Optimization Research on a Novel Community Integrated Energy System Based on Solar Energy Utilization and Energy Storage
Abstract
1. Introduction
- We propose an innovative integrated energy system combining multiple renewable energy sources with coordinated energy storage, addressing electrical and thermal energy needs while incorporating hydrogen production for fuel cell vehicles.
 - We introduce a dual-objective optimization model that simultaneously minimizes economic costs and carbon emissions, providing a more balanced and sustainable solution than traditional models focused on only one of these factors.
 
2. Methodology
2.1. System Model
2.1.1. Power System
- (1)
 - PV
 
- (2)
 - PGU
 
- (3)
 - Battery
 
2.1.2. Heating System
- (1)
 - SC
 
- (2)
 - Boiler
 
- (3)
 - HE
 
- (4)
 - TST
 
2.1.3. Hydrogen System
2.1.4. Cooling System
2.1.5. Assumptions in the Model
- The wind speed, solar radiation intensity, temperature, and load are assumed to be deterministic.
 - The system operates in steady-state conditions throughout the year.
 - The system’s equipment is assumed to operate safely and reliably.
 - The equipment capacities are assumed to be continuously distributed.
 - There is no power loss in the system.
 
2.1.6. Optimization Objectives
2.1.7. Evaluation Indicators
3. Case Study
4. Results and Discussion
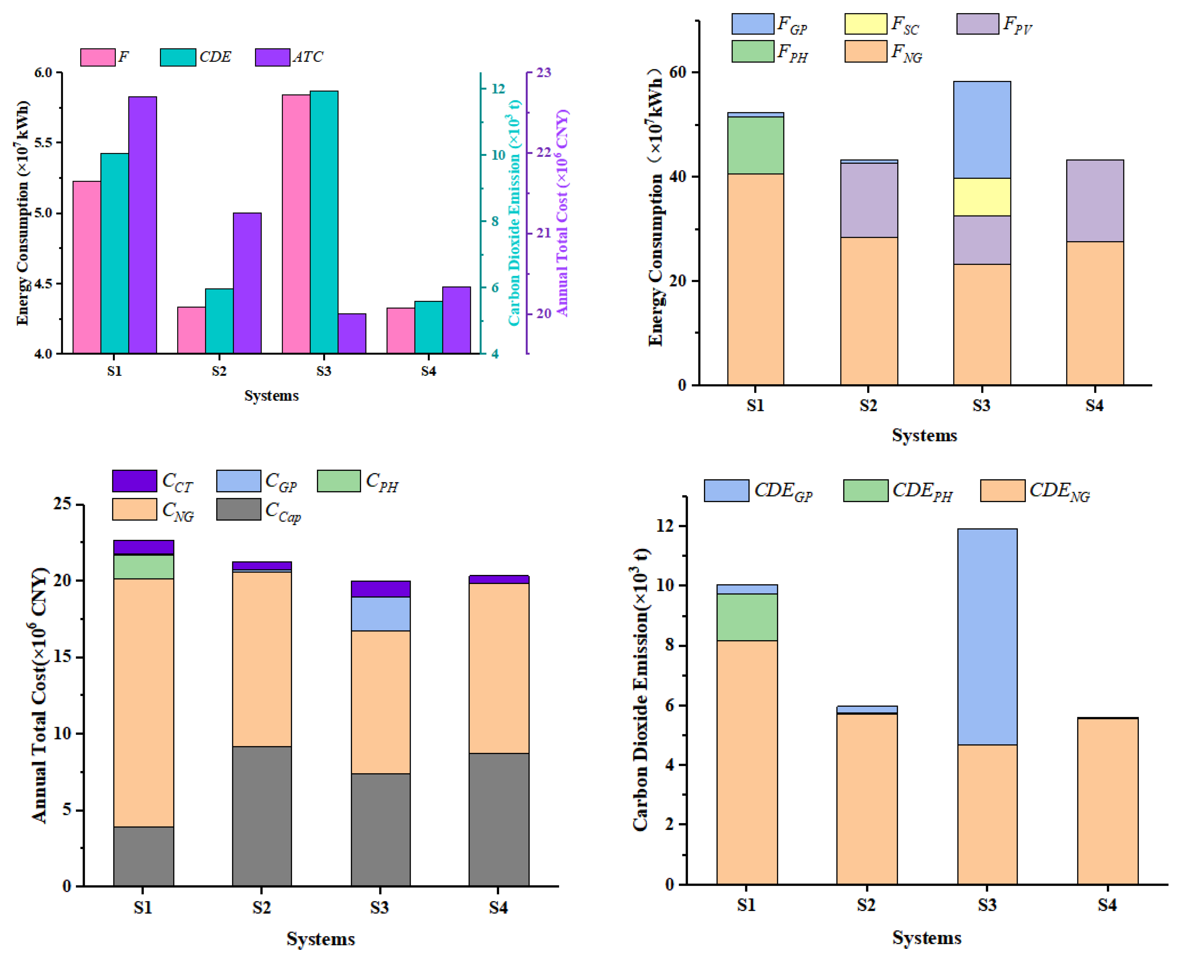
4.1. Comparison of Scenarios
4.2. Energy Production and Consumption
4.3. Impact of Illumination Area
4.4. Impact of Carbon Trading Prices
5. Conclusions
- The proposed integrated system, combining PV, solar thermal, and energy storage, reduces reliance on fossil fuels and grid electricity, resulting in significant cost and CO2 emission reductions.
 - Integrating green hydrogen production via photovoltaic energy presents a cost-effective and environmentally beneficial alternative to conventional grid power and gas turbines.
 - The effective coordination of electrical and thermal energy storage systems ensures optimal energy management, especially during peak demand periods, reducing dependency on external energy sources.
 - An appropriate carbon trading price positively influences emissions reduction; however, a higher price does not necessarily equate to more significant benefits for emissions reduction. When the carbon trading price is 60 CNY/t, the system’s cost and carbon emissions are relatively low.
 
Author Contributions
Funding
Data Availability Statement
Conflicts of Interest
Nomenclature
| IES | Integrated energy system | 
| PV | Photovoltaic | 
| SC | Solar collector | 
| PGU | Power generation unit | 
| HRU | Heat recovery unit | 
| B | Battery | 
| GB | Gas boiler | 
| EB | Electric boiler | 
| EL | Electrolyzer | 
| TST | Thermal storage tank | 
| HST | Hydrogen storage tank | 
| AC | Absorption chille | 
| EC | Electric chiller | 
| CON | Converter | 
| HE | Heat exchanger | 
| SMR | Steam methane reforming | 
| PEM | Proton exchange membrane | 
| NG | Natural gas | 
| GP | Grid power | 
| PH | Purchased hydrogen | 
| LD | Energy load of the system | 
| CT | Carbon trading | 
| in\out | Energy flow into or out of the energy storage device | 
| ATC | Annual total cost | 
| CDE | Carbon dioxide emission | 
| Ei | Electrical energy of device i | 
| Qi | Thermal energy of device i | 
| Hi | Hydrogen energy of device i | 
| CGi | Cooling energy of device i | 
| ηi | Efficiency of device i | 
| Capi | Capacity of device i | 
| Wi | Natural gas consumption of device i | 
| a\b | Boolean variable | 
| A\APV\ASC | Total area, PV panel area, and SC area | 
| Tamb\Tref | Actual and standard ambient temperature | 
| Gamb\Gref | Actual and standard solar irradiance | 
| fPV | Degradation coefficient | 
| Kt | Power temperature coefficient | 
| Ci | Cost of project i | 
| CE | Equipment cost | 
| COM | Operating and maintenance cost | 
| EFi | Carbon emission factor of i | 
| wi | Energy or material output of device i | 
| r | Bank interest rate | 
| n | Lifespan of the equipment | 
| pi | Unit price of device i or item i | 
| F | Energy consumption | 
References
- Lu, Q.; Liu, M. A multi-criteria compromise ranking decision-making approach for analysis and evaluation of community-integrated energy service system. Energy 2024, 306, 132439. [Google Scholar] [CrossRef]
 - Lv, H.; Wu, Q.; Ren, H.; Li, Q.; Zhou, W. A two-stage decision-making approach for optimal design and operation of integrated energy systems considering multiple uncertainties and diverse resilience needs. Energy 2024, 305, 132375. [Google Scholar] [CrossRef]
 - Agrawal, A.; Bakshi, B.R.; Kodamana, H.; Ramteke, M. Renewables-Integrated Energy Systems Can Provide Electricity at Lower Cost with Less Environmental and Social Damage. ACS Sustain. Chem. Eng. 2022, 10, 13390–13401. [Google Scholar] [CrossRef]
 - Wu, Y.; Jin, P.; Li, Q. Research on regulation strategy of integrated energy system based on game theory and divide-and-conquer algorithm. Energy 2025, 319, 134860. [Google Scholar] [CrossRef]
 - Liu, X.; Li, N.; Mu, H.; Li, M.; Liu, X. Techno-energy-economic assessment of a high capacity offshore wind-pumped-storage hybrid power system for regional power system. J. Energy Storage 2021, 41, 102892. [Google Scholar] [CrossRef]
 - Guo, Z.; Gao, J.; Dong, Y.; Du, J. Integrated batch production planning and scheduling with machine-learning based production capacity region considering wind energy system. J. Clean. Prod. 2024, 477, 143804. [Google Scholar] [CrossRef]
 - Li, Z.; Zhao, Y.; Wu, P.; Zhang, H.; Dong, N.; Chang, Y.; Du, Y. Enhancing efficiency and economy of hydrogen-based integrated energy system: A green dispatch approach based on exergy analysis. Energy 2024, 310, 133315. [Google Scholar] [CrossRef]
 - Wang, J.; Cui, Y.; Liu, Z.; Zeng, L.; Yue, C.; Agbodjan, Y.S. Multi-energy complementary integrated energy system optimization with electric vehicle participation considering uncertainties. Energy 2024, 309, 133109. [Google Scholar] [CrossRef]
 - Xiong, Y.; Wang, Y.; Zhang, Y.; Chen, J.; Wu, M. Production, investment and financial plan for a “natural gas+” integrated energy enterprise: An assessment using system dynamics and multi-objective optimization model. Energy Rep. 2025, 13, 1859–1874. [Google Scholar] [CrossRef]
 - Liu, C.; Fan, Y.; Yu, W.; Liu, Y.; Li, C.; Chi, Y. Low carbon operation and evaluation methods for integrated energy system counting EVs with whole life cycle considering demand response. Renew. Energy 2024, 236, 121447. [Google Scholar] [CrossRef]
 - Zhao, H.; Yao, Y.; Peng, D.; Zhao, P. A preference adjustable capacity configuration optimization method for hydrogen-containing integrated energy system considering dynamic energy efficiency improvement and load fast tracking. Renew. Energy 2024, 235, 121314. [Google Scholar] [CrossRef]
 - Babaei, R.; Ting, D.S.; Carriveau, R. Feasibility and optimization of hybrid energy systems for sustainable electricity, heat, and fresh water production in a rural community. Int. J. Green Energy 2025, 1–19. [Google Scholar] [CrossRef]
 - Wang, Z.; Hao, Y.; Zhao, G.; Wang, M.; Su, Z.; Zhang, J. Day-ahead optimal dispatch method of integrated electric-heat-cool-gas energy system based on N-1 safety criterion. Energy Build. 2024, 323, 114800. [Google Scholar] [CrossRef]
 - Shu, Y.; Dai, Y. The synergetic competition of cross-regional integrated energy systems with low-carbon technology heterogeneity under carbon emission trading mechanism to achieve carbon reduction target. Renew. Energy 2024, 236, 121394. [Google Scholar] [CrossRef]
 - Yang, J.; Zhao, B.; Ma, K.; Zhong, J.; Xu, W. A carbon integrated energy pricing strategy based on non-cooperative game for energy hub in seaport energy system. Energy 2024, 309, 133009. [Google Scholar] [CrossRef]
 - Gao, L.; Yang, S.; Chen, N.; Gao, J. Integrated Energy System Dispatch Considering Carbon Trading Mechanisms and Refined Demand Response for Electricity, Heat, and Gas. Energies 2024, 17, 4705. [Google Scholar] [CrossRef]
 - Yao, Z.; Ran, L.; Wang, Z.; Guo, X. Integrated management of electric vehicle sharing system operations and Internet of Vehicles energy scheduling. Energy 2024, 309, 132498. [Google Scholar] [CrossRef]
 - Zhang, Y.; Li, J.; Ji, X.; Yang, M.; Ye, P. Optimal scheduling of electricity-gas-heat integrated energy system with coordination of flexibility and reliability. Sustain. Energy Technol. 2024, 71, 103968. [Google Scholar] [CrossRef]
 - Faisal, S.; Gao, C. A Comprehensive Review of Integrated Energy Systems Considering Power-to-Gas Technology. Energies 2024, 17, 4551. [Google Scholar] [CrossRef]
 - Nandi, S.; Ghatak, S.R.; Sannigrahi, S.; Acharjee, P. Coordinated planning and operation of PV- hydrogen integrated distribution network incorporating daily-seasonal green hydrogen storage and EV charging station. Int. J. Hydrogen Energy 2024, 90, 134–158. [Google Scholar] [CrossRef]
 - Liu, B.; Yang, L.; Lv, T.; Zhu, L.; Ji, M.; Hu, W. Application of PVT Coupled Solar Heat Pump System in the Renovation of Existing Campus Buildings. Energies 2024, 17, 4922. [Google Scholar] [CrossRef]
 - Abd Elbar, A.R.; Baz, F.B.; Marzouk, S.A.; Eldesoukey, A.; Salem, A.M. Analyzing solar still performance with PV electricity storage: Energy, exergy, exergoeconomic, and enviroeconomic perspectives. Desalination 2025, 597, 118400. [Google Scholar] [CrossRef]
 - Zhu, X.; Chen, J.; Wang, L.; Wang, P.; Fang, Z.; Du, X.; Gao, F. Optimum power control and coordinate sizing for the stand-alone wind-energy storage integrated hydrogen production system. Int. J. Hydrogen Energy 2024, 88, 803–814. [Google Scholar] [CrossRef]
 - Huo, S.; Li, Q.; Pu, Y.; Xie, S.; Chen, W. Low carbon dispatch method for hydrogen-containing integrated energy system considering seasonal carbon trading and energy sharing mechanism. Energy 2024, 308, 132794. [Google Scholar] [CrossRef]
 - Zhou, J.; Jiang, X.; Li, S.; Zhu, J.; Zhou, Z.; Liang, G. Operation optimization for gas-electric integrated energy system considering hydrogen fluctuations and user acceptance. Int. J. Hydrogen Energy 2024, 88, 666–687. [Google Scholar] [CrossRef]
 - Han, L.; Wang, S.; Cheng, Y.; Chen, S.; Wang, X. Multi-timescale scheduling of an integrated electric-hydrogen energy system with multiple types of electrolysis cells operating in concert with fuel cells. Energy 2024, 307, 132707. [Google Scholar] [CrossRef]
 - Ye, S.; Wang, J.; Yin, Z.; Kang, J.; Ma, Z. Optimization of a solar-driven community integrated energy system based on dynamic hybrid hydrogen-electric energy storage strategy. J. Energy Storage 2024, 101, 113917. [Google Scholar] [CrossRef]
 - Rahman, J.; Jacob, R.A.; Zhang, J. Multi-timescale power system operations for electrolytic hydrogen generation in integrated nuclear-renewable energy systems. Appl. Energy 2025, 377, 124346. [Google Scholar] [CrossRef]
 - Liu, B.; Zheng, S.; Lai, M. Carbon emission reduction potential analysis of fuel cell vehicles in China: Based on GRA-BiLSTM prediction model. Int. J. Hydrogen Energy 2024, 66, 110–121. [Google Scholar] [CrossRef]
 - Abdullah, Z.; Keeley, A.R.; Coulibaly, T.Y.; Managi, S. The impact of fuel cell vehicles deployment on road transport greenhouse gas emissions through 2050: Evidence from 15 G20 countries. J. Environ. Manag. 2024, 370, 122660. [Google Scholar] [CrossRef]
 - Zhen, J.; Liu, X.; Wu, C.; Ji, L.; Huang, G. Operation optimization and performance evaluation of photovoltaic-wind-hydrogen-based integrated energy system under carbon trading mechanism and uncertainty for urban communities. J. Clean. Prod. 2024, 476, 143688. [Google Scholar] [CrossRef]
 - Liu, W.; Wang, J.; Wang, Y. Building solar integrated energy systems considering power and heat coordination: Optimization and evaluation. Sol. Energy 2024, 279, 112821. [Google Scholar] [CrossRef]
 - Tubussum, H.; Aslam, M.; Hashim, H.M.; Marimuthu, M.; Mahmoud, K.H.; Alsubaie, A.S.; Bhutto, A.W.; Bazmi, A.A.; Bokhari, A.; Nizami, A. Reorientation of energy policy and management: Integrated Energy Planning (IEP) framework implementation for Renewable and Thermal Energy Systems (RTES). Process Saf. Environ. 2024, 191, 780–798. [Google Scholar] [CrossRef]
 - Bazdar, E.; Nasiri, F.; Haghighat, F. Resilience-centered optimal sizing and scheduling of a building-integrated PV-based energy system with hybrid adiabatic-compressed air energy storage and battery systems. Energy 2024, 308, 132836. [Google Scholar] [CrossRef]
 - Kim, Y.; Oh, S.; Kim, D.; Hong, S.; Park, J. Development of a hybrid energy storage system for heat and electricity: Application to green hydrogen production process integrated with a municipal solid waste incinerator. Energ. Convers. Manag. 2024, 321, 119009. [Google Scholar] [CrossRef]
 - Chong, Z.; Yang, L.; Jiang, Y.; Zhou, W. Hybrid-timescale optimal dispatch strategy for electricity and heat integrated energy system considering integrated demand response. Renew. Energy 2024, 232, 121123. [Google Scholar] [CrossRef]
 - Liu, T.; Yang, Z.; Duan, Y.; Hu, S. Techno-economic assessment of hydrogen integrated into electrical/thermal energy storage in PV+ Wind system devoting to high reliability. Energ. Convers. Manag. 2022, 268, 116067. [Google Scholar] [CrossRef]
 - Baz, F.; Sharaf, M.; Aljabr, A.; Almehmadi, F.A.; Marzouk, S. Enhancing photovoltaic/thermal performance with perforated tube within cooling water duct. Clean. Technol. Environ. 2024. [Google Scholar] [CrossRef]
 - Marzouk, S.A.; El-Fakharany, M.K.; Baz, F.B. Heat transfer performance of particle solar receiver: Numerical study. Heat. Transf. Res. 2022, 53, 1–19. [Google Scholar] [CrossRef]
 - Wu, M.; Sun, H.; Liu, Q.; Lv, X.; Chen, B.; Yang, M.; Song, Y. Enhancing CO2 Sequestration Safety with Hydrate Caps: A Comparative Study of CO2 Injection Modes and Saturation Effects. Energy 2025, 320, 135044. [Google Scholar] [CrossRef]
 - Wang, Y.; Dong, H.; Ma, K.; Wang, H.; Zhang, J. Multi frequency stability optimization of integrated energy systems considering virtual energy storage characteristics of heating networks. Appl. Therm. Eng. 2024, 257, 124254. [Google Scholar] [CrossRef]
 - Hao, M.; Lan, J.; Wang, L.; Lin, Y.; Wang, J.; Qin, L. Optimized Dual-Layer Distributed Energy Storage Configuration for Voltage Over-Limit Zoning Governance in Distribution Networks. Energies 2024, 17, 1847. [Google Scholar] [CrossRef]
 - Ma, T.; Li, M.; Fan, C.; Dong, H. A novel real-time dynamic performance evaluation and capacity configuration optimization method of generation-storage-load for integrated energy system. Appl. Energy 2024, 374, 123896. [Google Scholar] [CrossRef]
 - Wang, J.L.; Yan, T.; Pan, W.G. Design and evaluation of integrated energy system combining solar energy and compressed-air energy storage. Renew. Energy 2024, 232, 121068. [Google Scholar] [CrossRef]
 - Lin, L.; Ou, K.; Lin, Q.; Xing, J.; Wang, Y. Two-stage multi-strategy decision-making framework for capacity configuration optimization of grid-connected PV/battery/hydrogen integrated energy system. J. Energy Storage 2024, 97, 112862. [Google Scholar] [CrossRef]
 - El-Fakharany, M.K.; Abo-Samra, A.A.; Abdelmaqsoud, A.M.; Marzouk, S.A. Enhanced performance assessment of an integrated evacuated tube and flat plate collector solar air heater with thermal storage material. Appl. Therm. Eng. 2024, 243, 122653. [Google Scholar] [CrossRef]
 - Zhou, J.; Wu, Y.; Zhong, Z.; Xu, C.; Ke, Y.; Gao, J. Modeling and configuration optimization of the natural gas-wind-photovoltaic-hydrogen integrated energy system: A novel deviation satisfaction strategy. Energ. Convers. Manag. 2021, 243, 114340. [Google Scholar] [CrossRef]
 - Song, Y.; Mu, H.; Li, N.; Wang, H. Multi-objective optimization of large-scale grid-connected photovoltaic-hydrogen-natural gas integrated energy power station based on carbon emission priority. Int. J. Hydrogen Energy 2023, 48, 4087–4103. [Google Scholar] [CrossRef]
 










| Main Equipment | Efficiency/COP | Price | 
|---|---|---|
| Power generation unit | 36% | 4200 CNY/kW | 
| Photovoltaic panel | / | 2400 CNY/kW | 
| Solar collector | 50% | 1500 CNY/kW | 
| Electric chiller | 4 | 950 CNY/kW | 
| Absorption chiller | 0.70 | 1500 CNY/kW | 
| Heat exchanger | 80% | 200 CNY/kW | 
| Electric boiler | 92% | 1200 CNY/kW | 
| Gas boiler | 92% | 1200 CNY/kW | 
| Thermal storage tank | 95% | 200 CNY/kW | 
| Battery | 98.5% | 1600 CNY/kW | 
| PEM electrolyzer and its auxiliaries | 57.9 kWh/kg H2 | 9000 CNY/kW | 
| Converter | 98.5% | 600 CNY/kW | 
| H2 refueling station | / | 2 × 107 CNY | 
| Gas | Price | Carbon Dioxide Emission Factors | 
|---|---|---|
| Grid power | / | 1.2 kg/kWh | 
| Natural gas | 4.18 CNY/Nm3 | 2.11 kg/Nm3 | 
| Purchased hydrogen | 36.4 CNY/kg | 36.8 kg/kg | 
| System | PGU | GB | EB | EC | AC | EL | B | TST | PV | SC | 
|---|---|---|---|---|---|---|---|---|---|---|
| S1 | 1450 | 4180 | 80 | 410 | 390 | 1280 | 20 | 4490 | 0 | 0 | 
| S2 | 2360 | 960 | 3280 | 230 | 2020 | 3780 | 0 | 0 | 12,460 | 0 | 
| S3 | 780 | 3200 | 1580 | 40 | 1860 | 2240 | 680 | 6530 | 8000 | 6320 | 
| S4 | 2290 | 610 | 4230 | 0 | 2020 | 2490 | 1230 | 7360 | 13,590 | 0 | 
Disclaimer/Publisher’s Note: The statements, opinions and data contained in all publications are solely those of the individual author(s) and contributor(s) and not of MDPI and/or the editor(s). MDPI and/or the editor(s) disclaim responsibility for any injury to people or property resulting from any ideas, methods, instructions or products referred to in the content.  | 
© 2025 by the authors. Licensee MDPI, Basel, Switzerland. This article is an open access article distributed under the terms and conditions of the Creative Commons Attribution (CC BY) license (https://creativecommons.org/licenses/by/4.0/).
Share and Cite
Zhao, X.; Mu, H.; Li, N.; Kong, X.; Shi, X. Optimization Research on a Novel Community Integrated Energy System Based on Solar Energy Utilization and Energy Storage. Energies 2025, 18, 1151. https://doi.org/10.3390/en18051151
Zhao X, Mu H, Li N, Kong X, Shi X. Optimization Research on a Novel Community Integrated Energy System Based on Solar Energy Utilization and Energy Storage. Energies. 2025; 18(5):1151. https://doi.org/10.3390/en18051151
Chicago/Turabian StyleZhao, Xunwen, Hailin Mu, Nan Li, Xue Kong, and Xunpeng Shi. 2025. "Optimization Research on a Novel Community Integrated Energy System Based on Solar Energy Utilization and Energy Storage" Energies 18, no. 5: 1151. https://doi.org/10.3390/en18051151
APA StyleZhao, X., Mu, H., Li, N., Kong, X., & Shi, X. (2025). Optimization Research on a Novel Community Integrated Energy System Based on Solar Energy Utilization and Energy Storage. Energies, 18(5), 1151. https://doi.org/10.3390/en18051151
        
