A Comprehensive Review of Solar PV Integration with Smart-Grids: Challenges, Standards, and Grid Codes
Abstract
1. Introduction
- (1)
- Techno-Economic Analysis of Renewable based Grid Architectures: An evaluation of AC, DC, and smart grids focuses on their costs, efficiency, stability, and scalability. Smart grids, augmented by AI and IoT, refine energy management, guaranteeing economical and sustainable integration of renewables.
- (2)
- Innovations in a Renewable-Driven World: Innovations in a renewable-driven world include advanced solar PV systems, energy storage systems, and smart grids. Technologies like digital twins, AI, machine learning, and blockchain enhance energy optimization, predictive maintenance, and secure energy transactions, driving the transition to sustainable energy.
- (3)
- Challenges in PV integration to the Grid: PV integration challenges include intermittency, voltage fluctuations, frequency instability, harmonics, reverse power flow, grid congestion, and the need for energy storage and infrastructure upgrades to ensure stable operation.
- (4)
- Role of Regulatory Bodies and Grid Codes: Reviews the involvement of both local and international regulatory bodies in establishing grid codes aimed at addressing challenges specific to grid-connected solar PV systems, such as stability and compatibility issues.
2. Modern Power Grids: Challenges and Innovations in a Renewable-Driven World
2.1. Introduction
2.2. Architectures of Power Grid
2.2.1. Conventional Grid
2.2.2. AC Microgrid
2.2.3. DC Microgrid
2.2.4. Smart Grid
3. Challenges in Solar PV Integration with the Power Grid
3.1. Introduction
3.2. Voltage Fluctuations
3.3. Output Power Prediction
3.4. Frequency Variations
3.5. Reactive Power Compensation
3.6. Impacts of Harmonics/Power Quality
3.7. Angular Stability
3.8. Other Challenges
4. Global Standards and Grid Codes for Solar PV Integration into Power Grid
4.1. Introduction
4.2. Grid Codes
4.2.1. Steady-State Requirements
- i.
- Voltage ControlPV power stations must maintain grid voltage within specified limits.
- Reactive Power Support: Advanced inverters are required to provide or absorb reactive power based on grid conditions. Grid codes often define reactive power capability curves to ensure voltage stability.
- Voltage Droop Control: This technique allows PV systems to adjust their output voltage dynamically in response to grid voltage deviations.
- ii.
- Frequency ControlAlthough PV systems lack inherent inertia like traditional generators, they must contribute to frequency regulation:
- Primary Frequency Control: PV systems can adjust active power output during frequency fluctuations, either by curtailing generation or using stored energy.
- Secondary Frequency Control: Some advanced grid codes require PV systems to participate in long-term frequency restoration processes.
- iii.
- Power Factor RegulationMaintaining a specified power factor is crucial for efficient energy transfer and reducing losses.
- Range Specification: Grid codes typically require PV systems to operate within a defined power factor range (e.g., 0.95 lagging to 0.95 leading).
- Dynamic Adjustments: Advanced inverters allow real-time adjustment of power factor based on grid conditions.
- iv.
- Harmonic Distortion MitigationPV inverters must comply with limits on Total Harmonic Distortion (THD) to avoid adversely affecting power quality.
- Filter Design: Harmonics are minimized through the use of active and passive filters integrated into inverter systems.
- Compliance with Standards: Grid codes reference standards such as IEEE 519 or IEC 61000-3 for harmonic limits.
- v.
- Active Power CurtailmentDuring scenarios of excess generation, PV systems must have the capability to reduce their output to balance grid supply and demand.
- Automatic Curtailment: Advanced grid codes require inverters to respond automatically to signals from grid operators.
- Reserve Power: Some systems are designed to reserve a portion of their capacity for grid support during disturbances.
4.2.2. Transient Requirements
- i.
- fault ride-through (FRT)FRT capabilities allow PV systems to remain connected during voltage disturbances, preventing cascading failures.
- Low-Voltage Ride-Through (LVRT): PV systems must continue operation during voltage sags, providing reactive power to support grid recovery.
- High-Voltage Ride-Through (HVRT): During temporary voltage spikes, PV systems must avoid disconnection unless safety is compromised.
- ii.
- Dynamic Frequency SupportGrid codes increasingly require PV systems to mimic the inertia provided by traditional generators:
- Synthetic Inertia: Advanced inverters can emulate inertial responses by adjusting active power output during frequency deviations.
- Fast Frequency Response (FFR): PV systems are expected to react quickly to frequency changes, stabilizing the grid before traditional resources respond.
- iii.
- Voltage Recovery SupportAfter fault clearance, PV systems must assist in restoring grid voltage levels.
- Post-Fault Reactive Power Injection: Grid codes often mandate reactive power injection during recovery to stabilize voltages.
- Active Power Ramp-Up: PV systems must ramp up their active power output in a controlled manner to avoid additional disturbances.
- iv.
- Synchronization and Islanding DetectionPV inverters must ensure seamless synchronization with the grid during reconnection and detect islanding conditions to prevent unsafe operations.
- Phase-Locked Loops (PLLs): Used for precise synchronization with grid voltage and frequency.
- Islanding Protection: Advanced algorithms detect unintentional islanding and disconnect the PV system to ensure safety and compliance.
4.2.3. Reactive Power Support
- Fixed Reactive Power: Maintaining a constant reactive power output.
- Fixed Power Factor: Operating at a predetermined PF regardless of active power output.
- Q-V Droop Control: Adjusting reactive power based on voltage deviations at the POC.
- Photovoltaic systems with a capacity of less than 1.5 MW are required to incorporate reactive power control functions, including fixed Q, fixed PF, and automatic PF control, which adjusts based on the active power output.
- Photovoltaic plants exceeding 1.5 MW are required to implement fixed Q, fixed PF, and Q-V droop control mechanisms.
Voltage Magnitudes and Thresholds
- Voltage thresholds are established as the permissible operating ranges for voltage at the point of common coupling (PCC). These generally encompass constraints for nominal voltage, along with elevated and reduced thresholds that necessitate corrective measures when exceeded.
- For instance, certain standards delineate typical operating ranges of ±10% of the nominal voltage, alongside supplementary thresholds for extreme conditions that necessitate immediate disconnection or other protective measures.
Frequency Magnitudes and Thresholds
- Frequency thresholds pertain to variations from the standard grid frequency (for instance, 50 Hz or 60 Hz). The frequency ranges that are considered acceptable are typically narrow to ensure synchrony between distributed energy resources and the grid.
- Grid codes can specify “narrow” and “wide” frequency bands for standard operation and emergency situations, along with the associated requirements for DER response.
Trip Times
- The duration of trips determines the speed at which distributed energy resources must detach from the grid or react to voltage and frequency fluctuations that exceed established limits.
- A prompt response is essential to avert cascading failures, whereas a delayed disconnection is frequently advocated for minor deviations to enhance grid stability during transient events.
- For instance, regulations might mandate prompt disconnection in cases of significant overvoltage (e.g., >120% of nominal voltage) or permit prolonged operation at diminished power output during moderate underfrequency occurrences.
Voltage Magnitude and Its Significance in LV PV Systems
4.2.4. Power Quality Requirement
4.2.5. Transient Requirements in Grid Code
Fault Ride Through (FRT)
Low-Voltage Ride-Through (LVRT) Requirement for Distribution Grids
Zero Voltage Ride-Through (ZVRT)
- 1.
- Italy
- 2.
- Germany
- 3.
- Spain
- 4.
- Australia
Significance of ZVRT Requirements
High-Voltage Ride-Through (HVRT)
4.3. Frequency Support
- The rate of change of frequency (ROCOF): The time derivative of the system frequency (df/dt), serving to quantify the initial rate of frequency deviation that occurs after a disturbance.
- Frequency nadir: The lowest frequency value attained during the transient phase, affected by system inertia and primary frequency response [247].
- Steady-state frequency deviation: The peak frequency variation at which the system reaches stability following a notable power imbalance, defined by the quantity of PFR provided within a designated timeframe.
4.4. Dynamic Voltage Support
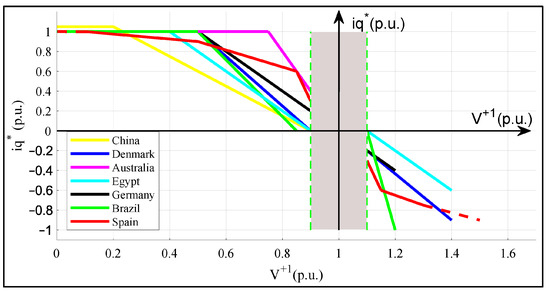
4.5. Dynamic Reactive Current Injection
4.5.1. Power Factor Capabilities
4.5.2. Power Factor Requirements Across Standards
- The International Standard IEEE 929 and the Indian standard “Gazette of India: Part III—Sec.4” establish a wider range of ±0.85 for the power factor, providing greater flexibility in the operation of PV systems.
- Many other standards impose more stringent thresholds, generally within a ±0.95 range. This facilitates improved management of reactive power contributions from photovoltaic systems, thereby strengthening grid stability and reducing voltage fluctuations.
- Rated Active or Apparent Power: The German standard VDE-AR-N 4105 modifies power factor requirements according to the rated capacity of the photovoltaic system. Larger systems are compelled to comply with more stringent regulations because of their considerable influence on the grid.
- Location and Commissioning Date: The Indian standard “Gazette of India: Part III—Sec.4” takes into account the geographical location of the PV system as well as the year it commenced operation, focusing on regional grid conditions and the development of technical standards over time.
4.5.3. Injection and Absorption of Reactive Power
- The German standard BDEW requires that PV systems deliver reactive power at all active power output levels, thereby guaranteeing consistent voltage support under varying operating conditions.
- The British standards G59 and G83 stipulate that reactive power support is necessary solely when the PV system functions at its rated power. This more flexible approach streamlines the criteria for smaller systems or those with restricted reactive power capabilities.
4.5.4. Active Power Dependency and Operational Flexibility
- In Germany, regulations permit reactive power injection at any active power level, allowing PV systems to assist the grid even when operating at partial load or in idle mode.
- In the UK, standards emphasize reactive power support solely during peak active power output. This approach simplifies operations but may restrict contributions to voltage stabilization in low-load situations.
4.5.5. Dynamic Capabilities of Solar PV Systems
- Address voltage fluctuations resulting from changes in active and reactive power flows.
- Mitigate voltage fluctuations that may jeopardize grid stability or lead to disconnections.
- Improve the robustness of the grid in the face of disruptions, including faults or voltage sags.
4.5.6. Global Relevance
- In the event of faults, the majority of grid codes permit photovoltaic systems to function with no active power output, as long as the reactive current injection criteria are satisfied. Nonetheless, as long as the nominal power of the inverters remains within limits, photovoltaic systems can persist in supplying active power to the grid, thereby enhancing stability.
- The inconsistencies in grid codes underscore the necessity for unified and thorough guidelines that encompass both reactive and active power contributions from photovoltaic systems.
4.6. Synchronization and Islanding Capabilities
5. Conclusions
Author Contributions
Funding
Conflicts of Interest
References
- IEA. Intenational Energy Agency 2024. 2024. Available online: https://www.iea.org/reports/world-energy-outlook-2024 (accessed on 22 October 2024).
- Kroposki, B.; Martin, G. Hybrid renewable energy and microgrid research work at NREL. In Proceedings of the IEEE PES General Meeting, Minneapolis, MN, USA, 25–29 July 2010. [Google Scholar]
- Farhoodnea, M.; Mohamed, A.; Shareef, H.; Zayandehroodi, H. Power quality impacts of high-penetration electric vehicle stations and renewable energy-based generators on power distribution systems. Measurement 2013, 46, 2423–2434. [Google Scholar]
- Babu, N. Adaptive grid-connected inverter control schemes for power quality enrichment in microgrid systems: Past, present, and future perspectives. Electr. Power Syst. Res. 2024, 230, 110288. [Google Scholar]
- Badwawi, R.A.; Abusara, M.; Mallick, T. A review of hybrid solar PV and wind energy system. Smart Sci. 2015, 3, 127–138. [Google Scholar]
- Oyekale, J.; Petrollese, M.; Tola, V.; Cau, G. Impacts of Renewable Energy Resources on Effectiveness of Grid-Integrated Systems: Succinct Review of Current Challenges and Potential Solution Strategies. Energies 2020, 13, 4856. [Google Scholar] [CrossRef]
- Kjaer, S.B.; Pedersen, J.K.; Blaabjerg, F. A review of single-phase grid-connected inverters for photovoltaic modules. IEEE Trans. Ind. Appl. 2005, 41, 1292–1306. [Google Scholar]
- Villalva, M.G.; Siqueira, T.G.d.; Ruppert, E. Voltage regulation of photovoltaic arrays: Small-signal analysis and control design. IET Power Electron. 2010, 3, 869–880. [Google Scholar] [CrossRef]
- Dogga, R.; Pathak, M. Recent trends in solar PV inverter topologies. Sol. Energy 2019, 183, 57–73. [Google Scholar]
- Xiao, H. Overview of transformerless photovoltaic grid-connected inverters. IEEE Trans. Power Electron. 2020, 36, 533–548. [Google Scholar]
- International Renewable Energy Agency IRENA. Renewable Capacity Statistics 2022; International Renewable Energy Agency IRENA: Abu Dhabi, United Arab Emirates, 2022. [Google Scholar]
- Alami, A.H.; Rabaia, M.K.H.; Sayed, E.T.; Ramadan, M.; Abdelkareem, M.A.; Alasad, S.; Olabi, A.-G. Management of potential challenges of PV technology proliferation. Sustain. Energy Technol. Assess. 2022, 51, 101942. [Google Scholar]
- Gupta, V.; Sharma, M.; Pachauri, R.K.; Babu, K.D. Comprehensive review on effect of dust on solar photovoltaic system and mitigation techniques. Sol. Energy 2019, 191, 596–622. [Google Scholar]
- Darwish, Z.A.; Kazem, H.A.; Sopian, K.; Al-Goul, M.; Alawadhi, H. Effect of dust pollutant type on photovoltaic performance. Renew. Sustain. Energy Rev. 2015, 41, 735–744. [Google Scholar]
- Costa, S.C.; Diniz, A.S.A.; Kazmerski, L.L. Dust and soiling issues and impacts relating to solar energy systems: Literature review update for 2012–2015. Renew. Sustain. Energy Rev. 2016, 63, 33–61. [Google Scholar]
- Hasanuzzaman, M.; Malek, A.; Islam, M.; Pandey, A.; Rahim, N. Global advancement of cooling technologies for PV systems: A review. Sol. Energy 2016, 137, 25–45. [Google Scholar]
- Reddy, S.R.; Ebadian, M.A.; Lin, C.-X. A review of PV–T systems: Thermal management and efficiency with single phase cooling. Int. J. Heat Mass Transf. 2015, 91, 861–871. [Google Scholar]
- Fang, S.; Wang, Y.; Gou, B.; Xu, Y. Toward Future Green Maritime Transportation: An Overview of Seaport Microgrids and All-Electric Ships. IEEE Trans. Veh. Technol. 2020, 69, 207–219. [Google Scholar] [CrossRef]
- Scolaro, E.; Beligoj, M.; Estevez, M.P.; Alberti, L.; Renzi, M.; Mattetti, M. Electrification of Agricultural Machinery: A Review. IEEE Access 2021, 9, 164520–164541. [Google Scholar] [CrossRef]
- Jones, R.; Haley, B.; Kwok, G.; Hargreaves, J.; Williams, J. Electrification and the Future of Electricity Markets: Transitioning to a Low-Carbon Energy System. IEEE Power Energy Mag. 2018, 16, 79–89. [Google Scholar] [CrossRef]
- Deng, B.; Wang, Z. Research on electric-vehicle charging station technologies based on smart grid. In Proceedings of the Asia-Pacific Power and Energy Engineering Conference, Wuhan, China, 25–28 March 2011. [Google Scholar]
- Xie, F.; Huang, M.; Zhang, W.; Li, J. Research on electric vehicle charging station load forecasting. In Proceedings of the 2011 International Conference on Advanced Power System Automation and Protection, Beijing, China, 16–20 October 2011. [Google Scholar]
- Shen, X.; Zhao, H.; Xiang, Y.; Lan, P.; Liu, J. Short-term electric vehicles charging load forecasting based on deep learning in low-quality data environments. Electr. Power Syst. Res. 2022, 212, 108247. [Google Scholar] [CrossRef]
- Khan, F.N.U.; Rasul, M.G.; Sayem, A.; Mandal, N.K. Design and optimization of lithium-ion battery as an efficient energy storage device for electric vehicles: A comprehensive review. J. Energy Storage 2023, 71, 108033. [Google Scholar]
- Liu, X.; Bie, Z. Optimal allocation planning for public EV charging station considering AC and DC integrated chargers. Energy Procedia 2019, 159, 382–387. [Google Scholar]
- Campaña, M.; Inga, E. Optimal Planning of Electric Vehicle Charging Stations Considering Traffic Load for Smart Cities. World Electr. Veh. J. 2023, 14, 104. [Google Scholar] [CrossRef]
- Bajaj, M.; Singh, A.K. Grid integrated renewable DG systems: A review of power quality challenges and state-of-the-art mitigation techniques. Int. J. Energy Res. 2020, 44, 26–69. [Google Scholar]
- Hossain, E.; Tür, M.R.; Padmanaban, S.; Ay, S.; Khan, I. Analysis and mitigation of power quality issues in distributed generation systems using custom power devices. IEEE Access 2018, 6, 16816–16833. [Google Scholar]
- Mahela, O.P.; Shaik, A.G. A review of distribution static compensator. Renew. Sustain. Energy Rev. 2015, 50, 531–546. [Google Scholar]
- Akagi, H. Active harmonic filters. Proc. IEEE 2005, 93, 2128–2141. [Google Scholar]
- Sreenivasarao, D.; Agarwal, P.; Das, B. Neutral current compensation in three-phase, four-wire systems: A review. Electr. Power Syst. Res. 2012, 86, 170–180. [Google Scholar]
- Ulbig, A.; Borsche, T.S.; Andersson, G. Impact of low rotational inertia on power system stability and operation. IFAC Proc. Vol. 2014, 47, 7290–7297. [Google Scholar]
- Jiang, Y.; Pates, R.; Mallada, E. Performance tradeoffs of dynamically controlled grid-connected inverters in low inertia power systems. In Proceedings of the 2017 IEEE 56th Annual Conference on Decision and Control (CDC), Melbourne, Australia, 12–15 December 2017. [Google Scholar]
- Nwaigwe, K.; Mutabilwa, P.; Dintwa, E. An overview of solar power (PV systems) integration into electricity grids. Mater. Sci. Energy Technol. 2019, 2, 629–633. [Google Scholar]
- Tran, V.T.; Islam, M.R.; Sutanto, D.; Muttaqi, K.M. Mitigation of solar PV intermittency using ramp-rate control of energy buffer unit. IEEE Trans. Energy Convers. 2018, 34, 435–445. [Google Scholar]
- Batalla-Bejerano, J.; Trujillo-Baute, E. Impacts of intermittent renewable generation on electricity system costs. Energy Policy 2016, 94, 411–420. [Google Scholar]
- Kaewnukultorn, T.; Sepúlveda-Mora, S.B.; Hegedus, S. The impacts of DC/AC ratio, battery dispatch, and degradation on financial evaluation of bifacial PV+BESS systems. Renew. Energy 2024, 236, 121402. [Google Scholar] [CrossRef]
- Tan, K.M.; Babu, T.S.; Ramachandaramurthy, V.K.; Kasinathan, P.; Solanki, S.G.; Raveendran, S.K. Empowering smart grid: A comprehensive review of energy storage technology and application with renewable energy integration. J. Energy Storage 2021, 39, 102591. [Google Scholar]
- Mitali, J.; Dhinakaran, S.; Mohamad, A. Energy storage systems: A review. Energy Storage Sav. 2022, 1, 166–216. [Google Scholar]
- Hannan, M.A.; Wali, S.; Ker, P.J.; Abd Rahman, M.S.; Mansor, M.; Ramachandaramurthy, V.; Muttaqi, K.; Mahlia, T.M.I.; Dong, Z.Y. Battery energy-storage system: A review of technologies, optimization objectives, constraints, approaches, and outstanding issues. J. Energy Storage 2021, 42, 103023. [Google Scholar]
- Nadeem, F.; Hussain, S.S.; Tiwari, P.K.; Goswami, A.K.; Ustun, T.S. Comparative review of energy storage systems, their roles, and impacts on future power systems. IEEE Access 2018, 7, 4555–4585. [Google Scholar]
- Niaz, S.; Manzoor, T.; Pandith, A.H. Hydrogen storage: Materials, methods and perspectives. Renew. Sustain. Energy Rev. 2015, 50, 457–469. [Google Scholar] [CrossRef]
- Zhong, C.; Zhou, Y.; Yan, G. A Novel Frequency Regulation Strategy for a PV System Based on the Curtailment Power-Current Curve Tracking Algorithm. IEEE Access 2020, 8, 77701–77715. [Google Scholar] [CrossRef]
- Deguenon, L.; Yamegueu, D.; Moussa kadri, S.; Gomna, A. Overcoming the challenges of integrating variable renewable energy to the grid: A comprehensive review of electrochemical battery storage systems. J. Power Sources 2023, 580, 233343. [Google Scholar] [CrossRef]
- Guarino, F.; Cassarà, P.; Longo, S.; Cellura, M.; Ferro, E. Load match optimisation of a residential building case study: A cross-entropy based electricity storage sizing algorithm. Appl. Energy 2015, 154, 380–391. [Google Scholar]
- Singaravel, M.R.; Daniel, S.A. Studies on battery storage requirement of PV fed wind-driven induction generators. Energy Convers. Manag. 2013, 67, 34–43. [Google Scholar]
- ur Rehman, H.; Reda, F.; Paiho, S.; Hasan, A. Towards positive energy communities at high latitudes. Energy Convers. Manag. 2019, 196, 175–195. [Google Scholar] [CrossRef]
- Syed, M.M.; Hansen, P.; Morrison, G.M. Performance of a shared solar and battery storage system in an Australian apartment building. Energy Build. 2020, 225, 110321. [Google Scholar] [CrossRef]
- Kalghatgi, G. Is it really the end of internal combustion engines and petroleum in transport? Appl. Energy 2018, 225, 965–974. [Google Scholar] [CrossRef]
- Bhatt, A.; Ongsakul, W. Optimal techno-economic feasibility study of net-zero carbon emission microgrid integrating second-life battery energy storage system. Energy Convers. Manag. 2022, 266, 115825. [Google Scholar] [CrossRef]
- Kabalci, E. A smart monitoring infrastructure design for distributed renewable energy systems. Energy Convers. Manag. 2015, 90, 336–346. [Google Scholar] [CrossRef]
- Kabalci, E.; Kabalci, Y. A wireless metering and monitoring system for solar string inverters. Int. J. Electr. Power Energy Syst. 2018, 96, 282–295. [Google Scholar] [CrossRef]
- Kabalci, Y.; Kabalci, E. Modeling and analysis of a smart grid monitoring system for renewable energy sources. Sol. Energy 2017, 153, 262–275. [Google Scholar] [CrossRef]
- Bughneda, A.; Salem, M.; Richelli, A.; Ishak, D.; Alatai, S. Review of Multilevel Inverters for PV Energy System Applications. Energies 2021, 14, 1585. [Google Scholar] [CrossRef]
- Zeb, K.; Khan, I.; Uddin, W.; Khan, M.A.; Sathishkumar, P.; Busarello, T.D.C.; Ahmad, I.; Kim, H.J. A Review on Recent Advances and Future Trends of Transformerless Inverter Structures for Single-Phase Grid-Connected Photovoltaic Systems. Energies 2018, 11, 1968. [Google Scholar] [CrossRef]
- Boscaino, V.; Ditta, V.; Marsala, G.; Panzavecchia, N.; Tine, G.; Cosentino, V.; Cataliotti, A.; Di Cara, D. Grid-connected photovoltaic inverters: Grid codes, topologies and control techniques. Renew. Sustain. Energy Rev. 2024, 189, 113903. [Google Scholar] [CrossRef]
- Kuyper, J.; Schroeder, H.; Linnér, B.-O. The Evolution of the UNFCCC. Annu. Rev. Environ. Resour. 2018, 43, 343–368. [Google Scholar] [CrossRef]
- Savaresi, A. The Paris Agreement: A new beginning? J. Energy Nat. Resour. Law 2016, 34, 16–26. [Google Scholar]
- Haghighi, R.; Yektamoghadam, H.; Dehghani, M.; Nikoofard, A. Generation expansion planning using game theory approach to reduce carbon emission: A case study of Iran. Comput. Ind. Eng. 2021, 162, 107713. [Google Scholar] [CrossRef]
- Jalalzad, S.H.; Yektamoghadam, H.; Haghighi, R.; Dehghani, M.; Nikoofard, A.; Khosravy, M.; Senjyu, T. A game theory approach using the TLBO algorithm for generation expansion planning by applying carbon curtailment policy. Energies 2022, 15, 1172. [Google Scholar] [CrossRef]
- Schiochet, A.F.; Duailibe Monteiro, P.R.; Borges, T.T.; Passos Filho, J.A.; de Oliveira, J.G. Photovoltaic Power Intermittency Mitigating with Battery Storage Using Improved WEEC Generic Models. Energies 2024, 17, 5166. [Google Scholar] [CrossRef]
- Brown, M.A.; Zhou, S. Smart-grid policies: An international review. In Advances in Energy Systems: The Large-Scale Renewable Energy Integration Challenge; John Wiley & Sons: Hoboken, NJ, USA, 2019; pp. 127–147. [Google Scholar]
- Zame, K.K.; Brehm, C.A.; Nitica, A.T.; Richard, C.L.; Schweitzer Iii, G.D. Smart grid and energy storage: Policy recommendations. Renew. Sustain. Energy Rev. 2018, 82, 1646–1654. [Google Scholar] [CrossRef]
- Hledik, R. How green is the smart grid? Electr. J. 2009, 22, 29–41. [Google Scholar] [CrossRef]
- Kalkal, P.; Garg, V.K. Transition from conventional to modern grids: Modern grid include microgrid and smartgrid. In Proceedings of the 2017 4th International Conference on Signal Processing, Computing and Control (ISPCC), Solan, India, 21–23 September 2017. [Google Scholar]
- Che, L.; Zhang, X.; Shahidehpour, M.; Alabdulwahab, A.; Al-Turki, Y. Optimal planning of loop-based microgrid topology. IEEE Trans. Smart Grid 2016, 8, 1771–1781. [Google Scholar] [CrossRef]
- Mohamad, F.; Teh, J. Impacts of energy storage system on power system reliability: A systematic review. Energies 2018, 11, 1749. [Google Scholar] [CrossRef]
- Li, C.; Chen, D.; Li, Y.; Li, F.; Li, R.; Wu, Q.; Liu, X.; Wei, J.; He, S.; Zhou, B. Exploring the interaction between renewables and energy storage for zero-carbon electricity systems. Energy 2022, 261, 125247. [Google Scholar] [CrossRef]
- Awadallah, S.K.E.; Milanović, J.V.; Jarman, P.N. The Influence of Modeling Transformer Age Related Failures on System Reliability. IEEE Trans. Power Syst. 2015, 30, 970–979. [Google Scholar] [CrossRef]
- Chacko, R.; Eapen, R.R.; Lakaparampil, Z.V.; Thomas, J. Techno-economic analysis of low voltage DC (LVDC) for Net Zero Energy (NZE) realisation in buildings with lead acid battery storage: Tropical monsoon climate. J. Energy Storage 2023, 70, 107794. [Google Scholar] [CrossRef]
- Gao, F.; Kang, R.; Cao, J.; Yang, T. Primary and secondary control in DC microgrids: A review. J. Mod. Power Syst. Clean Energy 2019, 7, 227–242. [Google Scholar] [CrossRef]
- Alam, M.S.; Hossain, M.A.; Shafiullah, M.; Islam, A.; Choudhury, M.S.H.; Faruque, M.O.; Abido, M.A. Renewable energy integration with DC microgrids: Challenges and opportunities. Electr. Power Syst. Res. 2024, 234, 110548. [Google Scholar] [CrossRef]
- Jin, A.J.; Peng, W. Chapter 6—Development Partnership of Renewable Energies Technology and Smart Grid in China. In Sustainable Cities and Communities Design Handbook, 2nd ed.; Clark, W.W., Ed.; Butterworth-Heinemann: Oxford, UK, 2018; pp. 111–128. [Google Scholar]
- Tuballa, M.L.; Abundo, M.L. A review of the development of Smart Grid technologies. Renew. Sustain. Energy Rev. 2016, 59, 710–725. [Google Scholar] [CrossRef]
- International Renewable Energy Agency IRENA. Renewable Power Generation Costs in 2023; International Renewable Energy Agency IRENA: Abu Dhabi, United Arab Emirates, 2023. [Google Scholar]
- Review, W.P. Cost of Electricity by Country 2025. Available online: https://worldpopulationreview.com/country-rankings/cost-of-electricity-by-country (accessed on 17 March 2025).
- Wang, J.; Zhang, G.; Song, Z.; Geng, Y. Internet of things, big data, intelligent electrical apparatus-the future development of power equipment. High Volt. Appar. 2018, 54, 19. [Google Scholar]
- Zhang, D.; Miao, X.; Liu, L.; Zhang, Y.; Liu, K. Research on development strategy for smart grid big data. Proc. CSEE 2015, 35, 2–12. [Google Scholar]
- Schroeder, G.N.; Steinmetz, C.; Pereira, C.E.; Espindola, D.B. Digital Twin Data Modeling with AutomationML and a Communication Methodology for Data Exchange. IFAC-PapersOnLine 2016, 49, 12–17. [Google Scholar] [CrossRef]
- Zhou, Y.; Wu, C.; Sun, J.; Liu, F.; Li, H. Function model construction method based on digital twin for intelligent products. Comput. Integr. Manuf. Syst. 2019, 25, 1392–1404. [Google Scholar]
- Carrión, E.; Pastor, Ó.; Valderas, P. Conceptual Modelling Method for Digital Twins. In Conceptual Modeling, Proceedings of the 43rd International Conference, ER 2024, Pittsburgh, PA, USA, 28–31 October 2024; Springer: Pittsburg, PA, USA, 2024; pp. 417–435. [Google Scholar]
- DigitalTwin. GE Digital. 2019. Available online: https://www.ge.com/digital/applications/digital-twin (accessed on 20 December 2024).
- Digital-Twin. Siemens, Siemens Digital Industries Software. 2019. Available online: https://www.sw.siemens.com/en-US/technology/digital-twin/ (accessed on 28 December 2024).
- Josifovska, K.; Yigitbas, E.; Engels, G. Reference Framework for Digital Twins within Cyber-Physical Systems. In Proceedings of the 2019 IEEE/ACM 5th International Workshop on Software Engineering for Smart Cyber-Physical Systems (SEsCPS), Montréal, QC, Canada, 28–28 May 2019. [Google Scholar]
- Gehrmann, C.; Gunnarsson, M. A Digital Twin Based Industrial Automation and Control System Security Architecture. IEEE Trans. Ind. Inform. 2020, 16, 669–680. [Google Scholar] [CrossRef]
- Alam, K.M.; Saddik, A.E. C2PS: A Digital Twin Architecture Reference Model for the Cloud-Based Cyber-Physical Systems. IEEE Access 2017, 5, 2050–2062. [Google Scholar] [CrossRef]
- Xu, G.; Yu, W.; Griffith, D.; Golmie, N.; Moulema, P. Toward Integrating Distributed Energy Resources and Storage Devices in Smart Grid. IEEE Internet Things J. 2017, 4, 192–204. [Google Scholar] [CrossRef]
- Vanfretti, L.; Arava, V.S.N. Decision tree-based classification of multiple operating conditions for power system voltage stability assessment. Int. J. Electr. Power Energy Syst. 2020, 123, 106251. [Google Scholar] [CrossRef]
- Samuel, O.; Alzahrani, F.A.; Hussen Khan, R.J.U.; Farooq, H.; Shafiq, M.; Afzal, M.K.; Javaid, N. Towards Modified Entropy Mutual Information Feature Selection to Forecast Medium-Term Load Using a Deep Learning Model in Smart Homes. Entropy 2020, 22, 68. [Google Scholar] [CrossRef] [PubMed]
- Mocanu, E.; Nguyen, P.H.; Gibescu, M.; Larsen, E.M.; Pinson, P. Demand forecasting at low aggregation levels using Factored Conditional Restricted Boltzmann Machine. In Proceedings of the 2016 Power Systems Computation Conference (PSCC), Genoa, Italy, 20–24 June 2016. [Google Scholar]
- Ginzburg-Ganz, E.; Segev, I.; Balabanov, A.; Segev, E.; Kaully Naveh, S.; Machlev, R.; Belikov, J.; Katzir, L.; Keren, S.; Levron, Y. Reinforcement Learning Model-Based and Model-Free Paradigms for Optimal Control Problems in Power Systems: Comprehensive Review and Future Directions. Energies 2024, 17, 5307. [Google Scholar] [CrossRef]
- Maresch, K.; Marchesan, G.; Cardoso, G. A logistic regression approach for improved safety of the under-frequency load shedding scheme owing to feeder machine inertia. Electr. Power Syst. Res. 2023, 218, 109189. [Google Scholar] [CrossRef]
- Chen, Y.; Tan, P.; Li, M.; Yin, H.; Tang, R. K-means clustering method based on nearest-neighbor density matrix for customer electricity behavior analysis. Int. J. Electr. Power Energy Syst. 2024, 161, 110165. [Google Scholar] [CrossRef]
- Shabanpour-Haghighi, A.; Seifi, A.R.; Niknam, T. A modified teaching–learning based optimization for multi-objective optimal power flow problem. Energy Convers. Manag. 2014, 77, 597–607. [Google Scholar] [CrossRef]
- Song, S.; Jung, Y.; Jang, G.; Jung, S. Proximal policy optimization through a deep reinforcement learning framework for remedial action schemes of VSC-HVDC. Int. J. Electr. Power Energy Syst. 2023, 150, 109117. [Google Scholar] [CrossRef]
- Venkata, P.; Pandya, V.; Vala, K.; Sant, A.V. Support vector machine for fast fault detection and classification in modern power systems using quarter cycle data. Energy Rep. 2022, 8, 92–98. [Google Scholar] [CrossRef]
- Yu, W.; Sheblé, G.B. Modeling electricity markets with hidden Markov model. Electr. Power Syst. Res. 2006, 76, 445–451. [Google Scholar] [CrossRef]
- Lara-Benítez, P.; Carranza-García, M.; Luna-Romera, J.M.; Riquelme, J.C. Temporal Convolutional Networks Applied to Energy-Related Time Series Forecasting. Appl. Sci. 2020, 10, 2322. [Google Scholar] [CrossRef]
- Zhang, C.; Hoes, P.-J.; Wang, S.; Zhao, Y. Intrinsically interpretable machine learning-based building energy load prediction method with high accuracy and strong interpretability. Energy Built Environ. 2024. [Google Scholar] [CrossRef]
- Joyokusumo, I.; Fatchurrahman, R.; Putra, H.; Maulana, R. Performance Evaluation of Naïve-Bayes Classifier in Predicting the Energy Not Served (ENS) Class of Electric Power Distribution System. In Proceedings of the 2020 International Conference on Technology and Policy in Energy and Electric Power (ICT-PEP), Bandung, Indonesia, 23–24 September 2020. [Google Scholar]
- Sinha, A.K.; Kranthi Kiran, C. Power system fault detection classification based on PCA and PNN. In Proceedings of the 2011 International Conference on Emerging Trends in Electrical and Computer Technology, Nagercoil, India, 23–24 March 2011. [Google Scholar]
- Abbass, M.J.; Lis, R.; Rebizant, W. A Predictive Model Using Long Short-Time Memory (LSTM) Technique for Power System Voltage Stability. Appl. Sci. 2024, 14, 7279. [Google Scholar] [CrossRef]
- Gangwar, A.K.; Shaik, A.G. k-Nearest neighbour based approach for the protection of distribution network with renewable energy integration. Electr. Power Syst. Res. 2023, 220, 109301. [Google Scholar] [CrossRef]
- Kunac, A.; Sarajcev, P. Ensemble Learning Approach to Power System Transient Stability Assessment. In Proceedings of the 2020 5th International Conference on Smart and Sustainable Technologies (SpliTech), Split, Croatia, 23–26 September 2020. [Google Scholar]
- Zhang, B.; Hou, K.; Dong, Z.; Liu, Z.; Wang, X. Stacked-denoising-auto-encoder-based reliability assessment method for power system operation. Energy Rep. 2023, 9, 505–511. [Google Scholar] [CrossRef]
- Das, O.; Zafar, M.H.; Sanfilippo, F.; Rudra, S.; Kolhe, M.L. Advancements in digital twin technology and machine learning for energy systems: A comprehensive review of applications in smart grids, renewable energy, and electric vehicle optimisation. Energy Convers. Manag. X 2024, 24, 100715. [Google Scholar] [CrossRef]
- Das, U.K.; Tey, K.S.; Seyedmahmoudian, M.; Mekhilef, S.; Idris, M.Y.I.; Van Deventer, W.; Horan, B.; Stojcevski, A. Forecasting of photovoltaic power generation and model optimization: A review. Renew. Sustain. Energy Rev. 2018, 81, 912–928. [Google Scholar] [CrossRef]
- Yao, X.; Yi, B.; Yu, Y.; Fan, Y.; Zhu, L. Economic analysis of grid integration of variable solar and wind power with conventional power system. Appl. Energy 2020, 264, 114706. [Google Scholar] [CrossRef]
- Bollen, M.; Moreno-Munoz, A. The power grid as part of a 100% renewable energy system. Large Scale Grid Integr. Renew. Energy Sources 2017, 1–27. [Google Scholar] [CrossRef]
- Karimi, E.; Kazerani, M. Impact of demand response management on improving social welfare of remote communities through integrating renewable energy resources. In Proceedings of the 2017 IEEE 30th Canadian Conference on Electrical and Computer Engineering (CCECE), Windsor, ON, Canada, 30 April 30–3 May 2017. [Google Scholar]
- Chatuanramtharnghaka, B.; Deb, S.; Singh, K.R.; Ustun, T.S.; Kalam, A. Reviewing Demand Response for Energy Management with Consideration of Renewable Energy Sources and Electric Vehicles. World Electr. Veh. J. 2024, 15, 412. [Google Scholar] [CrossRef]
- Coddington, M.; Miller, M.; Katz, J. Grid-Integrated Distributed Solar: Addressing Challenges for Operations and Planning, Greening the Grid; National Renewable Energy Lab. (NREL): Golden, CO, USA, 2016. [Google Scholar]
- How Solar Pannel Works. 2015. Available online: https://www.ucsusa.org/resources/how-solar-panels-work#.WrJAN3tuJZQ (accessed on 10 January 2025).
- Lei, M.; Yang, Z.; Wang, Y.; Xu, H.; Meng, L.; Vasquez, J.C.; Guerrero, J.M. An MPC-Based ESS Control Method for PV Power Smoothing Applications. IEEE Trans. Power Electron. 2018, 33, 2136–2144. [Google Scholar] [CrossRef]
- Van Haaren, R. Utility Scale Photovoltaic Plant Variability Studies and Energy Storage Optimization for Ramp Rate Control; Columbia University: New York, NY, USA, 2014. [Google Scholar]
- Makibar, A.; Narvarte, L.; Lorenzo, E. On the relation between battery size and PV power ramp rate limitation. Sol. Energy 2017, 142, 182–193. [Google Scholar] [CrossRef]
- Wenham, S.R.; Green, M.A.; Watt, M.E.; Corkish, R.; Sproul, A. Applied Photovoltaics; Routledge: London, UK, 2013. [Google Scholar] [CrossRef]
- Hoke, A.; Nelson, A.; Miller, B.; Chakraborty, S.; Bell, F.; McCarty, M. Experimental Evaluation of PV Inverter Anti-Islanding with Grid Support Functions in Multi-Inverter Island Scenarios; National Renewable Energy Lab. (NREL): Golden, CO, USA, 2016.
- Al-Subhi, A. Parameters estimation of photovoltaic cells using simple and efficient mathematical models. Sol. Energy 2020, 209, 245–257. [Google Scholar] [CrossRef]
- Shafiullah, M.; Haque, M.E.; Al-Ismail, F.S.; Islam, A.; Alam, M.S.; Ali, A.; Rahman, S.M. Backtracking Search Algorithm for PV Module Electrical Parameter Estimation. In Proceedings of the 2021 1st International Conference on Artificial Intelligence and Data Analytics (CAIDA), Riyadh, Saudi Arabia, 6–7 April 2021. [Google Scholar]
- Yousri, D.; Shaker, Y.; Mirjalili, S.; Allam, D. An efficient photovoltaic modeling using an Adaptive Fractional-order Archimedes Optimization Algorithm: Validation with partial shading conditions. Sol. Energy 2022, 236, 26–50. [Google Scholar] [CrossRef]
- Zhang, F.; Wang, X.; Wu, M.; Hou, X.; Han, C.; Liu, Z. Optimization design of uncertain parameters for improving the stability of photovoltaic system. J. Power Sources 2022, 521, 230959. [Google Scholar] [CrossRef]
- Santbergen, R.; Muthukumar, V.A.; Valckenborg, R.M.E.; van de Wall, W.J.A.; Smets, A.H.M.; Zeman, M. Calculation of irradiance distribution on PV modules by combining sky and sensitivity maps. Sol. Energy 2017, 150, 49–54. [Google Scholar] [CrossRef]
- Mondol, J.D.; Yohanis, Y.G.; Norton, B. The impact of array inclination and orientation on the performance of a grid-connected photovoltaic system. Renew. Energy 2007, 32, 118–140. [Google Scholar] [CrossRef]
- Bright, J.M.; Babacan, O.; Kleissl, J.; Taylor, P.G.; Crook, R. A synthetic, spatially decorrelating solar irradiance generator and application to a LV grid model with high PV penetration. Sol. Energy 2017, 147, 83–98. [Google Scholar] [CrossRef]
- Prema, V.; Rao, K.U. Development of statistical time series models for solar power prediction. Renew. Energy 2015, 83, 100–109. [Google Scholar] [CrossRef]
- Fouad, M.M.; Shihata, L.A.; Morgan, E.I. An integrated review of factors influencing the perfomance of photovoltaic panels. Renew. Sustain. Energy Rev. 2017, 80, 1499–1511. [Google Scholar] [CrossRef]
- Coskun, C.; Toygar, U.; Sarpdag, O.; Oktay, Z. Sensitivity analysis of implicit correlations for photovoltaic module temperature: A review. J. Clean. Prod. 2017, 164, 1474–1485. [Google Scholar] [CrossRef]
- Rahman, M.M.; Hasanuzzaman, M.; Rahim, N.A. Effects of operational conditions on the energy efficiency of photovoltaic modules operating in Malaysia. J. Clean. Prod. 2017, 143, 912–924. [Google Scholar] [CrossRef]
- Wang, F.; Xuan, Z.; Zhen, Z.; Li, Y.; Li, K.; Zhao, L.; Shafie-khah, M.; Catalão, J.P.S. A minutely solar irradiance forecasting method based on real-time sky image-irradiance mapping model. Energy Convers. Manag. 2020, 220, 113075. [Google Scholar] [CrossRef]
- Katkar, A.; Shinde, N.; Patil, P. Performance & evaluation of industrial solar cell wrt temperature and humidity. Int. J. Res. Mech. Eng. Technol. 2011, 1, 69–73. [Google Scholar]
- Meyer, E.L.; Dyk, E.E.v. Assessing the reliability and degradation of photovoltaic module performance parameters. IEEE Trans. Reliab. 2004, 53, 83–92. [Google Scholar] [CrossRef]
- Said, S.A.M.; Al-Aqeeli, N.; Walwil, H.M. The potential of using textured and anti-reflective coated glasses in minimizing dust fouling. Sol. Energy 2015, 113, 295–302. [Google Scholar] [CrossRef]
- Jathar, L.D.; Ganesan, S.; Awasarmol, U.; Nikam, K.; Shahapurkar, K.; Soudagar, M.E.M.; Fayaz, H.; El-Shafay, A.S.; Kalam, M.A.; Bouadila, S.; et al. Comprehensive review of environmental factors influencing the performance of photovoltaic panels: Concern over emissions at various phases throughout the lifecycle. Environ. Pollut. 2023, 326, 121474. [Google Scholar] [CrossRef]
- Ghazi, S.; Ip, K. The effect of weather conditions on the efficiency of PV panels in the southeast of UK. Renew. Energy 2014, 69, 50–59. [Google Scholar] [CrossRef]
- Vasel, A.; Iakovidis, F. The effect of wind direction on the performance of solar PV plants. Energy Convers. Manag. 2017, 153, 455–461. [Google Scholar] [CrossRef]
- Das, S.K.; Verma, D.; Nema, S.; Nema, R.K. Shading mitigation techniques: State-of-the-art in photovoltaic applications. Renew. Sustain. Energy Rev. 2017, 78, 369–390. [Google Scholar] [CrossRef]
- Zhang, W.; Lu, L.; Peng, J. Evaluation of potential benefits of solar photovoltaic shadings in Hong Kong. Energy 2017, 137, 1152–1158. [Google Scholar] [CrossRef]
- Mekhilef, S.; Saidur, R.; Kamalisarvestani, M. Effect of dust, humidity and air velocity on efficiency of photovoltaic cells. Renew. Sustain. Energy Rev. 2012, 16, 2920–2925. [Google Scholar] [CrossRef]
- Hasan, K.; Yousuf, S.B.; Tushar, M.S.H.K.; Das, B.K.; Das, P.; Islam, M.S. Effects of different environmental and operational factors on the PV performance: A comprehensive review. Energy Sci. Eng. 2022, 10, 656–675. [Google Scholar] [CrossRef]
- Rahouma, A.; El-Azab, R.; Salib, A.; Amin, A.M.A. Frequency response of a large-scale grid-connected solar photovoltaic plant. In Proceedings of the SoutheastCon 2015, Fort Lauderdale, FL, USA, 9–12 April 2015. [Google Scholar]
- Qaid, K.A.; Gan, C.K.; Salim, N.B.; Shamshiri, M. Impacts of large-scale solar photovoltaic generation on power system frequency response. In Proceedings of the 5th IET International Conference on Clean Energy and Technology (CEAT2018), Kuala Lumpur, Malaysia, 5–6 September 2018. [Google Scholar]
- Máslo, K. Impact of Photovoltaics on Frequency Stability of Power System During Solar Eclipse. IEEE Trans. Power Syst. 2016, 31, 3648–3655. [Google Scholar] [CrossRef]
- Limsakul, C.; Songprakorp, R.; Sangswang, A.; Parinya, P. Impact of photovoltaic grid-connected power fluctuation on system frequency deviation in contiguous power systems. In Proceedings of the IECON 2015—41st Annual Conference of the IEEE Industrial Electronics Society, Yokohama, Japan, 9–12 November 2015. [Google Scholar]
- Guo, H.; Zheng, S.; Zhang, D.; Gao, P.; Miao, W.; Zuo, Z. Effects on Frequency Stability of Power System for Photovoltaic High-Penetration Ratio Grid-Connected Power Generation. Energies 2023, 16, 1308. [Google Scholar] [CrossRef]
- Madiba, T.; Bansal, R.C.; Justo, J.J.; Kusakana, K. Optimal Control System of Under Frequency Load Shedding in Microgrid System with Renewable Energy Resources. In Smart Energy Grid Design for Island Countries: Challenges and Opportunities; Islam, F.M.R., Mamun, K.A., Amanullah, M.T.O., Eds.; Springer International Publishing: Cham, Switzerland, 2017; pp. 71–96. [Google Scholar]
- You, S.; Liu, Y.; Tan, J.; Gonzalez, M.T.; Zhang, X.; Zhang, Y.; Liu, Y. Comparative Assessment of Tactics to Improve Primary Frequency Response Without Curtailing Solar Output in High Photovoltaic Interconnection Grids. IEEE Trans. Sustain. Energy 2019, 10, 718–728. [Google Scholar] [CrossRef]
- McDowell, J.; Walling, R.; Peter, W.; Von Engeln, E.; Seymour, E.; Nelson, R.; Casey, L.; Ellis, A.; Barker, C. Reactive Power Interconnection Requirements for PV and Wind Plants: Recommendations to NERC; Sandia National Laboratories (SNL): Albuquerque, NM, USA; Livermore, CA, USA, 2012.
- Yang, Y.; Wang, H.; Blaabjerg, F. Reactive Power Injection Strategies for Single-Phase Photovoltaic Systems Considering Grid Requirements. IEEE Trans. Ind. Appl. 2014, 50, 4065–4076. [Google Scholar] [CrossRef]
- Zhou, L.; Chao, Y. The research of reactive power control strategy for grid-connected photovoltaic plants. In Proceedings of the 2013 World Congress on Sustainable Technologies (WCST), London, UK, 9–12 December 2013. [Google Scholar]
- Jafarian, H.; Cox, R.; Enslin, J.H.; Bhowmik, S.; Parkhideh, B. Decentralized Active and Reactive Power Control for an AC-Stacked PV Inverter With Single Member Phase Compensation. IEEE Trans. Ind. Appl. 2018, 54, 345–355. [Google Scholar] [CrossRef]
- Tina, G.M.; Garozzo, D.; Siano, P. Scheduling of PV inverter reactive power set-point and battery charge/discharge profile for voltage regulation in low voltage networks. Int. J. Electr. Power Energy Syst. 2019, 107, 131–139. [Google Scholar] [CrossRef]
- Khan, H.A.; Zuhaib, M.; Rihan, M. Analysis of varying PV penetration level on harmonic content of active distribution system with a utility scale grid integrated solar farm. Aust. J. Electr. Electron. Eng. 2022, 19, 283–293. [Google Scholar] [CrossRef]
- Salem, W.A.A.; Gabr Ibrahim, W.; Abdelsadek, A.M.; Nafeh, A.A. Grid connected photovoltaic system impression on power quality of low voltage distribution system. Cogent. Eng. 2022, 9, 2044576. [Google Scholar] [CrossRef]
- Chidurala, A.; Saha, T.; Mithulananthan, N. Harmonic characterization of grid connected PV systems & validation with field measurements. In Proceedings of the 2015 IEEE Power & Energy Society General Meeting, Denver, CO, USA, 26–30 July 2015. [Google Scholar]
- Bishop, O. Understand Electronic Filters; Newnes: Oxford, UK, 1996. [Google Scholar]
- Torquato, R.; Freitas, W.; Hax, G.R.T.; Donadon, A.R.; Moya, R. High frequency harmonic distortions measured in a Brazilian solar farm. In Proceedings of the 2016 17th International Conference on Harmonics and Quality of Power (ICHQP), Belo Horizonte, Brazil, 16–19 October 2016. [Google Scholar]
- Ayub, M.; Gan, C.K.; Kadir, A.F.A. The impact of grid-connected PV systems on Harmonic Distortion. In Proceedings of the 2014 IEEE Innovative Smart Grid Technologies—Asia (ISGT ASIA), Kuala Lumpur, Malaysia, 20–23 May 2014. [Google Scholar]
- Langella, R.; Testa, A.; Alii, E. IEEE Recommended Practice and Requirements for Harmonic Control in Electric Power Systems; IEEE: Piscataway, NJ, USA, 2014. [Google Scholar]
- Li, J.; Zhuo, F.; Liu, J.; Wang, X.; Wen, B.; Wang, L.; Ni, S. Study on unified control of grid-connected generation and harmonic compensation in dual-stage high-capacity PV system. In Proceedings of the 2009 IEEE Energy Conversion Congress and Exposition, San Jose, CA, USA, 20–24 September 2009. [Google Scholar]
- Pereira, H.A.; da Mata, G.L.E.; Xavier, L.S.; Cupertino, A.F. Flexible harmonic current compensation strategy applied in single and three-phase photovoltaic inverters. Int. J. Electr. Power Energy Syst. 2019, 104, 358–369. [Google Scholar] [CrossRef]
- Mata, G.L.E.; Barros, R.C.d.; Ribeiro, W.V.; Xavier, L.S.; Cupertino, A.F.; Pereira, H.A. LCL filter losses due to harmonic compensation in a photovoltaic system. In Proceedings of the 2017 IEEE 8th International Symposium on Power Electronics for Distributed Generation Systems (PEDG), Florianopolis, Brazil, 17–20 April 2017. [Google Scholar]
- Mitsugi, Y.; Yokoyama, A. Phase angle and voltage stability assessment in multi-machine power system with massive integration of PV considering PV’s FRT requirements and dynamic load characteristics. In Proceedings of the 2014 International Conference on Power System Technology, Chengdu, China, 20–22 October 2014. [Google Scholar]
- You, S.; Kou, G.; Liu, Y.; Zhang, X.; Cui, Y.; Till, M.J.; Yao, W.; Liu, Y. Impact of High PV Penetration on the Inter-Area Oscillations in the U.S. Eastern Interconnection. IEEE Access 2017, 5, 4361–4369. [Google Scholar] [CrossRef]
- IEEE Std 1547-2018 (Revision of IEEE Std 1547-2003)—Redline; IEEE Standard for Interconnection and Interoperability of Distributed Energy Resources with Associated Electric Power Systems Interfaces—Redline. IEEE: Piscataway, NJ, USA, 2018; pp. 1–227.
- Zhao, Y.; Lehman, B.; Palma, J.F.d.; Mosesian, J.; Lyons, R. Fault analysis in solar PV arrays under: Low irradiance conditions and reverse connections. In Proceedings of the 2011 37th IEEE Photovoltaic Specialists Conference, Seattle, WA, USA, 19–24 June 2011. [Google Scholar]
- Alam, M.K.; Khan, F.H.; Johnson, J.; Flicker, J. PV faults: Overview, modeling, prevention and detection techniques. In Proceedings of the 2013 IEEE 14th Workshop on Control and Modeling for Power Electronics (COMPEL), Lake City, UT, USA 23–26 June 2013. [Google Scholar]
- Albers, M.J.; Ball, G. Comparative Evaluation of DC Fault-Mitigation Techniques in Large PV Systems. IEEE J. Photovolt. 2015, 5, 1169–1174. [Google Scholar] [CrossRef]
- Amiri, A.F.; Oudira, H.; Chouder, A.; Kichou, S. Faults detection and diagnosis of PV systems based on machine learning approach using random forest classifier. Energy Convers. Manag. 2024, 301, 118076. [Google Scholar] [CrossRef]
- Tévar, G.; Gómez-Expósito, A.; Arcos-Vargas, A.; Rodríguez-Montañés, M. Influence of rooftop PV generation on net demand, losses and network congestions: A case study. Int. J. Electr. Power Energy Syst. 2019, 106, 68–86. [Google Scholar] [CrossRef]
- Abhinav, R.; Pindoriya, N.M. Opportunities and key challenges for wind energy trading with high penetration in Indian power market. Energy Sustain. Dev. 2018, 47, 53–61. [Google Scholar] [CrossRef]
- Deng, R.; Chang, N.L.; Ouyang, Z.; Chong, C.M. A techno-economic review of silicon photovoltaic module recycling. Renew. Sustain. Energy Rev. 2019, 109, 532–550. [Google Scholar] [CrossRef]
- Panagopoulos, A.; Giannika, V. Decarbonized and circular brine management/valorization for water & valuable resource recovery via minimal/zero liquid discharge (MLD/ZLD) strategies. J. Environ. Manag. 2022, 324, 116239. [Google Scholar] [CrossRef]
- Panagopoulos, A.; Giannika, V. Study on the water resources and the opportunities for sustainable desalination & minimal/zero liquid discharge (MLD/ZLD) practices in Greece (Eastern Mediterranean). Sustain. Water Resour. Manag. 2023, 9, 106. [Google Scholar] [CrossRef]
- Panagopoulos, A.; Giannika, V. Comparative techno-economic and environmental analysis of minimal liquid discharge (MLD) and zero liquid discharge (ZLD) desalination systems for seawater brine treatment and valorization. Sustain. Energy Technol. Assess. 2022, 53, 102477. [Google Scholar] [CrossRef]
- Artale, G.; Caravello, G.; Cataliotti, A.; Cosentino, V.; Di Cara, D.; Guaiana, S.; Nguyen Quang, N.; Palmeri, M.; Panzavecchia, N.; Tinè, G. A Virtual Tool for Load Flow Analysis in a Micro-Grid. Energies 2020, 13, 3173. [Google Scholar] [CrossRef]
- Rangarajan, S.S.; Collins, E.R.; Fox, J.C.; Kothari, D.P. A survey on global PV interconnection standards. In Proceedings of the 2017 IEEE Power and Energy Conference at Illinois (PECI), Champaign, IL, USA, 23–24 February 2017. [Google Scholar]
- Wu, Y.K.; Lin, J.H.; Lin, H.J. Standards and Guidelines for Grid-Connected Photovoltaic Generation Systems: A Review and Comparison. IEEE Trans. Ind. Appl. 2017, 53, 3205–3216. [Google Scholar] [CrossRef]
- Poyyamani Sunddararaj, S.; Rangarajan, S.S.; Nallusamy, S.; Collins, E.R.; Senjyu, T. A Brief Survey on Important Interconnection Standards for Photovoltaic Systems and Electric Vehicles. World Electr. Veh. J. 2021, 12, 117. [Google Scholar] [CrossRef]
- International Electrotechnical Commission. Photovoltaic (PV) Systems-Characteristics of the Utily Interface; International Electrotechnical Commission: Geneva, Switzerland, 2004. [Google Scholar]
- IEEE Standards Board. IEEE Standard for Interconnecting Distributed Resources with Electric Power Systems: 1547-2003; IEEE: Piscataway, NJ, USA, 2003. [Google Scholar]
- IEEE Standard. 929-2000—IEEE Recommended Practice for Utility Interface of Photovoltaic (PV) Systems; IEEE: Piscataway, NJ, USA, 2000. [Google Scholar]
- California Public Utilities Commission. Rule 21 Generating Facility Interconnections; California Public Utilities Commission: San Francisco, CA, USA, 2014. [Google Scholar]
- Sheaffer, P.; Schwartz, L. Interconnection of Distributed Generation to Utility Systems; The Regulatory Assistance Project–RAP: Beijing, China, 2011. [Google Scholar]
- Henville, M. Interconnecting Inverter-Based Micro-Distributed Resources to Distribution Systems: CAN/CSA-C22. 2 No. 257-06 a National Standard of Canada; CSA Group: Toronto, ON, Canada, 2006. [Google Scholar]
- Martel, S.; Turcotte, D. Review of distributed generation product and interconnection standards for Canada. In Proceedings of the 2007 IEEE Canada Electrical Power Conference, Montreal, QC, Canada, 25–26 October 2007; IEEE: Piscataway, NJ, USA, 2007; pp. 242–247. [Google Scholar] [CrossRef]
- Abdulhadi, I.; Dysko, A. Hardware testing of photovoltaic inverter loss of mains protection performance. In Proceedings of the 13th International Conference on Development in Power System Protection 2016 (DPSP), Edinburgh, UK, 7–10 March 2016; IET: Stevenage, UK, 2016; pp. 1–6. [Google Scholar] [CrossRef][Green Version]
- Rebollal, D.; Carpintero-Rentería, M.; Santos-Martín, D.; Chinchilla, M. Microgrid and distributed energy resources standards and guidelines review: Grid connection and operation technical requirements. Energies 2021, 14, 523. [Google Scholar] [CrossRef]
- Cataliotti, A.; Cosentino, V.; Di Cara, D.; Guaiana, S.; Panzavecchia, N.; Tine, G. A new solution for low-voltage distributed generation interface protection system. IEEE Trans. Instrum. Meas. 2015, 64, 2086–2095. [Google Scholar] [CrossRef]
- De la Hoz, J.; Boix, O.; Martín, H.; Martins, B.; Graells, M. Promotion of grid-connected photovoltaic systems in Spain: Performance analysis of the period 1998–2008. Renew. Sustain. Energy Rev. 2010, 14, 2547–2563. [Google Scholar] [CrossRef]
- Australia Standard. Grid Connection of Energy Systems via Inverters—Part 1: Installation Requirements; Proc. Grid Protection Requirements; Australia Standard: Sydney, Australia, 2005; p. 7. [Google Scholar]
- Australia Standard. Grid Connection of Energy Systems via Inverters Part 2: Inverter Requirements; Proc. Grid Protection Requirements; Australia Standard: Sydney, Australia, 2005; p. 7. [Google Scholar]
- Australia Standard. Grid Connection of Energy Systems via Inverters—Part 3; Proc. Grid Protection Requirements; Australia Standard: Sydney, Australia, 2005; p. 7. [Google Scholar]
- Eltawil, M.A.; Zhao, Z. Grid-connected photovoltaic power systems: Technical and potential problems—A review. Renew. Sustain. Energy Rev. 2010, 14, 112–129. [Google Scholar] [CrossRef]
- Elnozahy, M.S.; Salama, M.M. Technical impacts of grid-connected photovoltaic systems on electrical networks—A review. J. Renew. Sustain. Energy 2013, 5, 032702. [Google Scholar] [CrossRef]
- Ruhang, X. Characteristics and prospective of China’s PV development route: Based on data of world PV industry 2000–2010. Renew. Sustain. Energy Rev. 2016, 56, 1032–1043. [Google Scholar] [CrossRef]
- Whitaker, C.M.; Timothy, U. PV systems. In Handbook of Photovoltaic Science and Engineering; Wiley: Hoboken, NJ, USA, 2011; pp. 841–895. [Google Scholar] [CrossRef]
- Madangombe, T.; Folly, K.; Pillay, P. Standards and technical guidelines for the interconnection of renewable energy sources into the grid (distribution networks). In Proceedings of the 2007 IEEE Power Engineering Society Conference and Exposition in Africa-PowerAfrica, Johannesburg, South Africa, 16–20 July 2007; IEEE: Piscataway, NJ, USA, 2007; pp. 1–7. [Google Scholar] [CrossRef]
- Wang, W.; Xv, W.; Liu, C. Technical Requirements for Connecting Photovoltaic Power Station to Power System; State Grid Corporation of China: Beijing, China, 2013. [Google Scholar]
- Rodrigues, E.M.G.; Osório, G.J.; Godina, R.; Bizuayehu, A.W.; Lujano-Rojas, J.M.; Catalão, J.P.S. Grid code reinforcements for deeper renewable generation in insular energy systems. Renew. Sustain. Energy Rev. 2016, 53, 163–177. [Google Scholar] [CrossRef]
- ENTSO-E. European Network of Transmission System Operators for Electricity. In TYNDP 2018–Europe’s Network Development Plan to 2025, 2030 and 2040; ENTSO-E: Brussels, Belgium, 2018. [Google Scholar]
- Crăciun, B.I.; Kerekes, T.; Séra, D.; Teodorescu, R. Overview of recent Grid Codes for PV power integration. In Proceedings of the 2012 13th International Conference on Optimization of Electrical and Electronic Equipment (OPTIM), Brasov, Romania, 24–26 May 2012; pp. 959–965. [Google Scholar] [CrossRef]
- EN 50438:2007; Requirements for the Connection of Micro-Generators in Parallel with Public Low-Voltage Distribution Networks. British Standards Institution: London, UK, 2007.
- IEEE Std 1547.2-2008; IEEE Standards Coordinating Committee 21, IEEE Application Guide for IEEE Std 1547(TM), IEEE Standard for Interconnecting Distributed Resources with Electric Power Systems. IEEE: Piscataway, NJ, USA, 2009; pp. 1–217.
- Lee, J.H.; Yoon, Y.H.; Kim, J.M. Analysis of IEC 61727 Photovoltaic (PV) systems Characteristics of the utility interface. Int. J. Internet Broadcast. Commun. 2015, 7, 90–95. [Google Scholar]
- Elektrotechniker Verband Deutscher. Technical Minimum Requirements for the Connection to and Parallel Operation with Low-Voltage Distribution Networks; Vde Verlag Gmbh: Berlin, Germany, 2011. [Google Scholar]
- Jacobs, D. Renewable Energy Policy Convergence in the EU: The Evolution of Feed-in Tariffs in Germany, Spain and France; Routledge: London, UK, 2016. [Google Scholar] [CrossRef]
- Xiao, H.; Fang, Z.; Xu, D.; Wu, B.; Venkatesh, B.; Singh, B.N. A testing platform for distribution grid with multiple grid-connected converters. In Proceedings of the 2016 IEEE 8th International Power Electronics and Motion Control Conference (IPEMC-ECCE Asia), Hefei, China, 22–26 May 2016; IEEE: Piscataway, NJ, USA, 2016; pp. 3621–3626. [Google Scholar] [CrossRef]
- Pires, V.F.; Cordeiro, A.; Foito, D.; Martins, J.F.; Pires, A.; Chen, H. Testing System for PV Grid-Connected Power Condition Systems with Support for Ancillary Services. Designs 2023, 7, 40. [Google Scholar] [CrossRef]
- Bae, Y.; Vu, T.K.; Kim, R.Y. Implemental Control Strategy for Grid Stabilization of Grid-Connected PV System Based on German Grid Code in Symmetrical Low-to-Medium Voltage Network. IEEE Trans. Energy Convers. 2013, 28, 619–631. [Google Scholar] [CrossRef]
- Troester, E. New German grid codes for connecting PV systems to the medium voltage power grid. In Proceedings of the 2nd International Workshop on Concentrating Photovoltaic Power Plants: Optical Design, Production, Grid Connection, Darmstadt, Germany, 9–10 March 2009; pp. 9–10. [Google Scholar]
- Cabrera-Tobar, A.; Bullich-Massagué, E.; Aragüés-Peñalba, M.; Gomis-Bellmunt, O. Review of advanced grid requirements for the integration of large scale photovoltaic power plants in the transmission system. Renew. Sustain. Energy Rev. 2016, 62, 971–987. [Google Scholar] [CrossRef]
- Alharbi, M. Control Approach of Grid-Connected PV Inverter under Unbalanced Grid Conditions. Processes 2024, 12, 212. [Google Scholar] [CrossRef]
- Colque, J.C.; Azcue, J.L.; Ruppert, E. Photovoltaic system grid-connected with active power filter functions for mitigate current harmonics feeding nonlinear loads. In Proceedings of the 13th IEEE International Conference on Industry Applications (INDUSCON), Sao Paulo, Brazil, 12–14 November 2018; pp. 208–214. [Google Scholar] [CrossRef]
- Memon, M.A.; Mekhilef, S.; Mubin, M.; Aamir, M. Selective harmonic elimination in inverters using bio-inspired intelligent algorithms for renewable energy conversion applications: A review. Renew. Sustain. Energy Rev. 2018, 82, 2235–2253. [Google Scholar] [CrossRef]
- El Moursi, M.S.; Xiao, W.; Kirtley, J.L., Jr. Fault ride through capability for grid interfacing large scale PV power plants. IET Gener. Transm. Distrib. 2013, 7, 1027–1036. [Google Scholar] [CrossRef]
- Bai, K.; Sindhu, V.; Haque, A. Fault Ride Through approach for Grid-Connected Photovoltaic System. e-Prime Adv. Electr. Eng. Electron. Energy 2023, 5, 100232. [Google Scholar] [CrossRef]
- Al-Shetwi, A.Q.; Sujod, M.Z.; Ramli, N.L. A review of the fault ride through requirements in different grid codes concerning penetration of PV system to the electric power network. ARPN J. Eng. Appl. Sci. 2015, 10, 9906–9912. [Google Scholar]
- Chatzinikolaou, E.; Rogers, D.J. A Comparison of Grid-Connected Battery Energy Storage System Designs. IEEE Trans. Power Electron. 2017, 32, 6913–6923. [Google Scholar] [CrossRef]
- Pires, V.F.; Romero-Cadaval, E.; Vinnikov, D.; Roasto, I.; Martins, J.F. Power converter interfaces for electrochemical energy storage systems—A review. Energy Convers. Manag. 2014, 86, 453–475. [Google Scholar] [CrossRef]
- Galkin, I.A.; Blinov, A.; Vorobyov, M.; Bubovich, A.; Saltanovs, R.; Peftitsis, D. Interface Converters for Residential Battery Energy Storage Systems: Practices, Difficulties and Prospects. Energies 2021, 14, 3365. [Google Scholar] [CrossRef]
- McKeon, B.B.; Furukawa, J.; Fenstermacher, S. Advanced Lead–Acid Batteries and the Development of Grid-Scale Energy Storage Systems. Proc. IEEE 2014, 102, 951–963. [Google Scholar] [CrossRef]
- Eletrico, O.d.S. Requisitos Técnicos Mínimos Para a Conexão às Instalações de Transmissão, Procedimentos de Rede-Submódulo 2.10; Operador Nacional do Sistema Elétrico (ONS): Rio de Janeiro, Brazil, 2021. [Google Scholar]
- Basso, T.S.; Deblasio, R.D. IEEE P1547-series of standards for interconnection. In Proceedings of the 2003 IEEE PES Transmission and Distribution Conference and Exposition (IEEE Cat. No. 03CH37495), Dallas, TX, USA, 7–12 September 2003; IEEE: Piscataway, NJ, USA, 2003. [Google Scholar]
- Landera, Y.G.; Zevallos, O.C.; Neto, R.C.; Castro, J.F.D.C.; Neves, F.A. A Review of Grid Connection Requirements for Photovoltaic Power Plants. Energies 2023, 16, 2093. [Google Scholar] [CrossRef]
- Zhang, Z.; Yang, Y.; Ma, R.; Blaabjerg, F. Zero-Voltage Ride-Through Capability of Single-Phase Grid-Connected Photovoltaic Systems. Appl. Sci. 2017, 7, 315. [Google Scholar] [CrossRef]
- Sutherland, P.E. Ensuring Stable Operation with Grid Codes: A Look at Canadian Wind Farm Interconnections. IEEE Ind. Appl. Mag. 2016, 22, 60–67. [Google Scholar] [CrossRef]
- Italian Electrotechnical Committee CEI 0-16: Reference Technical Rules for the Connection of Active and Passive Consumers to the HV and MV Electrical Networks of Distribution Company. 2019. Available online: https://standards.globalspec.com/std/145056 (accessed on 2 February 2025).
- Neumann, T.; Erlich, I. Modelling and control of photovoltaic inverter systems with respect to German grid code requirements. In Proceedings of the 2012 IEEE Power and Energy Society General Meeting, San Diego, CA, USA, 22–26 July 2012; pp. 1–8. [Google Scholar] [CrossRef]
- Chmielowiec, K.; Topolski, Ł.; Piszczek, A.; Hanzelka, Z. Photovoltaic Inverter Profiles in Relation to the European Network Code NC RfG and the Requirements of Polish Distribution System Operators. Energies 2021, 14, 1486. [Google Scholar] [CrossRef]
- Electrica, R. Technical Requirements for Wind Power and Photovoltaic Installations and Any Generating Facilities Whose Technology Does Not Consist of a Synchronous Generator Directly Connected to the Grid; Red Electrica: Madrid, Spain, 2008. [Google Scholar]
- Langstädtler, J.; Schowe-Von der Brelie, B.; Schellschmidt, M.; Schrobsdorff, S.; Scheffer, J.; Kahlen, C. Relevance of high-voltage-ride-through capability and testing. In Proceedings of the 23rd Intemational Conference on Electricity Distribution (CIRED), Lyon, Italy, 15–18 June 2015. [Google Scholar]
- Gevorkian, P. Grid-Connected Photovoltaic Power Generation; Cambridge University Press: Cambridge, UK, 2017. [Google Scholar]
- Li, R.; Geng, H.; Yang, G. Asymmetrical high voltage ride through control strategy of grid-side converter for grid-connected renewable energy equipment. In Proceedings of the 2014 International Power Electronics and Application Conference and Exposition, Shanghai, China, 5–8 November 2014; pp. 496–501. [Google Scholar] [CrossRef]
- Ghosh, S.; Rahman, S. Global deployment of solar photovoltaics: Its opportunities and challenges. In Proceedings of the 2016 IEEE PES Innovative Smart Grid Technologies Conference Europe (ISGT-Europe), Ljubljana, Slovenia, 9–12 October 2016; pp. 1–6. [Google Scholar] [CrossRef]
- Gevorgian, V.; Booth, S. Review of PREPA Technical Requirements for Interconnecting Wind and Solar Generation; National Renewable Energy Lab. (NREL): Golden, CO, USA, 2013.
- Marinopoulos, A.; Papandrea, F.; Reza, M.; Norrga, S.; Spertino, F.; Napoli, R. Grid integration aspects of large solar PV installations: LVRT capability and reactive power/voltage support requirements. In Proceedings of the 2011 IEEE Trondheim PowerTech, Trondheim, Norway, 19–23 June 2011; pp. 1–8. [Google Scholar] [CrossRef]
- Zeb, K.; Islam, S.U.; Khan, I.; Uddin, W.; Ishfaq, M.; Busarello, T.D.C.; Muyeen, S.M.; Ahmad, I.; Kim, H.J. Faults and Fault Ride Through strategies for grid-connected photovoltaic system: A comprehensive review. Renew. Sustain. Energy Rev. 2022, 158, 112125. [Google Scholar] [CrossRef]
- Alrumayh, O.; Sayed, K.; Almutairi, A. LVRT and Reactive Power/Voltage Support of Utility-Scale PV Power Plants during Disturbance Conditions. Energies 2023, 16, 3245. [Google Scholar] [CrossRef]
- Liu, G.; Hu, J.; Tian, G.; Xu, L.; Wang, S. Study on high voltage ride through control strategy of PMSG-based wind turbine generation system with SCESU. J. Eng. 2019, 2019, 4257–4260. [Google Scholar] [CrossRef]
- Serban, E.; Ordonez, M.; Pondiche, C. Voltage and Frequency Grid Support Strategies Beyond Standards. IEEE Trans. Power Electron. 2017, 32, 298–309. [Google Scholar] [CrossRef]
- Crăciun, B.I.; Kerekes, T.; Séra, D.; Teodorescu, R. Frequency Support Functions in Large PV Power Plants with Active Power Reserves. IEEE J. Emerg. Sel. Top. Power Electron. 2014, 2, 849–858. [Google Scholar] [CrossRef]
- Rahmann, C.; Castillo, A. Fast Frequency Response Capability of Photovoltaic Power Plants: The Necessity of New Grid Requirements and Definitions. Energies 2014, 7, 6306–6322. [Google Scholar] [CrossRef]
- Fu, Y.; Wang, Y.; Zhang, X. Integrated wind turbine controller with virtual inertia and primary frequency responses for grid dynamic frequency support. IET Renew. Power Gener. 2017, 11, 1129–1137. [Google Scholar] [CrossRef]
- Weckx, S.; Hulst, R.D.; Driesen, J. Primary and Secondary Frequency Support by a Multi-Agent Demand Control System. IEEE Trans. Power Syst. 2015, 30, 1394–1404. [Google Scholar] [CrossRef]
- Teng, F.; Strbac, G. Assessment of the Role and Value of Frequency Response Support From Wind Plants. IEEE Trans. Sustain. Energy 2016, 7, 586–595. [Google Scholar] [CrossRef]
- Denholm, P.; Mai, T.; Kenyon, R.W.; Kroposki, B.; O’Malley, M. Inertia and the Power Grid: A Guide Without the Spin; National Renewable Energy Lab. (NREL): Golden, CO, USA, 2020.
- Teng, F.; Aunedi, M.; Pudjianto, D.; Strbac, G. Benefits of demand-side response in providing frequency response service in the future GB power system. Front. Energy Res. 2015, 3, 36. [Google Scholar] [CrossRef]
- Aljarrah, R.; Marzooghi, H.; Terzija, V. Mitigating the impact of fault level shortfall in future power systems with high penetration of converter-interfaced renewable energy sources. Int. J. Electr. Power Energy Syst. 2023, 149, 109058. [Google Scholar] [CrossRef]
- Cifuentes, N.; Rahmann, C.; Valencia, F.; Alvarez, R. Network allocation of BESS with voltage support capability for improving the stability of power systems. IET Gener. Transm. Distrib. 2019, 13, 939–949. [Google Scholar] [CrossRef]
- Camacho, A.; Castilla, M.; Miret, J.; Vasquez, J.C.; Alarcon-Gallo, E. Flexible Voltage Support Control for Three-Phase Distributed Generation Inverters Under Grid Fault. IEEE Trans. Ind. Electron. 2013, 60, 1429–1441. [Google Scholar] [CrossRef]
- Altın, M.; Göksu, Ö.; Teodorescu, R.; Rodriguez, P.; Jensen, B.B.; Helle, L. Overview of recent grid codes for wind power integration. In Proceedings of the 2010 12th International Conference on Optimization of Electrical and Electronic Equipment, Brasov, Romania, 20–22 May 2010; pp. 1152–1160. [Google Scholar] [CrossRef]
- Marchgraber, J.; Gawlik, W. Dynamic Voltage Support of Converters during Grid Faults in Accordance with National Grid Code Requirements. Energies 2020, 13, 2484. [Google Scholar] [CrossRef]
- Mortazavian, S.; Shabestary, M.M.; Mohamed, Y.A.R.I. Analysis and Dynamic Performance Improvement of Grid-Connected Voltage–Source Converters Under Unbalanced Network Conditions. IEEE Trans. Power Electron. 2017, 32, 8134–8149. [Google Scholar] [CrossRef]
- Camacho, A.; Castilla, M.; Miret, J.; Borrell, A.; de Vicuña, L.G. Active and Reactive Power Strategies with Peak Current Limitation for Distributed Generation Inverters During Unbalanced Grid Faults. IEEE Trans. Ind. Electron. 2015, 62, 1515–1525. [Google Scholar] [CrossRef]
- Holger, B.; Hermann, M.; Kreye, H.D.; Reinisch, R.; Scherer, U.; Vanzetta, J. Transmission_Code_2007: Network and System Rules of the German Transmission System Operators; VDN: Berlin, Germany, 2007. [Google Scholar]
- GB/T 19964-2012; Technical Requirements for Connecting Photovoltaic Power Station to Power System. Standardization Administration of the Peoples Republic of China: Beijing, China, 2012.































| Storage Technology | PHESS | CAESS | FESS | BESS | SMESS | SCESS | FCESS | |
|---|---|---|---|---|---|---|---|---|
| Lithium-Ion | Lead-Acid | |||||||
| Power range (MW) | 100–5000 | 5–300 | 0–0.25 | 0–0.1 | 0–40 | 0.1–10 | 0–0.30 | 0–50 |
| Energy range (kWh) | 25–5000 | 2550–25,000 | 0.1–100 | 0.001–5 | <200,000 | |||
| Energy density (Wh/kg) | 0.5–1.5 | 30–60 | 5–80 | 120–230 | 30–50 | 0.5–5 | 0.05–15 | 500–3000 |
| Power density (W/kg) | - | - | 700–12,000 | 150–2000 | 75–300 | 500–2000 | 10– | >500 W/L * |
| Efficiency (%) | 65–87 | 80–89 | 85–95 | 75–97 | 63–90 | 95–98 | 84–97 | 20–66 |
| Pickup time | 2–5 min | 1–2 min | Seconds | Milliseconds | Milliseconds | Milliseconds | Milliseconds | Seconds |
| Discharge time | Hours-day | Hours-day | Seconds-minutes | Minutes-hours | Seconds-hours | Milliseconds-seconds | Milliseconds-minutes | Seconds-days |
| Storage period | Hours-months | Hours-months | Seconds-minutes | Minutes-days | Minutes-days | Minutes-hours | Seconds-hours | Hours-months |
| Lifetime (year) | 40–60 | 20–60 | 15- | 5–15 | 5–15 | 20+ | 10–30 | 5–15 |
| Environmental impact | High | High | No | Very low | Medium | Low | Low | Low |
| Advantages | 1. Mature technology 2. low cost and flexibility | 3. Matured technology 4. low investment | 5. Fast response 6. No environmental impact | 7. Long lifecycle 8. Lightweight | 9. Mature technology 10. Cheap and recyclable | 11. Fast response 12. High power density | 13. Fast response 14. High power density | 15. Long time storage 16. No emission |
| Disadvantages | 17. Geographical location and environmental condition oriented 18. Long construction time | 19. Only large-scale storage systems are viable 20. Long construction time | 21. Mechanical components affect their stability and efficiency 22. Short time storage | 23. Higher initial cost 24. Less recyclability | 25. Requires regular checks and external venting | 26. Higher capital cost 27. Not matured technology | 28. Limited storage capacity 29. High initial cost | 30. Lower round trip efficiency 31. Higher capital cost |
| Country | Average Electricity Price (USD/kWh) | Solar PV Levelized Cost of Electricity (USD/kWh) | Renewable Energy Share (%) | Grid Parity Status | CO2 Emissions Intensity (kg CO2/kWh) |
|---|---|---|---|---|---|
| Australia | 0.22 | 0.041 | 32 | Yes | 0.58 |
| China | 0.08 | 0.037 | 28 | Yes | 0.70 |
| France | 0.19 | 0.062 | 23 | Yes | 0.05 |
| Germany | 0.34 | 0.080 | 46 | Yes | 0.42 |
| India | 0.08 | 0.037 | 22 | Yes | 0.75 |
| Italy | 0.21 | 0.046 | 38 | Yes | 0.30 |
| Japan | 0.23 | 0.074 | 18 | No | 0.47 |
| South Korea | 0.13 | 0.074 | 6 | No | 0.51 |
| Spain | 0.24 | 0.046 | 44 | Yes | 0.39 |
| United Kingdom | 0.21 | 0.058 | 37 | Yes | 0.23 |
| United States | 0.15 | 0.058 | 20 | Yes | 0.53 |
| Brazil | 0.12 | 0.050 | 83 | Yes | 0.10 |
| Canada | 0.10 | 0.060 | 65 | Yes | 0.15 |
| Egypt | 0.05 | 0.040 | 9 | Yes | 0.60 |
| Mexico | 0.09 | 0.045 | 20 | Yes | 0.45 |
| South Africa | 0.14 | 0.065 | 11 | No | 0.90 |
| Supervised | Unsupervised | Neural Networks | Reinforcement Learning |
|---|---|---|---|
| Decision Tree Classifier (DTC) [88] | Modified Mutual Information (MMI) [89] | Factored Conditional Restricted Boltzmann Machine’s (FCRBM) [90] | Model-Free Reinforcement Learning (RL) [91] |
| Logistic Regression [92] | K-Means Clustering [93] | Modified Teaching-Learning Algorithm (MTLA) [94] | Proximal Policy Optimization (PPO) [95] |
| Support Vector Machines (SVM) [96] | Hidden Markov Model (HMM) [97] | Temporal Convolution Network (TCN) [98] | Interpretable Machine Learning [99] |
| Naïve Bayes (NB) [100] | Principle Component Analysis (PCA) [101] | Long-Short Term Memory (LSTM) [102] | |
| K-Nearest Neighbor (KNN) [103] | Ensemble Learning [104] | Stacked Denoising Auto-Encoders with Support Vector Regression (SVR) [105] |
| Year | Standards | Description |
|---|---|---|
| 2015 | ISO/IEC 13272-1 | Terminology for Energy Efficiency This section is dedicated to clarifying terminology associated with energy efficiency. The objective is to establish a uniform comprehension of concepts like energy performance, energy savings, and energy efficiency indicators across various sectors and applications. The standardization of these definitions facilitates the global development and implementation of energy management systems and policies. |
| 2015 | ISO/IEC 13273-2 | Terminology for Renewable Energy This section addresses the terminology associated with renewable energy systems and sources, such as solar, wind, hydropower, and biomass. It offers precise explanations for concepts related to the production, incorporation, and application of renewable energy. The standard plays a crucial role in aligning technical terminology within the renewable energy sector, thereby enhancing communication among various stakeholders. |
| 2018 | ISO 50001 | Energy Management Systems An internationally acknowledged standard that offers a structured approach for the establishment, implementation, maintenance, and enhancement of energy management systems. This approach enables organizations to enhance energy performance, boost efficiency, and lower costs along with greenhouse gas emissions. |
| 2016 | ISO 17741 | Energy Savings Outlines fundamental approaches for evaluating and documenting energy savings within organizations. This framework is applicable across multiple sectors and is intended to assess and validate enhancements in energy efficiency. |
| 2015 | ISO 17742 | Energy Efficiency and Savings Calculations Presents approaches to quantify and articulate energy efficiency enhancements and savings within industrial, commercial, and residential sectors. |
| 2013 | ISO 9459-1-4 | Solar Heating A collection of criteria outlining approaches for assessing and analyzing solar heating systems, focusing on thermal efficiency and life expectancy. |
| 2021 | IEC 61724 | Photovoltaic System Performance Monitoring Outlines procedures for collecting, analyzing, and reporting data on the performance of photovoltaic (PV) systems. |
| 2002 | ISO 13602 | Energy Systems Integration Provides foundational concepts and recommendations for the incorporation of renewable energy systems into current grids and infrastructure, prioritizing efficiency and reliability. |
| 2014 | IEC 62817 | Photovoltaic (PV) System—Design Qualification It focuses on the design certification of photovoltaic trackers to guarantee their reliability and efficiency in solar energy systems. |
| 2017 | ISO 52000 Series | Energy Performance of Buildings A set of requirements pertaining to the comprehensive energy performance of buildings, including heating, cooling, lighting, and more operational elements. |
| 2018 | ISO 14064 | Greenhouse Gas Accounting and Verification Establishes criteria for measuring and disclosing greenhouse gas emissions and removals, relevant to renewable energy initiatives focused on emission reduction. |
| 2019 | IEC 60364-8-1 | Energy Efficiency in Electrical Installations Addresses energy efficiency considerations in electrical installations, including design recommendations to enhance efficiency in energy distribution systems. |
| 2018 | ISO/TR 21954 | Energy Storage Systems Provides guidance on the integration and functioning of energy storage technologies, particularly batteries, into energy frameworks. |
| 2006 | ISO 14040 | Life Cycle Assessment (LCA) Establishes guidelines and a methodology for evaluating the environmental effect of renewable energy technologies over their entire life cycle. |
| 2019 | ISO 14687 | Hydrogen Fuel Quality Defines the quality standards for hydrogen used as a renewable energy source, assuring compatibility with fuel cell systems. |
| 2010 | IEC 62109 | Safety of Power Converters for Use in PV Systems Ensures safety in the design and execution of power converters used in photovoltaic systems, encompassing electrical, thermal, and mechanical aspects. |
| 2020 | IEC TS 62257-9-8 | Renewable Energy and Hybrid Systems for Rural Electrification Provides guidance on evaluating the performance of solar photovoltaic (PV) lighting systems and kits intended for rural electrification initiatives. This is included in the IEC 62257-9-8 series, which addresses off-grid renewable energy systems and electrification in regions that lack connection to the main power grid. |
| 2016 | IEC TS 618376 | Solar Photovoltaic Energy systems—Terms, Definitions and Symbols This technical specification outlines the terms, definitions, and symbols derived from national and international solar photovoltaic standards, as well as relevant documents in the field of solar photovoltaic energy systems. It incorporates terminology and symbols compiled from the published standards of IEC Technical Committee 82, ensuring consistency and alignment with established guidelines in photovoltaic system design and analysis. |
| Year | Standards | Description |
|---|---|---|
| 2010 | IEEE 1679 | Guide for the Characterization and Evaluation of EES Systems Provides guidelines for assessing the features, functionality, and security of electrical energy storage systems for different uses. |
| 2013 | IEC 61427-1 | Secondary Cells and Batteries for Renewable Energy Storage Evaluates the specifications for batteries in solar energy systems, emphasizing performance and durability. |
| 2015 | IEEE 2030.2 | Guide for Energy Storage in Electric Power Systems Addresses grid connectivity, operation, and design of energy storage devices with an emphasis on electric power system integration. |
| 2016 | IEEE 2030.3 | Test Procedures for Electric Energy Storage Equipment Establishes testing methodologies to ensure the functionality and safety of energy storage systems in both grid-connected and off-grid environments. |
| 2017 | IEEE 2030.7 | Standard for the Specification of Microgrid Controllers focuses on controllers for microgrids that include energy storage systems, facilitating smooth grid interaction and enhancement. |
| 2017 | IEC 62933-2-1 | Electrical Energy Storage Systems—Unit Parameters and Testing Methods Provides the metrics and procedures for evaluating electrical energy storage systems to ensure their efficiency and dependability. |
| 2017 | IEC 62920 | Grid Integration of Large-Capacity EES Systems Describes the necessary specifications and evaluation techniques for the integration of high-capacity energy storage systems within power grids. |
| 2017 | ISO/IEC 11801-6 | Balanced Cabling Systems for ESS Communication Develops cabling standards that ensure effective communication between ESS and grid infrastructure. |
| 2018 | IEC 62933-1 | Electrical Energy Storage (EES) Systems—Vocabulary: Revised Creates a unified framework of terminology and definitions for EES systems, promoting clear and consistent technical communication. |
| 2018 | IEC 62660 | Lithium-Ion Batteries for Automotive and Energy Storage Applications Provides specifications and conducts assessments for lithium-ion batteries utilized in both automotive and stationary energy storage applications. |
| 2019 | ISO 23900 | Energy Storage Systems for Renewable Energy Integration Provides guidelines for the integration of energy storage systems with renewable energy technologies such as wind and solar. |
| 2020 | ISO/TR 21954 | Energy Storage Systems—Guidelines Provides a framework for the planning, implementation, and management of energy storage systems, encompassing applications for renewable energy and support for the grid. |
| 2020 | UL 1974 | Repurposing Batteries for Second-Life Applications Provides a comprehensive framework for the repurposing of electric vehicle batteries in grid storage applications, emphasizing the importance of performance and safety evaluations. |
| 2020 | IEEE 1547 | Standard for Interconnection and Interoperability of Distributed Energy Resources with Associated Power Systems Combines conditions for energy storage systems that are integrated with distributed energy resources such as photovoltaic and wind technologies. |
| 2020 | IEEE 1547.1 | Testing Requirements for Interconnection of Energy Storage with Power Systems Provides evaluation standards for the integration of distributed energy storage systems with the grid. |
| 2020 | IEEE 2030.8 | Standard for the Testing of Microgrid Controllers with Energy Storage Outlines the role of energy storage systems in microgrid configurations for providing ancillary services such as demand response, voltage regulation, and peak shaving. |
| 2020 | IEC 62898-3-1 | Microgrid Systems Including EES Details the specifications for energy management systems in microgrids that incorporate energy storage solutions. |
| 2020 | IEC 62920 | Photovoltaic Power Generation Systems—Energy Storage Systems Testing Focuses on energy storage solutions within photovoltaic systems, detailing approaches to evaluate efficiency and reliability. |
| 2020 | IEC 62040-5-3 | Grid-Connected Energy Storage Systems (GCES) Outlines the functional and performance specifications for GCES utilized in utility applications. |
| 2020 | IEC 61850-7-4 | Communication Networks for EES Systems in Smart Grids Defines communication protocols for energy storage systems within smart grid applications. |
| 2021 | IEC 62933-3-1 | Electrical Energy Storage Systems—Planning and Installation Provides a framework for the planning, design, and implementation of electrical energy storage systems. |
| 2021 | IEC 61427-2 | Performance Requirements for Secondary Batteries in Solar Applications Defines criteria for assessing the performance and longevity of batteries within solar photovoltaic systems. |
| 2021 | IEC 62133 | Safety Requirements for Portable Lithium-Ion Batteries Outlines the safety standards for portable lithium-ion batteries utilized in energy storage systems. |
| 2021 | IEC TS 62933-4-1 | EES Systems—Environmental Issues Focuses on evaluating and reducing the environmental effects of energy storage systems across their entire lifecycle. |
| 2021 | UL 9540 | Standard for Energy Storage Systems and Equipment Outlines the safety standards necessary for the design, construction, and operation of energy storage systems utilized in residential, commercial, and utility settings. |
| 2022 | IEC TR 61850-90-9 | Communication Systems for Power Quality Management Outlines protocols for ESS to play a significant role in sustaining grid power quality. |
| 2022 | IEC 62933-2-2 | Electrical Energy Storage Systems—Performance Testing Develops protocols for assessing the effectiveness of energy storage systems across different scenarios. |
| 2022 | IEC TS 62933-4-2 | Electrical Energy Storage Systems—Grid Performance Testing Outlines procedures for evaluating ESS performance, focusing on efficiency, response time, and power quality in grid-connected situations. |
| 2022 | IEC 62933-5-2 | Electrical Energy Storage Systems—Safety Requirements for Grid Integration Promotes the importance of implementing safety protocols to mitigate risks associated with energy storage systems when integrated with utility grids. Highlights the importance of fault tolerance, fire resistance, and ensuring safe operation during grid disturbances. |
| 2022 | IEEE 1561 | Guide for Optimizing Battery Life in Stationary Applications Provides methods for enhancing the lifespan of batteries in stationary energy storage systems, along with maintenance recommendations. |
| 2022 | IEC 62619 | Safety Requirements for Secondary Lithium Cells and Batteries Establishes safety standards for rechargeable lithium batteries utilized in industrial energy storage systems. |
| 2022 | IEC 63125 | Safety Guidelines for Solid-State Batteries in Grid Storage Focuses on the distinct safety aspects associated with solid-state battery systems. |
| 2022 | IEC 62040-5-3 | Safety Requirements for Energy Storage in UPS Systems Evaluates safety standards for uninterruptible power supply system employing energy storage technologies. |
| 2023 | IEEE P2030.11 | Standards for Hybrid Energy Storage Systems Details the integration guidelines for hybrid storage systems that merge batteries with flywheels, supercapacitors, or other forms of technology. |
| 2019 | EN 50549-1 | Requirements for Grid Connection of Generating Units (Europe) Defines the necessary connections for energy storage systems in European electrical grids, focusing on voltage regulation, protection mechanisms, and fault ride-through capabilities. |
| 2020 | NERC PRC-024-2 | Generator Frequency and Voltage Ride-Through Standards Relevant to energy storage systems in North American grids, promoting stability during frequency and voltage fluctuations. |
| 2020 | AS 4777.2 | Grid Connection of Energy Systems via Inverters Details the specifications for ESS inverters to align with Australian grid codes, guaranteeing adherence to local regulations. |
| Region/Countries | Connected Voltage Level | Voltage Range (p.u.) | |
|---|---|---|---|
| China | 110 kV and 66 kV | 0.97~1.07 | |
| 220 kV and above | 1.0~1.10 | ||
| ENTSO | Continental Europe | All | 0.90~1.118 |
| Nordic | All | 0.90~1.05 | |
| UK | All | 0.90~1.10 | |
| Ireland | All | 0.90~1.118 | |
| Baltic | All | 0.90~1.12 | |
| National Grid (United Kingdom) | 132 kV | 0.90~1.10 | |
| 275 kV | 0.90~1.10 | ||
| 400 kV | 0.95~1.05 | ||
| AESO (Canada) | 115 kV | 0.98~1.10 | |
| Standard | AS 4777.1 | BDEW | IEC/IEEE/IPAS 63547 | VDE-AR-N 4104 | Gazette of India. Part III—Sec.4 | ARCONEL 003 |
|---|---|---|---|---|---|---|
| Voltage variation | 2% | 2% | 5% | 3% | 5% | 5% |
| IEEE 1574 | IEC 61727 | VDE-AR-N 4105 | |||
|---|---|---|---|---|---|
| Voltage Range (%) | Disc. (s) | Voltage Range (%) | Disc. (s) | Voltage Range (%) | Disc. (s) |
| V < 50 | 0.16 | V < 50 | 0.10 | V < 80 | 0.1 |
| 50 ≤ V < 88 | 2.00 | 50 ≤ V < 85 | 2.00 | V ≥ 110 | 0.1 |
| 110 < V < 120 | 1.00 | 110 < V < 135 | 2.00 | ||
| V ≥ 120 | 0.16 | V ≥ 135 | 0.05 | ||
| Max. Clearance Time (s) | Voltage Trip Setting | ||
|---|---|---|---|
| Overvoltage Stage 1 | Default | 0.2 | 230 V + 15% |
| CZ | 0.2 | 230 V + 15% | |
| DE | 0.2 | 230 V + 10% | |
| DK | 40 | 230 V + 10% | |
| ES | - | 230 V + 10% | |
| FR | 0.2 | 230 V + 15% | |
| GB | 1.5 | 258 V | |
| IT | 0.1 | 230 V + 20% | |
| Undervoltage | Default | 1.5 | 230 V − 15% |
| CZ | 0.2 | 230 V − 15% | |
| DE | 0.2 | 230 V − 20% | |
| DK | 10 | 230 V − 10% | |
| ES | - | 230 V − 15% | |
| FR | 0.2 | 230 V − 15% | |
| GB | 1.5 | 184 V | |
| IT | 0.2 | 230 V − 20% |
| Supply Voltage Variation VDE-AE-N 4105 Germany [188] | RD 661/2007 Spain [190] | Arrêté 2011 France [202] |
|---|---|---|
| 0.8 Vn < V < 1.1 Vn | 0.8 Vn < V < 1.1 Vn | 0.8 Vn < V < 1.1 Vn |
| Country Grid Code | Nominal Frequency, Hz | Frequency Limits, Hz | Maximum Duration | |
|---|---|---|---|---|
| Germany | 50 | f > 51.5 47.5 < f< 51.5 f < 47.5 | Instant disconnection No trip (continuous) Immediate disconnection | |
| Spain | 50 | f > 51.5 47.5 < f < 51.5 48 < f < 47.5 f < 47.5 | Immediate disconnection Continuous operation 3 s of operation Immediate disconnection | |
| China | 50 | f > 52 50.2 < f < 52 49.5 < f < 50.2 48 < f < 49.5 f < 48 | Immediate disconnection 2 min of operation Continuous operation 10 min of operation Depend on the inverter | |
| Denmark | 50 | 50.2–52.0 49.5–50.2 49.0–49.5 48.0–49.0 47.5–48.0 47.0–47.5 | 15 min of operation Continuous operation 5 h of operation 30 min of operation 3 min of operation 20 s of operation | |
| Ireland | 50 | 50.5–52.0 49.5–50.5 47.5–49.5 47.0–47.5 | 60 min or less operation Continuous operation 20 min or less operation 10 min or less operation | |
| United States—Puerto Rico Electric Power Authority | 60 | f > 62.5 61.5 < f < 62.5 57.5 < f < 61.5 56.5 < f < 57.5 f < 56.5 | Immediate disconnection 30 s of operation Continuous operation 10 s of operation Immediate disconnection | |
| United States—North American Electric Reliability Corporation | 60 | f > 61.5 61 < f ≤ 61.5 58.5 < f ≤ 61 57.0 < f ≤ 58.5 f ≤ 57 | 0.16 s of operation 300 s of operation Continuous operation 300 s of operation 0.16 s of operation | |
| Canada | 60 | >61.7 61.6–61.7 60.6–61.6 59.4–60.6 58.4–59.4 57.8–58.4 57.3–57.8 57.0–57.3 <57 | 0 s of operation 30 s of operation 3 min of operation Continuous operation 3 min of operation 30 s of operation 7.5 s of operation 45 cycles of operation Immediate disconnection | |
| Japan | Eastern Western | 50 60 | f > 51.5 47.5 < f < 51.5 f < 47.5 f > 61.8 58 < f < 61.8 f < 58 | Immediate disconnection Continuous operation Immediate disconnection Immediate disconnection Continuous operation Immediate disconnection |
| Malaysia | 50 | f > 52 47 < f < 52 f < 47 | Immediate disconnection Continuous operation Immediate disconnection | |
| South Africa | 50 | f > 52 51 < f < 52 49 < f < 51 48 < f < 49 47 < f < 48 f < 47 | 4 s of operation 60 s of operation Continuous operation 60 s of operation 10 s of operation 0.2 s of operation | |
| UK | 50 | 51.5–52.0 51.0–51.5 49.0–51.0 47.5–49.0 47.0–47.5 | 15 min of operation 90 min of operation Continuous operation 90 min of operation 20 s of operation | |
| Romania | 50 | f > 52 47.5 < f < 52 f < 47.5 | Immediate disconnection No trip (continuous) Immediate disconnection | |
| Australia | 50 | f > 52 47.5 < f< 52 f< 47.5 | 2 s of operation Continuous operation 2 s of operation | |
| Saudi Arabia | 60 | >62.5 61.6–62.5 60.6–61.5 58.8–60.5 57.5–58.7 57.0–57.4 <57.0 | Immediate disconnection 30 s of operation 30 min of operation Continuous operation 30 min of operation 30 s of operation Immediate disconnection | |
| Standard ID | Function | Under Voltage Threshold 2 | Under Voltage Threshold 1 | Base Voltage | Over Voltage Threshold 1 | Over Voltage Threshold 2 | Under Frequency Threshold 2 | Under Frequency Threshold 1 | Base Frequency | Over Frequency Threshold 1 | Over Frequency Threshold 1 |
|---|---|---|---|---|---|---|---|---|---|---|---|
| AS 4777.2 | Settings | - | AUS—22% NZL—22% | AS 230 V & 240 V NL 230 V | AUS +13% NZL +9% | - | - | AUS −3 Hz NZL −3 Hz | 50 Hz | AUS +2 Hz NZL +2 Hz | - |
| Trip Time (s) | 2 | 2 | 2 | 2 | - | ||||||
| BDEW | Settings | −55% | −20% | 230 V | +20% | - | - | −2.5 Hz | −2.5 Hz | +2 Hz | - |
| Trip Time (s) | 0.3 | 1.5–2.4 | 0.1 | - | - | 0.1 | 0.1 | - | |||
| ARCONEL 003 | Settings | - | −10% | +10% | - | - | −0.5 Hz | 60 Hz | +0.5 Hz | - | |
| Trip Time (s) | - | 1 | 1 | - | - | - | - | - | |||
| VDE-AR-N 4105 | Settings | - | −20% | 230 V | +10% | +15% | - | −2.5 Hz | 50 Hz | +1.5 Hz | - |
| Trip Time (s) | - | 0.1 | 0.1 | 0.1 | - | 0.1 | 0.1 | - | |||
| CLC/TS 50549-1 | Settings | - | −15% | ≤1000 V | +20% | +30 | −2.5 Hz | −1.5 Hz | 50 Hz | +1.5 Hz | - |
| Trip Time (s) | - | - | - | - | - | ||||||
| CEI 0-21 | Settings | −60% | −15% | 230 V | +10% | +15% | −2.5 Hz | −0.5 Hz | 50 Hz | +0.2 Hz | +1.5 Hz |
| Trip Time (s) | 0.2 | 0.4 | 603 maximum | 0.2 | 0.1 or 4 | 0.1 | 0.1 | 0.1 or 1 | |||
| IEC/IEEE/PAS 63547 ≤30 kW | Settings | −50% | −12% | 120 V to 600 V | +10% | +20% | - | −0.7 Hz | 60 Hz | +0.5 Hz | - |
| Trip Time (s) | 0.16 | 2 | 1 | 0.16 | - | 0.16 | 0.16 | - | |||
| IEC/IEEE/PAS 63547 >30 kW | Settings | −3 Hz | −0.2 to −3 Hz adjustable | +0.5 Hz | - | ||||||
| Trip Time (s) | 0.16 | 0.16 to 300 adjustable | 0.16 | - | |||||||
| IEEE 929 | Settings | −50% | −12% | 120 V | +10% | +37% | - | −0.7 Hz | 60 Hz | +0.5 Hz | - |
| Trip Time (s) | 0.1 | 2 | 2 | 0.03 | - | 0.1 | 0.1 | - | |||
| IEEE 1547 Category I | Settings | −55% | −30% | 120 V to 600 V | +10% | +20% | −3.5 Hz | −1.5 Hz | 60 Hz | +1.2 Hz | +2 Hz |
| Trip Time (s) | 0.16 | 2 | 2 | 0.16 | 0.16 | 300 | 300 | 0.16 | |||
| IEEE 1547 Category II | Settings | −55% | −30% | 120 V to 600 V | +10% | +20% | −3.5 Hz | −1.5 Hz | 60 Hz | +1.2 Hz | +2 Hz |
| Trip Time (s) | 0.16 | 10 | 2 | 0.16 | 0.16 | 300 | 300 | 0.16 | |||
| IEEE 1547 Category III | Settings | −50% | −12% | 120 V to 600 V | +10% | +20% | −3.5 Hz | −1.5 Hz | 60 Hz | +1.2 Hz | +2 Hz |
| Trip Time (s) | 2 | 21 | 13 | 0.16 | 0.16 | 300 | 300 | 0.16 | |||
| Gazette of India Part III—Sec.4 | Settings | −20% | 230 V | +10% | - | - | −2.5 Hz | 50 Hz | +0.5 Hz | - | |
| Trip Time (s) | - | 2 | 2 | - | - | 0.2 | 0.2 | - | |||
| EN 50438 | Settings | - | −15% | 230 V | +10% | +15% | - | −2.5 Hz | 50 Hz | +2 Hz | - |
| Trip Time (s) | - | 1.5 | 0.2 | 3 | - | 0.5 | 0.5 | - | |||
| G 59 | Settings | −22% | −18% | 230 V | +17% | +21% | −2 Hz | −0.5 Hz | 50 Hz | +0.2 Hz | +0.5 Hz |
| Trip Time (s) | 0.48 | 2.48 | 0.98 | 0.48 | - | 600 | 120 | 0 | |||
| G 83 | Settings | −20% | −13% | 230 V | +14% | +19% | |||||
| Trip Time (s) | 0.5 | 2.5 | 1 | 0.5 | |||||||
| GB-T 19964 | Settings | - | −10% | 220 V | +10% | +20% | |||||
| Trip Time (s) | - | 10 | 0.5 | ||||||||
| GB-T 20046 | Settings | −50% | −12% | 220 V | +10% | +37% | - | −0.5 Hz | 50 Hz | +0.5 Hz | - |
| Trip Time (s) | 0.1 | 2 | 2 | 2–60 | - | 2 | 2 | - | |||
| UNE/EN/IEC 62109 | Settings | - | −3 Hz | 50 Hz | +2 Hz | - | |||||
| Trip Time (s) | - | - | - | - | |||||||
| UL 1741 | Settings | −0.7 Hz | 60 Hz | +0.5 Hz | - | ||||||
| Trip Time (s) | - | 0.1 | 0.1 | - |
| Standards | Country | Type | Harmonic Order (h) | Distortion Limit | THD (%) |
|---|---|---|---|---|---|
| IEEE 1547 AS 4777.2, GB/T, and ECM | Australia, China, and Malaysia | Odd | 33 < h 23≤ h≤ 33 17 ≤ h ≤ 21 11 ≤ h ≤ 15 3 ≤ h ≤ 9 | <0.3% <0.6% <1.5% <2% <4% | <5% |
| Even | 10 ≤ h ≤ 32 2 ≤ h ≤ 8 | <0.5% <1% | |||
| EREC G83 Standards | UK | Odd | h = 3, 5, and 7 h = 9, 11, and 13 11 ≤ h ≤ 15 | <(2.3, 1.14, and 0.77) %. <(0.4, 0.33, and 0.21) %. <0.15% | <3% |
| Even | h = 2, 4, and 6 8 ≤ h ≤ 40 | <(1.08, 0.43, and 0.3) % <0.23% | |||
| IEC 61000-3-2 | International Standard | Odd | h = 3, 5, and 7 h = 9, 11, and 13 15 ≤ h ≤ 39 | <(3.45, 1.71, and 1.15) % <(0.6, 0.5, and 0.3) % <0.225% | <5% |
| Even | h = 2, 4, and 6 8 ≤ h ≤ 40 | <(1.6, 0.65, and 0.45) % <0.345% | |||
| CAN/CSA C22.3 | Canada | Odd | h > 33 23 ≤ h ≤ 33 17 ≤ h ≤ 21 11 ≤ h ≤ 15 3 ≤ h ≤ 9 | <0.33% <0.6% <1.5% <2% <4% | <5% |
| Even | h > 34 22 ≤ h ≤ 32 16 ≤ h ≤ 20 10 ≤ h ≤ 14 8 ≤ h ≤ 40 | <1.0% <0.5% <0.4% <0.2% <0.1% | <5% |
| Individual Harmonic Order (Odd Harmonics) | ||||||
|---|---|---|---|---|---|---|
| ISC/IL | 3 ≤ h < 11 | 3 ≤ h < 11 | 17 ≤ h < 23 | 23 ≤ h < 35 | 35 ≤ h ≤ 50 | THD |
| <20 | 4.0 | 2.0 | 1.5 | 0.6 | 0.3 | 5.0 |
| 20 < 50 | 7.0 | 3.5 | 2.5 | 1.0 | 0.5 | 8.0 |
| 50 < 100 | 10.0 | 4.5 | 4.0 | 1.5 | 0.7 | 12.0 |
| 100 < 1000 | 12.0 | 5.5 | 5.0 | 2.0 | 1.0 | 15.0 |
| >1000 | 15.0 | 7.0 | 6.0 | 2.5 | 1.4 | 20.0 |
| Individual Harmonic Order (Odd Harmonics) | ||||||
|---|---|---|---|---|---|---|
| ISC/IL | 3 ≤ h < 11 | 3 ≤ h < 11 | 17 ≤ h < 23 | 23 ≤ h < 35 | 35 ≤ h ≤ 50 | THD |
| <20 | 2.0 | 1.0 | 0.75 | 0.3 | 0.15 | 2.5 |
| 20 < 50 | 3.5 | 1.75 | 1.25 | 0.5 | 0.25 | 4.0 |
| 50 < 100 | 5.0 | 2.25 | 2.0 | 0.75 | 0.35 | 6.0 |
| 100 < 1000 | 6.0 | 2.75 | 2.5 | 1.0 | 0.5 | 7.5 |
| >1000 | 7.5 | 3.5 | 3.0 | 1.25 | 0.7 | 10.0 |
| Individual Harmonic Order (Odd Harmonics) | ||||||
|---|---|---|---|---|---|---|
| ISC/IL | 3 ≤ h < 11 | 3 ≤ h < 11 | 17 ≤ h < 23 | 23 ≤ h < 35 | 35 ≤ h ≤ 50 | TTD |
| <25 | 1.0 | 0.5 | 0.38 | 0.15 | 0.1 | 1.5 |
| 25 < 50 | 2.0 | 1.0 | 0.75 | 0.3 | 0.15 | 2.5 |
| >50 | 3.0 | 1.5 | 1.15 | 0.45 | 0.22 | 3.75 |
| Standards | Country | Voltage Bus | Max. Individual Harmonics | THD (%) |
|---|---|---|---|---|
| IEEE 519 | International Standard | (V ≤ 1) kV (1 ≤ V ≤ 69) kV (69 ≤ V ≤ 161) kV (V > 161) kV | 5% 3% 1.5% 1% | 8% 5% 2.5% 1.5% |
| IEC 61000-3-2 | International Standard | (2.3 ≤ V ≤ 69) kV (69 ≤ V ≤ 161) kV (V > 161) kV | 3% 1.5% 1% | 5% 2.5% 1.5% |
| Country | During Fault | Post Fault | ||
|---|---|---|---|---|
| (s) | (s) | |||
| Denmark | 20 | 0.5 | 90 | 1.5 |
| China | 20 | 0.625 | 90 | 2 |
| United Kingdom | 15 | 0.14 | 80 | 1.2 |
| Japan | 20 | 1 | 80 | 1.2 |
| Romania | 15 | 0.625 | 90 | 3 |
| USA (NERC) | 15 | 0.625 | 90 | 3 |
| Puerto Rico (PREPA) | 15 | 0.6 | 85 | 3 |
| Brazil | 20 | 0.5 | 85 | 1 |
| Country | During Fault | Post Fault | ||
|---|---|---|---|---|
| (s) | (s) | |||
| Germany | 0 | 0.15 | 90 | 1.5 |
| USA (WECC) | 0 | 0.15 | 90 | 1.75 |
| Australia | 0 | 0.45 | 80 | 0.45 |
| Canada | 0 | 0.15 | 85 | 1 |
| Italy | 0 | 0.2 | 85 | 1.5 |
| Spain | 0 | 0.15 | 85 | 1 |
| South Africa | 0 | 0.15 | 85 | 2 |
| Malaysia | 0 | 0.15 | 90 | 1.5 |
| South Korea | 0 | 0.15 | 90 | 1.35 |
| Country | During Fault | |
|---|---|---|
| Germany | 120 | 0.1 |
| Australia | 130 | 0.6 |
| Italy | 125 | 0.1 |
| Spain | 130 | 0.25 |
| Malaysia | 120 | Continuous |
| South Africa | 120 | 0.15 |
| Puerto Rico (PREPA) | 140 | 1 |
| USA (WECC) | 120 | 1 |
| USA (NERC) | 120 | 1 |
| Denmark | 120 | 0.1 |
| Brazil | 120 | 2.5 |
| China | NE * | NE * |
| Japan | NE * | NE * |
| Romania | NE * | NE * |
| Canada | NE * | NE * |
| United Kingdom | NE * | NE * |
| Standard | Condition Depending on Rated P or S, Location or Year | Normal Stationary Operating Conditions | PF Leading Limit | PF Lagging Limit |
|---|---|---|---|---|
| AS 4777.2 | - | from 25% to 100% of output current | 0.95 | 0.95 |
| BDEW | - | at any P | 0.95 | 0.95 |
| CLC/TS 50549-1 | - | - | 0.9 | 0.9 |
| CEI 0-21 | - | - | 0.9 | 0.9 |
| IEEE 929 | - | output >10% of rating | 0.85 | 0.85 |
| VDE-AR-N 41052 | ≤13.8 kVA | - | 0.95 | 0.95 |
| >13.8 kVA | - | 0.9 | 0.9 | |
| Gazette of India Part III—Sec.4 on or after 2007 | near load centre | operating at rated output | 0.85 | 0.95 |
| Far from load centres | - | 0.9 | 0.95 | |
| Gazette of India Part III—Sec.4 on or after 2014 | - | - | 0.85 | 0.95 |
| EN 50438 | - | ≥20% of its | 0.9 | 0.9 |
| - | <20% of its | Q/ ≤ 0.1 | Q/ ≤ 0.1 | |
| G 59 | - | Operating at rated power | 0.95 | 0.95 |
| G 83 | - | Operating at rated power | 0.95 | 0.95 |
| GB-T 199644 | - | Under rated power | 0.95 | 0.95 |
| GB-T 20046 | - | ≤50% of its | - | 0.9 |
| IEEE 1547 | ≥20% of its | Q/ ≤ 0.44 | Q/ ≤ 0.25 | |
| <20% of its | Q/ ≤ 0.44 | Q/ ≤ 0.44 |
| Standard | CLC EN 50549-1 | G 83 | CEI 0-21 | GM-T 20046 | VDE-AR-N 4105 |
|---|---|---|---|---|---|
| Time(s) | 60 | 20 | 60 | 20–300 | 60 |
Disclaimer/Publisher’s Note: The statements, opinions and data contained in all publications are solely those of the individual author(s) and contributor(s) and not of MDPI and/or the editor(s). MDPI and/or the editor(s) disclaim responsibility for any injury to people or property resulting from any ideas, methods, instructions or products referred to in the content. |
© 2025 by the authors. Licensee MDPI, Basel, Switzerland. This article is an open access article distributed under the terms and conditions of the Creative Commons Attribution (CC BY) license (https://creativecommons.org/licenses/by/4.0/).
Share and Cite
Rajendran, G.; Raute, R.; Caruana, C. A Comprehensive Review of Solar PV Integration with Smart-Grids: Challenges, Standards, and Grid Codes. Energies 2025, 18, 2221. https://doi.org/10.3390/en18092221
Rajendran G, Raute R, Caruana C. A Comprehensive Review of Solar PV Integration with Smart-Grids: Challenges, Standards, and Grid Codes. Energies. 2025; 18(9):2221. https://doi.org/10.3390/en18092221
Chicago/Turabian StyleRajendran, Gowthamraj, Reiko Raute, and Cedric Caruana. 2025. "A Comprehensive Review of Solar PV Integration with Smart-Grids: Challenges, Standards, and Grid Codes" Energies 18, no. 9: 2221. https://doi.org/10.3390/en18092221
APA StyleRajendran, G., Raute, R., & Caruana, C. (2025). A Comprehensive Review of Solar PV Integration with Smart-Grids: Challenges, Standards, and Grid Codes. Energies, 18(9), 2221. https://doi.org/10.3390/en18092221
