A Novel Wind Turbine Concept Based on an Electromagnetic Coupler and the Study of Its Fault Ride-through Capability
Abstract
:1. Introduction
2. Concept of WT-EMC


3. Operation Modes and Control Strategies of WT-EMC
3.1. Normal Operation Modes
3.1.1. Start and Synchronization
3.1.2. Operation after Grid Connection


3.1.3. Grid Disconnection and Stop
3.2. FRT and Synchronous Condenser Modes
4. Simulation of WT-EMC FRT Capability
4.1. Electromagnetic Coupler and Synchronous Generator Dynamic Models
4.2. Wind Turbine Model for Numerical Simulations

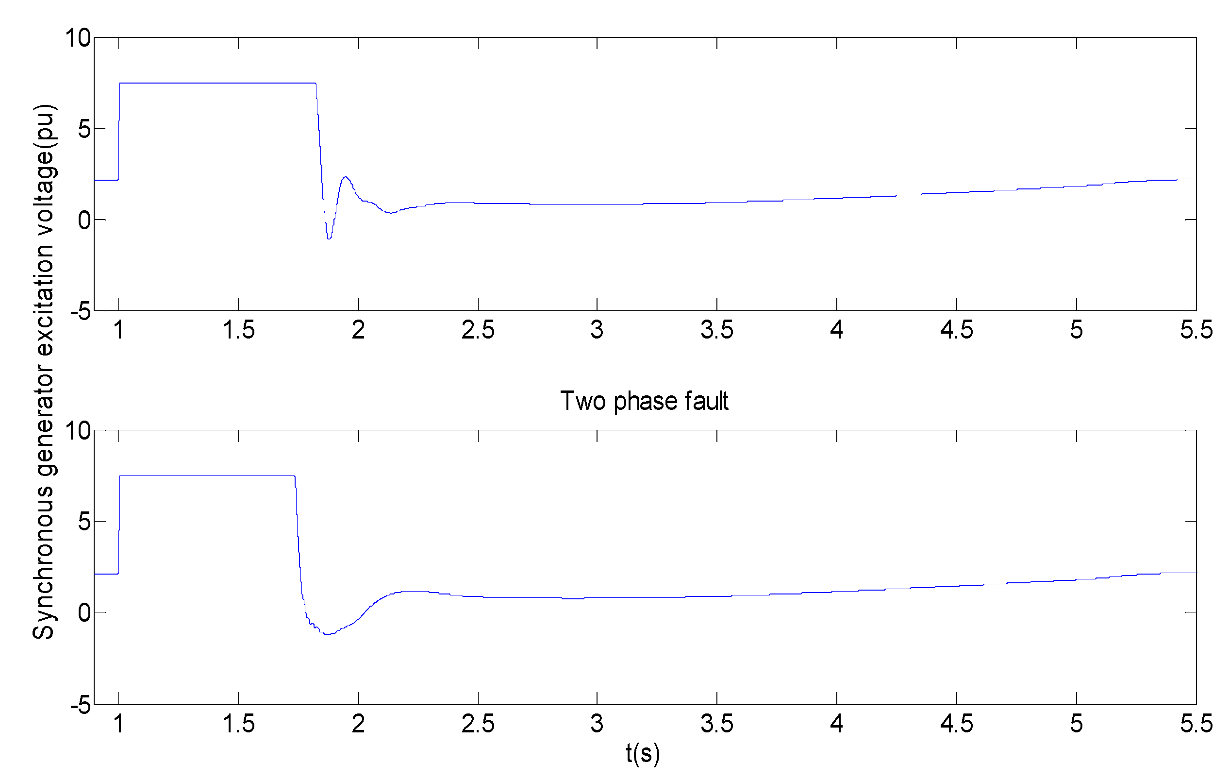
4.3. Simulation Results











5. Conclusions
Acknowledgments
Conflicts of Interest
Appendix
- rotor diameter d = 80 m;
- tower height h = 80 m.
- ratio n = 71.76.
- nominal power Pn = 350 kVA;
- line-to-line voltage Vn = 690 V;
- frequency fn = 18 Hz;
- pole pairs p = 6.
- nominal power Pn = 2.5 MVA;
- line-to-line voltage Vn = 690 V;
- frequency fn = 50 Hz;
- pole pairs p = 2.
- pitch angle limit: 0–90°;
- pitch rate limit: 10°/s;
- converter torque command rate limit: 0.3 pu/s.
References
- Yamamoto, M.; Motoyoshi, O. Active and reactive power control for doubly-fed wound rotor induction generator. IEEE Trans. Power Electron. 1991, 6, 624–629. [Google Scholar] [CrossRef]
- Li, H.; Chen, Z. Overview of different wind generator systems and their comparisons. IET Renew. Power Gener. 2008, 2, 123–138. [Google Scholar] [CrossRef]
- Electrical Simulation Models—Wind Turbines; International Electrotechnical Commission: Geneva, Switzerland, 2013.
- Hansen, A.D.; Sørensen, P.; Iov, F.; Blaabjerg, F. Centralised power control of wind farm with doubly fed induction generators. Renew. Energy 2006, 31, 935–951. [Google Scholar] [CrossRef]
- Polinder, H.; van der Pijl, F.F.A.; de Vilder, G.J.; Tavner, P.J. Comparison of direct-drive and geared generator concepts for wind turbines. IEEE Trans. Energy Convers. 2006, 21, 725–733. [Google Scholar] [CrossRef]
- Haque, M.E.; Negnevitsky, M.; Muttaqi, K.M. A novel control strategy for a variable-speed wind turbine with a permanent-magnet synchronous generator. IEEE Trans. Ind. Appl. 2010, 46, 331–339. [Google Scholar] [CrossRef]
- Tan, K.; Islam, S. Optimum control strategies in energy conversion of PMSG wind turbine system without mechanical sensors. IEEE Trans. Energy Convers. 2004, 19, 392–399. [Google Scholar] [CrossRef]
- Iov, F.; Hansen, A.D.; Sørensen, P.; Cutululis, N.A. Mapping of Grid Faults and Grid Codes; Technical University of Denmark: Roskilde, Denmark, 2007. [Google Scholar]
- Zhou, Y.; Bauer, P.; Ferreira, J.A.; Pierik, J. Operation of grid-connected DFIG under unbalanced grid voltage condition. IEEE Trans. Energy Convers. 2009, 24, 240–246. [Google Scholar] [CrossRef]
- Morren, J.; de Haan, S. Ridethrough of wind turbines with doubly-fed induction generator during a voltage dip. IEEE Trans. Energy Convers. 2005, 20, 435–441. [Google Scholar] [CrossRef]
- Brekken, T.A.; Mohan, N. Control of a doubly fed induction wind generator under unbalanced grid voltage conditions. IEEE Trans. Energy Convers. 2007, 22, 129–135. [Google Scholar] [CrossRef]
- Muyeen, S.M.; Takahashi, R.; Murata, T.; Tamura, J. A variable speed wind turbine control strategy to meet wind farm grid code requirements. IEEE Trans. Power Syst. 2010, 25, 331–340. [Google Scholar] [CrossRef]
- Müller, H.; Pöller, M.; Basteck, A.; Tilscher, M.; Pfister, J. Grid Compatibility of Variable Speed Wind Turbines with Directly Coupled Synchronous Generator and Hydro-Dynamically Controlled Gearbox. In Proceedings of the Sixth International Workshop on Large-Scale Integration of Wind Power and Transmission Networks for Offshore Wind Farms, Delft, The Netherlands, 26–28 October 2006.
- Chen, J.; Zhou, Q.; Chai, J.; Bi, D.; Sun, X.; Liu, W. VSCF wind turbine generator based on an electromagnetic coupler. J. Tsinghua Univ. Sci. Tech. 2011, 51, 361–366. (in Chinese). [Google Scholar]
- You, R.; Chai, J.; Sun, X.; Li, J.; Liu, W. Experimental study of variable speed wind turbine based on electromagnetic couplers. Proc. Chin. Soc. Electr. Eng. 2013, 33, 92–98. (in Chinese). [Google Scholar]
- Hansen, M.H.; Hansen, A.D.; Larsen, T.J.; Øye, S.; Sørensen, P.; Fuglsang, P. Control Design for a Pitch-Regulated, Variable Speed Wind Turbine; Technical University of Denmark: Roskilde, Denmark, 2005. [Google Scholar]
- Chen, B. Automatic Control System for Electric Drive, 3rd ed.; China Machine Press: Beijing, China, 2003; pp. 190–214. (in Chinese) [Google Scholar]
- Krause, P.C. Analysis of Electric Machinery; McGraw-Hill: New York, NY, USA, 1986; pp. 133–160. [Google Scholar]
- 421.5-1992—IEEE Recommended Practice for Excitation System Models for Power System Stability Studies; IEEE Power & Energy Society: Piscataway, NJ, USA, 1992.
- Larsen, T.J.; Hansen, A.M. How 2 HAWC2, the User’s Manual; Technical University of Denmark: Roskilde, Denmark, 2012. [Google Scholar]
- Larsen, T.J.; Madsen, H.A.; Larsen, G.C.; Hansen, K.S. Validation of the dynamic wake meander model for loads and power production in the Egmond aan Zee Wind Farm. Wind Energy 2013, 16, 605–624. [Google Scholar] [CrossRef]
- Grid Code High and Extra High Voltage; E.ON Netz GmbH: Bayreuth, Germany, 2006.
- Barahona, B.; Cutululis, N.A.; Hansen, A.D.; Sørensen, P. Unbalanced voltage faults: The impact on structural loads of doubly fed asynchronous generator wind turbines. Wind Energy 2013. [Google Scholar] [CrossRef]
© 2013 by the authors licensee MDPI, Basel, Switzerland. This article is an open access article distributed under the terms and conditions of the Creative Commons Attribution license ( http://creativecommons.org/licenses/by/3.0/).
Share and Cite
You, R.; Barahona, B.; Chai, J.; Cutululis, N.A. A Novel Wind Turbine Concept Based on an Electromagnetic Coupler and the Study of Its Fault Ride-through Capability. Energies 2013, 6, 6120-6136. https://doi.org/10.3390/en6116120
You R, Barahona B, Chai J, Cutululis NA. A Novel Wind Turbine Concept Based on an Electromagnetic Coupler and the Study of Its Fault Ride-through Capability. Energies. 2013; 6(11):6120-6136. https://doi.org/10.3390/en6116120
Chicago/Turabian StyleYou, Rui, Braulio Barahona, Jianyun Chai, and Nicolaos A. Cutululis. 2013. "A Novel Wind Turbine Concept Based on an Electromagnetic Coupler and the Study of Its Fault Ride-through Capability" Energies 6, no. 11: 6120-6136. https://doi.org/10.3390/en6116120
APA StyleYou, R., Barahona, B., Chai, J., & Cutululis, N. A. (2013). A Novel Wind Turbine Concept Based on an Electromagnetic Coupler and the Study of Its Fault Ride-through Capability. Energies, 6(11), 6120-6136. https://doi.org/10.3390/en6116120
