A Novel Construction Method and Prediction Framework of Periodic Time Series: Application to State of Health Prediction of Lithium-Ion Batteries
Abstract
1. Introduction
2. Construction of Periodic Time Series
- 1.
- How many time series should be chosen to form a periodic long-term time series? (Quantitative issue)
- 2.
- Which original time series should be selected to form the long-term time series? (Selection issue)
- 3.
- For the selected time series, how should they be connected? (Sorting issue)
3. Prediction Framework for Periodic Time Series
4. SOH Prediction of Li-Ion Batteries
4.1. Preliminaries
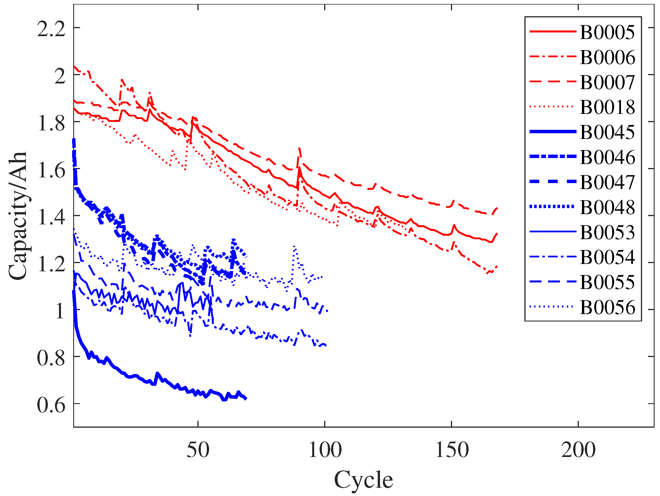
4.1.1. Dataset Description
4.1.2. Correlation
4.1.3. Gated Recurrent Unit
4.1.4. Evaluation Metrics
4.2. SOH Prediction Based on the Constructed Periodic Time Series
- Strategy I: correlation selection method + correlation sorting method
- Strategy II: correlation selection method + stochastic sorting method
- Strategy III: stochastic selection method + correlation sorting method
- Strategy IV: stochastic selection method + stochastic sorting method
4.3. SOH Prediction Based on the Periodic Framework of Periodic Time Series
- 1.
- Use the GRU to predict the SOH of battery B0005 based on the original time series and constructed periodic time series, respectively, providing Prediction Value I and Prediction Value IV for battery B0005.
- 2.
- Based on the real value for battery B0005 along with Prediction Value I and Prediction Value IV, it is easy to calculate the weight for battery B0005, denoted as , where . Taking the example of predicting 100 points, can be expressed as
- 3.
- Divide into five groups, i.e., 20 weight values for one group, to obtain , ⋯, .
- 4.
- Obtain the maximum and minimum values for each group, i.e.,where .
- 5.
- Take 20 random values in for all to obtain the new weight:
- 6.
5. Conclusions and Future Work
Author Contributions
Funding
Data Availability Statement
Conflicts of Interest
References
- Harvey, A. Trend Analysis. In Wiley StatsRef: Statistics Reference Online; John Wiley & Sons, Ltd.: Hoboken, NJ, USA, 2016; pp. 1–21. [Google Scholar]
- Koenig-Lewis, N.; Bischoff, E.E. Seasonality research: The state of the art. Int. J. Tour. Res. 2005, 7, 201–219. [Google Scholar] [CrossRef]
- Sapankevych, N.I.; Sankar, R. Time series prediction using support vector machines: A survey. IEEE Comput. Intell. Mag. 2009, 4, 24–38. [Google Scholar] [CrossRef]
- Zamanzadeh Darban, Z.; Webb, G.I.; Pan, S.; Aggarwal, C.; Salehi, M. Deep Learning for Time Series Anomaly Detection: A Survey. ACM Comput. Surv. 2024, 57, 15. [Google Scholar] [CrossRef]
- Stratimirović, D.; Sarvan, D.; Miljković, V.; Blesić, S. Analysis of cyclical behavior in time series of stock market returns. Commun. Nonlinear Sci. Numer. Simul. 2018, 54, 21–33. [Google Scholar] [CrossRef]
- Shumway, R.H.; Stoffer, D.S.; Shumway, R.H.; Stoffer, D.S. ARIMA models. In Time Series Analysis and Its Applications: With R Examples; Springer: Cham, Switzerland, 2017; pp. 75–163. [Google Scholar]
- Holt, C.C. Forecasting seasonals and trends by exponentially weighted moving averages. Int. J. Forecast. 2004, 20, 5–10. [Google Scholar] [CrossRef]
- Winters, P.R. Forecasting sales by exponentially weighted moving averages. Manag. Sci. 1960, 6, 324–342. [Google Scholar] [CrossRef]
- Ke, G.; Meng, Q.; Finley, T.; Wang, T.; Chen, W.; Ma, W.; Ye, Q.; Liu, T.Y. Lightgbm: A highly efficient gradient boosting decision tree. In Advances in Neural Information Processing Systems; Neural Information Processing Systems Foundation, Inc. (NeurIPS): La Jolla, CA, USA, 2017; Volume 30. [Google Scholar]
- Chen, T.; Guestrin, C. Xgboost: A scalable tree boosting system. In Proceedings of the 22nd ACM SIGKDD International Conference on Knowledge Discovery and Data Mining, San Francisco, CA, USA, 13–17 August 2016; pp. 785–794. [Google Scholar]
- Medsker, L.; Jain, L.C. Recurrent Neural Networks: Design and Applications; CRC Press: Boca Raton, FL, USA, 1999. [Google Scholar]
- Hochreiter, S. Long Short-term Memory. In Neural Computation; MIT-Press: Cambridge, MA, USA, 1997. [Google Scholar]
- Van Den Oord, A.; Dieleman, S.; Zen, H.; Simonyan, K.; Vinyals, O.; Graves, A.; Kalchbrenner, N.; Senior, A.; Kavukcuoglu, K. Wavenet: A generative model for raw audio. arXiv 2016, arXiv:1609.03499. [Google Scholar]
- Vaswani, A. Attention is all you need. In Advances in Neural Information Processing Systems; Neural Information Processing Systems Foundation, Inc. (NeurIPS): La Jolla, CA, USA, 2017. [Google Scholar]
- Wang, T.; Leung, H.; Zhao, J.; Wang, W. Multiseries Featural LSTM for Partial Periodic Time-Series Prediction: A Case Study for Steel Industry. IEEE Trans. Instrum. Meas. 2020, 69, 5994–6003. [Google Scholar] [CrossRef]
- Chen, J.; Li, K.; Rong, H.; Bilal, K.; Li, K.; Yu, P.S. A periodicity-based parallel time series prediction algorithm in cloud computing environments. Inf. Sci. 2019, 496, 506–537. [Google Scholar] [CrossRef]
- Wang, J.; Du, Y.; Wang, J. LSTM based long-term energy consumption prediction with periodicity. Energy 2020, 197, 117197. [Google Scholar] [CrossRef]
- Aggab, T.; Avila, M.; Vrignat, P.; Kratz, F. Unifying Model-Based Prognosis With Learning-Based Time-Series Prediction Methods: Application to Li-Ion Battery. IEEE Syst. J. 2021, 15, 5245–5254. [Google Scholar] [CrossRef]
- Gu, X.; See, K.; Liu, Y.; Arshad, B.; Zhao, L.; Wang, Y. A time-series Wasserstein GAN method for state-of-charge estimation of lithium-ion batteries. J. Power Sources 2023, 581, 233472. [Google Scholar] [CrossRef]
- Wan, Z.; Kang, Y.; Ou, R.; Xue, S.; Xu, D.; Luo, X. Multi-step time series forecasting on the temperature of lithium-ion batteries. J. Energy Storage 2023, 64, 107092. [Google Scholar] [CrossRef]
- Zhang, W.; Li, X.; Li, X. Deep learning-based prognostic approach for lithium-ion batteries with adaptive time-series prediction and on-line validation. Measurement 2020, 164, 108052. [Google Scholar] [CrossRef]
- Jorge, I.; Mesbahi, T.; Samet, A.; Boné, R. Time Series Feature extraction for Lithium-Ion batteries State-Of-Health prediction. J. Energy Storage 2023, 59, 106436. [Google Scholar] [CrossRef]
- Lin, C.P.; Cabrera, J.; Yang, F.; Ling, M.H.; Tsui, K.L.; Bae, S.J. Battery state of health modeling and remaining useful life prediction through time series model. Appl. Energy 2020, 275, 115338. [Google Scholar] [CrossRef]
- Liu, X.; Zhang, L.; Yu, H.; Wang, J.; Li, J.; Yang, K.; Zhao, Y.; Wang, H.; Wu, B.; Brandon, N.P.; et al. Bridging Multiscale Characterization Technologies and Digital Modeling to Evaluate Lithium Battery Full Lifecycle. Adv. Energy Mater. 2022, 12, 2200889. [Google Scholar] [CrossRef]
- Liu, X.; Yang, K.; Zhang, L.; Wang, W.; Zhou, S.; Wu, B.; Xiong, M.; Yang, S.; Tan, R. A Fast Forward Prediction Framework for Energy Materials Design Based on Machine Learning Methods. Energy Mater. Adv. 2024, 5, 0131. [Google Scholar] [CrossRef]
- Yang, S.; He, R.; Zhang, Z.; Cao, Y.; Gao, X.; Liu, X. CHAIN: Cyber Hierarchy and Interactional Network Enabling Digital Solution for Battery Full-Lifespan Management. Matter 2020, 3, 27–41. [Google Scholar] [CrossRef]
- Wang, W.; Yang, K.; Zhang, L.; Zhou, S.; Ren, B.; Lu, Y.; Tan, R.; Zhu, T.; Ma, B.; Yang, S.; et al. An end-cloud collaboration approach for online state-of-health estimation of lithium-ion batteries based on multi-feature and transformer. J. Power Sources 2024, 608, 234669. [Google Scholar] [CrossRef]
- Zhou, H.; Zhang, S.; Peng, J.; Zhang, S.; Li, J.; Xiong, H.; Zhang, W. Informer: Beyond efficient transformer for long sequence time-series forecasting. In Proceedings of the AAAI Conference on Artificial Intelligence, Virtually, 2–9 February 2021; Volume 35, pp. 11106–11115. [Google Scholar]
- Wu, H.; Hu, T.; Liu, Y.; Zhou, H.; Wang, J.; Long, M. TimesNet: Temporal 2d-variation modeling for general time series analysis. In Proceedings of the International Conference on Learning Representations, Virtually, 25–29 April 2022; pp. 1–23. [Google Scholar]
- Lin, S.; Lin, W.; Wu, W.; Zhao, F.; Mo, R.; Zhang, H. SegRNN: Segment recurrent neural network for long-term time series forecasting. arXiv 2023, arXiv:2308.11200. [Google Scholar]
- Gong, Z.; Tang, Y.; Liang, J. PatchMixer: A patch-mixing architecture for long-term time series forecasting. arXiv 2023, arXiv:2310.00655. [Google Scholar]
- Jia, C.; Tian, Y.; Shi, Y.; Jia, J.; Wen, J.; Zeng, J. State of health prediction of lithium-ion batteries based on bidirectional gated recurrent unit and transformer. Energy 2023, 285, 129401. [Google Scholar] [CrossRef]
- Tian, Y.; Wen, J.; Yang, Y.; Shi, Y.; Zeng, J. State-of-Health Prediction of Lithium-Ion Batteries Based on CNN-BiLSTM-AM. Batteries 2022, 8, 155. [Google Scholar] [CrossRef]
- Xia, G.; Jia, C.; Shi, Y.; Jia, J.; Pang, X.; Wen, J.; Zeng, J. Remaining useful life prediction of lithium-ion batteries by considering trend filtering segmentation under fuzzy information granulation. Energy 2025, 318, 134810. [Google Scholar] [CrossRef]














| Battery | CC Charging | CV Charging | Minimal Charge | Charging/Discharging | CC Discharging |
|---|---|---|---|---|---|
| Current (A) | Voltage (V) | Current (mA) | Cut-Off Voltage (V) | Current (A) | |
| B0005 | 1.5 | 4.2 | 20 | 4.2/2.7 | 2 |
| B0006 | 4.2/2.5 | ||||
| B0007 | 4.2/2.2 | ||||
| B0018 | 4.2/2.5 | ||||
| B0045 | 1.5 | 4.2 | 20 | 4.2/2.0 | 1 |
| B0046 | 4.2/2.2 | ||||
| B0047 | 4.2/2.5 | ||||
| B0048 | 4.2/2.7 | ||||
| B0053 | 1.5 | 4.2 | 20 | 4.2/2.0 | 2 |
| B0054 | 4.2/2.2 | ||||
| B0055 | 4.2/2.5 | ||||
| B0056 | 4.2/2.7 | ||||
| CS2_35 | 0.55 | 4.2 | 50 | 4.2/2.7 | 1.099 |
| CS2_36 | |||||
| CS2_37 | |||||
| CS2_38 |
| Parameter | Value | Parameter | Value |
|---|---|---|---|
| Optimizer | Adam | Loss function | MSE |
| Activation function | Sigmod | Implicit unit | 100 |
| DropOut discard rate | 0.2 | LearnRateDropPeriod | 350 |
| LearnRateDropFactor | 0.01 | InitialLearnRate | 0.001 |
| Min Batch size | 16 | Max Epoch | 500 |
| Starting Point | Strategy | Time Series | RMSE | MAE | MAPE | MSE |
|---|---|---|---|---|---|---|
| 1 | Strategy I | 7-6-56-5 | 0.0046008 | 0.0028539 | 0.17462 | 0.000021168 |
| 7-6-18-5 | 0.0033034 | 0.0019497 | 0.11989 | 0.000010913 | ||
| 18-6-7-5 | 0.0045524 | 0.0019146 | 0.11653 | 0.000020724 | ||
| 7-6-5 | 0.0035408 | 0.0018585 | 0.11086 | 0.000012537 | ||
| 7-6-56-18-5 | 0.0024772 | 0.0014196 | 0.087063 | 0.0000061367 | ||
| 5 | 3.8502 | 3.8241 | 245.7983 | 14.8243 | ||
| Strategy II | 6-7-18-5 | 0.0049468 | 0.0023674 | 0.14381 | 0.000024471 | |
| Strategy III | 45-53-18-5 | 0.025616 | 0.0057692 | 0.32858 | 0.00065618 | |
| Strategy IV | 53-45-18-5 | 0.026766 | 0.0053708 | 0.30904 | 0.0007164 | |
| 3 | Strategy I | 7-6-56-5 | 0.0031371 | 0.0019362 | 0.1197 | 0.0000098413 |
| 7-6-18-5 | 0.0019811 | 0.0010228 | 0.062691 | 0.0000039246 | ||
| 18-6-7-5 | 0.0043572 | 0.0021186 | 0.13123 | 0.000018985 | ||
| 7-6-5 | 0.0043572 | 0.0016204 | 0.098969 | 0.0000074548 | ||
| 7-6-56-18-5 | 0.0030374 | 0.0016535 | 0.097775 | 0.0000092261 | ||
| 5 | 0.29819 | 0.24521 | 17.201 | 0.088917 | ||
| Strategy II | 6-7-18-5 | 0.0049135 | 0.0027507 | 0.17147 | 0.000024142 | |
| Strategy III | 45-53-18-5 | 0.02749 | 0.0067576 | 0.39224 | 0.00075571 | |
| Strategy IV | 53-45-18-5 | 0.021424 | 0.0062206 | 0.36967 | 0.00045898 | |
| 5 | Strategy I | 7-6-56-5 | 0.0047068 | 0.0026404 | 0.16145 | 0.000022154 |
| 7-6-18-5 | 0.0035871 | 0.0017128 | 0.10254 | 0.000012867 | ||
| 18-6-7-5 | 0.0027805 | 0.0015893 | 0.099414 | 0.0000077311 | ||
| 7-6-5 | 0.0034545 | 0.0022497 | 0.14218 | 0.000011933 | ||
| 7-6-56-18-5 | 0.0036594 | 0.0022834 | 0.13476 | 0.000013391 | ||
| 5 | 0.30256 | 0.25144 | 17.619 | 0.091542 | ||
| Strategy II | 6-7-18-5 | 0.0047788 | 0.0023606 | 0.14505 | 0.000022837 | |
| Strategy III | 45-53-18-5 | 0.043138 | 0.009537 | 0.53679 | 0.0018609 | |
| Strategy IV | 53-45-18-5 | 0.0297 | 0.0061788 | 0.353 | 0.00088207 | |
| 10 | Strategy I | 7-6-56-5 | 0.0052444 | 0.0026101 | 0.16016 | 0.000027504 |
| 7-6-18-5 | 0.0046302 | 0.0022221 | 0.13106 | 0.000021439 | ||
| 18-6-7-5 | 0.0035077 | 0.0018475 | 0.1115 | 0.000012304 | ||
| 7-6-5 | 0.0040373 | 0.0018893 | 0.11438 | 0.0000163 | ||
| 7-6-56-18-5 | 0.0045534 | 0.0023717 | 0.14211 | 0.000020733 | ||
| 5 | 0.29516 | 0.24498 | 17.2331 | 0.087117 | ||
| Strategy II | 6-7-18-5 | 0.0051143 | 0.0021617 | 0.12857 | 0.000026156 | |
| Strategy III | 45-53-18-5 | 0.033401 | 0.0069303 | 0.39688 | 0.0011156 | |
| Strategy IV | 53-45-18-5 | 0.024643 | 0.0055046 | 0.31428 | 0.00060726 | |
| 34 | Strategy I | 7-6-56-5 | 0.0038902 | 0.001728 | 0.10837 | 0.000015134 |
| 7-6-18-5 | 0.0044341 | 0.0022049 | 0.13889 | 0.000019661 | ||
| 18-6-7-5 | 0.0040054 | 0.0014168 | 0.088761 | 0.000016044 | ||
| 7-6-5 | 0.0044955 | 0.0028786 | 0.1839 | 0.000020209 | ||
| 7-6-56-18-5 | 0.0040002 | 0.0018035 | 0.11201 | 0.000016002 | ||
| 5 | 0.16685 | 0.14115 | 10.0729 | 0.027839 | ||
| Strategy II | 6-7-18-5 | 0.0051304 | 0.0020326 | 0.12498 | 0.000026321 | |
| Strategy III | 45-53-18-5 | 0.036859 | 0.0082721 | 0.48613 | 0.0013586 | |
| Strategy IV | 53-45-18-5 | 0.031522 | 0.0066412 | 0.38607 | 0.00099363 | |
| 68 | Strategy I | 7-6-56-5 | 0.0094238 | 0.0030165 | 0.19202 | 0.000088808 |
| 7-6-18-5 | 0.0090623 | 0.00315 | 0.20263 | 0.000082126 | ||
| 18-6-7-5 | 0.0096346 | 0.003884 | 0.25014 | 0.000092826 | ||
| 7-6-5 | 0.0093996 | 0.0036951 | 0.24025 | 0.000088353 | ||
| 7-6-56-18-5 | 0.0090512 | 0.0035761 | 0.23107 | 0.000081925 | ||
| 5 | 0.012818 | 0.0067333 | 0.45743 | 0.00016429 | ||
| Strategy II | 6-7-18-5 | 0.011856 | 0.0040378 | 0.25798 | 0.00014056 | |
| Strategy III | 45-53-18-5 | 0.026877 | 0.0070263 | 0.45001 | 0.00072235 | |
| Strategy IV | 53-45-18-5 | 0.023574 | 0.0057887 | 0.37239 | 0.00055572 |
| Starting Point | Strategy | Time Series | RMSE | MAE | MAPE | MSE |
|---|---|---|---|---|---|---|
| 1 | Strategy I | 38-37-36-35 | 0.0094538 | 0.0049796 | 0.58241 | 0.000089374 |
| 36-37-38-35 | 0.012632 | 0.0060218 | 0.7339 | 0.00015956 | ||
| 35 | 2.2572 | 2.2286 | 270.879 | 5.095 | ||
| Strategy II | 37-36-38-35 | 0.011924 | 0.0053579 | 0.62013 | 0.00014218 | |
| 10 | Strategy I | 38-37-36-35 | 0.010479 | 0.0047668 | 0.60421 | 0.0001098 |
| 36-37-38-35 | 0.011257 | 0.0053594 | 0.6531 | 0.00012673 | ||
| 35 | 0.26628 | 0.21252 | 35.7794 | 0.070906 | ||
| Strategy II | 37-36-38-35 | 0.010733 | 0.0051067 | 0.64068 | 0.00011521 | |
| 354 | Strategy I | 38-37-36-35 | 0.0087799 | 0.0041785 | 0.58426 | 0.000077086 |
| 36-37-38-35 | 0.0097413 | 0.0046381 | 0.65574 | 0.000094892 | ||
| 35 | 0.044473 | 0.023047 | 5.6827 | 0.0019778 | ||
| Strategy II | 37-36-38-35 | 0.010642 | 0.005001 | 0.75821 | 0.00011324 |
| Dataset | Strategy | Time Series | RMSE | MAE | MAPE | MSE |
|---|---|---|---|---|---|---|
| NASA | GRU-Strategy I | 18-6-7-5 | 0.0035077 | 0.0018475 | 0.1115 | 0.000012304 |
| LSTM-Strategy I | 0.0097019 | 0.0043814 | 0.26432 | 0.000094126 | ||
| GRU | 5 | 0.29516 | 0.24498 | 17.2331 | 0.087117 | |
| LSTM | 0.34455 | 0.29049 | 20.3566 | 0.11871 | ||
| CALCE | GRU-Strategy I | 38-37-36-35 | 0.010479 | 0.0047668 | 0.60421 | 0.0001098 |
| LSTM-Strategy I | 0.02072 | 0.0090021 | 1.3817 | 0.00042932 | ||
| GRU | 35 | 0.26628 | 0.21252 | 35.7794 | 0.070906 | |
| LSTM | 0.32282 | 0.25171 | 42.9944 | 0.10421 |
| Time Series | RMSE | MAE | MAPE | MSE | Remark | |
|---|---|---|---|---|---|---|
| 18-5-7-6 | 0.017338 | 0.0052416 | 0.35082 | 0.00030061 | Strategy I | |
| 6 | 0.018751 | 0.0070184 | 0.48695 | 0.00035162 | ||
| Prediction Fusion of 18-5-7-6 and 6 | 0.014827 | 0.0099483 | 0.71224 | 0.00021983 | 0.5 | Balance, 20 points/group |
| 0.011026 | 0.0061086 | 0.43743 | 0.00012157 | 0.2 | More certain, 20 points/group | |
| 0.020208 | 0.014332 | 1.028 | 0.00040836 | 0.8 | More stochastic, 20 points/group | |
| 0.014228 | 0.0075268 | 0.53357 | 0.00020244 | 0.5 | Balance, 10 points/group |
Disclaimer/Publisher’s Note: The statements, opinions and data contained in all publications are solely those of the individual author(s) and contributor(s) and not of MDPI and/or the editor(s). MDPI and/or the editor(s) disclaim responsibility for any injury to people or property resulting from any ideas, methods, instructions or products referred to in the content. |
© 2025 by the authors. Licensee MDPI, Basel, Switzerland. This article is an open access article distributed under the terms and conditions of the Creative Commons Attribution (CC BY) license (https://creativecommons.org/licenses/by/4.0/).
Share and Cite
Cui, C.; Xia, G.; Jia, C.; Wen, J. A Novel Construction Method and Prediction Framework of Periodic Time Series: Application to State of Health Prediction of Lithium-Ion Batteries. Energies 2025, 18, 1438. https://doi.org/10.3390/en18061438
Cui C, Xia G, Jia C, Wen J. A Novel Construction Method and Prediction Framework of Periodic Time Series: Application to State of Health Prediction of Lithium-Ion Batteries. Energies. 2025; 18(6):1438. https://doi.org/10.3390/en18061438
Chicago/Turabian StyleCui, Chunsheng, Guangshu Xia, Chenyu Jia, and Jie Wen. 2025. "A Novel Construction Method and Prediction Framework of Periodic Time Series: Application to State of Health Prediction of Lithium-Ion Batteries" Energies 18, no. 6: 1438. https://doi.org/10.3390/en18061438
APA StyleCui, C., Xia, G., Jia, C., & Wen, J. (2025). A Novel Construction Method and Prediction Framework of Periodic Time Series: Application to State of Health Prediction of Lithium-Ion Batteries. Energies, 18(6), 1438. https://doi.org/10.3390/en18061438

