Estimation of State of Charge of Lithium-Ion Batteries Used in HEV Using Robust Extended Kalman Filtering
Abstract
:1. Introduction
2. Modeling of the Lithium-Ion Battery
2.1. Hysteresis Characteristics

| Test conditions | OCV after Charge (V) | OCV after Discharge (V) | Difference (mV) | Average OCV (V) |
|---|---|---|---|---|
| At room temperature, left at open-circuit state for 10 h | 3.979 | 3.955 | 24 | 3.967 |
2.2. Model Formulation

3. SOC Estimation Using Robust Extended Kalman Filtering
3.1. Robust State Estimation
- where , , , .
3.2. SOC Estimation Based on the Proposed Battery Model
- , ,

3.3. Analysis of the Effect of the Bias Vector on State Estimation

3.4. Determining the Bias Constant


3.5. Tuning of the Filter Gain Coefficient

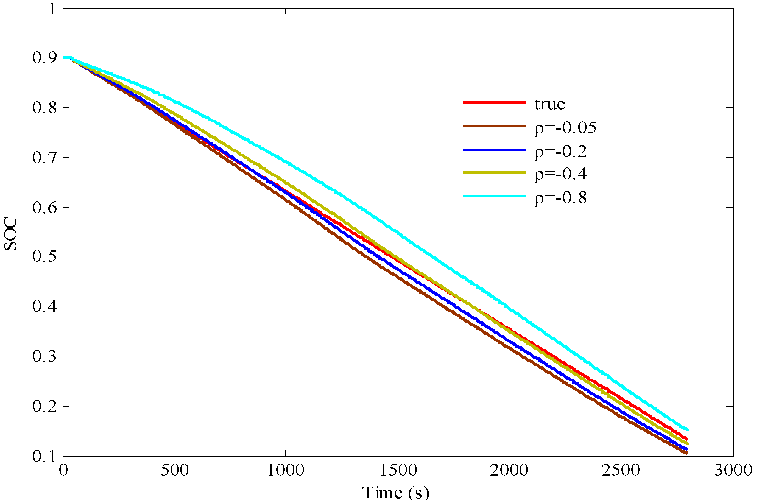
4. Results Discussion




5. Conclusions
Acknowledgments
Appendix A
References
- Piller, S.; Perrin, M.; Jossen, A. Methods for state-of-charge determination and their applications. J. Power Sources 2001, 96, 113–120. [Google Scholar] [CrossRef]
- Sato, S.; Kawamura, A. A New Estimation Method of State of Charge using Terminal Voltage and Internal Resistance for Lead Acid Battery. In Proceedings of 2002 IEEE International Conference on Power Conversion, Osaka, Japan, 2–5 April 2002.
- Soon, Ng.K.; Moo, C.S.; Chen, Y.P.; Hsieh, Y.C. Enhanced coulomb counting method for estimating stat-of-charge and state-of-health of lithium-ion batteries. Appl. Energy 2009, 86, 1506–1511. [Google Scholar] [CrossRef]
- Piller, S.; Perrin, M.; Jossen, A. Methods for state-of-charge determination and their applications. J. Power Sources 2001, 96, 113–120. [Google Scholar] [CrossRef]
- Shen, W.X. State of available capacity estimation for lead-acid batteries in electric vehicles using neural network. Energy Convers. Manag. 2007, 48, 433–442. [Google Scholar] [CrossRef]
- Cai, C.; Du, D.; Liu, Z.; Ge, J. State-of-charge (SOC) Estimation of High Power Ni-MH Rechargeable Battery with Artificial Neural Network. In Proceedings of 9th IEEE International Conference on Neural Information, Singapore, 18–22 November 2002.
- Grewal, M.S.; Andrews, A.P. Kalman Filtering, Theory and Practice; Prentice Hall: Upper Saddle River, NJ, USA, 1993. [Google Scholar]
- Plett, G.L. Extended Kalman filtering for battery management systems of LiPB-based HEV battery packs—Part 3: State and parameter estimation. J. Power Sources 2004, 134, 277–292. [Google Scholar] [CrossRef]
- Vasebi, A.; Bathaee, S.M.T.; Partovibakhsh, M. Predicting state of charge of lead-acid batteries for hybrid electric vehicles by extended Kalman filter. Energy Convers. Manag. 2008, 49, 75–82. [Google Scholar] [CrossRef]
- Han, J.; Kim, D.; Sunwoo, M. State-of-charge estimation of lead-acid batteries using an adaptive extended Kalman filtering. J. Power Sources 2009, 188, 606–612. [Google Scholar] [CrossRef]
- He, H.W.; Xiong, R.; Fan, J.X. Evaluation of lithium-ion battery equivalent circuit models for state of charge estimation by an experimental approach. Energies 2011, 4, 582–598. [Google Scholar] [CrossRef]
- Ta, K.P.; Newman, J. Proton intercalation hysteresis in charging and discharging nickel hydroxide electrodes. J. Electrochem. Soc. 1999, 146, 2769–2779. [Google Scholar] [CrossRef]
- Srinivasan, V.; Weidner, J.W.; Newman, J. Hysteresis during cycling of nickel hydroxide active material. J. Electrochem. Soc. 2001, 148, A969–A980. [Google Scholar] [CrossRef]
- Murray, J.J.; Sleigh, A.K.; Mckinnon, W.R. Heats and hysteresis in calorimetry of Li/LixMnO2 cells. Electrochim. Acta 1991, 36, 489–498. [Google Scholar] [CrossRef]
- Sleigh, A.K.; Murray, J.J.; Mckinnon, W.R. Memory effects due to phase conversion and hysteresis in Li/LixMnO2 cells. Electrochim. Acta 1991, 36, 1469–1474. [Google Scholar] [CrossRef]
- Zheng, T.; McKinnon, W.R.; Dahn, J.R. Hysteresis during lithium insertion in hydrogen- containing carbons. J. Electrochem. Soc. 1996, 143, 2137–2145. [Google Scholar] [CrossRef]
- Inaba, M.; Fujikawa, M.; Abe, T.; Ogumi, Z. Calorimetric study on the hysteresis in the charge-discharge profiles of mesocarbon microbeads heat-treated at low temperatures. J. Electrochem. Soc. 2000, 147, 4008–4012. [Google Scholar] [CrossRef]
- Zhang, C.P.; Zhang, C.N.; Liu, J.Z.; Sharkh, S.M. Identification of dynamic model parameters for lithium-ion batteries used in hybrid electric vehicles. High Technol. Lett. 2010, 16, 6–12. [Google Scholar] [CrossRef]
- Friedland, B. Treatment of bias in recursive filtering. IEEE Trans. Autom. Control 1969, AC-14, 359–367. [Google Scholar]
- Hsieh, C.S.; Chen, F.C. Optimal solution of the two-stage Kalman estimator. IEEE Trans. Autom. Control 1999, 44, 194–199. [Google Scholar] [CrossRef]
- Chen, F.C.; Hsieh, C.S. Optimal multistage Kalman estimators. IEEE Trans. Autom. Control 2000, 45, 2182–2188. [Google Scholar] [CrossRef]
- Hilairet, M.; Auger, F.; Berthelot, E. Speed and rotor flux estimation of induction machine using a two-stage extended Kalman filter. Automatica 2009, 45, 1819–1827. [Google Scholar] [CrossRef]
- Simon, D. Optimal State Estimation: Kalman, H Infinity, and Nonlinear Approaches; John Wiley &Sons: Hoboken, NJ, USA, 2006. [Google Scholar]
- Ignagni, M.B. Separate-bias Kalman estimator with bias state noise. IEEE Trans. Autom. Control. 1990, 35, 338–341. [Google Scholar] [CrossRef]
- Deng, Z. Self-Tuning Filtering Theory with Applications: Modern Time Series Analysis Method; Harbin Institute of Technology Press: Harbin, China, 2003. [Google Scholar]
- Frankin, G.F.; Powell, J.D.; Workman, M.L. Digital Control of Dynamic Systems; Addison-Wesley: Boston, MA, USA, 1998. [Google Scholar]
- Lu, X.J.; Lin, C.T.; Chen, Q.S.; Han, X. Comparison study of 3 types of battery models for electrical vehicle. Chin. J. Power Sources 2006, 130, 535–538. [Google Scholar]
© 2012 by the authors; licensee MDPI, Basel, Switzerland. This article is an open access article distributed under the terms and conditions of the Creative Commons Attribution license (http://creativecommons.org/licenses/by/3.0/).
Share and Cite
Zhang, C.; Jiang, J.; Zhang, W.; Sharkh, S.M. Estimation of State of Charge of Lithium-Ion Batteries Used in HEV Using Robust Extended Kalman Filtering. Energies 2012, 5, 1098-1115. https://doi.org/10.3390/en5041098
Zhang C, Jiang J, Zhang W, Sharkh SM. Estimation of State of Charge of Lithium-Ion Batteries Used in HEV Using Robust Extended Kalman Filtering. Energies. 2012; 5(4):1098-1115. https://doi.org/10.3390/en5041098
Chicago/Turabian StyleZhang, Caiping, Jiuchun Jiang, Weige Zhang, and Suleiman M. Sharkh. 2012. "Estimation of State of Charge of Lithium-Ion Batteries Used in HEV Using Robust Extended Kalman Filtering" Energies 5, no. 4: 1098-1115. https://doi.org/10.3390/en5041098
APA StyleZhang, C., Jiang, J., Zhang, W., & Sharkh, S. M. (2012). Estimation of State of Charge of Lithium-Ion Batteries Used in HEV Using Robust Extended Kalman Filtering. Energies, 5(4), 1098-1115. https://doi.org/10.3390/en5041098
