Next Article in Journal
Challenges and Opportunities in ILR Selection for Photovoltaic System: Evaluation in Brazilian Cities
Previous Article in Journal
Have the Links Between Natural Gas and Coal Prices Changed over Time? Evidence for European and Pacific Markets
 
 
Font Type:
Arial Georgia Verdana
Font Size:
Aa Aa Aa
Line Spacing:
Column Width:
Background:
Article

Grid-Connected Harmonic Suppression Strategy Considering Phase-Locked Loop Phase-Locking Error Under Asymmetrical Faults

1
College of Electrical Engineering, Shanghai University of Electric Power, Shanghai 200090, China
2
Offshore Wind Power Research Institute, Shanghai University of Electric Power, Shanghai 200090, China
*
Author to whom correspondence should be addressed.
Energies 2025, 18(9), 2202; https://doi.org/10.3390/en18092202
Submission received: 24 March 2025 / Revised: 20 April 2025 / Accepted: 24 April 2025 / Published: 26 April 2025

Abstract

Harmonic distortion caused by phase jumps in the phase-locked loop (PLL) during asymmetric faults poses a significant threat to the secure operation of renewable energy grid-connected systems. A harmonic suppression strategy based on Vague set theory is proposed for offshore wind power AC transmission systems. By employing the three-dimensional membership framework of Vague sets—comprising true, false, and hesitation degrees—phase-locked errors are characterized, and dynamic, real-time PLL proportional-integral (PI) parameters are derived. This approach addresses the inadequacy of harmonic suppression in conventional PLL, where fixed PI parameters limit performance under asymmetric faults. The significance of this research is reflected in the improved power quality of offshore wind power grid integration, the provision of technical solutions supporting efficient clean energy utilization in alignment with “Dual Carbon” objectives, and the introduction of innovative approaches to harmonic suppression in complex grid environments. Firstly, an equivalent circuit model of the offshore wind power AC transmission system is established, and the impact of PLL phase jumps on grid harmonics during asymmetric faults is analyzed in conjunction with PLL locking mechanisms. Secondly, Vague sets are employed to model the phase-locked error interval across three dimensions, enabling adaptive PI parameter tuning to suppress harmonic content during such faults. Finally, time-domain simulations conducted in PSCAD indicate that the proposed Vague set-based control strategy reduces total harmonic distortion (THD) to 1.08%, 1.12%, and 0.97% for single-phase-to-ground, two-phase-to-ground, and two-phase short-circuit faults, respectively. These values correspond to relative reductions of 13.6%, 33.7%, and 80.87% compared to conventional control strategies, thereby confirming the efficacy of the proposed method in minimizing grid-connected harmonic distortions.

1. Introduction

1.1. Research Background

With the accelerated implementation of China’s “Dual Carbon” strategy, offshore wind power has emerged as a cornerstone of renewable energy development due to its abundant resources, stable generation, and minimal land use [1,2]. According to the 2024 Global Offshore Wind Report by the Global Wind Energy Council, China’s offshore wind installed capacity and new additions have ranked first globally for six consecutive years, a success driven by technological innovation and robust policy support [3,4,5,6]. Efficient harmonic suppression technologies are recognized as critical for ensuring power quality in offshore wind systems and facilitating the efficient utilization of clean energy under the “Dual Carbon” framework.
Harmonics, typically induced by nonlinear loads, inverters, or grid faults, are particularly pronounced in offshore wind power systems [7,8]. The double second-order generalized integrator phase-locked loop (DSOGI-PLL) has been widely adopted in offshore wind grid integration control due to its superior phase synchronization performance under asymmetric fault conditions [9,10,11]. However, the dynamic response characteristics of the DSOGI-PLL can lead to the accumulation of phase-locked errors during asymmetric faults, significantly elevating harmonic content at the grid connection point.

1.2. Literature Review

1.2.1. Research on Phase-Locked Loop Under Asymmetric Fault

Asymmetric faults can trigger phase jumps at the grid connection point, with phase-locked loops exhibiting phase-locked errors during the dynamic response to such jumps [12]. Improved designs of the second-order generalized integrator PLL have been reported in the literature [13,14,15,16]. The study in [17], based on the DSOGI-PLL, elucidates the intrinsic relationship between three-phase voltage imbalances and phase-locked errors, proposing corresponding compensation strategies. In [18,19], phase-locking accuracy is enhanced through the application of sequence-decoupled resonant controllers.

1.2.2. Research on Harmonic Content Suppression Technology for Grid Connection

Current research on phase-locked loops (PLLs) for harmonic suppression predominantly assumes fixed PI parameters. In [20], the impact of PLL dynamic response on fault currents in inverter-based resources is analyzed, and a theoretical expression for PLL-related fault current analysis is derived. A transient current analysis method accounting for the nonlinear dynamics of PLLs is proposed in [21], where the mechanisms of nonlinear PLL output during transients are examined, quantitatively characterizing the underdamped behavior and oscillation decay of inverter fault currents. An enhanced three-phase PLL is reported in [22], while an improved PLL method based on a moving average filter is introduced in [23]. A lattice SRF-PLL technique, effective in mitigating harmonic distortion, is described in [24]. Dual synchronous reference frame PLL and decoupled DebugRF-PLL designs are presented in [25]. PLL strategies based on delayed signal cancelation (DSC) are documented in [26,27,28,29,30]. Notably, although these studies advance harmonic control theory across multiple dimensions, the reliance on fixed PI parameters imposes limitations on these suppression methods under asymmetric faults, potentially hindering effective harmonic mitigation.

1.2.3. Research on the Application of Vague Set Theory

Vague set theory demonstrates distinct advantages in addressing complex operating conditions in power systems by effectively characterizing uncertain information through true, false, and hesitation membership functions. In [31], a novel approach utilizing fuzzy set similarity measures for steam turbine fault diagnosis is proposed, with case studies systematically validating the effectiveness and rationality of these measures in fault diagnosis. A multi-objective optimization model for distribution network maintenance is introduced in [32], employing a Vague set-based multi-attribute decision-making algorithm with fuzzy entropy weights to select optimal maintenance schemes. The model’s effectiveness and reliability are verified through numerical examples. For offshore wind systems operating in highly complex marine environments, an interval forecasting method based on fuzzy soft sets is developed in [33], achieving optimized coverage accuracy and interval clarity while supporting operational demands under diverse conditions. A two-stage robust expansion planning method integrating offshore wind into transmission networks is established in [34], leveraging fuzzy soft sets to address multifaceted uncertainties. In [35], a fuzzy set-based power quality assessment method is proposed, where power quality at monitoring points is systematically ranked. Its application to power quality evaluation in an actual wind farm in China confirms the method’s effectiveness and feasibility. Although these studies have applied Vague set theory across various scenarios, the feasibility of employing Vague sets for real-time tuning of phase-locked loop PI parameters has not been explored. The above literature provides valuable insights for implementing dynamic, real-time PLL PI parameter tuning using Vague set theory.
Based on the foregoing analysis, existing research reveals critical gaps in phase-locked error control and harmonic suppression under asymmetric faults: (1) Harmonic suppression techniques for offshore wind power systems under asymmetric faults have not addressed dynamic, real-time tuning of PI parameters to mitigate harmonic content. (2) The potential of Vague set theory in power system control, particularly for asymmetric fault scenarios in offshore wind systems, remains underexplored. To address these shortcomings—namely, the lack of consideration for real-time dynamic DSOGI-PLL PI parameter tuning to suppress harmonic content in offshore wind asymmetric fault scenarios—a harmonic suppression strategy based on Vague set theory is proposed. By precisely characterizing phase-locked errors, the strategy dynamically adjusts DSOGI-PLL parameters, offering a novel solution to reduce harmonic content under asymmetric faults. Initially, a structural model of the offshore wind AC transmission system is developed, systematically elucidating the mechanisms of phase-locked error generation and the dynamic characteristics of DSOGI-PLL PI parameters. Subsequently, a Vague set-based interval controller is formulated to establish a real-time mapping between phase-locked errors and DSOGI-PLL PI parameters. Finally, a dynamic, real-time tuning algorithm for DSOGI-PLL PI parameters, grounded in Vague set theory, is introduced. Using an offshore wind AC transmission system as a case study, harmonic content suppression is successfully achieved, and the effectiveness of the proposed Vague set-based control strategy is validated. The technical roadmap of this study is illustrated in Figure 1.
The subsequent sections of this study are structured as follows: Section 2 establishes a model of the offshore wind AC transmission system, through which the dynamic characteristics of DSOGI-PLL PI parameters and their effects on phase-locked errors and grid-connected harmonic distortion are systematically investigated. In Section 3, a Vague set-based interval controller is developed, establishing a real-time dynamic coupling between phase-locked errors and DSOGI-PLL PI parameters. Section 4 examines the Vague set-based control strategy within the context of the offshore wind AC transmission system model. Initially, simulation tests are conducted to assess the real-time tuning of DSOGI-PLL PI parameters under the Vague set control strategy, verifying whether dynamic variations in phase-locked errors can facilitate coordinated adjustments of DSOGI-PLL PI parameters and whether these adjustments adhere to the design principles of the Vague set interval control framework. Subsequently, a comparative analysis of harmonic content under asymmetric fault conditions is performed, evaluating the proposed Vague set-based approach against conventional control strategies. Section 5 discusses the research outcomes, highlighting the limitations of the current findings and providing insights into future research directions. Section 6 presents the conclusions.

2. Influence of DSOGI-PLL on Grid-Connected Harmonic Content Under Asymmetrical Faults

2.1. Offshore Wind Grid Connection System Modeling

The topology of the offshore wind AC submarine cable transmission system is illustrated in Figure 2. Specifically, the main structure of the offshore wind AC transmission system is depicted in Figure 2a. The control schematic of the rotor-side converter (RSC) is shown in Figure 2b, while that of the grid-side converter (GSC) is presented in Figure 2c. The structure of the phase-locked loop is illustrated in Figure 2d.
In Figure 2a, the main components of the offshore wind AC transmission system are illustrated, including the wind turbine, permanent magnet synchronous generator (PMSG), machine-side converter, grid-side converter, filter resistor R1, filter inductor L1, submarine AC cable, grid inductor Lg, and the grid.
In Figure 2b, the rotor-side converter (RSC) employs rotor flux-oriented vector control to achieve a precise regulation of electromagnetic power and rotational speed. The control logic of the machine-side converter is structured as a dual-loop system, comprising an outer speed loop and an inner current loop. The outer speed loop uses the error between the reference speed n*, typically determined by a maximum power point tracking strategy, and the actual speed n as input. This error is processed by a PI controller to generate reference currents i s d * and i s q * , with i s d * typically set to zero. The inner current loop takes the error between reference current i s q * , i s d * and actual currents isd, isq as input, producing d-axis and q-axis voltages Usd, Usq via a PI controller. These voltages account for stator resistance Rs, stator inductances Lsd and Lsq, electrical angular velocity ωe, and permanent magnet flux linkage ψf. The resulting signals undergo dq/abc transformation and sinusoidal pulse width modulation (SPWM) to generate switching signals, synchronized with the rotor angle θRSC.
In Figure 2c, the grid-side converter adopts grid voltage-oriented vector control to regulate DC-link voltage and reactive power output while ensuring low-voltage ride-through (LVRT) capability. The control scheme of the grid-side converter features a dual-loop structure. The outer voltage loop operates in two modes based on system conditions: under normal operation (Mode 0), the error between the reference DC bus voltage Udcref and the actual voltage Udc is processed by a PI controller to produce the reference d-axis current Idref, with Iqref = 0, ensuring stable DC voltage; during LVRT (Mode 1), Idref is calculated as I pcc 2 I q r e f 2 , where Iqref is determined by (0.9 − Upcc)K1IN, providing additional reactive support to meet grid LVRT requirements. The inner current loop uses the error between reference currents Idref, Iqref and actual currents Id, Iq as input, generating d-axis and q-axis voltages Ud, Uq via a PI controller. These voltages incorporate feedforward terms ed, eq, angular frequency ω, and inductance L1, followed by dq/abc transformation to produce switching signals. The control phase signal θPLL, used for system synchronization, is generated by the DSOGI-PLL.
In Figure 2d, the DSOGI-PLL structure processes the three-phase grid voltages Ea, Eb, Ec, which are transformed into stationary frame components uα and uβ via an abc/αβ transformation module. These components are then processed by a dual second-order generalized integrator to extract positive-sequence components u α + and u β + . The positive-sequence components undergo αβ/dq transformation to yield d-axis and q-axis voltage components ed and eq, ultimately producing θPLL for phase synchronization with the grid.

2.2. Mechanism of Phase Jump Generation in Offshore Wind Systems

When an asymmetrical fault occurs in the offshore wind grid-connected system, a phase jump occurs at the grid-connected point. The phase-locked loop undergoes a short dynamic process when tracking the phase of the grid connection point, resulting in a phase-locking error. The phase-locking error affects the output characteristics of the inverter by influencing the Park transform and inverse transform processes, resulting in a large harmonic component in the inverter output current.
When an asymmetric fault occurs, the three-phase asymmetric voltage can be expressed as follows:
E a E b E c = E s a cos ( ω 0 t + θ a ) E s b cos ( ω 0 t 2 π 3 + θ b ) E s c cos ( ω 0 t + 2 π 3 + θ c )
where Ea, Eb, and Ec are phase A, B and C voltages, respectively; ω0 is the voltage fundamental frequency; Esa, Esb, and Esc are the voltage amplitudes of each phase after the fault. θa, θb, and θc are the phase jump angles of each phase after the fault. The unbalanced voltage components in the two-phase stationary coordinate system are as follows:
u α u β = E α cos ( ω 0 t θ α ) E β cos ( ω 0 t + θ β )
The voltage positive-sequence component can be calculated by dividing uα, uβ by SOGI quadrature. The voltage positive-sequence component is transformed by αβ-dq to obtain u d + and u q + . The expressions for ed and eq obtained from the αβ/dq transformation of the positive-sequence components u d + and u q + are given by the following:
e d e q = 1 2 E α cos θ 1 + E β cos θ 2 E α sin θ 1 + E β sin θ 2
Among them,
θ 1 = ω 0 t θ α θ θ 2 = ω 0 t θ β θ
where θ is the angle between the d-axis and the a-axis, and the phase jump angle of the positive-sequence voltage after the fault is noted as δθ. When u q + = 0, the phase jump angle of the positive-sequence voltage under three-phase imbalance δθ is as follows:
δ θ = t a n - 1 ( E sa sin θ a + E sb sin θ b + E sc sin θ c E sa cos θ a + E sb cos θ b + E sc cos θ c )
Per Equation (5), under an asymmetric fault, the positive-sequence voltage phase jump angle δθ can be expressed as a function of the unbalanced three-phase voltage amplitudes Esa, Esb, Esc and their respective phase jump angles θa, θb, θc. Consequently, a phase jump δθ manifests in the system during an asymmetric fault.

2.3. Influence of Phase Locking Error on Harmonic Characteristics

When an asymmetrical short circuit fault occurs in the offshore wind power grid-connected system, a phase jump occurs at the grid-connected point. During the phase jump, there is a short-time dynamic process of phase tracking by the phase-locked loop, and the phase can be accurately tracked in the theoretical case. However, due to the existence of the integral link when the fault occurs, the phase tracking of the phase-locked loop is delayed, and before the accurate tracking, the output phase of the phase-locked loop deviates from the actual phase. The schematic diagram of the voltage phase change before and after the fault is shown in Figure 3.
In Figure 3, θ0 is defined as the angle between the d-axis and α-axis. θ1 represents the phase of positive-sequence voltage at the point of common coupling after fault occurrence. The positive-sequence voltage phase jump angle δθ corresponds to the d-axis phase difference between pre-fault and post-fault conditions, expressed as δθ = θ1θ0. θPLL denotes the angle between the d-axis and dPLL-axis, representing the tracked phase angle during the dynamic tracking process of the phase-locked loop. ∆θe is defined as the untracked phase angle during DSOGI-PLL dynamic tracking, termed the phase-locking error, which satisfies ∆θe = δθθPLL.
The phase-locking deviation ∆θe, which remains untracked during the DSOGI-PLL dynamic tracking process, is influenced by the parameters of the PLL’s PI controller. When ∆θe is considered, the PLL dynamic response alters the output current characteristics at the offshore wind farm’s point of common coupling. This occurs through modifications in the Park inverse transformation process. The analytical expression of the fault current is derived as follows [9]:
i a = G 0 + G 1 e R L t + F 1 cos ω 0 t + φ 1 + γ 1 + F 2 e t τ sin ω 0 + 3 2 k i v + 3 t + φ 2 + γ 2 + F 3 e t τ cos ω 0 ω x t + φ 3 γ 3
ω x = 3 2 k i v + 3 F 1 = q 1 L 2 ω 2 + R 2 F 2 = q 2 τ ( L τ R ) 2 + L 2 τ 2 ω + ω x 2 L 2 τ 2 ω 2 + 2 L 2 τ 2 ω ω x + L 2 τ 2 ( ω x ) 2 + L 2 2 L R τ + R 2 τ 2 F 3 = q 2 τ ( L τ R ) 2 + L 2 τ 2 ω ω 2 L 2 τ 2 ω 2 2 L 2 τ 2 ω ω x + L 2 τ 2 ( ω x ) 2 + L 2 2 L R τ + R 2 τ 2 cos γ 1 = R L 2 ω 2 + R 2 cos γ 2 = L τ R ( L τ R ) 2 + L 2 τ 2 ω + ω x 2 cos γ 3 = L τ R ( L τ R ) 2 + L 2 τ 2 ω ω x 2
The phase-locked loop PI parameters in the analytical expression are found to increase harmonic content in the inverter output current.
Under ideal conditions, the fault current comprises solely the fundamental frequency component ω0. However, when the dynamic response of the DSOGI-PLL is considered, the inverter output current includes non-fundamental frequency components in addition to the fundamental component, resulting in elevated harmonic content.
According to Equation (6), to reduce the harmonic content in the inverter output current, the tuning of the PI parameters can be analyzed. The dynamic response of the DSOGI-PLL is influenced by these PI parameters, and the response time of the dynamic process can be expressed as follows:
t r = arctan 2 ξ 1 ξ 2 2 ξ 2 1 2 ω c 1 ξ 2
where tr is defined as the rise time, ωc is the natural oscillation frequency and ξ is the damping ratio.
The relationships between the natural oscillation frequency ωc, damping ratio ξ, and the DSOGI-PLL PI parameters are established as follows:
ω c = k i ξ = k p 2 k p
where kp is defined as the proportional gain coefficient of the phase-locked loop, and ki is specified as the integral gain coefficient.
The following relationship is derived by combining Equations (8) and (9):
t r = arctan ( k p 4 k i ( k p ) 2 ( k p ) 2 2 k i ) 4 k i ( k p ) 2
The variation pattern between the DSOGI-PLL PI parameters and the rise time can be obtained from the above equations. This correlation is graphically demonstrated in Figure 4.
As shown in Figure 4, by adjusting the PI parameters of the DSOGI-PLL, the dynamic rise time can be improved, thereby accelerating the dynamic response. Traditional DSOGI-PLLs typically use preset PI coefficients. However, these preset PI parameters fail to quickly track sudden voltage phase changes during grid faults. Considering the dynamic characteristics of the DSOGI-PLL during unbalanced faults, real-time dynamic adjustment of the DSOGI-PLL’s PI parameters can be used to track the actual phase. A grid-connected harmonic suppression strategy based on Vague set theory [36,37,38] is designed in this study. This approach models and processes phase-locked errors in offshore wind power systems through three dimensions: true membership degree, false membership degree, and hesitation degree. The strategy updates the DSOGI-PLL’s PI parameters in real time, allowing the DSOGI-PLL to match the actual phase angle variations in the grid and effectively suppress harmonic content in the grid connection.

3. Grid-Connected Harmonic Suppression Strategy Based on Vague Set

3.1. Vague Set Theory

3.1.1. Vague Set Concept

The Vague set is a concept that reflects uncertainty and fuzzy information. Through the true membership degree, false membership degree, and hesitation degree of the Vague set, multi-dimensional fuzzy information can be integrated. It also reflects the true, false, and hesitancy degree of parameter uncertainty factors, without distortion due to fuzzy information. The true membership function represents the lower bound of the likelihood that an element belongs to the Vague set, while the false membership function represents the lower bound of the likelihood that an element does not belong to the Vague set. The hesitation degree reflects the uncertainty between an element belonging or not belonging to the Vague set.

3.1.2. Theoretical Advantages of Vague Sets

Conventional harmonic suppression techniques are predominantly based on control strategies employing preset or optimized fixed PI parameters. Under grid fault conditions, particularly asymmetric faults, the rapid variation in system operating parameters hinders the ability of the phase-locked loop to accurately track the voltage phase, resulting in increased phase-locking errors and elevated system harmonics. Although improvements such as lattice SRF-PLL and DSC-PLL have been proposed in the literature, these approaches primarily focus on structural modifications or enhanced filtering characteristics, with limited attention to the dynamic real-time optimization of PI parameters. In this study, vague set theory is introduced, and a “three-dimensional membership mechanism” is developed to dynamically capture error trends. This enables real-time tuning of the DSOGI-PLL PI parameters, achieving effective harmonic suppression. The theoretical advantages of the proposed method, compared to existing control strategies, are summarized in Table 1.
This study proposes the hypothesis that by introducing Vague set theory, the phase locking error can be more accurately characterized, and the PI parameters of DSOGI-PLL can be dynamically adjusted to reduce THD under asymmetric faults. The Vague set theory characterizes uncertainty through multiple dimensions of true membership, false membership, and hesitation, effectively handling complex fuzzy information caused by power grid faults. Its interval reasoning mechanism provides a more flexible parameter adjustment framework, theoretically supporting faster dynamic response and higher control accuracy. The interval prediction method based on Vague soft sets proposed in reference [33] successfully optimized the operating parameters of offshore wind power systems, providing practical support for the applicability of this study. To verify the hypothesis, this article introduces the Vague set, which is used to dynamically adjust the PI parameters of DSOGI-PLL in real-time, reducing the harmonic content during unbalanced faults. Based on this goal, a Vague set interval controller was constructed, as shown in Figure 5 [39,40].

3.2. Vague Set Interval Controller

3.2.1. Input–Output Interface

The membership function of the Vague set is used to describe the phase-locked error interval of offshore wind power phase-locked loop, obtain real-time dynamic parameters, and suppress the grid-connected harmonic content of the offshore AC transmission system. The input variables are the phase-locked error E and the phase-locked error change rate Ec, and the output variables are the kp and ki parameters of the phase-locked loop.

3.2.2. Internalization Link

Internalization is the process of converting input variables into interval input variables. The conversion process is determined by the membership function, with a corresponding domain. The variable states in the domain and control results are represented by Vague subsets. The six subsets of the Vague language for input variables are defined as {Very Low, Low, Moderately Low, Moderately High, High, Very High}. The six Vague subsets are represented as {VL, L, ML, MH, H, VH}. The corresponding composite membership function for the adapted Vague set is as follows:
y V i ( x ) = e ( x ( 2 i 2 ) ) 2 2     , 2 i 4 x 2 i 1 | ( 2 i 2 ) x | 2     , 2 i 4 x 2 i
In the formulation, y V i ( x ) is defined as the interval composite membership function incorporating both true membership functions t V i ( x ) and false membership functions f V i ( x ) , where i denotes the number of Vague subsets.
The true membership function is modeled using a Gaussian membership function, whereas the false membership function is represented by a triangular membership function. The expressions for the true and false membership functions are presented as follows:
t V i ( x ) = e ( x ( 2 i 2 ) ) 2 2 f V i ( x ) = | ( 2 i 2 ) x | 2
The hesitancy degree 1 f V i ( x ) t V i ( x ) can be constructed from the intervals of true and false membership values. The composite membership function is graphically represented in Figure 6 [41,42].
In Figure 6, each colored line corresponds to a Vague subset. Within the same color group, the triangular membership function curves are represented by dashed lines, whereas the Gaussian membership function curves are depicted with solid lines. Based on the comprehensive membership function curve depicted in Figure 6, a schematic diagram of the membership degree calculation process for the input variables, as illustrated in Figure 7, can be obtained.
The calculation process for the membership degree of input variables in Figure 7 is described as follows: Assuming the input variable is denoted as input1, the true membership degree, false membership degree, and hesitation interval between the true and false membership degrees for the corresponding vague subset can be obtained under the composite membership function of the vague set. When the input variable approaches the center of a vague subset interval, the probability of it belonging to that vague subset increases, resulting in an elevated membership degree. Conversely, when the input variable deviates from the center of a vague subset interval, the probability of its belonging to that subset decreases, leading to a reduced membership degree. In Figure 7, the hesitation interval is converted into an average value, yielding the membership degree value corresponding to the vague subset for the input variable input1. In this study, two input variables are defined. After processing through the procedure outlined in Figure 7, the membership degree values for both input variables are obtained, as illustrated in the schematic diagram presented in Figure 8.

3.2.3. Interval Reasoning of Vague Sets

The core goal of interval reasoning is to obtain the interval input and pass it to the Vague set interval control library for interval reasoning, so as to generate the corresponding interval output results. Vague set interval reasoning is the core part of Vague set interval control. The interval control library model of Vague sets can be constructed as follows:
R i : i f   x 1   i s   A 1 i   a n d   x 2   i s   A 2 i a n d   x j   i s   A j i                 t h e n   y i = B i
where xj represents the j-th input variable, where j = 1, 2, 3, …, k; A j i is the Vague subset used by xj. yi represents the interval output corresponding to the i-th rule, and Bi is the Vague subset used by yi.
The interval rule base is designed based on the dynamic rise time characteristics of the DSOGI-PLL and the characteristics of the DSOGI-PLL’s PI components. The design principles are as follows:
(1)
When the phase error is large, the priority is to consider the tracking speed of the DSOGI-PLL. A suitably large value for kp is chosen to increase the dynamic response speed. To prevent overshoot, a smaller value for ki is selected.
(2)
When the phase error is moderate and begins to approach the steady-state value, both the response speed and control accuracy should be considered. To improve control accuracy, kp should be reduced appropriately, and ki should be increased moderately to reduce steady-state error. However, it should not be too large to avoid overshoot.
(3)
When the phase error is small, control accuracy should be prioritized, and control speed should be reduced. To avoid overshoot, kp should be decreased, and ki can be increased appropriately to reduce steady-state error.
Based on these design principles, the Vague set interval control base is generated. In this section, 36 rule statements are created based on the input variables. The complete Vague set interval control base for the offshore wind power DSOGI-PLL phase error is shown in Table 2.
Based on Equation (13), the content in Table 2 can be used to describe the control rules for the vague set interval as follows:
if E = VL and Ec = VL, then kp = VL, ki = VH;
if E = VL and Ec = L, then kp = VL, ki = VH;
if E = VL and Ec = ML, then kp = L, ki = H;
……
By extension, a total of 36 rules can be derived from Table 1, completing the construction of the vague set interval control rule base.

3.2.4. Clarification Link

After obtaining the Vague set interval output through Vague set interval reasoning, the uncertain interval output is converted into a deterministic output result through defuzzification. During the defuzzification process, the centroid method is used for calculation. The calculation formula is as follows:
u * = min max u μ ( u ) d u min max μ ( u ) d u
where u* represents the defuzzied output variable; u is the interval output variable; μ is the Vague set defuzzification membership function; min is the lower limit of the defuzzied value; and max is the upper limit of the defuzzied value. After the input variables are discretized into intervals, they are transmitted to the vague set interval control rule base, and the evolution process of obtaining the output values through defuzzification is illustrated in Figure 9.
According to the schematic diagram in Figure 9, after passing the interval input through the Vague set interval control library, the membership values of the Vague subset corresponding to the output variables can be obtained. Then, after passing through the Vague set interval control library, the final output result u* can be obtained using Formula (14). In Figure 9, the outputs 1 and 2 can be considered as the kp and ki parameters of the phase-locked loop in this paper.

3.3. Harmonic Suppression Strategy of Grid-Connected Point Based on Vague Set

The process of the Vague set-based offshore wind power grid-connected harmonic suppression method is shown in Figure 10. The specific steps are as follows:
(1)
Construct the simulation model of the offshore wind power system connected by AC submarine cables. Run the simulation model to obtain the phase-locked loop error.
(2)
Perform Vague subset interval partitioning on the input variables, construct the Vague set composite membership function, and then achieve internalization to obtain interval inputs.
(3)
Construct the Vague set interval control base and introduce the interval inputs into the Vague set interval reasoning. By traversing the Vague set interval control base, find the control rules corresponding to the interval inputs, calculate the respective rule degrees, and obtain the interval output.
(4)
Use the centroid method to defuzzy the interval output, obtaining the real-time dynamic adjustment values of the phase-locked loop PI parameters in the offshore wind power system. Finally, suppress the harmonic content in the grid connection.

4. Calculus Analysis

4.1. Basic Settings

Based on the parameters of a real offshore wind farm in China, modeling and analysis were conducted using PSCAD 4.6.2 software for the offshore wind power AC transmission system shown in Figure 2. Compared to onshore wind power, offshore wind power faces multiple challenges such as salt mist corrosion and ocean current impacts on the AC submarine cables. Therefore, accurate modeling of the cable parameters is crucial. In the system shown in Figure 2, the parameters of the offshore wind turbines and the AC submarine cable lines are listed in Table 3 and Table 4, respectively.

4.2. Schematic Design

In this study, an offshore wind power transmission system utilizing AC submarine cables was employed as a case study to validate the effectiveness of the vague set control strategy. Initially, real-time adjustment of the phase-locked loop (PLL) PI parameters based on the vague set control strategy was simulated to verify whether the dynamic variation in PLL phase error can drive coordinated changes in the PI parameters, and whether these coordinated changes align with the design principles of the fuzzy set interval control rule base. Subsequently, under asymmetric fault condition scenarios, the harmonic content under traditional control strategies and the fuzzy set control strategy is compared and analyzed to validate the effectiveness of the suppression method proposed in this study.

4.3. Simulation Test of PLL Output Real-Time PI Parameters Based on Vague Set Control Strategy

The simulation test verifies whether the Vague set control strategy can make the phase-locked loop output real-time PI parameters according to the Vague set control rule base design principle. The error interval between the output phase of the phase-locked loop and the actual phase after the fault occurs is shown in Figure 11.
As shown in Figure 11, the y-axis represents phase, and the x-axis represents time. The output phase of the DSOGI-PLL is depicted as one curve, while the actual system phase is represented by another curve. The blue region, enclosed by these two curves, corresponds to the phase error ∆θe. Between 0.5 and 0.51 s, the error between the PLL output phase and the actual phase is minimal, indicating that the PLL output phase can dynamically track the actual phase during this period. From 0.51 to 0.52 s, the phase error gradually increases. From 0.52 to 0.54 s, ∆θe remains at a relatively high level but exhibits a monotonically decreasing trend. From 0.54 to 0.58 s, ∆θe decreases slowly. During this interval (0.54 to 0.58 s), ∆θe approaches zero, and the phase error enclosed by the PLL output phase and the actual phase becomes nearly negligible.
Based on the error interval values obtained from Figure 11, the Vague set composite membership function is constructed using Equation (11), thereby expressing it in the form of interval inputs. Next, the Vague set interval control base is established using Equation (13), and interval reasoning is performed to obtain the corresponding interval outputs. Finally, the interval output is defuzzied using Equation (14), and the real-time dynamic adjustment values of the phase-locked loop PI parameters are obtained, as shown in Figure 12.
Based on the observations from Figure 11 and Figure 12, within the time interval of 0.5 to 0.51 s, the amplitude of the error interval approaches zero, and at this point, the PI control parameters of the DSOGI-PLL remain almost unchanged at steady state. When the system enters the 0.51 to 0.52 s interval, the error interval begins to increase slowly, and the corresponding DSOGI-PLL PI parameters exhibit dynamic adjustment characteristics: the proportional coefficient kp gradually increases as the error amplitude increases, while the integral coefficient ki simultaneously decreases. This phenomenon indicates that the control strategy accelerates error suppression by enhancing the proportional action, while weakening the integral action to avoid the dynamic deterioration caused by the accumulation of the integral term.
During the time interval from 0.52 to 0.54 s, the error interval amplitude remains at a high level but shows a monotonically decreasing trend. At this time, kp stays at a relatively large value to rapidly reduce the error interval, while ki is kept at the minimum value to prevent the integral term from accumulating too quickly, thus avoiding potential overshoot or oscillation. In the subsequent time interval from 0.54 to 0.58 s, the phase-locked error amplitude decreases significantly and continues to converge. During this period, both kp and ki are dynamically adjusted in a slow decreasing and increasing manner, respectively. Finally, in the time interval from 0.58 to 0.60 s, the error amplitude approaches zero, and the PI parameters stabilize, with the system returning to steady state. These variations in the DSOGI-PLL PI parameters align with the design principles of the Vague set interval rule base.
The above analysis verifies that the dynamic change in the error interval in the proposed Vague set control strategy can drive the coordinated variation in the DSOGI-PLL PI parameters, and the evolution process is in accordance with the design principles of the Vague set interval control base. Next, a comparative simulation experiment based on asymmetric short-circuit faults was conducted to verify the improvement in the harmonic suppression capability of the Vague set control strategy.

4.4. Simulation Test of Grid-Connected Harmonic Suppression Strategy Based on Vague Set After Asymmetric Short-Circuit Fault

To analyze the effectiveness of the proposed Vague set control strategy, scenarios with single-phase ground fault, two-phase ground fault, and two-phase short-circuit fault in the offshore wind power system were set. Through FFT analysis, the harmonic content in the grid connection for the following two strategies was compared:
(1)
Traditional control strategy: The DSOGI-PLL PI parameters were set as kp = 200 and ki = 0.02, as shown in Table 2.
(2)
Vague set control strategy: The DSOGI-PLL PI parameters were dynamically calculated in real time using the Vague set. The modified DSOGI-PLL structure after improvement by the Vague set is shown in Figure 13.

4.4.1. Single-Phase Short-Circuit Ground Fault

(1)
Traditional control strategy
The current waveform under the Vague set control strategy during the single-phase ground fault on phase A is shown in Figure 14a. Harmonic content analysis was performed based on the current in Figure 14a, and the resulting harmonic content is shown in Figure 14b.
(2)
Vague set control strategy
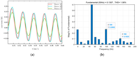
The current waveform under the Vague set control strategy during the single-phase ground fault on phase A is shown in Figure 15a. Harmonic content analysis was performed based on the current in Figure 15a, and the resulting harmonic content is shown in Figure 15b.
The current harmonic content under the traditional control strategy and the Vague set control strategy during the phase A ground fault is shown in Table 5.
As shown in Table 5, during the single-phase ground fault on phase A, the total harmonic content of the current under the traditional control strategy is 1.25%, with the second harmonic content being 0.3037% and the third harmonic content being 0.6614%. Under the Vague set control strategy, the total harmonic content of the current is 1.08%, with the second harmonic content being 0.2662% and the third harmonic content being 0.1023%. In the phase A single-phase ground fault, the total harmonic content, second harmonic content, and third harmonic content are all reduced. The total harmonic content under the Vague set control strategy is 13.6% lower than that under the traditional control strategy.

4.4.2. Two-Phase Short-Circuit Ground Fault

(1)
Traditional control strategy
The current waveform under the traditional control strategy during the two-phase ground fault on phases B and C is shown in Figure 16a. Harmonic content analysis was performed based on the current waveform in Figure 16a, and the resulting harmonic content is shown in Figure 16b.
(2)
Vague set control strategy
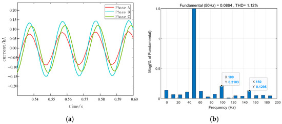
During the two-phase ground fault on phases B and C, the current waveform under the Vague set control strategy is shown in Figure 17a. Harmonic content analysis was performed based on the current waveform in Figure 17a, and the resulting harmonic content is shown in Figure 17b.
The current harmonic content under the traditional control strategy and the Vague set control strategy during the BC phase ground fault is shown in Table 6.
As shown in Table 6, during the two-phase ground fault on phases B and C, the total harmonic content of the current under the traditional control strategy is 1.69%, with the second harmonic content at 0.2354% and the third harmonic content at 1.251%. Under the Vague set control strategy, the total harmonic content of the current is 1.12%, with the second harmonic content at 0.2103% and the third harmonic content at 0.1295%. In the BC phase two-phase ground fault, the total harmonic content, second harmonic content, and third harmonic content are all reduced. The total harmonic content under the Vague set control strategy is 33.7% lower compared to the traditional control strategy.

4.4.3. Two-Phase Short Circuit Fault

(1)
Traditional control strategy
The current waveform under the traditional control strategy during the two-phase short circuit fault on phases B and C is shown in Figure 18a. Harmonic content analysis was performed based on the current waveform in Figure 18a, and the resulting harmonic content is shown in Figure 18b.
(2)
Vague set control strategy
During the two-phase short circuit fault on phases B and C, the current waveform under the Vague set control strategy is shown in Figure 19a. Harmonic content analysis was performed based on the current waveform in Figure 19a, and the resulting harmonic content is shown in Figure 19b.
The current harmonic content under the traditional control strategy and the Vague set control strategy during the BC phase short circuit fault is shown in Table 7.
As shown in Table 7, during the BC phase two-phase short circuit fault, the total harmonic content of the current under the traditional control strategy is 5.07%, with the second harmonic content being 0.3583% and the third harmonic content being 4.943%. Under the Vague set control strategy, the total harmonic content of the current is 0.97%, with a significant second harmonic content of 0.4761% and a third harmonic content of 0.1892%. During the BC phase two-phase short circuit fault, both the total harmonic content and the third harmonic content are reduced. The total harmonic content under the Vague set control strategy is 80.87% lower compared to the traditional control strategy.
In summary, the simulation results demonstrate that the Vague set control strategy proposed in this study shows excellent effectiveness and applicability. By comparing the results from Figure 14, Figure 15, Figure 16, Figure 17, Figure 18 and Figure 19, it is evident that the Vague set control strategy is more effective in suppressing harmonic content during asymmetrical faults. The reduction in harmonic content in large power grids helps decrease losses, offering cumulative benefits during long-term operation.

5. Discussion

5.1. Discussion on Research Results

In offshore wind power grid-connected systems, existing studies predominantly rely on fixed-parameter PI control to address harmonic suppression for PLL phase errors under asymmetric fault conditions, overlooking the potential impact of dynamic real-time tuning of PLL PI parameters. For instance, Reference [43] determined PI controller gain through small-signal model analysis but did not explore dynamic real-time tuning techniques for PLL PI parameters. This study innovatively designs a vague set controller, enhancing system adaptability under dynamic fault conditions through the following mechanisms: First, based on the phase-locking error and its rate of change, a composite membership function is constructed using Equation (11) to quantify input variables, with the truth membership degree employing a triangular function and the falsity membership degree utilizing a Gaussian function. Subsequently, a vague set interval control rule base was established using Equation (13), selecting appropriate control rules based on the error magnitude and rate of change. Finally, defuzzification of the interval output was performed using the centroid method in Equation (14), yielding real-time adjusted DSOGI-PLL PI parameters. This process accelerates the dynamic response of the DSOGI-PLL, reduces phase-locking errors, and effectively suppresses harmonic content. In engineering applications, compared to Reference [44], which introduced additional hardware to achieve harmonic suppression, the proposed vague set control strategy requires no extra hardware, resulting in lower engineering costs. These results demonstrate that this study surpasses existing research in terms of control mechanism innovation and engineering applicability, providing a new pathway for the intelligent development of offshore wind power grid-connected systems.

5.2. Shortcomings and Limitations of Research Contributions

Progress has been made in this study regarding grid-connected harmonic suppression strategies for phase-locked loop (PLL) phase errors under asymmetric fault conditions, yet limitations persist, and directions for future research are outlined: (1) The current focus on asymmetric fault scenarios fails to encompass more complex conditions such as three-phase short-circuit faults, severe grid voltage fluctuations, or sudden load changes, with future studies recommended to explore diverse fault types using actual grid operational data. (2) During the operational deployment of offshore wind farms, sensor noise may exacerbate phase-locking errors, while communication delays could impair the real-time adjustment of PI parameters, consequently diminishing the precision of the Vague set-based control strategy. The specific influences of these factors within complex offshore wind farm environments have not been thoroughly examined in the current research. In the future, the impacts of sensor noise and communication delays on the robustness of the Vague set-based control strategy should be systematically explored, with efforts directed toward improving its adaptability and stability for practical applications. (3) The adaptability of the vague set control strategy in highly dynamic and complex scenarios requires enhancement, with potential integration of the vague set control strategy with advanced intelligent algorithms, such as machine learning methods [45] and reinforcement learning techniques [46], to further advance the theoretical and practical development of offshore wind power grid integration technologies.

6. Conclusions

Under asymmetric faults, the grid-connected system experiences voltage dips and phase jumps in the DSOGI-PLL, leading to phase deviation in the DSOGI-PLL and generating a significant amount of harmonic components in the output current. To address this issue, this study constructs a model of the offshore wind power AC transmission system, discusses the impact of DSOGI-PLL phase error on harmonic content, and analyzes the interaction mechanism between DSOGI-PLL phase error and the PI parameters of the DSOGI-PLL. Based on Vague set theory, a Vague set-based harmonic content suppression strategy for grid connection is proposed. The main conclusions are as follows:
(1)
Based on the phase jump mechanism that occurs during asymmetric short-circuit faults, the impact of PLL phase error on harmonic content is systematically investigated, while the interaction mechanism through which dynamic response phase errors influence the PLL PI parameters is comprehensively analyzed.
(2)
The Vague set control strategy characterizes the DSOGI-PLL phase error range from three perspectives: true membership degree, pseudo-membership degree, and hesitation degree. In the control strategy, the dynamic change in the error range drives the collaborative variation in the DSOGI-PLL PI parameters. The evolution process follows the design principles of the Vague set interval control library, indicating that this algorithm has the potential for fine-tuned regulation.
(3)
Effective suppression of harmonic content during asymmetric fault conditions is achieved by the Vague set control strategy through dynamic real-time adjustment of the DSOGI-PLL PI parameters.

Author Contributions

Conceptualization, Y.Z. and S.T.; methodology, Y.Z.; software, Y.Z.; validation, Y.Z.; formal analysis, Y.Z.; investigation, Y.Z.; resources, S.T.; data curation, Y.Z.; writing—original draft preparation, Y.Z.; writing—review and editing, S.T.; visualization, Y.Z.; supervision, S.T.; project administration, Y.Z.; funding acquisition, S.T. All authors have read and agreed to the published version of the manuscript.

Funding

This work is supported by National Key Research and Development Program of China (2022YFB2402800).

Data Availability Statement

The original contributions presented in this study are included in the article.

Conflicts of Interest

The authors declare no conflicts of interest.

References

  1. Luo, K.; Guo, J.; Ma, S.; Wang, T. Review of key technologies of reliability analysis and improvement for offshore wind power grid integration. Power Syst. Technol. 2022, 46, 3691–3703. [Google Scholar]
  2. Yan, X.; Zhang, N.; Ma, K.; Wei, C.; Yang, S.; Pan, B. Overview of current situation and trend of offshore wind power development in China. Power Gener. Technol. 2024, 45, 1–12. [Google Scholar]
  3. Ji, J.; Chi, Y.; Yin, X. The blue treasure of hydrogen energy: A research of offshore wind power industry policy in China. Int. J. Hydrogen Energy 2024, 62, 99–108. [Google Scholar] [CrossRef]
  4. Zhang, J.; Wei, Z. Offshore wind power policies and green total factor productivity: Empirical evidence from coastal China. Front. Ecol. Evol. 2023, 11, 1251787. [Google Scholar] [CrossRef]
  5. Fan, Q.; Wang, X.; Yuan, J.; Liu, X.; Hu, H.; Lin, P. A review of the development of key technologies for offshore wind power in China. J. Mar. Sci. Eng. 2022, 10, 929. [Google Scholar] [CrossRef]
  6. Gosens, J.; Lu, Y. From lagging to leading? Technological innovation systems in emerging economies and the case of Chinese wind power. Energy Policy 2013, 60, 234–250. [Google Scholar] [CrossRef]
  7. Ramirez, D.; Martinez-Rodrigo, F.; de Pablo, S.; Herrero-de Lucas, L.C. Assessment of a non linear current control technique applied to MMC-HVDC during grid disturbances. Renew. Energy 2017, 101, 945–963. [Google Scholar] [CrossRef]
  8. Brantsæter, H.; Kocewiak, Ł.; Årdal, A.R.; Tedeschi, E. Passive filter design and offshore wind turbine modelling for system level harmonic studies. Energy Procedia 2015, 80, 401–410. [Google Scholar] [CrossRef]
  9. Xie, W.; Xiao, F.; Tu, C.; Zheng, Y.; Xiao, Z.; Guo, Q. Full-Operating-Space Based Stability Analysis of Grid-connected Inverter Considering the Time-varying Characteristic of Operating Point. In Proceedings of the 2023 6th International Conference on Energy, Electrical and Power Engineering (CEEPE), Guangzhou, China, 12–14 May 2023; IEEE: Piscataway, NJ, USA, 2023; pp. 781–787. [Google Scholar]
  10. Davari, M.; Mohamed, Y.A.R.I. Robust vector control of a very weak-grid-connected voltage-source converter considering the phase-locked loop dynamics. IEEE Trans. Power Electron 2016, 32, 977–994. [Google Scholar] [CrossRef]
  11. Hoepfner, B.; Vick, R. A three-phase frequency-fixed DSOGI-PLL with low computational effort. IEEE Access 2023, 11, 34932–34941. [Google Scholar] [CrossRef]
  12. Ali, Z.; Christofides, N.; Hadjidemetriou, L.; Kyriakides, E. Performance enhancement of MAF based PLL with phase error compensation in the pre-filtering stage. In Proceedings of the 2017 IEEE Manchester PowerTech, Manchester, UK, 18–22 June 2017; IEEE: Piscataway, NJ, USA, 2017; pp. 1–6. [Google Scholar]
  13. Xie, M.; Wen, H.; Zhu, C.; Yang, Y. DC offset rejection improvement in single-phase SOGI-PLL algorithms: Methods review and experimental evaluation. IEEE Access 2017, 5, 12810–12819. [Google Scholar] [CrossRef]
  14. Murshid, S.; Singh, B.; Gooi, H.B.; Foo, Y.E. Implementation of frequency adaptive damped sogi based control for power quality improvement in wind-solar-bes based ac microgrids. In Proceedings of the 2021 IEEE Power & Energy Society General Meeting (PESGM), Washington, DC, USA, 26–29 July 2021; IEEE: Piscataway, NJ, USA, 2021; pp. 1–5. [Google Scholar]
  15. Herrejón-Pintor, G.A.; Melgoza-Vázquez, E.; Monroy-Morales, J.L. A Three-Phase Synchronization Algorithm Based on a Modified DSOGI with Adjustable Re-Filtering. Energies 2023, 16, 6500. [Google Scholar] [CrossRef]
  16. Bansal, P.; Dixit, S.; Gupta, S.; Alotaibi, M.A.; Malik, H.; Márquez, F.P.G. A robust modified notch filter based SOGI-PLL approach to control multilevel inverter under distorted grid. Ain Shams Eng. J. 2024, 15, 102675. [Google Scholar] [CrossRef]
  17. Yongsheng, Q.; Kai, L.; Changyu, G.; Tengyue, X. Phase Estimation Error Detection and Compensation Method of DDSRF-PLL and DSOGI-PLL under Three-Phase Voltage Unbalance. J. Trans. China Electrotech. Soc. 2024, 39, 567–579. [Google Scholar]
  18. Huang, J.; Wu, C.; Xu, F. Phase Detection of Fundamental Positive Sequence Voltage Based on Sequence-Decoupled Resonant Controller. Power Syst. Technol. 2013, 37, 667–672. [Google Scholar]
  19. Escobar, G.; Martinez-Montejano, M.F.; Valdez, A.A.; Martinez, P.R.; Hernandez-Gomez, M. Fixed-reference-frame phase-locked loop for grid synchronization under unbalanced operation. IEEE Trans. Ind. Electron. 2010, 58, 1943–1951. [Google Scholar] [CrossRef]
  20. Li, B.; Mu, R.; He, J.; Wang, W.; Yao, C.; Zhang, Y. Transient Fault Current Calculation Method for the PV Grid-connected System considering Dynamic Response of PLL. IEEE Trans. Ind. Appl. 2024, 60, 7537–7547. [Google Scholar] [CrossRef]
  21. Jia, K.; Liu, Q.; Yang, B.; Hou, L.; Fang, Y.; Bi, T. Transient fault current analysis of the inverter-interfaced renewable energy sources considering the dynamic characteristics of the phase-locked loop. Power Syst. Technol. 2021, 45, 4242–4250. [Google Scholar]
  22. Luo, S.; Wu, F. Improved two-phase stationary frame EPLL to eliminate the effect of input harmonics, unbalance, and DC offsets. IEEE Trans. Ind. Inform. 2017, 13, 2855–2863. [Google Scholar] [CrossRef]
  23. Wang, J.; Liang, J.; Gao, F.; Zhang, L.; Wang, Z. A method to improve the dynamic performance of moving average filter-based PLL. IEEE Trans. Power Electron. 2014, 30, 5978–5990. [Google Scholar] [CrossRef]
  24. Hogan, D.J.; Gonzalez-Espin, F.J.; Hayes, J.G.; Lightbody, G.; Foley, R. An adaptive digital-control scheme for improved active power filtering under distorted grid conditions. IEEE Trans. Ind. Electron. 2017, 65, 988–999. [Google Scholar] [CrossRef]
  25. Yepes, A.G.; Vidal, A.; López, O.; Doval-Gandoy, J. Evaluation of techniques for cross-coupling decoupling between orthogonal axes in double synchronous reference frame current control. IEEE Trans. Ind. Electron. 2013, 61, 3527–3531. [Google Scholar] [CrossRef]
  26. Wang, Y.F.; Li, Y.W. Grid synchronization PLL based on cascaded delayed signal cancellation. IEEE Trans. Power Electron. 2010, 26, 1987–1997. [Google Scholar] [CrossRef]
  27. Huang, Q.; Rajashekara, K. An improved delayed signal cancellation PLL for fast grid synchronization under distorted and unbalanced grid condition. IEEE Trans. Ind. Appl. 2017, 53, 4985–4997. [Google Scholar] [CrossRef]
  28. Ahmed, H.; Ushirobira, R.; Efimov, D. Arbitrarily fast delayed signal cancellation PLL for grid-integration of renewable energy sources. IET Renew. Power Gener. 2022, 2022, 1–7. [Google Scholar] [CrossRef]
  29. Sevilmiş, F.; Karaca, H.; Ahmed, H. High-order delayed signal cancellation-based PLL under harmonically distorted grid voltages. IEEE Trans. Instrum. Meas. 2023, 72, 9003609. [Google Scholar] [CrossRef]
  30. Kashif, M.; Singh, B. Generalized DSC-FDC-PLL Based Synchronization of PV Array-BES Fed Water Pump System with Utility Grid. IEEE Trans. Ind. Inform. 2024, 20, 8263–8273. [Google Scholar] [CrossRef]
  31. Ye, J. Research on fault diagnosis of turbine based on similarity measures between vague sets. Proc. Chin. Soc. Electr. Eng. 2006, 26, 16. [Google Scholar]
  32. Zhang, J.; Liu, Y.; Huo, M.L. The maintenance decision optimization for distribution networks based on the fuzzy entropy weight of vague set. Trans. China Electrotech. Soc. 2015, 30, 37–45. [Google Scholar]
  33. Tian, S.; Zhu, F.; Yang, X.; Fu, Y.; Su, X. Offshore Wind Power Interval Prediction Based on Vague Soft Set. In Proceedings of the 6th International Conference on Computer Science, Engineering and Education (CSEE), Nanjing, China, 21–23 February 2025; Volume 45, pp. 1465–1477. [Google Scholar]
  34. Tian, S.; Han, X.; Fu, Y.; Su, X.; Li, Z. Two-Stage Robust Expansion Planning of Transmission Network Considering Uncertainty of Offshore Wind Power. J. Shanghai Jiao Tong Univ. 2024, 58, 1400–1409. [Google Scholar]
  35. Wang, L.; Chen, H.; Xu, K. A method of power quality evaluation based on vague sets. In Proceedings of the 2015 IEEE Power & Energy Society General Meeting, Denver, CO, USA, 26–30 July 2015; IEEE: Piscataway, NJ, USA, 2015; pp. 1–5. [Google Scholar]
  36. Feng, C.; Liu, C.; Wu, C.; Zheng, Y. Innovative adaptive fuzzy control strategy for pumped storage units under variable operating conditions. Power Syst. Technol. 2023, 48, 2815–2822. [Google Scholar]
  37. Rao, Y.; Kosari, S.; Shao, Z. Certain properties of vague graphs with a novel application. Mathematics 2020, 8, 1647. [Google Scholar] [CrossRef]
  38. Xu, W.; Ma, J.; Wang, S.; Hao, G. Vague soft sets and their properties. Comput. Math. Appl. 2010, 59, 787–794. [Google Scholar] [CrossRef]
  39. Alhazaymeh, K.; Hassan, N. Vague soft set relations and functions. J. Intell. Fuzzy Syst. 2015, 28, 1205–1212. [Google Scholar] [CrossRef]
  40. Selvachandran, G.; Garg, H.; Quek, S.G. Vague entropy measure for complex vague soft sets. Entropy 2018, 20, 403. [Google Scholar] [CrossRef]
  41. Phu, N.D.; Hung, N.N.; Ahmadian, A.; Senu, N. A new fuzzy PID control system based on fuzzy PID controller and fuzzy control process. Int. J. Fuzzy Syst. 2020, 22, 2163–2187. [Google Scholar] [CrossRef]
  42. Precup, R.E.; Nguyen, A.T.; Blažič, S. A survey on fuzzy control for mechatronics applications. Int. J. Syst. Sci. 2024, 55, 771–813. [Google Scholar] [CrossRef]
  43. Bany Issa, M.A.; Al Muala, Z.A.; Bello Bugallo, P.M. Grid-connected renewable energy sources: A new approach for phase-locked loop with DC-offset removal. Sustainability 2023, 15, 9550. [Google Scholar] [CrossRef]
  44. Zhang, C.; Chen, J.; Si, W. Analysis of phase-locked loop filter delay on transient stability of grid-following converters. Electronics 2024, 13, 986. [Google Scholar] [CrossRef]
  45. Giannelos, S.; Bellizio, F.; Strbac, G.; Zhang, T. Machine learning approaches for predictions of CO2 emissions in the building sector. Electr. Power Syst. Res. 2024, 235, 110735. [Google Scholar] [CrossRef]
  46. Dai, W.; Mo, Z.; Luo, C.; Jiang, J.; Miao, Q. Bearing fault diagnosis based on reinforcement learning and kurtosis. In Proceedings of the 2019 Prognostics and System Health Management Conference, Quingdao, China, 25–27 October 2019; IEEE: Piscataway, NJ, USA, 2019; pp. 1–5. [Google Scholar]
Figure 1. Technological roadmap.
Figure 1. Technological roadmap.
Energies 18 02202 g001
Figure 2. Topology diagram of offshore wind power transmission system through AC submarine cable. (a) Main structure of offshore wind power AC transmission system. (b) Rotor-side converter control schematic diagram. (c) Grid-side converter control schematic diagram. (d) Phase-locked loop structure diagram.
Figure 2. Topology diagram of offshore wind power transmission system through AC submarine cable. (a) Main structure of offshore wind power AC transmission system. (b) Rotor-side converter control schematic diagram. (c) Grid-side converter control schematic diagram. (d) Phase-locked loop structure diagram.
Energies 18 02202 g002
Figure 3. Schematic diagram of voltage phase change before and after fault.
Figure 3. Schematic diagram of voltage phase change before and after fault.
Energies 18 02202 g003
Figure 4. The variation law of phase-locked loop PI parameters and dynamic rise time.
Figure 4. The variation law of phase-locked loop PI parameters and dynamic rise time.
Energies 18 02202 g004
Figure 5. Vague set interval controller.
Figure 5. Vague set interval controller.
Energies 18 02202 g005
Figure 6. Composite membership function.
Figure 6. Composite membership function.
Energies 18 02202 g006
Figure 7. Schematic diagram of input variable membership calculation process. (a) Schematic diagram before calculating the average membership degree of input variables. (b) Schematic diagram of calculating the average membership degree of input variables.
Figure 7. Schematic diagram of input variable membership calculation process. (a) Schematic diagram before calculating the average membership degree of input variables. (b) Schematic diagram of calculating the average membership degree of input variables.
Energies 18 02202 g007
Figure 8. Schematic diagram of membership values corresponding to input variables.
Figure 8. Schematic diagram of membership values corresponding to input variables.
Energies 18 02202 g008
Figure 9. Example flowchart of obtaining output values through the Vague set interval control library and clarification of interval input variables.
Figure 9. Example flowchart of obtaining output values through the Vague set interval control library and clarification of interval input variables.
Energies 18 02202 g009
Figure 10. Flowchart of grid-connected harmonic suppression strategy based on Vague set.
Figure 10. Flowchart of grid-connected harmonic suppression strategy based on Vague set.
Energies 18 02202 g010
Figure 11. The error interval surrounded by the output phase of the DSOGI-PLL and the actual phase.
Figure 11. The error interval surrounded by the output phase of the DSOGI-PLL and the actual phase.
Energies 18 02202 g011
Figure 12. Phase-locked loop PI parameter setting value under Vague set strategy. (a) The kp parameter value of the PLL. (b) The ki parameter value of the PLL.
Figure 12. Phase-locked loop PI parameter setting value under Vague set strategy. (a) The kp parameter value of the PLL. (b) The ki parameter value of the PLL.
Energies 18 02202 g012
Figure 13. The schematic diagram of phase-locked loop structure optimization.
Figure 13. The schematic diagram of phase-locked loop structure optimization.
Energies 18 02202 g013
Figure 14. Grid-connected current and its harmonic content diagram of traditional control strategy during single-phase short-circuit grounding fault. (a) Current waveforms. (b) Harmonic content.
Figure 14. Grid-connected current and its harmonic content diagram of traditional control strategy during single-phase short-circuit grounding fault. (a) Current waveforms. (b) Harmonic content.
Energies 18 02202 g014
Figure 15. Grid-connected current and its harmonic content diagram of Vague set control strategy during single-phase grounding short-circuit fault. (a) Current waveforms. (b) Harmonic content.
Figure 15. Grid-connected current and its harmonic content diagram of Vague set control strategy during single-phase grounding short-circuit fault. (a) Current waveforms. (b) Harmonic content.
Energies 18 02202 g015
Figure 16. Grid-connected current and its harmonic content diagram of traditional control strategy during two-phase short-circuit grounding fault. (a) Current waveforms. (b) Harmonic content.
Figure 16. Grid-connected current and its harmonic content diagram of traditional control strategy during two-phase short-circuit grounding fault. (a) Current waveforms. (b) Harmonic content.
Energies 18 02202 g016
Figure 17. Grid-connected current and its harmonic content diagram of Vague set control strategy during two-phase short-circuit grounding fault. (a) Current waveforms. (b) Harmonic content.
Figure 17. Grid-connected current and its harmonic content diagram of Vague set control strategy during two-phase short-circuit grounding fault. (a) Current waveforms. (b) Harmonic content.
Energies 18 02202 g017
Figure 18. Grid-connected current and its harmonic content diagram of traditional control strategy during two-phase short-circuit fault. (a) Current waveforms. (b) Harmonic content.
Figure 18. Grid-connected current and its harmonic content diagram of traditional control strategy during two-phase short-circuit fault. (a) Current waveforms. (b) Harmonic content.
Energies 18 02202 g018
Figure 19. Grid-connected current and its harmonic content diagram of Vague set control strategy during two-phase short-circuit fault. (a) Current waveforms. (b) Harmonic content.
Figure 19. Grid-connected current and its harmonic content diagram of Vague set control strategy during two-phase short-circuit fault. (a) Current waveforms. (b) Harmonic content.
Energies 18 02202 g019
Table 1. Comparative advantages of control strategies.
Table 1. Comparative advantages of control strategies.
StrategyFixed PI Parameter ControlFilter Enhanced PLLVague Set Control
Dimension
PI parameter tuningStatic settingStatic settingDynamic real-time tuning
Uncertainty modeling————Three-dimensional membership
Control rule originStatic settingHardware structure overlay filterInterval reasoning
ApplicabilitySteady state scenarioWeak disturbance scenarioDynamic disturbance Scene
Table 2. Phase-locked error Vague set interval control library for offshore wind power.
Table 2. Phase-locked error Vague set interval control library for offshore wind power.
E/EcVLLMLMHHVH
VLVL/VHVL/VHL/HL/HML/MHML/MH
LVL/VHVL/VHL/HML/MHMH/MLMH/ML
MLL/HL/HML/MHMH/MLMH/MLH/L
MHL/HML/MHMH/MLMH/MLH/LH/L
HML/MHML/MHMH/MLH/LVH/VLVH/VL
VHML/MHMH/MLH/LH/LVH/VLVH/VL
Table 3. Simulation parameters of offshore wind turbine.
Table 3. Simulation parameters of offshore wind turbine.
ParameterValueParameterValue
Rated capacity1.5 MW P/I parameters of RSC outer loop10/1000
Rated voltage690 VP/I parameters of RSC inner loop10/500
DC bus voltage1800 VP/I parameters of GSC outer ring4/400
DC-link capacitor10,000 μFP/I parameters of GSC inner loop10/5
Inverter inductance0.5 mHP/I parameters of phase-locked loop200/0.02
Table 4. Simulation parameters of AC submarine cable line.
Table 4. Simulation parameters of AC submarine cable line.
Structure NameOuter Radius/mmElectrical Parameter
Wire core copper conductor30.2resistivity = 2.0272 × 10−7 Ω·m
XLPE insulation shielding88.8actual relative dielectric constant = 2.7
Alloy lead sheath layer98.0resistivity = 2.14 × 10−7 Ω·m
Lead sheath insulation layer104.6actual relative dielectric constant = 2.3
Table 5. Comparison of current harmonic content of two control strategies under phase A short-circuit grounding fault.
Table 5. Comparison of current harmonic content of two control strategies under phase A short-circuit grounding fault.
Total HarmonicSecondary HarmonicThird Harmonic
Traditional control strategy1.25%0.3037%0.6614%
Vague set control strategy1.08%0.2662%0.1023%
Table 6. Comparison of current harmonic content of two control strategies under BC phase short-circuit ground faults.
Table 6. Comparison of current harmonic content of two control strategies under BC phase short-circuit ground faults.
Total Harmonic Secondary Harmonic Third Harmonic
Traditional control strategy1.69%0.2354%1.251%
Vague set control strategy1.12%0.2103%0.1295%
Table 7. Comparison of current harmonic content of two control strategies under BC phase short-circuit faults.
Table 7. Comparison of current harmonic content of two control strategies under BC phase short-circuit faults.
Total Harmonic Secondary HarmonicThird Harmonic
Traditional control strategy5.07%0.3583%4.943%
Vague set control strategy0.97%0.4761%0.1892%
Disclaimer/Publisher’s Note: The statements, opinions and data contained in all publications are solely those of the individual author(s) and contributor(s) and not of MDPI and/or the editor(s). MDPI and/or the editor(s) disclaim responsibility for any injury to people or property resulting from any ideas, methods, instructions or products referred to in the content.

Share and Cite

MDPI and ACS Style

Zhang, Y.; Tian, S. Grid-Connected Harmonic Suppression Strategy Considering Phase-Locked Loop Phase-Locking Error Under Asymmetrical Faults. Energies 2025, 18, 2202. https://doi.org/10.3390/en18092202

AMA Style

Zhang Y, Tian S. Grid-Connected Harmonic Suppression Strategy Considering Phase-Locked Loop Phase-Locking Error Under Asymmetrical Faults. Energies. 2025; 18(9):2202. https://doi.org/10.3390/en18092202

Chicago/Turabian Style

Zhang, Yanjiu, and Shuxin Tian. 2025. "Grid-Connected Harmonic Suppression Strategy Considering Phase-Locked Loop Phase-Locking Error Under Asymmetrical Faults" Energies 18, no. 9: 2202. https://doi.org/10.3390/en18092202

APA Style

Zhang, Y., & Tian, S. (2025). Grid-Connected Harmonic Suppression Strategy Considering Phase-Locked Loop Phase-Locking Error Under Asymmetrical Faults. Energies, 18(9), 2202. https://doi.org/10.3390/en18092202

Note that from the first issue of 2016, this journal uses article numbers instead of page numbers. See further details here.

Article Metrics

Back to TopTop