Next Article in Journal
Geochemical Characteristics of Crude Oil and Oil–Source Correlations in the Yongfeng Sub-Sag of the Bogda Mountain Front Belt
Previous Article in Journal
Development and Design of an Optimal Fuzzy Logic Two Degrees of Freedom-Proportional Integral Derivative Controller for a Two-Area Power System Using the Bee Algorithm
Previous Article in Special Issue
Multi-Objective Structural Optimization Design for Electric Excavator-Specific Battery Packs with Impact Resistance and Fatigue Endurance
 
 
Font Type:
Arial Georgia Verdana
Font Size:
Aa Aa Aa
Line Spacing:
Column Width:
Background:
Article

Investigating High-Voltage Safety Concerns in Electric Vehicles Through Voltage Discharge Optimisation

by
Preetraj Kurian
and
Mohammadali Abbasian
*
Warwick Manufacturing Group, University of Warwick, Coventry CV4 7ES, UK
*
Author to whom correspondence should be addressed.
Energies 2025, 18(4), 916; https://doi.org/10.3390/en18040916
Submission received: 23 December 2024 / Revised: 4 February 2025 / Accepted: 5 February 2025 / Published: 14 February 2025
(This article belongs to the Special Issue Reliable and Safe Electric Vehicle Powertrain Design and Optimization)

Abstract

The rapid adoption of electric vehicles coupled with high-voltage battery packs increases safety concerns, especially during crashes. Such safety concerns can be addressed with voltage discharge strategies to reduce the voltage of the DC-bus capacitor. One discharge strategy involves injecting a negative current into the traction motor to dissipate the DC-bus energy through motor windings. One issue with strategies involving the injection of negative d- and q-axis currents into the motor to reduce the speed of the motor and discharge the capacitor quickly is the observation of a large voltage surge due to the energy recovery from the motor. A discharge strategy found in the literature deals with this with piecewise calculation of d- and q-axis currents based on the motor speed. This study investigates this strategy and provides recommendations for improvement and future work with key insights. Using MATLAB Simulink 2023b, this strategy is analysed and compared with other discharge strategies. In certain circumstances with a high-rotor-inertia motor, the performance of the strategy was not deemed adequate. In essence, the lack of testing of discharge strategies on multiple powertrains is deemed as one potential cause of such problems which needs to be addressed in future research.

1. Introduction

The popularity of electric vehicles (EVs) has skyrocketed after stringent emission regulations around the world such as the Euro 7 norms, and the new proposed Environmental Protection Agency (EPA) MY2027-2032 regulations [1,2,3]. These regulations target toxic pollutants such as PM2.5, Carbon Monoxide (CO), Non-Methane Organic Gas (NMOG) and HCHO, and greenhouse gas emissions such as CO2 and Methane (CH4). Regulations such as the Corporate Average Fuel Economy (CAFE) establish an average CO2 limit for a manufacturer’s entire fleet, which can thus be reduced by increasing the proportion of EVs [3]. This coupled with the requirements of the customers to have an efficient vehicle leads to the push towards electrification. Hybridisation can be looked at as a bridge towards complete electrification as efficiency and emission improvements are noteworthy [4]; however, complete electrification helps in achieving a highly efficient vehicle with no exhaust emissions. Among the various factors that can influence the decision making of potential buyers [5], EVs are still being perceived positively as a product by customers in multiple regions which further helps in the electrification of fleets. Older individuals and/or urban families increasingly prefer EVs over Internal Combustion Engine (ICE) vehicles because various countries tend to offer either tax incentives or reductions in the initial cost or cost of ownership [6].
EVs are key in meeting multiple legislative objectives and thus their numbers are on the rise in multiple markets. Despite the lack of infrastructure in various regions such as India, cheap EVs are still being adopted [7]. With an increase in charging infrastructure and better quality control standards, the proportion of EVs on the road would certainly increase. This increases the possibility of accidents and failures of safety systems and thus the risk of exposing customers to HV-related safety issues. While the HV safety systems will be covered later, in short, the battery pack tends to be isolated especially during a critical failure such as an accident or a short circuit. With this, the HV element is isolated, and the rest of the electrical components need to drop their voltages to a safe level determined by the United Nations Economic Commission for Europe (UNECE) regulation R94 (60 VDC or 30 VAC) within 60 s [8]. The main types of discharge techniques employed include external circuit discharge and internal power device-based discharge.
External circuit discharge techniques involve the usage of a resistor in parallel with the DC-bus capacitor [9]. This can either be achieved in a passive manner, where the resistor continually discharges the DC capacitor, which means that more energy is needed from the battery to counter the discharge effects, or it can be achieved in an active manner where a switched resistor is utilised to switch the resistor into the circuit with the capacitor only when the DC-bus has to be discharged [10]. In the case of passive discharge by adjusting the resistance of the resistor to a value high enough, the rate of discharge can be slowed down, but this also increases the time to discharge the DC-bus capacitor in the event of an emergency.
For an internal power device-based discharge technique, there is no need for the resistor used in external circuit discharge, but the motor(s) and inverter of the powertrain are used. In the case of using an inverter, ref. [11] refers to using the IGBT modules, controlling their gate voltage, generating a short current where the VCE is large, and generating the large transient power which then discharges the DC-bus capacitor. The issue with inverter-based discharge strategies is the large discharge currents being generated which could affect the health of the modules of the inverter. When the motors are used for discharging the energy, it mainly occurs through the winding losses in the motor and the directing energy towards it. One method of performing this is by injecting a large negative d-axis current with zero q-axis current, weakening the air-gap flux, and discharging the DC-bus voltage quickly. The machine winding-based discharge technique eliminates the weight issues of the external circuit-based discharge technique while being relatively safer for the devices as compared to an inverter-based discharge technique. Unfortunately, when using this method, if the speed of the motor is above the threshold speed where the back-EMF generated by the voltage is lower than the DC-bus voltage, there will be a massive surge in energy because of the back-EMF directing charge back to the capacitor. Thus, ref. [12] concludes that this should be used for low-speed applications. The purpose of this study is to investigate discharge strategies suitable for HV vehicles with extreme parameters and lay out technical recommendations for future work.

2. Winding-Based Discharge Strategy Methodology

2.1. Review of Winding-Based Discharge Techniques

Section 1 introduced the large d-axis current injection-based discharge strategy which will be referred to as LDA-CI henceforth (refer to Figure 1), which is a very simple strategy and can work for many powertrains specifically during low speeds. Since no braking torque is generated (due to no q-axis current injection), even with the flux-weakening effect, the back-EMF generated by the motor can recharge the capacitor or make it difficult to discharge below the safe voltage in time. This especially can become exacerbated when parameters such as rotor inertia are high because of which the motor takes a longer time to slow down leading to high back-EMF levels being maintained for longer and increasing the discharge time. Another phenomenon that can occur is that when the discharge is requested and the large d-axis current is injected, the DC-bus voltage drops suddenly; at that point, it becomes difficult for the current regulators to maintain the large current, and the steady state d-axis current of the PM machine approaches the machine characteristic current of λm/Ld where λm is the flux linkage of the motor and Ld is the d-axis inductance. These currents would then lead to an overcurrent protection within the inverter, leading to a shutdown after which the motor acts as a generator for charging and stabilising the DC-bus voltage above the safe voltage limit.
Another strategy is to inject both a negative d-axis current and a q-axis current to slow the motor down (subsequently reducing the back-EMF), helping the DC-bus capacitor discharge quickly. This strategy will be referred to as NDNQ henceforth. Ref. [12] notes that while this reduction in back-EMF can be beneficial, the sudden reduction in speed acts as the motor acting in ‘regen’ mode which then recharges the motor especially if the reduction in speed is sudden at the start of the current injection. If the stator windings do not have a high enough resistance this could result in the motor producing a large voltage surge (a sudden sharp increase in the voltage) in the DC-bus capacitor.
Here, f1 refers to the energy of the motor dissipated due to friction losses, f3 refers to the energy dissipated due to windings, and f2 signifies the energy given to the capacitor through the conversion of mechanical energy to electrical energy due to the generator mode. Accordingly, v1 and v2 can be considered as valves that regulate the flow of energy to and from the capacitor as v1 depends on iq and v2 can depend on either iq or id not being 0, meaning that energy flow is allowed between the capacitor and the motor. A few things to note are that this does not consider that energy can still be given to the capacitor even if iq is 0 due to the back-EMF being generated, subsequently charging or keeping the capacitor voltage above the safe limit.
Udc0 signifies the initial voltage of the capacitor and the initial energy Q0 can be represented by
Q 0 = 1 2 C U d c 0 2
Assuming a small-time instance of Δt, the discrete energy amounts flowing are represented by
f 1 = t F ω m 2 d t
f 2 = 1 2 J ω 0 2 ω 1 2 f 1
f 3 = t i d 2 R s d t + t i q 2 R s d t
where ω 0 and ω 1 are the rotor speeds before and after the current is injected for discharge.
Q r e m = Q 0 + f 2 f 3
Since this PM motor is being used, the electromagnetic components can be represented in the d- and q-axis frame.
d i d d t = R s L d i d + L q L d p ω m i q + u d L d
d i q d t = R s L q i q L d L q p ω m i d + u q L q φ f L q p ω m
d ω m d t = 1 J ( 1.5 p φ f i q + L d L q i d i q F ω m )
These equations form the base of any simulated discharge strategy in this study.
When the LDA-CI and the classic NDNQ were analysed in [12], for a large inertia and low safe current with LDA-CI, the voltage drops suddenly to 170 V due to the flux weakening (injection of negative d-axis current produces a magnetic field that opposes the field produced by the magnets thereby ‘weakening’ the flux and reducing the voltage) produced by the negative d-axis current which reduces the back-EMF of the motor. Any further reduction would need the system safe current to increase. After the sudden drop, the capacitor voltage and the back-EMF continuously alternate between a discharge state and charge state depending on whether the capacitor voltage is higher or lower than the back-EMF, respectively.
For the current characteristics of the two algorithms, a few observations were noted. Specifically, even without injecting a q-axis current, the motor q-axis current turns negative which can be attributed to the cross-coupling inducing a negative current. Secondly, another observation was that a large discharge current could not be maintained at the reference levels for a long time due to the DC-bus voltage not being large enough for that. Thus, if the discharge currents are kept high, the energy consumption through the machine windings can be maximised, leading to faster discharging. The NDNQ method achieves a much faster discharge by not only the deceleration but also by maintaining the d-axis current to nearly its reference levels for longer than the LDA-CI method, thus achieving better voltage reduction.

2.2. Deriving Piecewise Discharge Strategy

Following the base equations being used, ref. [12] establishes the requirements for the proposed strategy which include eliminating the voltage surge observed in NDNQ and ensuring that the DC-bus is discharged within 5 s. Since voltage surges can be observed with a high q-axis current, designing a strategy to adjust the q-axis current (and subsequently d-axis current) according to the rotor speed would help alleviate the mentioned concerns.
Since this study will cover the discharge strategy proposed in [10], the derivations will also be the same and will be listed below.
For a PMSM, the torque is given by
T e = 1.5 p φ f i q + L d L q i d i q
where the i d and i q can be replaced by i d _ r e f and i q _ r e f (which are the reference current values that the controller needs to adjust to).
Thus,
T e = 1.5 p φ f i q _ r e f + L d L q i d _ r e f i q _ r e f
Because of the braking torque, the deceleration a d e c can be calculated to be
a d e c = T e J = 1.5 J p φ f i q _ r e f
The electrical energy generated due to the reduction in speed of the motor during a time instance Δt is given by
f 2 = 1.5 p φ f i q r e f ω 0 t 9 8 J ( p φ f i q r e f ) 2 t 2 f 1
Since f 2 is proportional to the speed if i d is constant, then f 2 > f 3 during high speeds. This essentially means that the energy due to rotor slowdown (kinetic energy) is greater than the energy that can be dissipated by the windings, which is something that will happen in the high-speed zones. Thus, if the rate of kinetic energy conversion can be reduced, the windings can dissipate energy quickly too. For this, the piecewise strategy would reduce the q-axis current and increase it as the rotor speed reduces. Therefore, if f 2 f 3 , the machine windings will be able to dissipate the energy being sent back to the capacitor to avoid voltage surges and discharge the capacitor.
For a given maximum system safe current (a current that neither causes demagnetisation nor exceeds any safe limits of the power electronics), I s a f e , the discharge strategy will accordingly be linked to ensure that the entirety of this current can be utilised to maximise discharge. Because of this, the d- and q-axis currents are limited to I s a f e as
i d _ r e f _ i 2 + i q _ r e f _ i 2 = I s a f e 2
Thus, for a time instant i, based on Equations (4) and (13), we obtain the following:
f 3 = I s a f e 2 R s t
When substituting the initial speed for the time interval i and q-axis current i q _ r e f _ i . the equation becomes
f 2 = 1.5 p φ f i q _ r e f _ i ω m i 1 t 9 8 J ( p φ f i q _ r e f _ i ) 2 t 2
Since f 2 f 3 , the equation obtained becomes
ω m i 1 + ω m i 1 2 2 t J I s a f e 2 R s 1.5 p φ f t J i q _ r e f _ i < 0
Since any point within this locus will ensure that there is no voltage surge, and the discharge needs to be maximised, the q-axis reference current for a time period Δt will be set to
i q _ r e f _ i = ω m i 1 + ω m i 1 2 2 t J I s a f e 2 R s 1.5 p φ f t J
Using Equations (13) and (17), the d-axis reference current can be calculated as
i d _ r e f _ i = I s a f e 2 i q _ r e f _ i 2
Here, the author ignores the friction losses for simplicity, assuming that if without the friction losses, the discharge strategy can work, then with the friction losses, the discharge strategy will function even better leading to quicker discharge. Secondly, if ω m i 1 2 < 2 t J I s a f e 2 R s , the solution would be imaginary in the low-speed or stationary zones; thus, it is better to use it in high-speed situations. The author also mentions that using a smaller Δt will aid in a more accurate solution.

2.3. Simulation Methodology

All of the simulations undertaken in this study will be conducted using MATLAB Simulink. The basic subsystems of the simulation system are the controller and the plant as shown in Figure 2.
The controller includes a speed controller that utilises the speed of the motor to calculate the i q _ r e f using the piecewise algorithm equations derived in Section 2.2, or in the case of a classic NDNQ strategy, it can be directly specified as a constant block with the desired value. This reference current is then input to the current controller which, using a simple dynamic decoupling control, generates V d and V q .
V d = R s i d ω L q i q
V q = R s i q + φ f ω + ω L q i q
These voltages are then fed to the two blocks for inverse Park and inverse Clarke to generate a phase voltage V a b c using the rotor angle among other motor feedback events.
The next subsystem is the plant which takes the phase voltage and includes a PWM generator to generate switching signals. These signals are sent to the inverter represented by a universal bridge with MOSFETs. Parameters such as the snubber resistance and the PWM frequency are set according to the powertrain and are carried out to eliminate most of the voltage spikes and noise generated. In parallel to the inverter, a capacitor with a set initial voltage is applied. The 3-phase voltage from the inverter is then fed to a Permanent Magnet Synchronous Machine block. Additionally, since the output of the motor is continuous, rate transfer blocks will be applied to ensure that the discrete calculations of the controller can be compatible with the motor feedback.

3. Results

3.1. Verification of Piecewise NDNQ Strategy with PMSM Parameters

The piecewise NDNQ strategy will be verified with the parameters that were used in [12] as shown in Table 1.
In addition to the motor parameters, the simulation is also run with the capacitor at 600 V and 900 V with the capacitance changing accordingly to account for the voltage changes.
The piecewise strategy calculates a relatively high initial q-axis current which can be attributed to the high rotor inertia and a higher stator resistance allowing the calculated current to be high. Accordingly, the motor can remain in acceptable ranges of the reference levels. The d-axis current starts reducing slightly and cannot directly match the reference levels at around the 2.5 s mark according to Figure 3. At the same time, as the motor speed reduces, the motor q-axis current increases with the variation in the q-axis current increasing according to Figure 4. This can be attributed to the DC-bus voltage not being large enough to stay at the reference levels.
The motor speed decreases quickly within 3 s with the variations in the voltage increasing as the motor speed is low according to Figure 5. This could be attributed to the capacitor’s lower capacitance, which allows for more voltage spikes, or it can be attributed to the snubber resistance of the inverter not being adjusted correctly. If the resistances are increased, the variations might decrease; however, the time taken to discharge might increase as more current might be needed because of the resistance. Similarly, having a high-capacitance capacitor can reduce voltage spikes while reducing the time taken to discharge since the energy stored in the capacitor can be dissipated quickly through the windings. However, higher capacitance can also lead to more energy being needed by the battery during normal operations (because a larger capacitance would tend to store more energy), reducing the system’s efficiency.
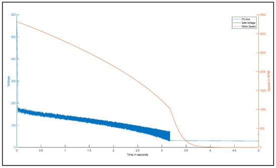
When the piecewise strategy is applied to the PMSM with the initial voltage set to 600 V, with the capacitance unchanged, the discharge to safe voltage takes slightly longer than 5 s according to Figure 6. Even the time taken for the motor speed to reduce takes longer which can be attributed to the high voltage in the capacitor essentially driving the motor faster thus taking longer to slow down. The DC-bus voltage upon current injection drops quickly to below 200 V which is a similar value to when the test was run at 310 V, signifying that the drop is mainly due to the back-EMF of the motor and the capacitor voltage at similar levels after the voltage drop.
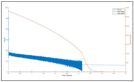
When the capacitance is increased to 1000 μF, the voltage variations observed before are reduced and the voltage discharges to below the safe level around 3.2 s according to Figure 7. This reaffirms the idea that using a higher capacitance capacitor can help with the discharge time and voltage variations.
The test is again performed but with the capacitor’s initial voltage set to 900 V. Here, the discharge is essentially the same as the 600 V test according to Figure 8, signifying the dependence of discharge characteristics on the motor’s back-EMF and the capacitance. With a high capacitance, more energy can be dissipated through the windings, and the voltage spikes can be reduced.
In all the cases, the discharge time is shorter as compared to [12]. This can be attributed to the PID controller used within the current controller as more overshoots towards the negative portion of the current can reduce the motor speed even more. Another observation is the difference in how the motor speed reduces abruptly around the 3 s mark. These differences could be attributed to the inverter characteristics being different along with the motor controller as, in the literature, it is difficult to sustain the d-axis current at the reference for longer than 2.5 s and it rapidly reduces, whereas in the simulation results of this study, the d-axis currents could follow the reference current almost through the entire discharge test.
While the discharge characteristics resemble the proposed NDNQ, additional testing may be needed to identify the cause for why the current can be maintained at reference levels for longer and if there are any issues with the controller.
A potential flaw with this discharge strategy is the high dependency on the ability of the controllers to track the reference levels that change with each time instance. Since there is no constant current reference for the entirety of the simulation, this can also produce variations such as a higher q-axis current than needed which can alter the effectiveness of the simulations. In a case where −15 A may be the starting q-axis current and the controllers can track to about −10 A, the discharge algorithm would be considerably slower.

3.2. Verification of Piecewise NDNQ Strategy with IPM Parameters

The piecewise NDNQ strategy will be verified on another powertrain to check its working ability. An IPM used in [13] will be utilised as shown in Table 2. Since the rotor inertia is not provided, this, along with the system safe current, will be assumed to be the same as the PMSM used in Section 3.1.
Almost all of the parameters have a significant shift from the PMSM apart from the rotor inertia. Since the piecewise calculation is dependent on the parameters of the motor, this can significantly shift the discharge characteristics of the piecewise strategy.
Figure 9 shows the d-axis current values and according to Figure 10 the q-axis reference current being generated is very small (−2 A) and this mainly occurs because the stator resistance is low enough to make the value added to the ‘-ωmi-1’ part of the numerator has a close enough value to make the overall d-axis reference current small. This can potentially be increased by increasing the system safe current or decreasing the rotor inertia value. However, changing the rotor inertia values can also change the denominator of the q-axis Equation (16), making the overall value of the q-axis current small.
The issues are noticeable in the discharge performance in Figure 11. Since the motor speed cannot be reduced adequately, the DC-bus voltage cannot discharge below the safe voltage within 5 s; in fact, it takes much longer than 30 s during the simulation. The drop from 310 V to around 70 V is nearly instantaneous and can be attributed to lesser overall back-EMF being generated. Even with lesser back-EMF, since the stator winding resistance is low, the ability of the motor to discharge the capacitor is subsequently lowered as compared to the PMSM. At the same time, because the piecewise strategy calculates a smaller current for the motor, it makes the overall reduction in speed even lower. Thus, the ability of the motor to dissipate energy is low, the reduction in motor speed is low, the back-EMF remains at a higher level as compared to the capacitor, and the capacitor cannot effectively discharge. This essentially behaves like an LDA-CI strategy because the d-axis current is quite large.
Like the 310 V simulation, the capacitor cannot discharge below the safe voltage within 5 s when the capacitor is set to 600 V or 900 V in Figure 12 and Figure 13.
A few ways of improving the discharge performance can be by increasing the capacitance and inverter characteristics. However, if the capacitance is too high, or if the inverter resistance is too high, the overall performance of the EV can be compromised as more energy will be needed to provide the same voltage levels for the motor performance. Since Equation (16) is derived from the ability of the motor to discharge energy equated to the kinetic energy recovered, it reduces the ability of the motor to effectively discharge. Secondly, if the motor has a low resistance, it will need more current passing through to dissipate energy effectively; thus, by reducing the q-axis current, the strategy acts counterintuitively.
When the current characteristics are analysed, a similar characteristic to LDA-CI can be observed where higher q-axis currents seem to be passively generated due to the cross-coupling effect of the motor. This increase puts the discharge strategy at the same level as LDA-CI because the q-axis reference current is too low to effectively cause a major difference. Therefore, a solution can be to inject a larger q-axis current to reduce the motor speed and thus reduce the back-EMF which allows the capacitor to discharge quickly. Since the motor is limited by its speed and its ability to dissipate energy, it becomes necessary to inject higher q-axis currents to reach safe voltages in a good time.
Further, the problems faced in this situation also extend to the fact that if the initial q-axis current is calculated to be less, that leads to the rate of deceleration being low and subsequently to the drop in back-EMF being negligible, leading to the motor speed for the next time instance being nearly the same. This would then lead to tiny increments in q-axis current, making it even more difficult to decelerate and reduce the DC-bus voltage. Since Equation (16) is highly dependent on the initial estimate of the current to reduce voltage surges, if the ability of the motor to dissipate energy is lowered, the overall ability of the algorithm to discharge the energy also reduces.

3.3. Simulation of IPM with Classic NDNQ

Since Section 3.2 identifies that more current might be needed to help discharge the capacitor effectively, the classic NDNQ strategy will be used for the IPM.
For the IPM to respond to the classic NDNQ strategy appropriately, some of the inverter parameters needed to be tuned; specifically, the snubber resistance with the capacitance changed to reflect a purely resistive behaviour in the inverter to prevent interference with the DC-bus capacitor performance. The q-axis reference current was set to −20 A and the d-axis reference current was set to −98 A with the overall system safe current still at 100 A. Notably according to Figure 14, the d-axis current could be maintained around the reference levels throughout the discharge, but the q-axis current gradually reduced over the discharge period according to Figure 15. This could be attributed to insufficient current control, inverter characteristics, or simply the reduction in back-EMF leading to the capacitor supplying energy to the motor and leading it to speed up momentarily.
According to Figure 16 it is evident that the motor speed could be reduced significantly better by using the classic NDNQ method, and in the test conditions of this simulation, no voltage surge was observed. In fact, the DC-bus capacitor could be discharged just below the safe voltage within 4 s. The motor speed also dropped significantly quicker with the motor reaching just over 2000 RPM by 5 s whereas with the piecewise strategy, it was just under 3000 RPM by 5 s. This speed reduction contributes to the reduction in back-EMF helping the DC-bus capacitor discharge quickly.
When the DC-bus capacitor is set to 600 V in Figure 17, the performance remains the same by discharging below the safe voltage within 5 s. The DC-bus capacitance remains at 1000 μF for all simulations and the performance is similar to [12] where NDNQ is characterised by a rapid drop in DC-bus voltage. The voltage surge phenomenon, however, was not observed in any of the situations, especially to the extent to which it was observed (about 600 V). This voltage surge can be due to the sharp decline in rotor speed, due to which the kinetic energy recharges the capacitor causing a surge. There is also a probability that the voltage surge could be due to improper controller tuning as with the wrong currents, the capacitor voltage could surge. Figure 18 just repeats the test for 900 V showing efficacy.

4. Discussion of Results

It is important to understand the shortcomings of the piecewise discharge strategy and why it might have not worked out for a different powertrain.
The main reason behind the development of the piecewise strategy was to eliminate the voltage surge phenomenon that was visible in the tests conducted by [12]. This phenomenon was attributed to the kinetic energy recovery or regen that occurred due to the reduction in speed of the motor by applying a negative q-axis current, which was then able to recharge the DC-bus capacitor. Accordingly, to eliminate this voltage surge, the same study stated that the energy remaining in the capacitor was equal to the initial energy in the capacitor plus the kinetic energy recovered subtracted by the energy dissipated through the machine windings and friction. To maximise the discharge potential, the study equates the regen energy and the machine winding energy. However, one key phenomenon the study fails to look at is the potential for the DC-bus capacitor to supply energy to the motor for a short time, thereby increasing the motor speed and subsequently the back-EMF of the motor. This especially becomes exacerbated when the DC-bus voltage is set to an HV level such as 600 V or 900 V. During this time, if the injected q-axis current is not high enough, the DC-bus capacitor can inject current into the motor, reducing the efficacy of the current controller with the discharge algorithm, causing the motor’s back-EMF to increase, and increasing the potential for a voltage surge to occur. In this case, if the current injected is higher than the limit in Section 2.2, this could reduce the back-EMF even further with a small voltage surge potential. In cases where the back-EMF generated by a motor is low (IPM, for example), due to lower flux linkages, it is even more important to reduce the motor speed in time to reduce the DC-bus voltage below the safe limit. Due to the back-EMF of the IPM being low and the stator resistance being low, a smaller current is injected to avoid the phenomena of voltage surge. Here, three main solutions exist:
  • Increase the system safe current to increase the d-axis current injected, which reduces the air-gap flux, thus reducing the back-EMF.
  • Inject a higher proportion of q-axis current to slow down the motor quicker, reducing the back-EMF at the expense of causing voltage surges.
  • Increase the capacitance of the capacitor so that the resultant voltage for the same amount of energy is lower.
Solution A is realistically feasible; however, in the context of the simulation, it is unwanted because this study was based on extreme motor parameters and ensuring safety even in that operation. Solution C is realistically not feasible because as mentioned in previous sections, a high capacitance will also result in the general performance of the powertrain becoming affected as more energy will be needed to provide the same operating voltage levels. Solution B, on the other hand, is realistically feasible and performs well in simulations with the main drawback of a potential voltage surge occurring. Here, it is important to note a few things.
Firstly, since the UNECE R94 regulation states that the discharge of the capacitor to the safe voltage should be within the range of 5 to 60 s, the voltage surge occurring within 5 s is acceptable if the overall discharge time is lowered. Since even above 60 V is not safe for humans, the voltage surge can cause serious issues but, in general, the priority for crash safety is the fast discharge of the capacitor.
Secondly, if voltage surges are to be eliminated, more simulations need to be conducted with different powertrains to understand the influence of parameters on voltage surges and if an additional multiplier factor can be utilised with the piecewise strategy to optimise it. For example, using a higher capacitance DC-bus capacitor can theoretically reduce the voltage surges as more energy would be needed to produce the same voltage variation as observed with smaller capacitance. In this case, it can be possible to either reduce the voltage surge observed to a relatively safer or less fatal level if not eliminate it.
Finally, the main issue with the piecewise strategy like any novel discharge strategy is that it is primarily on just one powertrain. Because such strategies need to be used to ensure occupant safety in EVs, it becomes important to ensure that the strategies can work in different motors and different conditions.
When analysing the potential parameters that influenced the differences in results between PMSM and IPM, it mainly involves the stator winding resistance and the flux linkage. Because of the differences in pole pairs, the influence of flux linkage in Equation (16) is nearly negated; however, the back-EMF is closely related to the speed of the motor and the flux linkage value. This was observed for the IPM, as after the sudden drop in DC-bus voltage, it remained at a voltage much lower than the PMSM which can be attributed to the reduction in flux linkage value between the two. As mentioned previously, the stator winding resistance influenced the ability of the motor to dissipate energy and it being low in the IPM led to the piecewise strategy to calculate a lower current. Thus, a factor (if added to the piecewise strategy) needs to have at least these two parameters to account for the back-EMF and the winding resistance of the motor.

5. Conclusions and Future Work

It was established that, irrespective of all safety features within battery packs and isolation systems onboard, during a crash, there is still a chance that high voltage can remain in the vehicle which, upon exposure, can seriously harm occupants and safety workers alike. For this, the discharging of high voltage from the DC-bus capacitor is of the utmost importance to ensure complete safety. This could either be achieved by using a resistor in parallel with the capacitor, or by injecting currents into the motor, which are referred to as winding-based discharge strategies. Three main strategies are looked at, namely LDA-CI (large negative d-axis current and zero q-axis current), classic NDNQ (fixed negative d- and q-axis current), and piecewise NDNQ (negative d- and q-axis currents calculated for each timestep according to an equation). The idea was to discharge the capacitor within 5 s which, in extreme parameters such as large motor inertia with low system safe currents, would lead to a slow discharge (beyond 5 s) if LDA-CI was used. When classic NDNQ was used it led to a large voltage surge, and to prevent this, an algorithm for piecewise NDNQ was derived to improve the speed of discharge while preventing voltage surges. However, when this piecewise strategy was implemented in another motor (Interior Permanent Magnet type) with different parameters while keeping the same motor inertia and system safe current, it was discovered that it could not discharge on time. When a classic NDNQ was applied to this motor, it could discharge within 5 s.
The main issue was that strategies were not utilised in different motors even with similar test conditions which prevented the checking of the effectiveness of such strategies. This leads to inconsistencies with the results and takes longer for the implementation of such tools in actual products being delivered to consumers. Being bulky and adding weight, resistor-based discharge strategies (referred to as external bleeder circuits) can offer a far more consistent discharging especially if there is a switched resistor to discharge the capacitor only in crash conditions. Further research can be conducted on the piecewise strategy to develop a factor that considers back-EMF and stator winding resistances to improve the discharge performance even if a slight voltage surge occurs. Further, there is also a possibility of current controllers being tuned ineffectively, and further testing should be conducted to eliminate any concerns.
The summary of recommendations and future work objectives are as follows:
  • Investigate potential solutions for the piecewise NDNQ algorithm and analyse if the simulation results correlate with physical test bench results.
  • Encourage the testing of discharge algorithms with multiple powertrains of a similar type (such as high rotor inertia) to speed up the process of adoption within new electric vehicles.
  • Focus on physical resistor-based discharge techniques. The time taken to develop a control algorithm with its testing timeline over extensive powertrains is not enough of a positive to offset the weight reductions provided by winding-based discharge algorithms. These algorithms are also dependent on physical electrical connections existing (which may not be possible after a crash).
  • Check for any current controller tuning issues which may be causing the system to not discharge effectively.

Author Contributions

Conceptualisation, P.K. and M.A.; methodology, P.K.; validation, P.K. and M.A.; formal analysis, P.K.; investigation, P.K.; resources, P.K. and M.A.; data curation, P.K.; writing—original draft preparation, P.K.; writing—review and editing, P.K. and M.A.; visualisation, P.K. and M.A.; supervision, M.A.; project administration, M.A. All authors have read and agreed to the published version of the manuscript.

Funding

This research received no external funding.

Data Availability Statement

The data presented in this study are available on request from the corresponding authors.

Conflicts of Interest

The authors declare no conflicts of interest.

References

  1. Rahman, M.M.; Thill, J.-C. A Comprehensive Survey of the Key Determinants of Electric Vehicle Adoption: Challenges and Opportunities in the Smart City Context. World Electr. Veh. J. 2024, 15, 588. [Google Scholar] [CrossRef]
  2. Euro 7: Council Adopts New Rules on Emission Limits for Cars, Vans and Trucks—Consilium. Available online: https://www.consilium.europa.eu/en/press/press-releases/2024/04/12/euro-7-council-adopts-new-rules-on-emission-limits-for-cars-vans-and-trucks/ (accessed on 22 August 2024).
  3. United States Environmental Protection Agency. Proposed Rule: Multi-Pollutant Emissions Standards for Model Years 2027 and Later Light-Duty and Medium-Duty Vehicles. Available online: https://www.epa.gov/regulations-emissions-vehicles-and-engines/proposed-rule-multi-pollutant-emissions-standards-model (accessed on 22 August 2024).
  4. Keegan, G.; Nelendran, P.; Oluwafemi, O. Modeling and Simulation of Hybrid Electric Vehicles for Sustainable Transportation: Insights into Fuel Savings and Emissions Reduction. Energies 2024, 17, 5225. [Google Scholar] [CrossRef]
  5. Mao, N.; Ma, J.; Chen, Y.; Xie, J.; Yu, Q.; Liu, J. Forecasting Motor Vehicle Ownership and Energy Demand Considering Electric Vehicle Penetration. Energies 2024, 17, 5094. [Google Scholar] [CrossRef]
  6. Buhmann, K.M.; Criado, J.R. Consumers’ Preferences for Electric Vehicles: The Role of Status and Reputation. Transp. Res. D Transp. Environ. 2023, 114, 103530. [Google Scholar] [CrossRef]
  7. India Leads in Electric Vehicle Sales amid Global Slowdown—The Economic Times. Available online: https://economictimes.indiatimes.com/industry/renewables/india-leads-surge-in-electric-vehicle-sales-amid-global-slowdown/articleshow/110422336.cms?from=mdr (accessed on 22 August 2024).
  8. Regulation No 94 of the Economic Commission for Europe of the United Nations (UN/ECE). Available online: https://op.europa.eu/en/publication-detail/-/publication/ed1e0b9a-024e-11e2-8e28-01aa75ed71a1 (accessed on 22 August 2024).
  9. Electric Vehicles: HV Battery and High-Voltage Safety Systems. Available online: https://www.bodyshopbusiness.com/hv-safety-systems/ (accessed on 22 August 2024).
  10. Active Discharge and Pre-Charge of EV High Voltage Power Bus. Available online: https://www.st.com/content/dam/OLM%20Email%20Marketing/2023/Webinar%20Presentations/Active%20Discharge%20and%20Pre-charge%20of%20EV%20High%20Voltage%20Power%20bus.pdf (accessed on 22 August 2024).
  11. Wu, Z.; Su, X.; Zhu, Y.; Xiao, M. DC Link Capacitor Active Discharge by IGBT Weak Short Circuit. SAE Int. J. Adv. Curr. Pract. Mobil. 2019, 1, 1177–1187. [Google Scholar] [CrossRef]
  12. Gong, C.; Hu, Y.; Chen, G.; Wen, H.; Wang, Z.; Ni, K. A DC-Bus Capacitor Discharge Strategy for PMSM Drive System With Large Inertia and Small System Safe Current in EVs. IEEE Trans. Ind. Inform. 2019, 15, 4709–4718. [Google Scholar] [CrossRef]
  13. Ke, Z.; Zhang, J.; Degner, M.W. DC Bus Capacitor Discharge of Permanent-Magnet Synchronous Machine Drive Systems for Hybrid Electric Vehicles. IEEE Trans. Ind. Appl. 2017, 53, 1399–1405. [Google Scholar] [CrossRef]
Figure 1. LDA-CI discharge phenomenon [12].
Figure 1. LDA-CI discharge phenomenon [12].
Energies 18 00916 g001
Figure 2. Control diagram for planned simulation (blue lines signify electrical connections, orange lines signify signal connections).
Figure 2. Control diagram for planned simulation (blue lines signify electrical connections, orange lines signify signal connections).
Energies 18 00916 g002
Figure 3. The d-axis currents used for piecewise NDNQ in PMSM.
Figure 3. The d-axis currents used for piecewise NDNQ in PMSM.
Energies 18 00916 g003
Figure 4. The q-axis current for the piecewise NDNQ strategy in PMSM.
Figure 4. The q-axis current for the piecewise NDNQ strategy in PMSM.
Energies 18 00916 g004
Figure 5. Piecewise NDNQ discharge in PMSM at 310 V and 560 μF capacitor.
Figure 5. Piecewise NDNQ discharge in PMSM at 310 V and 560 μF capacitor.
Energies 18 00916 g005
Figure 6. Piecewise NDNQ discharge in PMSM at 600 V and 560 μF capacitor.
Figure 6. Piecewise NDNQ discharge in PMSM at 600 V and 560 μF capacitor.
Energies 18 00916 g006
Figure 7. Piecewise NDNQ discharge in PMSM at 600 V and 1000 μF capacitor.
Figure 7. Piecewise NDNQ discharge in PMSM at 600 V and 1000 μF capacitor.
Energies 18 00916 g007
Figure 8. Piecewise NDNQ discharge in PMSM at 900 V and 1000 μF capacitor.
Figure 8. Piecewise NDNQ discharge in PMSM at 900 V and 1000 μF capacitor.
Energies 18 00916 g008
Figure 9. The d-axis currents used for piecewise NDNQ in IPM.
Figure 9. The d-axis currents used for piecewise NDNQ in IPM.
Energies 18 00916 g009
Figure 10. The q-axis current for the piecewise NDNQ strategy in IPM.
Figure 10. The q-axis current for the piecewise NDNQ strategy in IPM.
Energies 18 00916 g010
Figure 11. Piecewise NDNQ discharge in IPM at 310 V.
Figure 11. Piecewise NDNQ discharge in IPM at 310 V.
Energies 18 00916 g011
Figure 12. Piecewise NDNQ discharge in IPM at 600 V.
Figure 12. Piecewise NDNQ discharge in IPM at 600 V.
Energies 18 00916 g012
Figure 13. Piecewise NDNQ discharge in PMSM at 900 V.
Figure 13. Piecewise NDNQ discharge in PMSM at 900 V.
Energies 18 00916 g013
Figure 14. The d-axis current characteristic for IPM with the classic NDNQ strategy.
Figure 14. The d-axis current characteristic for IPM with the classic NDNQ strategy.
Energies 18 00916 g014
Figure 15. The q-axis current characteristic for IPM with the classic NDNQ strategy.
Figure 15. The q-axis current characteristic for IPM with the classic NDNQ strategy.
Energies 18 00916 g015
Figure 16. Discharge performance of IPM with classic NDNQ at 310 V.
Figure 16. Discharge performance of IPM with classic NDNQ at 310 V.
Energies 18 00916 g016
Figure 17. Discharge performance of IPM with classic NDNQ at 600 V.
Figure 17. Discharge performance of IPM with classic NDNQ at 600 V.
Energies 18 00916 g017
Figure 18. Discharge performance of IPM with classic NDNQ at 900 V.
Figure 18. Discharge performance of IPM with classic NDNQ at 900 V.
Energies 18 00916 g018
Table 1. PMSM parameters [12].
Table 1. PMSM parameters [12].
ParameterValueUnit
Stator winding resistance0.275
d-/q-axis inductances Ld/Lq0.8mH
Pole pairs3-
Moment of inertia0.24kg·m2
Viscous coefficient 0.0035-
Flux linkage0.18Wb
DC-bus voltage310/600/900V
System safe current100A
Motor initial speed345rad/s
DC-bus capacitance 560/1000μF
Table 2. IPM parameters [13].
Table 2. IPM parameters [13].
ParameterValueUnit
Stator winding resistance0.01
d-/q-axis inductances Ld/Lq0.15, 0.25mH
Pole pairs8-
Moment of inertia0.24kg·m2
Flux linkage0.045Wb
DC-bus voltage310/600/900V
System safe current100A
Motor initial speed345rad/s
DC-bus capacitance 560/1000μF
Disclaimer/Publisher’s Note: The statements, opinions and data contained in all publications are solely those of the individual author(s) and contributor(s) and not of MDPI and/or the editor(s). MDPI and/or the editor(s) disclaim responsibility for any injury to people or property resulting from any ideas, methods, instructions or products referred to in the content.

Share and Cite

MDPI and ACS Style

Kurian, P.; Abbasian, M. Investigating High-Voltage Safety Concerns in Electric Vehicles Through Voltage Discharge Optimisation. Energies 2025, 18, 916. https://doi.org/10.3390/en18040916

AMA Style

Kurian P, Abbasian M. Investigating High-Voltage Safety Concerns in Electric Vehicles Through Voltage Discharge Optimisation. Energies. 2025; 18(4):916. https://doi.org/10.3390/en18040916

Chicago/Turabian Style

Kurian, Preetraj, and Mohammadali Abbasian. 2025. "Investigating High-Voltage Safety Concerns in Electric Vehicles Through Voltage Discharge Optimisation" Energies 18, no. 4: 916. https://doi.org/10.3390/en18040916

APA Style

Kurian, P., & Abbasian, M. (2025). Investigating High-Voltage Safety Concerns in Electric Vehicles Through Voltage Discharge Optimisation. Energies, 18(4), 916. https://doi.org/10.3390/en18040916

Note that from the first issue of 2016, this journal uses article numbers instead of page numbers. See further details here.

Article Metrics

Back to TopTop