004–14021. [Google Scholar] [CrossRef] [PubMed]
- Park, D.C.; El-Sharkawi, M.A.; Marks II, R.J.; Atlas, L.E.; Damborg, M.J. Electric load forecasting using an artificial neural network. IEEE Trans. Power Syst. 1991, 6, 442–449. [Google Scholar] [CrossRef]
- Ho, K.L.; Hsu, Y.Y.; Yang, C.C. Short term load forecasting using a multilayer neural network with and adaptative learning algorithm. IEEE Trans. Power Syst. 1992, 7, 141–149. [Google Scholar] [CrossRef]
- Drezga, I.; Rahman, S. Input variable selection for ANN-based short-term load forecasting. IEEE Trans. Power Syst. 1998, 13, 1238–1244. [Google Scholar] [CrossRef]
- Drezga, I.; Rahman, S. Short-term load forecasting with local ANN predictors. IEEE Trans. Power Syst. 1999, 14, 844–850. [Google Scholar] [CrossRef]
- McMenamin, J.S.; Monforte, F.A. Short-term energy forecasting with neural networks. Energy J. 1998, 19, 43–61. [Google Scholar]
- Lee, K.Y.; Cha, Y.T.; Park, J.H. Short-term load forecasting using an artificial neural network. IEEE Trans. Power Syst. 1992, 7, 124–132. [Google Scholar] [CrossRef]
- Lu, C.N.; Wu, H.T.; Vemuri, S. Neural network based short term load forecasting. IEEE Trans. Power Syst. 1993, 8, 336–342. [Google Scholar] [CrossRef]
- Papalexopoulos, A.D.; Hao, S.; Peng, T.M. An implementation of a neural network based load forecasting models for the EMS. IEEE Trans. Power Syst. 1994, 9, 1956–1962. [Google Scholar] [CrossRef]
- Bakirtzis, A.G.; Petridis, V.; Kiartzis, S.J.; Alexiadis, M.C.; Maissis, A.H. A neural network short term load forecasting model for the Greek power system. IEEE Trans. Power Syst. 1996, 11, 858–863. [Google Scholar] [CrossRef]
- Alfuhaid, A.S.; El-Sayed, M.A.; Mahmoud, M.S. Cascaded artificial neural networks for short-term load forecasting. IEEE Trans. Power Syst. 1997, 12, 1524–1529. [Google Scholar] [CrossRef]
- Lamedica, R.; Prudenzi, A.; Sforma, M.; Caciotta, M.; Cencelli, V.O. A neural network based technique for short-term forecasting of anomalous load periods. IEEE Trans. Power Syst. 1996, 11, 1749–1756. [Google Scholar] [CrossRef]
- Srinivasan, D.; Liew, A.C.; Chang, C.S. Forecasting daily load curves using a hybrid fuzzy-neural approach. IEE Proc. Gener. Transm. Distrib. 1994, 141, 561–567. [Google Scholar] [CrossRef]
- Kim, K.H.; Park, J.K.; Hwang, K.J.; Kim, S.H. Implementation of hybrid short-term load forecasting system using artificial neural networks and fuzzy expert systems. IEEE Trans. Power Syst. 1995, 10, 1534–1539. [Google Scholar] [CrossRef]
- Daneshdoost, M.; Lotfalian, M.; Bumroonggit, G.; Ngoy, J.P. Neural network with fuzzy set-based classification for short-term load forecasting. IEEE Trans. Power Syst. 1998, 13, 1386–1391. [Google Scholar] [CrossRef]
- Senjyu, T.; Mandal, P.; Uezato, K.; Funabashi, T. Next day load curve forecasting using hybrid correction method. IEEE Trans. Power Syst. 2005, 20, 102–109. [Google Scholar] [CrossRef]
- Hsu, Y.Y.; Yang, C.C. Design of artificial neural networks for short-term load forecasting. Part II: Multilayer feedforward networks for peak load and valley load forecasting. IEE Proc. C Gener. Transm. Distrib. 1991, 138, 414–418. [Google Scholar] [CrossRef]
- Rejc, M.; Partos, M. Short-term transmission-loss forecast for the slovenian transmission power system based on a fuzzy-logic decision approach. IEEE Trans. Power Syst. 2011, 26, 1511–1521. [Google Scholar] [CrossRef]
- Wang, Y.; Xia, Q.; Kang, C. Secondary forecasting based on deviation analysis for short-term load forecasting. IEEE Trans. Power Syst. 2011, 26, 500–507. [Google Scholar] [CrossRef]
- Kebriaei, H.; Araabi, B.N.; Rahiminkian, A. Short-term load forecasting with a new nonsymmetric penalty function. IEEE Trans. Power Syst. 2011, 26, 1817–1825. [Google Scholar] [CrossRef]
- Bishop, C.M. Neural networks and their applications. Review Sci. Instrum. 1994, 65, 1803–1832. [Google Scholar] [CrossRef]
- Taylor, J.W.; Buizza, R. Neural network load forecasting with weather ensemble predictions. IEEE Trans. Power Syst. 2002, 17, 626–632. [Google Scholar] [CrossRef]
- Chu, W.C.; Chen, Y.P.; Xu, Z.W.; Lee, W.J. Multiregion short-term load forecasting in consideration of hi and load/weather diversity. IEEE Trans. Ind. Appl. 2011, 47, 232–237. [Google Scholar] [CrossRef]
- Zhang, W.Y.; Hong, W.-C.; Dong, Y.; Tsai, G.; Sung, J.-T.; Fan, G. Application of SVR with chaotic GASA algorithm in cyclic electric load forecasting. Energy 2012, 45, 850–858. [Google Scholar] [CrossRef]
- Hong, W.-C. Electric load forecasting by seasonal recurrent SVR with chaotic artificial bee colony algorithm. Energy 2011, 36, 5568–5578. [Google Scholar] [CrossRef]
- Nose-Filho, K.; Plasencia, A.D.; Minossi, C.R. Short-term multinodal load forecasting using a modified general regression neural network. IEEE Trans. Power Deliv. 2011, 26, 2862–2869. [Google Scholar] [CrossRef]
- Hernández, L.; Baladrón, C.; Aguiar, J.M.; Carro, B.; Sánchez-Esguevillas, A. Classification and clustering of electricity demand patterns in industrial parks. Energies 2012, 5, 5215–5228. [Google Scholar] [CrossRef]
- Chan, P.P.K.; Chen, W.-C.; Ng, W.W.Y.; Yeung, D.S. Multiple Classifier System for Short Term Load Forecast of Microgrid. In Proceedings of the 2011 International Conference on Machine Learning and Cybernetics, Guilin, China, 10–13 July 2011; Volume 3, pp. 1268–1273.
- Good, R.P.; Kost, D.; Cherry, G.A. Introducing a unified pca algorithm for model size reduction. IEEE Trans. Semicond. Manuf. 2010, 23, 201–209. [Google Scholar] [CrossRef]
- Hernández, L.; Baladrón, C.; Aguiar, J.M.; Calavia, L.; Carro, B.; Sánchez-Esguevillas, A.; Cook, D.J.; Chinarro, D.; Gómez, J. A study of the relationship between weather variables and electric power demand inside a smart grid/smart world framework. Sensors 2012, 12, 11571–11591. [Google Scholar] [CrossRef]
- Drezga, I.; Rahman, S. Phase-Space Short-Term Load Forecasting for Deregulated Electric Power Industry. In Proceedings of International Joint Conference on Neural Networks, Washington, DC, USA, 10–16 July 1999; Volume 5, pp. 3405–3409.
- Ramezani, M.; Falaghi, H.; Haghifam, M.-R. Short-Term Electric Load Forecasting Using Neural Networks. In The 2005 International Conference on Compute as a Tool (EUROCON 2005), Belgrade, Serbia, 21–24 November 2005; Volume 2, pp. 1525–1528.
- Razavi, S.; Tolson, B.A. A new formulation for feedforward neural networks. IEEE Trans. Neural Netw. 2011, 22, 1588–1598. [Google Scholar] [CrossRef] [PubMed]
- Proyecto Atlas INDEL de la Demanda Eléctrica Española [in Spanish]; Red Eléctrica de España (REE): Madrid, Spain, 1998. Available online: http://www.ree.es/sistema_electrico/pdf/indel/Atlas_INDEL_REE.pdf (accessed on 13 May 2012).
- Hsu, C.-C.; Chen, C.-Y. Regional load forecasting in Taiwan—Applications of artificial neural networks. Energy Convers. Manag. 2003, 44, 1941–1949. [Google Scholar] [CrossRef]
© 2013 by the authors; licensee MDPI, Basel, Switzerland. This article is an open access article distributed under the terms and conditions of the Creative Commons Attribution license (http://creativecommons.org/licenses/by/3.0/).
Share and Cite
Hernandez, L.; Baladrón, C.; Aguiar, J.M.; Carro, B.; Sanchez-Esguevillas, A.J.; Lloret, J. Short-Term Load Forecasting for Microgrids Based on Artificial Neural Networks. Energies 2013, 6, 1385-1408. https://doi.org/10.3390/en6031385
Hernandez L, Baladrón C, Aguiar JM, Carro B, Sanchez-Esguevillas AJ, Lloret J. Short-Term Load Forecasting for Microgrids Based on Artificial Neural Networks. Energies. 2013; 6(3):1385-1408. https://doi.org/10.3390/en6031385
Chicago/Turabian StyleHernandez, Luis, Carlos Baladrón, Javier M. Aguiar, Belén Carro, Antonio J. Sanchez-Esguevillas, and Jaime Lloret. 2013. "Short-Term Load Forecasting for Microgrids Based on Artificial Neural Networks" Energies 6, no. 3: 1385-1408. https://doi.org/10.3390/en6031385
APA StyleHernandez, L., Baladrón, C., Aguiar, J. M., Carro, B., Sanchez-Esguevillas, A. J., & Lloret, J. (2013). Short-Term Load Forecasting for Microgrids Based on Artificial Neural Networks. Energies, 6(3), 1385-1408. https://doi.org/10.3390/en6031385

