Performance Analysis and Working Fluid Selection of a Supercritical Organic Rankine Cycle for Low Grade Waste Heat Recovery
Abstract
:1. Introduction
2. Thermodynamic Analysis of the Supercritical ORC


2.1. Process 3-4 (Pump)
2.2. Process 4-1 (Evaporator)
2.3. Process 1-2 (Expander)
2.4. Process 3-4 (Condenser)
2.5. Net Power Output
2.6. Exergy Efficiency
2.7. Technical and Economic Factors
| Parameter | Value | Unit |
|---|---|---|
| Waste heat source inlet temperature | 593 | K |
| Waste heat source outlet temperature | 333 | K |
| Mass flow rate of waste heat source | 1 | kg/s |
| Condensing temperature | 303 | K |
| Cooling water inlet temperature | 293 | K |
| Cooling water outlet temperature | 297 | K |
| Ambient temperature | 293.15 | K |
| Ambient pressure | 100 | kPa |
| Isentropic efficiency of the expander | 85% | |
| Pump isentropic efficiency | 70% |
| Fluid | Critical Properties | Range of Applicability a [32] | |||
|---|---|---|---|---|---|
| P (MPa) | T (K) | Minimum Temperature (K) | Maximum Temperature (K) | Maximum Pressure (MPa) | |
| R123 | 3.6618 | 456.83 | 166 | 600 | 40 |
| R245ca | 3.925 | 447.57 | 200 | 500 | 60 |
| R245fa | 3.64 | 427.20 | 200 | 500 | 60 |
| Butane | 3.796 | 425.13 | 134.87 | 589 | 69 |
| R236ea | 3.502 | 412.44 | 242 | 500 | 60 |
| R142b | 4.07 | 410.26 | 142.72 | 500 | 60 |
| Isobutene | 3.64 | 407.82 | 113.56 | 573 | 35 |
| R236fa | 3.2 | 398.07 | 179.52 | 500 | 40 |
| R124 | 3.624 | 395.43 | 120 | 470 | 40 |
| R152a | 4.5168 | 386.41 | 154.56 | 500 | 60 |
| R227ea | 2.926 | 374.80 | 146.35 | 500 | 60 |
| R134a | 4.059 | 374.21 | 169.85 | 455 | 70 |
| Propylene | 4.664 | 365.57 | 100 | 600 | 200 |
| R32 | 5.782 | 351.26 | 136.34 | 435 | 70 |
| R143a | 3.761 | 345.86 | 161.34 | 650 | 100 |
| R218 | 2.671 | 345.10 | 113 | 500 | 30 |
| R125 | 3.617 | 339.17 | 172.52 | 500 | 60 |
| R41 | 5.897 | 317.28 | 175 | 500 | 60 |
3. Results and Discussion
3.1. Influence of Expander Inlet Pressure


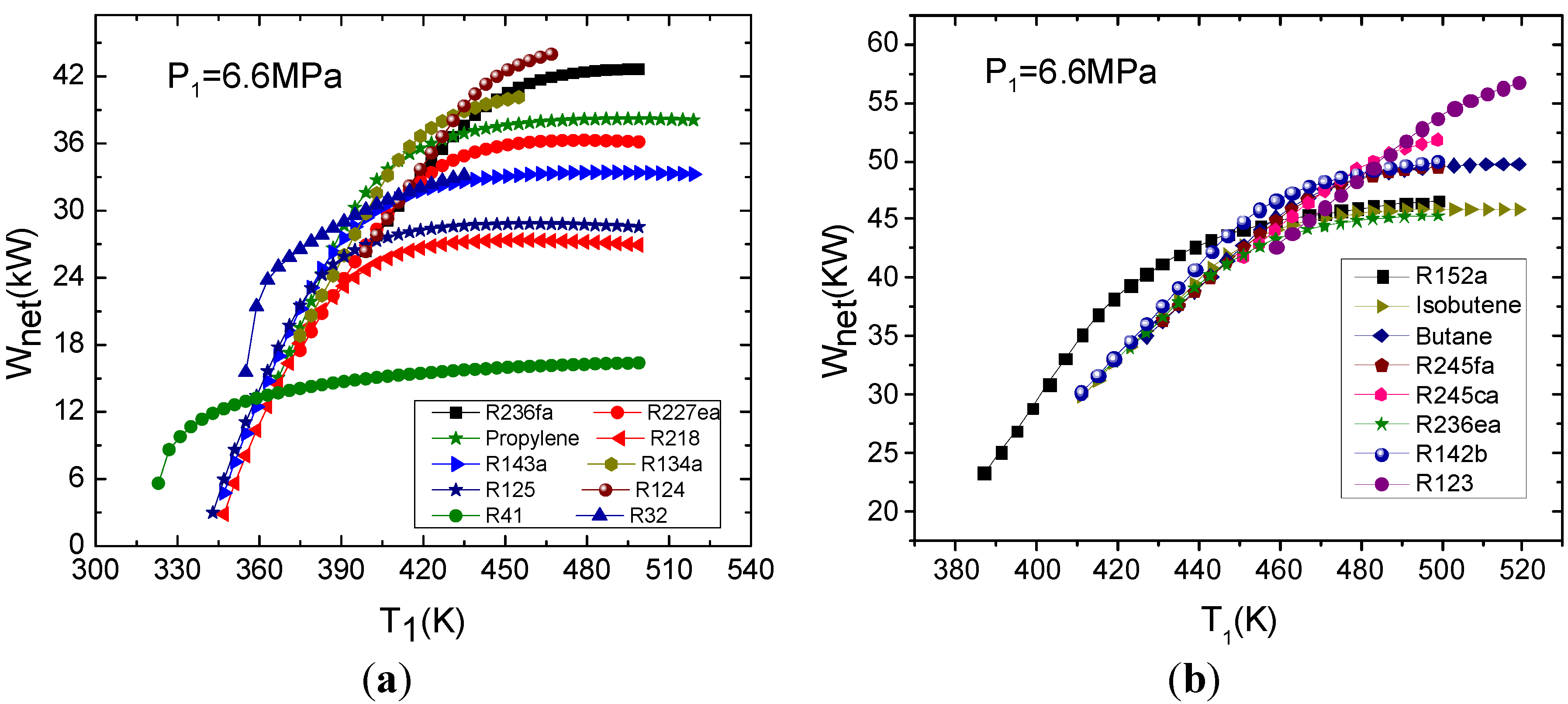
3.2. Influence of Expander Inlet Temperature


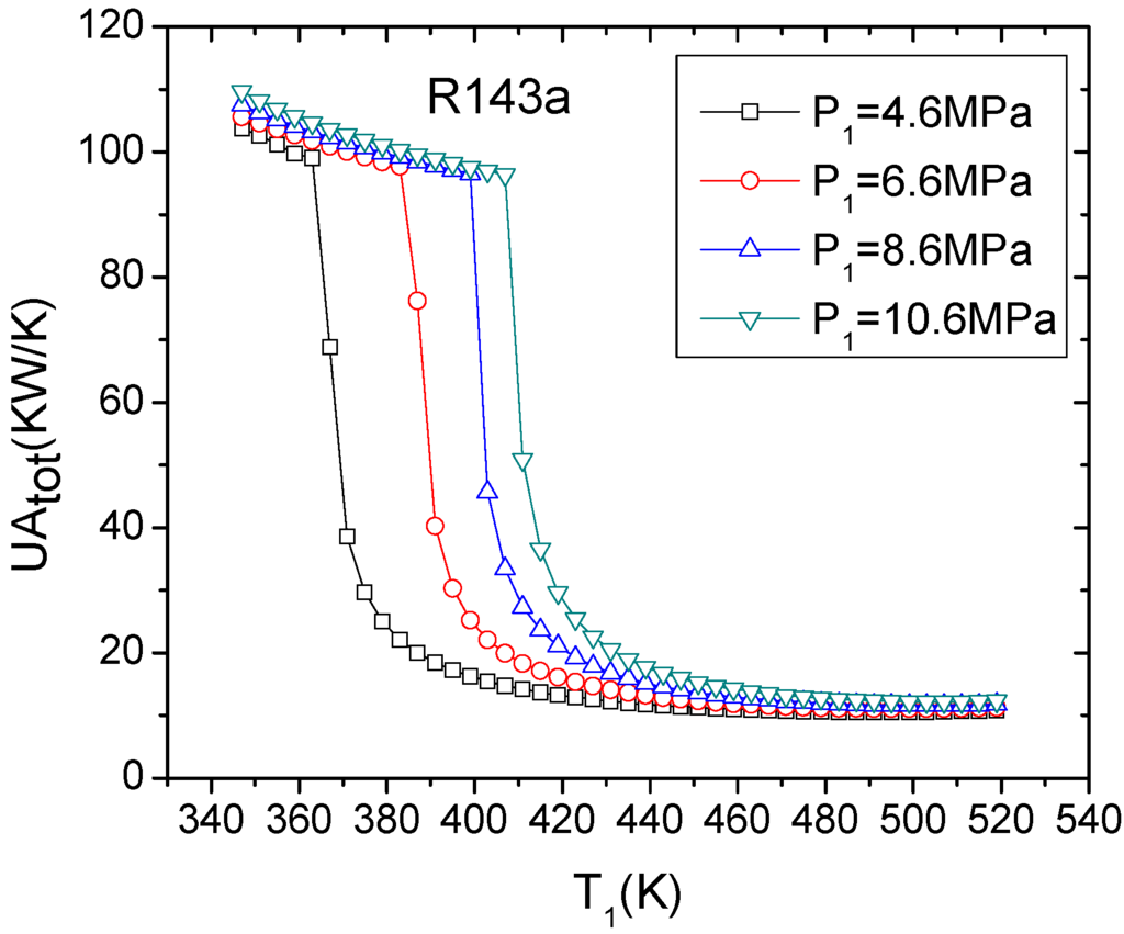
3.3. Total Heat Transfer Requirement ((UA)tot)

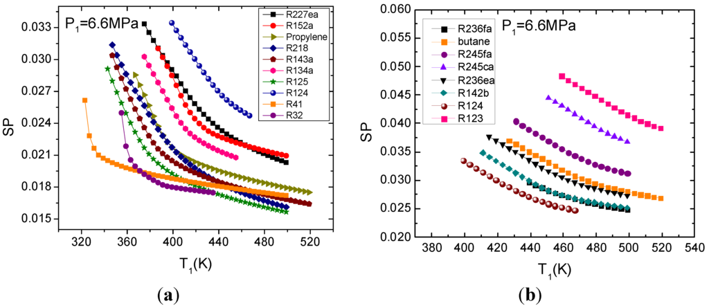
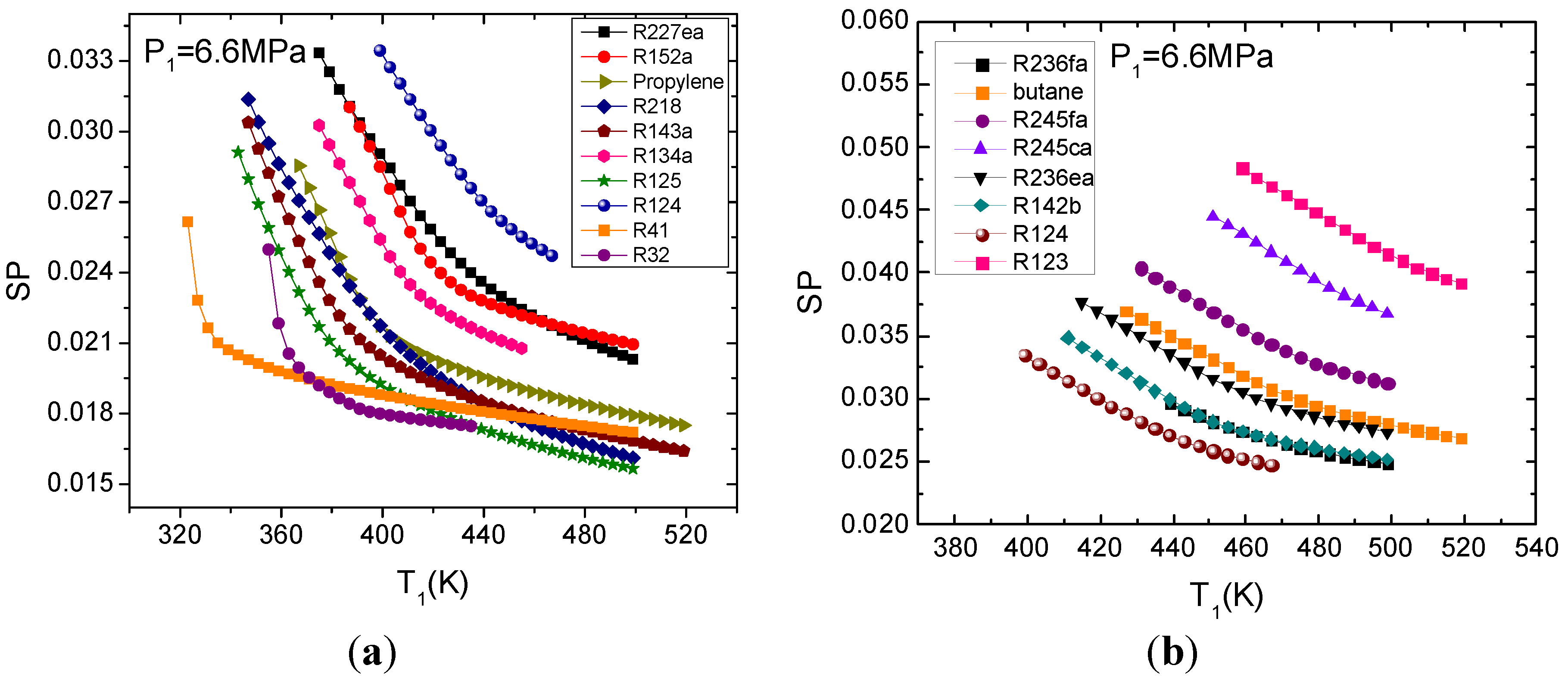
3.4. Expander Size Parameter (SP)

3.5. Choice of the Working Fluids



4. Conclusions
- (1)
- The higher expander inlet temperature will benefit the net power output and exergy efficiency, as long as the expander inlet pressure isn’t too low. However, the influences of expander inlet pressure on these performance parameters are linked with the expander inlet temperature and working fluids. Generally, more net power output of supercritical ORC requires either lower expander inlet temperature and pressure, or higher expander inlet temperature and pressure.
- (2)
- Either higher expander inlet pressure or lower expander inlet temperature results in larger total heat transfer requirement.
- (3)
- Higher expander inlet temperature leads to smaller expander size. For some working fluids, such as R32, R41, R125, R143a, and so on, either lower expander inlet temperature and pressure, or higher expander inlet temperature and pressure, makes the expander size smaller. For other working fluids, such as R123, R124, R134a, and so on, higher expander inlet pressure brings on a larger SP.
- (4)
- It is difficult to choose a working fluid which could satisfy the requirements of both the maximum output and the minimum investment at the same time. As a compromise, R152a and R143a are recommended as the working fluids in this paper.
Symbols and Abbreviations:
| E | exergy (kJ s−1) | Greek symbols | |
| h | specific enthalpy (kJ kg−1) | η | efficiency (dimensionless) |
| ΔHs | isentropic enthalpy difference in the expander (J kg−1) | Subscripts | |
| I | exergy loss (kJ s−1) | c | condenser |
| mass flow rate (kg s−1) | e | evaporator | |
| heat transfer rate (kJ kg−1) | exp | expander | |
| s | specific entropy (kJ kg−1) | input | system input |
| SP | the expander size parameter | net | nett |
| T | temperature (K) | output | system output |
| (UA) | the total heat transfer requirement (kW K−1) | p | pump |
| W | power (kW) | tot | total |
| 1–4, i | state points | ||
Acknowledgments
References
- Di Pippo, R. Second law assessment of binary plants generating power from low-temperature geothermal fluids. Geothermics 2004, 33, 565–586. [Google Scholar] [CrossRef]
- Badr, O.; O’Callaghan, P.W. Thermodynamic and thermophysical properties of organic working fluids for Rankine cycle engines. Appl. Energy 1985, 19, 1–40. [Google Scholar] [CrossRef]
- Yamamoto, T.; Furuhata, T.; Arai, N.; Mori, K. Design and testing of the organic Rankine cycle. Energy 2001, 26, 239–251. [Google Scholar] [CrossRef]
- Madhawa Hettiarachchi, H.D.; Golubovic, M.; Worek, W.M.; Ikegami, Y. Optimum design criteria for an organic Rankine cycle using low-temperature geothermal heat sources. Energy 2007, 32, 1698–1706. [Google Scholar] [CrossRef]
- Mago, P.J.; Chamra, L.M.; Srinivasan, K.; Somayaji, C. An examination of regenerative organic Rankine cycles using dry fluids. Appl. Therm. Eng. 2008, 28, 998–1007. [Google Scholar] [CrossRef]
- Wei, D.H.; Lu, X.S.; Lu, Z.; Gu, J.M. Dynamic modeling and simulation of an organic Rankine cycle (ORC) system for waste heat recovery. Appl. Therm. Eng. 2008, 28, 1216–1224. [Google Scholar] [CrossRef]
- Wei, D.H.; Lu, X.S.; Lu, Z.; Gu, J.M. Performance analysis and optimization of organic Rankine cycle (ORC) for waste heat recovery. Energy Convers. Manag. 2007, 48, 1113–1119. [Google Scholar] [CrossRef]
- Chen, H.J.; Goswami, D.Y.; Stefanakos, E.K. A review of thermodynamic cycles and working fluids for the conversion of low-grade heat. Renew. Sustain. Energy Rev. 2010, 14, 3059–3067. [Google Scholar] [CrossRef]
- Drescher, U.; Bruggemann, D. Fluid selection for the organic Rankine cycle (ORC) in biomass power and heat plants. Appl. Therm. Eng. 2007, 27, 223–228. [Google Scholar] [CrossRef]
- Saleh, B.; Koglbauer, G.; Wendland, M.; Fischer, J. Working fluids for low temperature organic Rankine cycles. Energy 2007, 32, 1210–1221. [Google Scholar] [CrossRef]
- Liu, B.T.; Chien, K.; Wang, C. Effect of working fluids on organic Rankine cycle for waste heat recovery. Energy 2004, 29, 1207–1217. [Google Scholar] [CrossRef]
- Hung, T.C. Waste heat recovery of organic Rankine cycle using dry fluids. Energy Convers. Manag. 2001, 42, 539–553. [Google Scholar] [CrossRef]
- Hung, T.C.; Shai, T.Y.; Wang, S.K. A review of organic Rankine cycles (ORCs) for the recovery of low-grade waste heat. Energy 1997, 22, 661–667. [Google Scholar] [CrossRef]
- Lee, K.M.; Kuo, S.F.; Chien, M.L.; Shih, Y.S. Parameters analysis on organic Rankine cycle energy recovery system. Energy Convers. Manag. 1988, 28, 129–136. [Google Scholar] [CrossRef]
- Wang, Z.Q.; Zhou, N.J.; Guo, J.; Wang, X.Y. Fluid selection and parametric optimization of organic Rankine cycle using low temperature waste heat. Energy 2012, 40, 107–115. [Google Scholar] [CrossRef]
- Chen, Y.; Lundqvist, P.; Johansson, A.; Platell, P. A comparative study of the carbon dioxide transcritical power cycle compared with an organic Rankine cycle with R123 as working fluid in waste heat recovery. Appl. Therm. Eng. 2006, 26, 2142–2147. [Google Scholar] [CrossRef]
- Zhang, X.R.; Yamaguchi, H.; Uneno, D. Experimental study on the performance of solar Rankine system using supercritical CO2. Renew. Energy 2007, 32, 2617–2628. [Google Scholar] [CrossRef]
- Zhang, X.R.; Yamaguchi, H.; Uneno, D. Thermodynamic analysis of the CO2-based Rankine cycle powered by solar energy. Int. J. Energy Res. 2007, 31, 1414–1424. [Google Scholar] [CrossRef]
- Zhang, X.R.; Yamaguchi, H.; Fujima, K.; Enomoto, M.; Sawada, N. Theoretical analysis of a thermodynamic cycle for power and heat production using supercritical carbon dioxide. Energy 2007, 32, 591–599. [Google Scholar] [CrossRef]
- Karellas, S.; Schuster, A. Supercritical fluid parameters in organic Rankine cycle applications. Int. J. Thermodyn. 2008, 11, 101–108. [Google Scholar]
- Schuster, A.; Karellas, S.; Aumann, R. Efficiency optimization potential in supercritical organic Rankine cycles. Energy 2010, 35, 1033–1039. [Google Scholar] [CrossRef]
- Chen, H.J.; Goswami, D.Y.; Rahman, M.M.; Stefanakos, E.K. A supercritical Rankine cycle using zeotropic mixture working fluids for the conversion of low-grade heat into power. Energy 2011, 36, 549–555. [Google Scholar] [CrossRef]
- Karellas, S.; Schuster, A.; Leontaritis, A.D. Influence of supercritical ORC parameters on plate heat exchanger design. Appl. Therm. Eng. 2012, 33–34, 70–76. [Google Scholar]
- Pan, L.S.; Wang, H.X.; Shi, W.X. Performance analysis in near-critical conditions of organic Rankine cycle. Energy 2012, 37, 281–286. [Google Scholar] [CrossRef]
- Khennich, M.; Galanis, N. Optimal design of ORC systems with a low-temperature heat source. Entropy 2012, 14, 370–389. [Google Scholar] [CrossRef]
- Lakew, A.A.; Bolland, O. Working fluids for low-temperature heat source. Appl. Therm. Eng. 2010, 30, 1262–1268. [Google Scholar] [CrossRef]
- Quoilin, S.; Declaye, S.; Tchanche, B.F.; Lemort, V. Thermo-economic optimization of waste heat recovery organic Rankine cycles. Appl. Therm. Eng. 2011, 31, 2885–2893. [Google Scholar] [CrossRef]
- Dai, Y.P.; Wang, J.F.; Gao, L. Parametric optimization and comparative study of organic Rankine cycle (ORC) for low grade waste heat recovery. Energy Convers. Manag. 2009, 50, 576–582. [Google Scholar] [CrossRef]
- Guo, T.; Wang, H.X.; Zhang, S.J. Comparative analysis of CO2-based transcritical Rankine cycle and HFC245fa-based subcritical organic Rankine cycle using low-temperature geothermal source. Sci. China 2010, 53, 1638–1646. [Google Scholar] [CrossRef]
- He, C.; Liu, C.; Gao, H.; Xie, H.; Li, Y.R.; Wu, S.Y.; Xu, J.L. The optimal evaporation temperature and working fluids for subcritical organic Rankine cycle. Energy 2012, 38, 136–143. [Google Scholar] [CrossRef]
- Macchi, E.; Perdichizzi, A. Efficiency prediction for axial-flow turbines operating with non conventional fluids. J. Eng. Power Trans. ASME 1981, 103, 718–724. [Google Scholar] [CrossRef]
- McLinden, M.O. REFPROP, Version 7.1; NIST Standard Reference Database 23; The US Department of Commerce: Boulder, CO, USA, 2003. [Google Scholar]
© 2012 by the authors; licensee MDPI, Basel, Switzerland. This article is an open access article distributed under the terms and conditions of the Creative Commons Attribution license (http://creativecommons.org/licenses/by/3.0/).
Share and Cite
Gao, H.; Liu, C.; He, C.; Xu, X.; Wu, S.; Li, Y. Performance Analysis and Working Fluid Selection of a Supercritical Organic Rankine Cycle for Low Grade Waste Heat Recovery. Energies 2012, 5, 3233-3247. https://doi.org/10.3390/en5093233
Gao H, Liu C, He C, Xu X, Wu S, Li Y. Performance Analysis and Working Fluid Selection of a Supercritical Organic Rankine Cycle for Low Grade Waste Heat Recovery. Energies. 2012; 5(9):3233-3247. https://doi.org/10.3390/en5093233
Chicago/Turabian StyleGao, Hong, Chao Liu, Chao He, Xiaoxiao Xu, Shuangying Wu, and Yourong Li. 2012. "Performance Analysis and Working Fluid Selection of a Supercritical Organic Rankine Cycle for Low Grade Waste Heat Recovery" Energies 5, no. 9: 3233-3247. https://doi.org/10.3390/en5093233
APA StyleGao, H., Liu, C., He, C., Xu, X., Wu, S., & Li, Y. (2012). Performance Analysis and Working Fluid Selection of a Supercritical Organic Rankine Cycle for Low Grade Waste Heat Recovery. Energies, 5(9), 3233-3247. https://doi.org/10.3390/en5093233
