Fault Diagnosis Method for Transformer Winding Based on Differentiated M-Training Classification Optimized by White Shark Optimization Algorithm
Abstract
1. Introduction
2. M-Training Algorithm for Differentiated Classifiers
2.1. M-Training Algorithm Based on Differentiated Classifiers
2.1.1. Fundamentals of the M-Training Algorithm
2.1.2. Diversity of Base Classifiers
2.2. Base Classifier Based on WSO
2.3. Feature Extraction
2.4. Diagnostic Process Based on Differentiated M-Training Algorithm
3. Experimental Platform Construction and Model Training
3.1. Fault Simulation
3.2. Test Results
3.3. Model Training Results
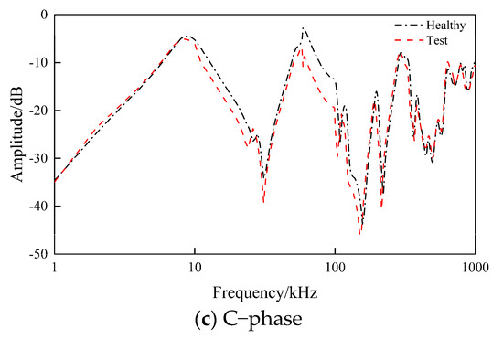
3.4. Live Case Study
4. Conclusions
- 1.
- Optimization of the base classifiers using WSO can improve the accuracy of the M-training algorithm by 8.92% and 8.17% in terms of fault type and degree identification.
- 2.
- The WSO-differentiated M-training algorithm proposed in this paper has an accuracy of 98.33% and 97.17% for the identification of transformer fault type and fault degree, respectively, which is a significant improvement compared to the identification effect of a single classifier, indicating that the method proposed in this paper is able to accurately diagnose transformer winding faults.
- 3.
- In the field test of the 110 kV transformer, under the actual noise and load variation, it was accurately judged that 5% AD appeared in the medium voltage side of winding phase C, and the overhaul results were consistent with the analysis results of the M-training algorithm, which verified the validity of the model in this paper.
Author Contributions
Funding
Data Availability Statement
Conflicts of Interest
Appendix A
References
- Hamzeh, M.; Vahidi, B. The Impact of Cyber Network Configuration on the Dynamic-thermal Failure of Transformers Considering Distributed Generator Controller. Int. J. Electr. Power Energy Syst. 2022, 137, 107786. [Google Scholar] [CrossRef]
- Yao, H.; Xu, Y.; Guo, Q.; Chen, S.; Lu, B.; Huang, Y. Study on Transformer Fault Diagnosisbased on Improved Deep Residual Shrinkage Network and Optimized Residual Variational Autoencoder. Energy Rep. 2025, 13, 1608–1619. [Google Scholar] [CrossRef]
- Zhao, X.; Yao, C.; Zhang, C.; Abu-Siada, A. Toward Reliable Interpretation of Power Transformer Sweep Frequency Impedance Signatures: Experimental Analysis. IEEE Electr. Insul. Mag. 2018, 34, 40–51. [Google Scholar] [CrossRef]
- Zhang, H.; Zhang, H.; Ma, Q.; Han, H.; Wang, S. Frequency Response Signature Analysis for Winding Mechanical Fault Detection of Power Transformer Using Sensitivity Method. Int. J. Appl. Electromagn. Mech. 2019, 61, 593–603. [Google Scholar] [CrossRef]
- IEC 60076-18:2012; Power Transformers—Part 18: Measurement of Frequency Response. IEC: Geneva, Switzerland, 2012.
- IEEE Standard C57.149-2012; IEEE Guide for the Application and Interpretation of Frequency Response Analysis for Oil-Immersed Transformers. IEEE: New York, NY, USA, 2013.
- Gustavsen, B.; Semlyen, A. Rational Approximation of Frequency Domain Responses by Vector Fitting. IEEE Trans. Power Deliv. 1999, 14, 1052–1061. [Google Scholar] [CrossRef]
- Samimi, M.; Tenbohlen, S.; Akmal, A.; Mohseni, H. Dismissing Uncertainties in the FRA Interpretation. IEEE Trans. Power Deliv. 2018, 33, 2041–2043. [Google Scholar] [CrossRef]
- Yousof, M.; Ekanayake, C.; Saha, T. Frequency Response Analysis to Investigate Deformation of Transformer Winding. IEEE Trans. Dielectr. Electr. Insul. 2015, 22, 2359–2367. [Google Scholar] [CrossRef]
- Zhao, Z.; Yao, C.; Saha, T.; Li, C.; Islam, S. Detection of Power Transformer Winding Deformation Using Improved FRA Based on Binary Morphology and Extreme Point Variation. IEEE Trans. Ind. Electron. 2018, 65, 3509–3519. [Google Scholar] [CrossRef]
- Zhou, L.; Jiang, J.; Zhou, X.; Wu, Z.; Lin, T.; Wang, D. Detection of Transformer Winding Faults Using FRA and Image Features. IET Electr. Power Appl. 2020, 14, 972–980. [Google Scholar] [CrossRef]
- Wang, G.; Qiu, S.; Xie, F.; Luo, T.; Song, Y.; Wang, S. Diagnosing Fault Types and Degrees of Transformer Winding Combining FRA Method With SOA-KELM. IEEE Access 2024, 12, 50287–50299. [Google Scholar] [CrossRef]
- Ghanizadeh, A.J.; Gharehpetian, G.B. ANN and Cross-correlation Based Features for Discrimination between Electrical and Mchanical Defects and Their Localization in Transformer Winding. IEEE Trans. Dielectr. Electr. Insul. 2014, 21, 2374–2382. [Google Scholar] [CrossRef]
- Wang, S.; Qiu, S.; Xie, F.; Yang, S.; Yu, K.; Li, T. Diagnosis of AD and DSV Winding Faults Based on FRA Method and Random Forest Algorithm. In Proceedings of the 4th IEEE International Conference on Electrical Materials and Power Equipment (ICEMPE), Shanghai, China, 7–10 May 2023. [Google Scholar] [CrossRef]
- Behkam, R.; Moradzadeh, A.; Karami, H.; Naderi, M.S.; Mohammadi-Ivatloo, B.; Gharehpetian, G.B.; Tenbohlen, S. Mechanical Fault Types Detection in Transformer Windings Using Interpretation of Frequency Responses via Multilayer Perceptron. J. Oper. Autom. Power Eng. 2023, 11, 11–21. [Google Scholar] [CrossRef]
- Hussan, U.; Wang, H.; Ayub, M.A.; Rasheed, H.; Majeed, M.A.; Peng, J.; Jiang, H. Decentralized Stochastic Recursive Gradient Method for Fully Decentralized OPF in Multi-Area Power Systems. Mathematics 2024, 12, 3064. [Google Scholar] [CrossRef]
- Ayub, M.A.; Hussan, U.; Rasheed, H.; Liu, Y.; Peng, J. Optimal energy management of MG for cost-effective operations and battery scheduling using BWO. Energy Rep. 2024, 12, 294–304. [Google Scholar] [CrossRef]
- Kearns, M.; Li, M. Learning in the Presence of Malicious Errors. Siam. J. Comput. 1993, 22, 807–837. [Google Scholar] [CrossRef]
- Sally, G.; Yan, Z. Enhancing Supervised Learning with Unlabeled Data. In Proceedings of the Seventeenth International Conference on Machine learning (ECML 2000), Stanford, CA, USA, 29 June–2 July 2000. [Google Scholar]
- Pengfei, J.; Tailai, H.; Shukai, D.; Lingpu, G.; Jia, Y.; Lidan, W. A Novel Semi-Supervised Electronic Nose Learning Technique: M-Training. Sensors 2016, 16, 370. [Google Scholar] [CrossRef]
- Efeoglu, E.; Tuna, G. Machine Learning for Predictive Maintenance: Support Vector Machines and Different Kernel Functions. J. Mach. Manuf. Reliab. 2022, 51, 447–456. [Google Scholar] [CrossRef]
- Xiong, W.; Yu, G.; Ma, J.; Liu, S. A Novel Robust Adaptive Subspace Learning Framework for Dimensionality Reduction. Appl. Intell. 2024, 54, 8939–8967. [Google Scholar] [CrossRef]
- Shabani, S.; Samadianfard, S.; Sattari, M.T.; Mosavi, A.; Shamshirband, S.; Kmet, T.; Varkonyi-Koczy, A.R. Modeling Pan Evaporation Using Gaussian Process Regression K-Nearest Neighbors Random Forest and Support Vector Machines; Comparative Analysis. J. Mach. Manuf. Reliab. 2020, 11, 66. [Google Scholar] [CrossRef]
- Ali, A.K. An Optimal Design for An Automatic Voltage Regulation System Using a Multivariable PID Controller Based on Hybrid Simulated Annealing-White Shark Optimization. Sci. Rep. 2024, 14, 30218. [Google Scholar] [CrossRef]
- Hashemnia, N.; Abu-Siada, A.; Islam, S. Improved Power Transformer Winding Fault Detection Using FRA Diagnostics? Part 1: Axial Displacement Simulation. IEEE Trans. Dielectr. Electr. Insul. 2015, 22, 556–563. [Google Scholar] [CrossRef]
- Abu-Siada, A.; Hashemnia, N.; Islam, S.; Masoum, M.A.S. Understanding Power Transformer Frequency Response Analysis Signatures. IEEE Electri. Insul. Mag. 2013, 29, 48–56. [Google Scholar] [CrossRef]
- Kebalepile, M.M.; Chakane, P.M. Commonly Used Statistical Tests and Their Application. S. Afr. J. Anaesth 2022, 28, S80–S84. [Google Scholar] [CrossRef]













| Ordinal Number | Thread Cake Position | Degree of Displacement/% | Ordinal Number | Thread Cake Position | Degree of Displacement/% |
|---|---|---|---|---|---|
| 1 | 1, 2 | 1 | 9 | 8, 9 | 4 |
| 2 | 1, 2 | 2 | 10 | 8, 9 | 5 |
| 3 | 1, 2 | 3 | 11 | 15, 16 | 1 |
| 4 | 1, 2 | 4 | 12 | 15, 16 | 2 |
| 5 | 1, 2 | 5 | 13 | 15, 16 | 3 |
| 6 | 8, 9 | 1 | 14 | 15, 16 | 4 |
| 7 | 8, 9 | 2 | 15 | 15, 16 | 5 |
| 8 | 8, 9 | 3 |
| Ordinal Number | Thread Cake Position | Ordinal Number | Thread Cake Position |
|---|---|---|---|
| 1 | 1, 2 | 6 | 6, 9 |
| 2 | 1, 3 | 7 | 16, 15 |
| 3 | 1, 4 | 8 | 16, 14 |
| 4 | 6, 7 | 9 | 16, 13 |
| 5 | 6, 8 |
| Ordinal Number | Thread Cake Position | Capacitance/pF | Ordinal Number | Thread Cake Position | Capacitance/pF |
|---|---|---|---|---|---|
| 1 | 1, 2 | 100 | 9 | 8, 9 | 470 |
| 2 | 1, 2 | 220 | 10 | 8, 9 | 680 |
| 3 | 1, 2 | 330 | 11 | 15, 16 | 330 |
| 4 | 1, 2 | 470 | 12 | 15, 16 | 470 |
| 5 | 1, 2 | 680 | 13 | 15, 16 | 680 |
| 6 | 8, 9 | 100 | 14 | 15, 16 | 100 |
| 7 | 8, 9 | 220 | 15 | 15, 16 | 220 |
| 8 | 8, 9 | 330 |
| Model | Base Classifier | Optimization Parameters | |
|---|---|---|---|
| Fault Recognition M-training | RF1 | ntrees | 49 |
| mtry | 7 | ||
| RF2 | ntrees | 58 | |
| mtry | 7 | ||
| SVM | δ | 1.3779 | |
| C | 1.4793 | ||
| KNN | K | 23 | |
| Degree Recognition M-training | RF1 | ntrees | 51 |
| mtry | 7 | ||
| RF2 | ntrees | 47 | |
| mtry | 7 | ||
| SVM | δ | 3.2069 | |
| C | 10.3954 | ||
| KNN | K | 27 | |
| M-Training | Accuracy/% | ||||
|---|---|---|---|---|---|
| Normal | AD | SC | SCV | Average | |
| Pre-optimization | 100 | 91.55 | 86.29 | 88.44 | 89.41 |
| Post-optimization | 100 | 98.00 | 98.51 | 98.44 | 98.33 |
| M-Training | Accuracy/% | ||||||
|---|---|---|---|---|---|---|---|
| Normal | 1% | 2% | 3% | 4% | 5% | Average | |
| Pre-optimization | 100 | 87.78 | 85.19 | 91.11 | 89.44 | 91.11 | 89.00 |
| Post-optimization | 100 | 95.93 | 97.41 | 98.15 | 96.11 | 97.78 | 97.17 |
| Sorter | Accuracy/% | ||||
| Normal | AD | SC | SCV | Average | |
| M-training | 100 | 98.00 | 98.51 | 98.44 | 98.33 |
| RF | 100 | 93.55 | 93.33 | 91.33 | 92.83 |
| RFs | 100 | 94.89 | 94.27 | 93.16 | 94.11 |
| SVM | 100 | 89.55 | 91.85 | 86.22 | 89.08 |
| KNN | 100 | 83.11 | 91.48 | 79.33 | 83.91 |
| Sorter | Accuracy/% | ||||||
|---|---|---|---|---|---|---|---|
| Normal | 1% | 2% | 3% | 4% | 5% | Average | |
| M-training | 100 | 95.93 | 97.41 | 98.15 | 96.11 | 97.78 | 97.17 |
| RF | 100 | 91.85 | 94.44 | 93.70 | 90.56 | 91.67 | 92.83 |
| RFs | 100 | 93.78 | 95.16 | 94.59 | 93.06 | 92.28 | 93.77 |
| SVM | 100 | 90.37 | 89.63 | 87.04 | 89.44 | 88.33 | 89.25 |
| KNN | 100 | 81.85 | 80.74 | 84.81 | 83.89 | 80.56 | 82.83 |
| Parameters | Data | ||
|---|---|---|---|
| Rated Capacity/kVA | 40,000 | ||
| Linkage Group Labeling | YNyn0d11 | ||
| Rated Voltage/kV | 110 | 35 | 10 |
| Rated Current/A | 363 | 1142 | 4000 |
Disclaimer/Publisher’s Note: The statements, opinions and data contained in all publications are solely those of the individual author(s) and contributor(s) and not of MDPI and/or the editor(s). MDPI and/or the editor(s) disclaim responsibility for any injury to people or property resulting from any ideas, methods, instructions or products referred to in the content. |
© 2025 by the authors. Licensee MDPI, Basel, Switzerland. This article is an open access article distributed under the terms and conditions of the Creative Commons Attribution (CC BY) license (https://creativecommons.org/licenses/by/4.0/).
Share and Cite
Qian, G.; Yang, K.; Hu, J.; Liu, H.; He, S.; Zou, D.; Dai, W.; Wang, H.; Wang, D. Fault Diagnosis Method for Transformer Winding Based on Differentiated M-Training Classification Optimized by White Shark Optimization Algorithm. Energies 2025, 18, 2290. https://doi.org/10.3390/en18092290
Qian G, Yang K, Hu J, Liu H, He S, Zou D, Dai W, Wang H, Wang D. Fault Diagnosis Method for Transformer Winding Based on Differentiated M-Training Classification Optimized by White Shark Optimization Algorithm. Energies. 2025; 18(9):2290. https://doi.org/10.3390/en18092290
Chicago/Turabian StyleQian, Guochao, Kun Yang, Jin Hu, Hongwen Liu, Shun He, Dexu Zou, Weiju Dai, Haozhou Wang, and Dongyang Wang. 2025. "Fault Diagnosis Method for Transformer Winding Based on Differentiated M-Training Classification Optimized by White Shark Optimization Algorithm" Energies 18, no. 9: 2290. https://doi.org/10.3390/en18092290
APA StyleQian, G., Yang, K., Hu, J., Liu, H., He, S., Zou, D., Dai, W., Wang, H., & Wang, D. (2025). Fault Diagnosis Method for Transformer Winding Based on Differentiated M-Training Classification Optimized by White Shark Optimization Algorithm. Energies, 18(9), 2290. https://doi.org/10.3390/en18092290

