Abstract
Subject to pressures from resource exhaustion and environmental pollution, many countries have aimed to replace fossil fuels with renewable energy as part of their decarbonization strategy. In the post-pandemic era, countries are making efforts to explore a sustainable mode of economic development that features low resource consumption and less environmental pollution. Consumers are increasingly concerned about the environmental friendliness of energy products. In this study, we formulated four solutions for energy-saving optimization and control of the waste heat supply chain to conserve energy and compared the impact of a profit-as-incentive energy efficiency strategy and an energy efficiency incentive strategy on energy efficiency in the waste heat supply chain. Government agencies and enterprises can adopt a suitable strategy with the best current social and economic benefits to manage waste heat recovery. The profit-as-incentive energy efficiency strategy is more favorable for enterprises in the early stage of development. Under dual pressures of social attention to green energy and environmental protection, government agencies may adjust energy conservation policy to encourage enterprises to choose an energy efficiency incentive strategy to increase energy conservation.
1. Introduction
The greenhouse effect has led to abnormal global climate changes and environmental deterioration. In the post-pandemic era, the global economy is to be revived, and a “green” start is expected. Government agencies have introduced green energy policies and extensively promoted environmental protection. Consumer behaviors have changed, as consumers take into account not only price but also the impact of energy supply on the environment [1]. If released without being treated, waste heat generated by machines through radiation, coolant, or air would become a source of thermal pollution for the local environment. To cool it, companies will pay huge economic costs, and a waste of energy will occur. On the other hand, recovering clean waste heat requires high operating costs, massive investment and high technical thresholds, while its economic value is quite low [2]. The market size of waste heat recovery is quite small under current government subsidies for energy conservation. As consumers increasingly prefer green energy, companies have to adjust their energy efficiency strategy, which affects their profits. Waste heat recovery system combines heat storage technology with a heating system to form a sustainable thermal energy supply chain [3]; that is, companies that produce a large amount of waste heat during the production of core products cooperate with professional waste heat recovery companies and distribution companies to distribute recovered waste heat to users. In this way, a waste heat supply chain is established. In this study, we designed energy-saving optimization and control strategies for energy conservation and explored effective solutions for improving energy efficiency to deal with the above challenges.
Professional distributors who aim to maximize profits may optimize energy efficiency to increase their waste heat recovery competitiveness in the thermal energy market. We call this strategy a profit-as-incentive unidirectional energy conservation solution, but this solution features bilateral interests on both sides.
Facing contradictions between environmental pressure and profit maximization, suppliers with a large amount of waste heat may join hands with distributors to optimize energy conservation, which we call a profit-as-incentive bidirectional energy conservation solution. The suppliers win the trust of thermal energy users through higher energy efficiency, improve the overall profit of the supply chain and at the same time fulfill their social responsibilities. This also helps them establish social prestige and enhance their capabilities for sustainable development.
If suppliers focus on producing their core products and distributors unilaterally optimize energy conservation, this is a unilateral energy efficiency optimization solution for distributors under an energy efficiency incentive. This solution has an obvious disadvantage in that suppliers’ “hitchhiking” will exacerbate bilateral interest on both sides.
If suppliers and distributors cooperate with each other to increase the proportion of income from energy conservation, when the energy conservation weight reaches the threshold, distributors will stop the cooperation because their income is subject to restrictions from R&D costs. Under the constraints of core business, R&D costs and technical risks, suppliers will not unilaterally promote energy conservation. In this context, government agencies may adjust energy conservation policies and encourage companies to develop energy conservation technologies to improve economic and social benefits.
With the support of government energy conservation subsidies and under the constraints of consumer preferences, improving energy efficiency will expand the profits of all members in the supply chain. A unilateral energy conservation solution reduces users’ heating costs and increases the market competitiveness of waste heat recovery. Companies will obtain higher profits by adopting bidirectional energy conservation solutions. The energy efficiency incentive strategy brings the greatest energy conservation, but it requires more government subsidies. In the early days of their growth, waste heat recovery enterprises can choose a profit-as-incentive energy efficiency strategy. Under the pressure of social consumption and environmental protection, government agencies can adjust energy-saving policies and encourage enterprises to choose an energy efficiency incentive strategy to strengthen energy saving and consumption reduction.
The rest of this paper is structured as follows: Section 2 reviews the related literature. Section 3 proposes assumptions on four models. Section 4, Section 5, Section 6 and Section 7 describe solutions to models. Section 8 compares the performance of the four solutions. Section 9 offers a numerical analysis of corporate data and empirical verification of optimized energy conservation. Section 10 is a summary of this paper and management guidelines.
2. Literature Review
Operations and management of new energy have attracted extensive attention from operational management, marketing and economics communities. Existing research focuses on how to replace fossil fuels with renewable energy such as wind, solar, biomass and geothermal energy. Bott et al. [4] reviewed and categorized the related literature in detail and discussed how to reduce uncertainties in renewable new energy and obtain new energy. The former drives the development of new energy, while the latter increases operating costs. Based on their research, Mahmoudi et al. [5] found a way to enhance energy conversion. Kondratiev et al. [6] conducted research on thermoelectric heat energy conversion devices under existing aluminum conditions and improved the overall energy efficiency of waste heat in industries. Lefebvre and Tezel [7] proposed a solution for thermal energy storage that facilitates waste heat recovery and the replacement of fossil fuels with renewable new energy. However, none of these papers takes into account what we discuss in this paper, namely the game between enterprises’ energy conservation weight and factors influencing energy conservation and energy efficiency in the supply chain. We adopted the views in the above papers and evaluated enterprises’ energy-saving optimization and control as well as factors influencing energy conservation.
Although the above papers stress that storage technology advances help reduce energy losses in waste heat recovery and distribution, the purpose of optimizing control planning in supply chain management through advanced management technologies is to reduce impacts on the environment and make full use of existing resources. Majid et al. [8] pointed out that members of relevant interest in the supply chain form an interdependent whole in terms of time, relationship and function. Yang L. et al. [9] believed that suppliers have certain selection criteria when considering environmental issues. Carter and Rogers [10] combined the concept of sustainability with supply chain management and proposed that sustainable supply chain management can improve long-term economic benefits between enterprises and the supply chain. Marcus et al. [11] proposed that based on the needs of all stakeholders, members in the supply chain may work together to improve sustainable development on the whole. Yang et al. [12] suggested that efforts should be made to improve supply chain energy conservation and emission reduction through optimal supply chain control with the help of a mobile heat system. We referred to conclusions in the available literature and studied the game between social benefits brought by the waste heat supply chain and enterprises’ energy conservation strategy. From the perspective of a sustainable supply chain, we need society and the government to pay more attention to waste heat recovery and energy efficiency.
Most investments in renewable energy are characterized by a large initial investment, a high payback period and high risks. Amigun et al. [13] indicated that enterprises may encounter a range of technical barriers and financial obstacles when developing renewable energy businesses, but the government gives financial incentives and support through energy conservation subsidies to cultivate the renewable energy industry. Yang et al. [14] analyzed the impact of government energy conservation subsidies on enterprises with their acumen of investment strategies for waste heat recovery. Trindade et al. [15] held that waste heat recovery recycling will gain rapid growth if the focus on waste heat recovery continues to increase and favorable legislative condition is created. However, this is an emerging supply chain. We can help decision-makers choose appropriate subsidies by studying theoretical models.
3. Materials and Methods
3.1. Problem Description
Waste heat refers to the heat discharged during industrial production without being fully utilized, which includes high-quality heat above 300 °C and low- and medium-quality heat below 300 °C. Actually, 63% of the heat is below 200 °C. It becomes waste heat due to low commercial value [16,17]. If directly released, it will pollute the environment. To implement government policies on environmental protection, enterprises have to invest funds to process it. To solve this dilemma for enterprises, Yang et al. [18] combined the recovery of low-quality waste heat with heat supply to form a sustainable thermal energy supply chain (Please refer to detailed introduction of the company on http://www.qdaohuan.com, accessed on 26 September 2024) and adopted optimal control to improve the market value of waste heat. In this way, enterprises with a large amount of low-quality waste heat will become suppliers of waste heat. Built upon the Stackelberg game model, the decision models of waste heat recovery in different channels are constructed. We introduced an incentive mechanism into the waste heat supply chain and studied how consumer preferences and factors influencing energy conservation affect supply chain members’ choice of energy conservation strategy.
Table 1 presents relevant parameters. Superscripts mean the type of game, subscripts mean members in the supply chain (suppliers and professional distributors), means the game mode adopted by suppliers, the game mode adopted by distributors and the selling price for customers. Whichever technology is used, should be higher than corresponding costs to ensure positive profits.
Table 1.
Definition of abbreviations.
3.2. Basic Assumptions of Models
Without changing the nature of issues, we simplified some complex conditions, assuming the following:
- The waste heat recovery market is an oligopoly market, in which suppliers choose an active energy conservation strategy, while distributors choose a passive energy conservation strategy.
- The function for the market demand of recovered waste heat is as follows:
Chitra [19] upheld that consumers with environmental awareness are willing to pay more for green energy products. Market demand is expanded after enterprises take energy conservation measures, and then distributors deliver recovered waste heat to users. Therefore, the function for expanded market demand faced by distributors is
That is, market demand for waste heat is affected by both price and energy efficiency. The higher the energy efficiency of the supply chain (), the more environment-friendly the waste heat and the more consumers prefer it. Waste heat recovery requires massive investment funds, high operating costs and a high technological threshold. Suppliers recover waste heat according to users’ demand and do not keep inventory, which means market demand equals product supply (product distribution).
- 3.
- The government rewards enterprises for their efforts in energy conservation and emission reduction through (government subsidies). The waste heat recovery costs of suppliers () and release costs of distributors () can be expressed as
To improve energy efficiency during waste heat recovery, suppliers and distributors need to increase R&D investment. We assume that investment in energy conservation R&D is quadratic [20], that is,
If more funds are invested in R&D, more future profits are expected. That is, the weight of income from energy conservation () leads to expanded profits. Their relationship can be expressed as follows:
If enterprises optimize the supply chain by improving the efficiency of heat recovery or release, or enhancing heat storage capacity, they can improve energy efficiency and reduce operating costs.
4. Implementation of Unidirectional Profit-as-Incentive Energy Efficiency Strategy ( Mode)
The first solution we analyzed aims at environmental pollution. To maximize profits, enterprises take measures to conserve energy and actively apply for government subsidies in this regard. If waste heat suppliers focus on their core business while professional distributors adopt optimal control of energy conservation to improve the energy efficiency of the supply chain, cater to consumer preference for green energy and expand the demand of the new energy market, then the problems to be solved by members in the supply chain are as follows:
Suppliers:
Distributors:
The solution for the mode is shown in Table 2.
Table 2.
Solution for mode.
Corollary 1.
When and the energy efficiency of the supply chain = then the selling price of recovered waste heat = .
Unlike physical products, recovered waste heat is in immediate loss and has no inventory. Its price is positively correlated with the technical strength of energy conservation and consumer preference (). Energy efficiency is negatively correlated with factors influencing energy conservation, so improving energy efficiency requires more funds for R&D.
5. Implementation of Bidirectional Profit-As-Incentive Energy Efficiency Strategy ( Mode)
If enterprises with rich waste heat quickly transfer their waste heat and cooperate with distributors to realize optimal control of energy efficiency, the problems to be solved by members in the supply chain are as follows:
Suppliers:
Distributors:
The solution for the mode is shown in Table 3.
Table 3.
Solution for mode.
Corollary 2.
When members in the waste heat supply chain cooperate with one another to improve energy efficiency, the supply price of waste heat = and the market price = . In this way, suppliers will obtain more profits, i.e., .
The price of waste heat recovery () is positively correlated with energy efficiency (). By developing energy conservation technologies, suppliers can enhance their corporate image and obtain more profits, that is, .
6. Implementation of Unidirectional Energy Efficiency Incentive Strategy ( Mode)
In the face of limited conventional energy and urgent environmental issues, the government has intensified efforts to implement new energy policies and encourage enterprises to recover waste heat as substitutes for fossil energy. If suppliers focus on their core business, professional distributors will increase market demand for green energy by setting an appropriate weight of unit income from energy conservation (). The higher is, the more attention distributors pay to energy conservation. The problems to be solved by members in the supply chain are as follows:
Suppliers:
Distributors:
The solution for the mode is shown in Table 4.
Table 4.
Solution for mode.
The effects of distributors’ decisions are shown in Table 5.
Table 5.
Effects of distributors’ decisions.
Distributors improve energy efficiency () and price () by increasing the proportion of income from energy conservation. Market demand for energy conservation is increased, and suppliers obtain more profits (). On the one hand, the energy efficiency of the waste heat supply chain () is positively correlated with the proportion of income from energy conservation (). Distributors use energy conservation technology, expand market demand for energy conservation and improve profitability of the supply chain. On the other hand, energy efficiency () is negatively correlated with factors influencing energy conservation (), so further improving energy efficiency requires more funds for R&D.
R&D costs spent by distributors () reduce the profitability of the supply chain (). To solve this problem, the government should increase subsidies to encourage enterprises to further join the green supply chain, gain social benefits from energy conservation and emission reduction and offset adverse bilateral interests on both sides.
7. Implementation of Bidirectional Energy Efficiency Incentive Strategy ( Mode)
If suppliers cooperate with distributors to conserve energy, that is, maximize profits by setting the appropriate weight of income from energy conservation (), then the problems to be solved by members in the supply chain are as follows:
Suppliers:
Distributors:
The solution for the mode is shown in Table 6.
Table 6.
Solution for mode.
Corollary 3.
Members in the waste heat supply chain jointly develop energy conservation technology. If , , so and the bidirectional energy conservation solution is still implemented. If , suppliers may continue to invest funds in energy conservation technology to obtain higher marginal income, but distributors refuse to pay more R&D costs.
Distributors’ energy efficiency is subject to suppliers’ proportion of income from energy conservation. When =, if distributors continue to invest in R&D, their marginal revenue will decline, so it is best for them to stop investment in R&D. Subject to capital and technology constraints, suppliers will not choose unidirectional R&D investment, that is, . When =, if suppliers continue to invest in R&D, their marginal revenue will increase. Distributors may stop R&D for energy conservation due to declined marginal revenue. In this case, suppliers have to take unidirectional energy conservation measures, and their marginal revenue will decline. As a result, both suppliers and distributors refuse to continue with R&D.
To address this problem, the government should adjust energy conservation subsidies to encourage enterprises to further R&D and improve the energy efficiency of the supply chain, thus realizing energy conservation and emission reduction.
8. Comparative Analysis of All Solutions
This section presents a summary of optimal solutions specified in Section 4, Section 5, Section 6 and Section 7. On this basis, we obtain the impact of different parameters on the price of recovering waste heat, the profits resulting therefrom and the energy conservation and emission reduction effects under various circumstances.
8.1. Analysis of the Relationship Between the Weight of Income from Energy Conservation and Energy Efficiency
This section focuses on the impact of the weight of unit income from energy conservation on the energy efficiency of the supply chain.
Proposition 1.
If mode is adopted and , then the energy efficiency of the supply chain . If mode is adopted and , then . Assuming , we conclude .
Proposition 1 indicates enterprises want to continue to improve energy efficiency, which means energy efficiency is greater than zero, i.e., and . Otherwise, they would hope to maintain current energy efficiency. It is difficult for the supply chain and its members to reach a new equilibrium independent of one another. To solve this problem, we proposed Proposition 2.
Proposition 2.
If the government increases subsidies, enterprises are willing to continue to improve energy conservation technology, so , .
Proposition 2 shows the degree of importance attached by each member in the waste heat supply chain to energy efficiency. It also reveals that energy efficiency increases as the weight of income from energy conservation rises.
The overall energy efficiency in the unidirectional energy conservation strategy is lower than that in the bidirectional energy conservation strategy. Regarding bidirectional energy conservation, energy efficiency in the mode is higher than that in the mode. The greater the weight of income from energy conservation set by enterprises, the higher the energy efficiency. However, this may lead to decreased profits and thus a dilemma where increased income from further improving energy efficiency offsets increased R&D costs to promote energy efficiency. To break this deadlock, the government should provide new subsidies. So, we have Proposition 3.
Proposition 3.
The government can add different levels of subsidies for different thresholds to encourage enterprises to set a higher weight of income from energy conservation.
Currently, waste heat recovery is faced with constraints including massive initial investment, high operating costs, a high technological threshold and the limited economic value of waste heat. Therefore, this market remains untapped in many countries. Supported by the current L1 government subsidy for energy conservation, China has a small market size for waste heat recovery. The government can adjust subsidies based on corresponding thresholds to promote waste heat recovery and encourage enterprises to actively improve energy conservation technology to improve the energy efficiency of the supply chain, as shown in Table 7.
Table 7.
Adjustments and goals of the government’s energy conservation policy.
8.2. Analysis of the Relationship Between Price and Energy Efficiency
The above-mentioned four solutions show that price is positively correlated with energy efficiency, i.e., , so . This shows the overall price of waste heat in the unidirectional and decentralized energy conservation strategy is lower than that in the bidirectional and coordinated energy conservation strategy. As for the bidirectional energy conservation alliance mode, the price in the mode is higher than that in the mode. Due to the high technological threshold in the waste heat recovery industry, enterprises need to gain rich experience and seek technological innovation to secure their competitiveness. Although the waste heat recovery market is an oligopoly market, the price of waste heat is affected by substitutes including fossil fuel and electric energy. Hence, Proposition 4 is proposed.
Proposition 4.
The supply price and selling price of recovered waste heat are affected by the energy conservation strategy taken by members in the supply chain.
When distributors improve energy efficiency, selling price and marginal income will increase, and market demand will not be affected. When implementing a unidirectional energy conservation strategy, if suppliers believe that increasing supply price will not affect market demand, they will increase the price to improve their marginal income, which leads to “hitchhiking”. In this case, the government should introduce new subsidies to encourage suppliers to improve energy conservation technologies and jointly improve energy efficiency during waste heat recovery.
8.3. Analysis of the Relationship Between the Weight of Income from Energy Conservation and Profits
A positive weight of income from energy conservation boosts the improvement of energy conservation technology in the supply chain, which in turn expands the profits of members in the supply chain, so we obtain Inference 1.
Inference 1.
When implementing a bidirectional energy conservation strategy, , where . When implementing a unidirectional energy conservation strategy, , where .
This indicates if suppliers withdraw from energy conservation R&D, distributors, as followers, have to set a higher incentive weight in order to improve energy efficiency, which may reduce their profits. This leads the supply chain into a selection dilemma. On this basis, we put forward Inference 2.
Inference 2.
In the four sub-game modes, suppliers’ profits are , and distributors’ profits are .
Profit decisions that enterprises may make under different strategies are shown in Table 8. If suppliers choose a profit-as-incentive energy efficiency strategy, it is wise to employ a bidirectional profit-as-incentive energy efficiency strategy. Because it is better for distributors to choose a profit-as-incentive energy efficiency strategy than an energy efficiency incentive strategy. Then, there is . But suppliers will not accept this. Therefore, distributors have no choice but to choose a bidirectional profit-as-incentive energy efficiency strategy, obtain and thus fall into the prisoner’s dilemma, as shown in Table 8.
Table 8.
Profit decisions in the four sub-game modes.
If distributors choose a profit-as-incentive energy efficiency strategy, suppliers will prefer a bidirectional profit-as-incentive energy efficiency strategy. When distributors know that suppliers want to implement a profit-as-incentive energy efficiency strategy only, they will choose an energy efficiency incentive strategy because it can improve their profits. If suppliers do not want to put money and efforts into non-core business (i.e., waste heat recovery), then distributors will have lower profits () and be trapped in the prisoner’s dilemma.
Enterprises in the supply chain both compete and cooperate with one another. If they want to make more profits, Inference 2 is the best choice.
Inference 3.
Competitors will fall into the prisoner’s dilemma when choosing a profit-as-incentive energy efficiency strategy, but there is a unique Nash equilibrium () if they choose an energy efficiency incentive strategy.
Inference 3 shows that energy efficiency incentive strategy is a favorable strategy for competitors. They do not want to unilaterally change their strategy, invest in R&D and undertake R&D risks. The Nash equilibrium also indicates that suppliers, as the dominant party in the waste heat supply chain, always obtain the highest profits, while distributors, as the follower, always obtain the lowest.
To solve these problems, the government needs to study how to provide subsidies so that enterprises will adopt a bidirectional energy efficiency strategy and avoid falling into the prisoner’s dilemma when making strategic decisions. In addition, it should encourage enterprises to set a higher weight of income from energy conservation and actively work on energy conservation technology.
9. Numerical Analysis
To verify the theoretical models in this paper, a sample case is analyzed in this section. The price of recovering waste heat is mainly affected by the price of standard coal, natural gas, electricity and more. It is also affected by the government’s consumption policy, consumer preference, the distance of waste heat recovery and distribution, household income, etc. We assume the following:
We evaluated consumers’ sensitivity coefficient () and R&D cost factor () and obtained stable data specified below.
9.1. Impact of Consumer Preference and Factors Affecting Investment in Energy Conservation R&D on Energy Efficiency
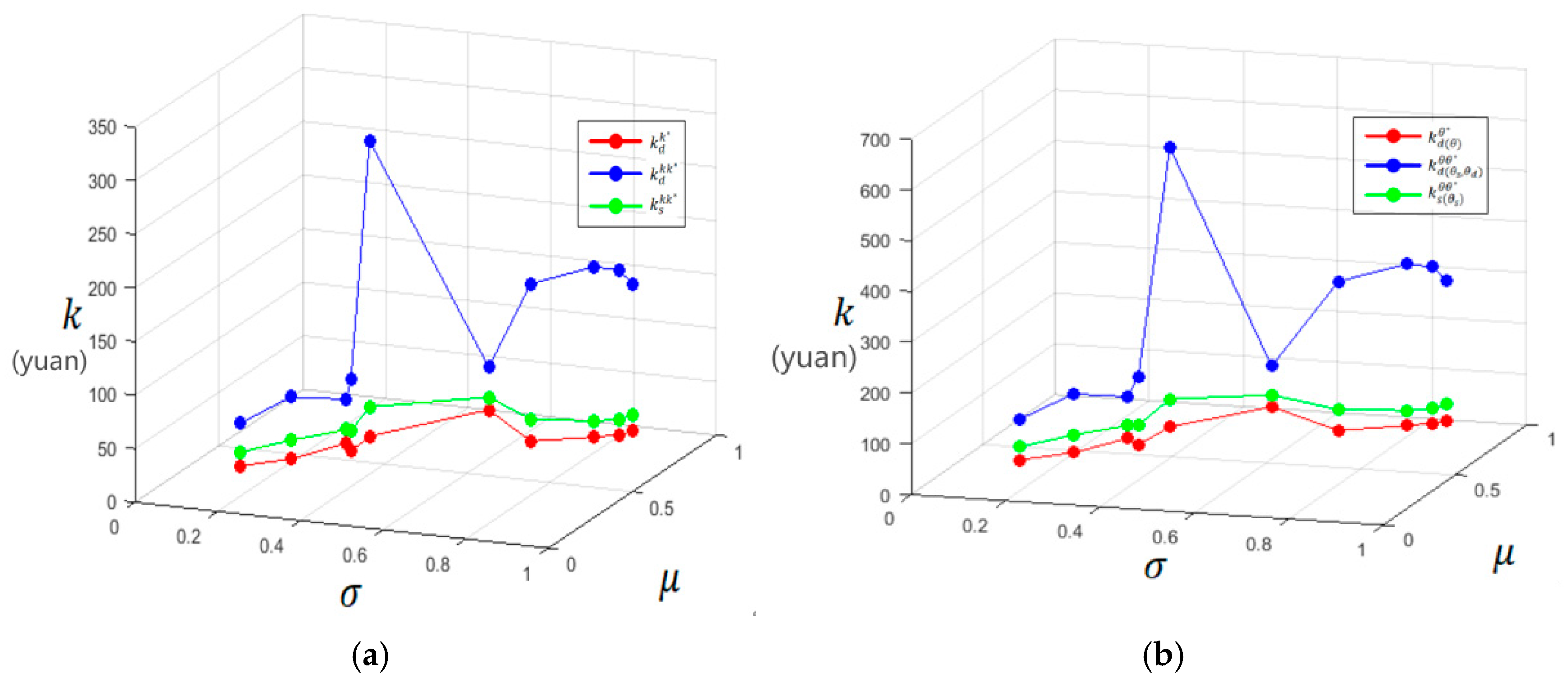
Impacted by consumer preference, in whichever mode, the energy efficiency of the supply chain increases with the increase in the R&D cost factor (), as shown in Figure 1 and Table 9. This fully illustrates the pressure brought by consumers’ awareness of environmental protection on enterprises, which forces all members of the supply chain to value energy efficiency.
Figure 1.
Impacts on energy efficiency. (a) Impact on . (b) Impact on
Table 9.
Impacts on energy efficiency.
When , distributors’ energy efficiency fluctuates greatly in the mode and mode. In the bidirectional energy efficiency mode, suppliers join hands with the upstream of the supply chain in developing energy conservation technology, which allows distributors to embrace a higher energy efficiency. When the R&D cost factor ( reduces from 0.52 to 0.19, the energy efficiency of the supply chain also reduces regardless of which mode is adopted. When the R&D cost factor () increases from 0.19 to 0.59, the energy efficiency of the supply chain also improves. However, when , if investments in energy conservation technology are continuously increased to further satisfy consumer preference, that is, when the R&D cost factor () increases from 0.59 to 0.70, energy efficiency will decline. In general, according to (a), ; according to (b), . The data also show that the energy efficiency of the supply chain in the energy efficiency incentive strategy is higher than that in the profit-as-incentive energy efficiency strategy.
9.2. Impact of Consumer Preference and Factors Affecting Investment in Energy Conservation R&D on Profits
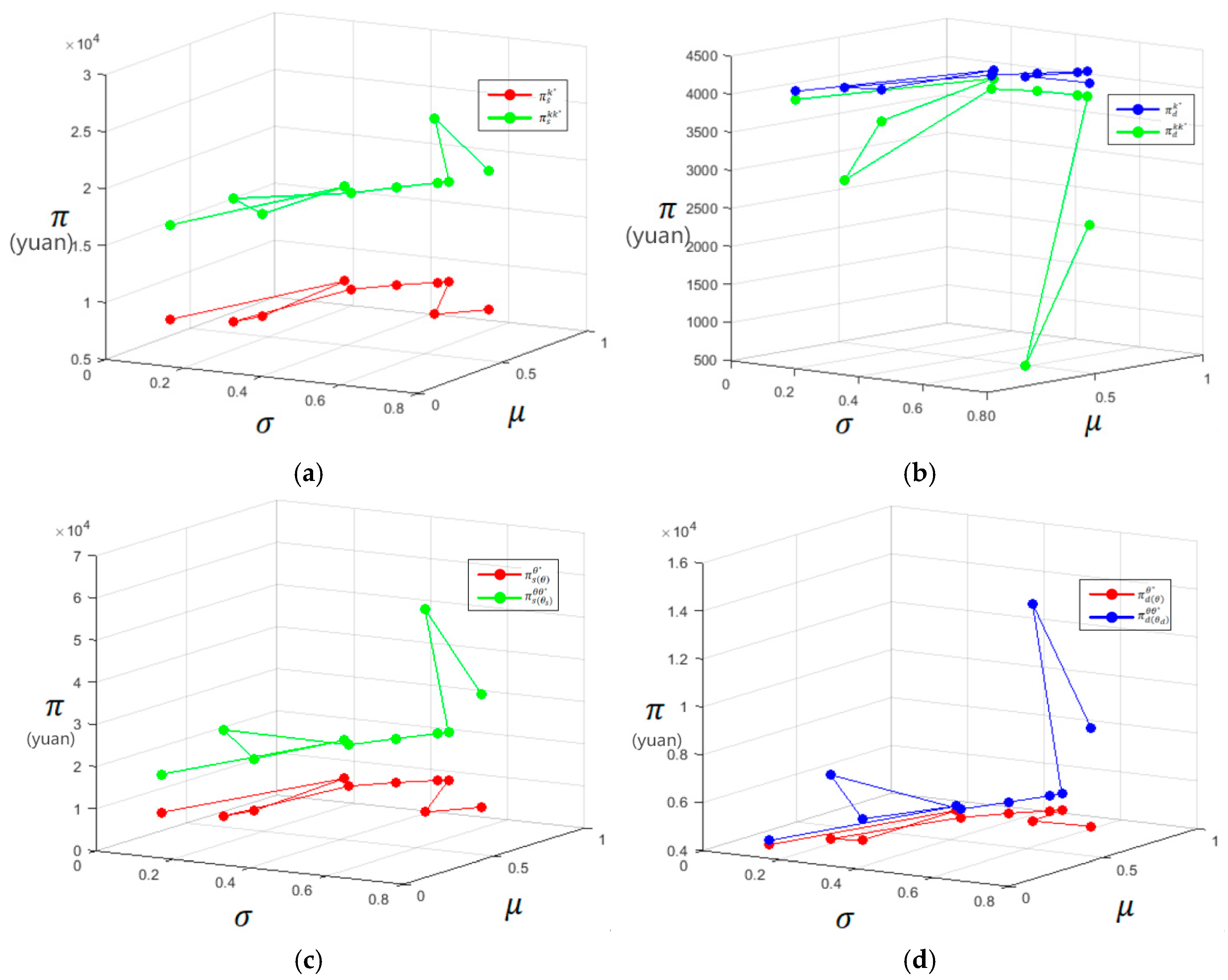
Members in the supply chain who adopt an energy efficiency incentive strategy obtain higher profits than those who adopt a profit-as-incentive energy efficiency strategy, i.e., , as shown in Figure 2 and Table 10 and Table 11.
Figure 2.
Impact on profits. (a) Impact on . (b) Impact on . (c) Impact on . (d) Impact on .
Table 10.
Impact on profits (1).
Table 11.
Impact on profits (2).
When , as the consumer preference coefficient rises, if the R&D cost factor () increases from 0.11 to 0.97, profits in the supply chain will increase. This indicates consumers’ awareness of energy conservation and environmental protection exerts an obvious impact on their preference for green energy.
In particular, when , as consumers show a greater preference for energy-efficient products, profits in the supply chain will fluctuate if investments in energy conservation R&D fluctuate. For example, as , when increases from 0.15 to 0.86, profits in the supply chain increase; when decreases from 0.86 to 0.11, profits in the supply chain decrease. In short, in the interval when , improved energy efficiency will drive profits in the supply chain.
When , as the consumer preference coefficient goes up, if investments in energy conservation R&D increase (for example, rising from 0.31 to 0.56), profits in the supply chain will decline. In this interval, improved energy efficiency leads to a continuous drop in profits in the supply chain.
As shown in Figure 2a,c, suppliers gain more profits in the bidirectional energy efficiency mode than in the unidirectional energy efficiency mode. Figure 2b shows when the profit-as-incentive energy efficiency strategy is adopted, distributors obtain more profits in the unidirectional energy efficiency mode than in the bidirectional energy efficiency mode. Figure 2d shows when the energy efficiency incentive strategy is adopted, distributors embrace higher profits in the bidirectional energy efficiency mode than in the unidirectional energy efficiency mode, which indicates bidirectional energy efficiency mode is not always optimal in the oligopoly market. Notably, leaders in the supply chain always obtain the highest profits, while followers obtain the lowest. As indicated by Figure 2c,d, the Nash game leads to the highest profits in the entire supply chain, which is consistent with Inference 3.
9.3. Validation Case Study
To test the conclusions in Section 9.1 and Section 9.2, a case study is conducted to test the energy conservation benefits of the four modes in terms of costs.
Qingdao China Gas Mingyue Thermal Power Co., Ltd. (Mingyue Thermal Power.The enterprise is located in Qingdao, Shandong Province, China) recovers waste steam discharged from production lines through high-efficiency heat exchange facilities. Qingdao Aohuan New Energy Group (Aohuan New Energy) distributes the waste heat recovered by Mingyue Thermal Power to Qingdao Yangfeng Seaweed Industry Co., Ltd. (Yangfeng) (the user) using mobile heat supply cars to satisfy Yangfeng’s daily demand of 72 t of heat energy to dry products (Please refer to: http://www.qdaohuan.com/, accessed on 26 September 2024). Table 12 presents the user’s costs of using the 72 t of recovered waste heat per day in the four models. The data show that in the bidirectional energy efficiency mode, supply price and market price are relatively high, so enterprises obtain higher marginal income, which in turn affects their investment in developing energy conservation technology. The user costs are also lower in this mode.
Table 12.
Energy conservation benefits of the four heat supply modes.
We assume the electricity price is . If the user dries products with electricity, it consumes 52,000 per day for 72 t of heat.
If recovered waste heat is used instead of standard coal to provide 72 t of heat for Yangfeng, 2.56 t of carbon dioxide emissions can be reduced every day. Similarly, replacing electricity with recovered waste heat can reduce the user’s heat consumption costs in the four models specified in this paper.
10. Conclusions
The four models reveal that improving the energy efficiency of the supply chain can conserve energy, increase market demand for waste heat and drive profits. A unidirectional energy efficiency strategy can reduce heat consumption costs for users, improve the market competitiveness of recovered waste heat and increase suppliers’ profits by “hitchhiking”. Enterprises that choose a bidirectional energy efficiency strategy can obtain higher profits, but improving energy efficiency requires more investments in R&D. Under this background, suppliers and distributors will tend to fall into the prisoner’s dilemma when making decisions. The energy efficiency incentive strategy features higher energy efficiency, so the government should add subsidies.
Numerical analysis based on corporate data demonstrates that consumer preference affects the weight of income from energy conservation set by enterprises, which in turn affects enterprises’ investment in energy conservation R&D. According to the data, if a user needs 72 t of heat per day, the costs of using recovered waste heat are lower than those of using electricity. Meanwhile, 2.56 t of carbon dioxide emissions can be reduced per day compared with fossil fuels. Recovered waste heat fits consumers’ environmental awareness, and enterprises can obtain higher marginal income.
Our conclusions are as follows: Enterprises engaged in waste heat recovery are faced with high technical and capital thresholds. They can choose a profit-as-incentive energy efficiency strategy in the early stage. Due to social benefits and environmental pressure, the government may add energy conservation subsidies to encourage enterprises to choose an energy efficiency incentive strategy, attract suppliers to join energy conservation technology R&D, improve energy efficiency and facilitate the sustainable development of the supply chain. These conclusions can support the government and enterprises in choosing suitable management strategies based on social and market benefits.
Author Contributions
Writing—Original Draft, Conceptualization and Methodology, J.Y.; Software and Formal Analysis, J.H.; Data Curation and Visualization, Z.Z.; Investigation, M.H.; Supervision and Project Administration, T.X.; Project Administration, Writing—Review and Editing, and Resources, Z.L.; Writing—Review, F.Q. All authors have read and agreed to the published version of the manuscript.
Funding
This work is supported by the Guangdong Philosophy and Social Science Development Program (GD21CGL08), Guangdong Industry Polytechnic Program (HX2021-226) and “High Energy Density Phase Change Thermal Storage System Development Project” commissioned by Guangzhou Huan Tou YongXing Group Co., Ltd. (YXHT20240100014).
Data Availability Statement
The original contributions presented in the study are included in the article, further inquiries can be directed to the corresponding author.
Conflicts of Interest
Author Zhidong Li was employed by the company Guangzhou Environmental Investment Yongxing Group Co., Ltd. The remaining authors declare that the research was conducted in the absence of any commercial or financial relationships that could be construed as a potential conflict of interest.
References
- Miwa, N.; Tatsuya, O.; Yasunori, K. A socio-technical analysis of consumer preferences about energy systems applying a simulation-based approach: A case study of the Tokyo area. Energy Res. Soc. Sci. 2018, 46, 52–63. [Google Scholar]
- Ranjit, P.S.; Chintala, V. Direct utilization of preheated deep fried oil in an indirect injection compression ignition engine with waste heat recovery framework. Energy 2022, 242, 122910. [Google Scholar] [CrossRef]
- Yang, J.; Zhang, Z.; Hong, M.; Chen, J. Optimal operation strategy of green supply chain based on waste heat recovery quality. Energy 2019, 183, 599–605. [Google Scholar] [CrossRef]
- Bott, C.; Dressel, I.; Bayer, P. State-of-technology review of water-based closed seasonal thermal energy storage systems. Renew. Sustain. Energy Rev. 2019, 113, 109241. [Google Scholar] [CrossRef]
- Mahmoudi, A.; Fazli, M.; Morad, M.R. A recent review of waste heat recovery by Organic Rankine Cycle. Appl. Therm. Eng. 2018, 143, 660–675. [Google Scholar] [CrossRef]
- Kondratiev, V.V.; Sysoev, I.A.; Kolosov, A.D.; Galishnikova, V.V.; Gladkikh, V.A.; Karlina, A.I.; Karlina, Y.I. Development and Testing of the Thermoelectric Thermal Energy Conversion Device in the Conditions of Existing Aluminum Production. Materials 2022, 15, 8526. [Google Scholar] [CrossRef] [PubMed]
- Lefebvre, D.; Tezel, F.H. A review of energy storage technologies with a focus on adsorption thermal energy storage processes for heating applications. Renew. Sustain. Energy Rev. 2017, 67, 116–125. [Google Scholar] [CrossRef]
- Majid, E.; Pierre, D.; Joe, M.; Olivier, P. Sustainable supply chain network design: An optimization-oriented review. Omega 2015, 54, 11–32. [Google Scholar]
- Yang, L.; Cai, Y.; Wei, Y.; Huang, S. Choice of technology for emission control in port areas: A supply chain Perspective. J. Clean. Prod. 2019, 240, 118105. [Google Scholar] [CrossRef]
- Carter, C.R.; Rogers, D.S. A Framework of Sustainable Supply Chain Management: Moving Toward New Theory. Int. J. Phys. Distr. Log. 2008, 38, 360–387. [Google Scholar] [CrossRef]
- Marcus, B.; Kannan, G.; Joseph, S.; Stefan, S. Quantitative models for sustainable supply chain management: Developments and directions. Eur. J. Oper. Res. 2014, 233, 299–312. [Google Scholar]
- Yang, J.; Zhang, Z.; Hong, M.; Chen, J. An oligarchy game model for the mobile waste heat recovery energy supply chain. Energy 2020, 210, 118548. [Google Scholar] [CrossRef]
- Amigun, B.; Petrie, D.; Görgens, J. Economic risk assessment of advanced process technologies for bioethanol production in South Africa: Monte Carlo analysis. Renew. Energy 2011, 36, 3178–3186. [Google Scholar] [CrossRef]
- Yang, J.; Zhang, Z.; Hong, M.; Chen, J. Investigating the economic returns of mobile heat storage devices in the multi-stage closed-loop supply chain. Energy Rep. 2020, 6, 181–189. [Google Scholar] [CrossRef]
- Trindade, A.B.; Palacio, J.C.E.; González, A.M.; Rúa Orozco, D.J.; Lora, E.E.S.; Renó, M.L.G.; del Olmo, O.A. Advanced exergy analysis and environmental assesment of the steam cycle of an incineration system of municipal solid waste with energy recovery. Energy Convers. Manag. 2018, 157, 195–214. [Google Scholar] [CrossRef]
- Michael, L.; Kevin, O.T. A new technology for cost effective low grade waste heat recovery. Energy Procedia 2017, 123, 188–195. [Google Scholar]
- Barbosa-Póvoa, A.P.; da Silva, C.; Carvalho, A. Opportunities and challenges in sustainable supply chain: An operations research perspective. Eur. J. Oper. Res. 2018, 268, 399–431. [Google Scholar] [CrossRef]
- Yang, J.; Chen, J.; Zhang, Z. Cost performance optimization of waste heat recovery supply chain by mobile heat storage vehicles. Energy Rep. 2020, 6, 137–146. [Google Scholar] [CrossRef]
- Chitra, K. In search of the green consumers: A perceptual Study. J. Serv. Res. 2007, 7, 173–191. [Google Scholar]
- D’Aspremont, C.; Jacquemin, A. Cooperative and noncooperative R&D in duopoly with spillovers. Am. Econ. Rev. 1998, 78, 1133–1137. [Google Scholar]
Disclaimer/Publisher’s Note: The statements, opinions and data contained in all publications are solely those of the individual author(s) and contributor(s) and not of MDPI and/or the editor(s). MDPI and/or the editor(s) disclaim responsibility for any injury to people or property resulting from any ideas, methods, instructions or products referred to in the content. |
© 2025 by the authors. Licensee MDPI, Basel, Switzerland. This article is an open access article distributed under the terms and conditions of the Creative Commons Attribution (CC BY) license (https://creativecommons.org/licenses/by/4.0/).

