Large-Signal Nonlinear Average Model for a Voltage-Controlled Flyback Converter
Abstract
1. Introduction
2. Controlled Flyback Converter
2.1. Flyback Converter Model
2.2. Flyback Converter Control
3. Nonlinear Averaged Model (NAM) and PI Control Design
3.1. Proposed Model in Continuous Conduction Mode (CCM)

3.2. Control Design
4. Results and Application
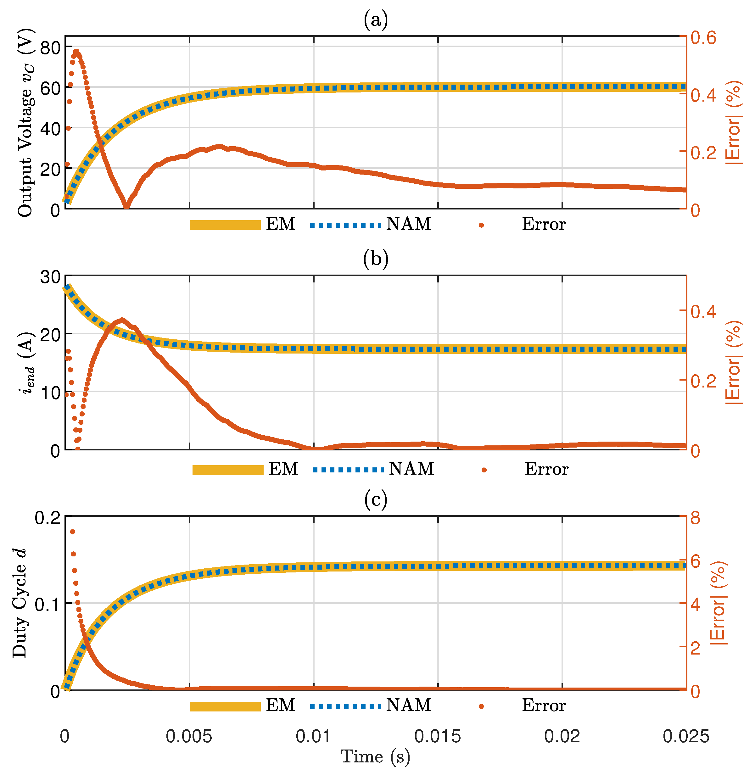
4.1. Model Performance
4.2. Performance Under Disturbances
4.3. Averaged Nonlinear Application


5. Conclusions and Future Work
Author Contributions
Funding
Data Availability Statement
Acknowledgments
Conflicts of Interest
References
- Gökçegöz, F.; Akboy, E.; Hülya Obdan, A. Analysis and design of a flyback converter for universal input and wide load ranges. Electrica 2021, 21, 235–241. [Google Scholar] [CrossRef]
- Ramos-Paja, C.A.; Bastidas-Rodriguez, J.D.; Saavedra-Montes, A.J. Sliding-Mode Control of a Photovoltaic System Based on a Flyback Converter for Microinverter Applications. Appl. Sci. 2022, 12, 1399. [Google Scholar] [CrossRef]
- Rashid, M.H. Power Electronics: Devices, Circuits, and Applications, 4th ed.; International Edition; Pearson: London, UK, 2014. [Google Scholar]
- Pesce, C.; Riedemann, J.; Peña, R.; Degano, M.; Pereda, J.; Villalobos, R.; Maury, C.; Young, H.; Andrade, I. A modified multi-winding DC–DC flyback converter for photovoltaic applications. Appl. Sci. 2021, 11, 11999. [Google Scholar] [CrossRef]
- Avila, A.; Garcia-Bediaga, A.; Alzuguren, I.; Vasic, M.; Rujas, A. A Modular Multifunction Power Converter Based on a Multiwinding Flyback Transformer for EV Application. IEEE Trans. Transp. Electrif. 2022, 8, 168–179. [Google Scholar] [CrossRef]
- Calvo, C.R. Estudio de Paralelización de Convertidores Flyback en Aplicaciones de Carga de Baterías y Condensadores de Hasta 1.2 Kilovatios. Ph.D. Thesis, Universidad de León, León, Spain, 2023. [Google Scholar]
- Vračar, D.Ð.; PEJOVIĆ, P.V. Active-Clamp Flyback Converter as Auxiliary Power-Supply of an 800 V Inductive-Charging System for Electric Vehicles. IEEE Access 2022, 10, 38254–38271. [Google Scholar] [CrossRef]
- Vračar, D.; Pejović, P. Active-clamped flyback DC-DC converter in an 800V application: Design notes and control aspects. J. Electr. Eng. 2022, 73, 237–247. [Google Scholar] [CrossRef]
- Sun, S.; Guo, H.; Zhang, Y.; Sun, L.; Li, Y.; Zhang, Y. Novel synchronous rectification strategy for flyback converter in both DCM and CCM applications. IET Power Electron. 2023, 16, 893–904. [Google Scholar] [CrossRef]
- Zhu, B.; Yang, Y.; Wang, K.; Liu, J.; Vilathgamuwa, D.M. High Transformer Utilization Ratio and High Voltage Conversion Gain Flyback Converter for Photovoltaic Application. IEEE Trans. Ind. Appl. 2024, 60, 2840–2851. [Google Scholar] [CrossRef]
- Tseng, S.Y.; Fan, J.H. Buck-Boost/Flyback Hybrid Converter for Solar Power System Applications. Electronics 2021, 10, 414. [Google Scholar] [CrossRef]
- Ngo, K.D. Low frequency characterization of PWM converters. IEEE Trans. Power Electron. 1986, 4, 223–230. [Google Scholar] [CrossRef]
- Shah, C.; Vasquez-Plaza, J.D.; Campo-Ossa, D.D.; Patarroyo-Montenegro, J.F.; Guruwacharya, N.; Bhujel, N.; Trevizan, R.D.; Rengifo, F.A.; Shirazi, M.; Tonkoski, R.; et al. Review of dynamic and transient modeling of power electronic converters for converter dominated power systems. IEEE Access 2021, 9, 82094–82117. [Google Scholar] [CrossRef]
- Khader, S.; Hadad, A.; Abu-Aisheh, A.A. The application of PSIM & Matlab/Simulink in power electronics courses. In Proceedings of the 2011 IEEE Global Engineering Education Conference (EDUCON), Amman, Jordan, 4–6 April 2011; IEEE: Piscataway, NJ, USA, 2011; pp. 118–121. [Google Scholar]
- Surya, S.; Chhetri, A.; Arjun, M.; Williamson, S. Effective power electronics understanding using circuit simulation. IEEE Potentials 2023, 42, 25–31. [Google Scholar] [CrossRef]
- Estrada, L.; Vázquez, N.; Vaquero, J.; de Castro, Á.; Arau, J. Real-time hardware in the loop simulation methodology for power converters using labview FPGA. Energies 2020, 13, 373. [Google Scholar] [CrossRef]
- Abbood, H.D.; Benigni, A. Data-Driven Modeling of a Commercial Photovoltaic Microinverter. Model. Simul. Eng. 2018, 2018, 5280681. [Google Scholar] [CrossRef]
- Wang, P.; Chen, X.; Tong, C.; Jia, P.; Wen, C. Large-and small-signal average-value modeling of dual-active-bridge DC–DC converter with triple-phase-shift control. IEEE Trans. Power Electron. 2021, 36, 9237–9250. [Google Scholar] [CrossRef]
- Yan, D.; Yang, C.; Hang, L.; He, Y.; Luo, P.; Shen, L.; Zeng, P. Review of general modeling approaches of power converters. Chin. J. Electr. Eng. 2021, 7, 27–36. [Google Scholar] [CrossRef]
- Bai, H.; Liu, C.; Breaz, E.; Al-Haddad, K.; Gao, F. A review on the device-level real-time simulation of power electronic converters: Motivations for improving performance. IEEE Ind. Electron. Mag. 2020, 15, 12–27. [Google Scholar] [CrossRef]
- Maksimovic, D.; Stankovic, A.M.; Thottuvelil, V.J.; Verghese, G.C. Modeling and simulation of power electronic converters. Proc. IEEE 2001, 89, 898–912. [Google Scholar] [CrossRef]
- Kanimozhi, K.; Prabhakaran, K.; Harischandrappa, N.; Venkatesaperumal, B. Development of Small Signal Model and Stability Analysis of PV-Grid Integration System for EV Charging Application. IEEE J. Emerg. Sel. Top. Ind. Electron. 2023, 5, 274–284. [Google Scholar]
- Ridley, R.B. A new, continuous-time model for current-mode control (power converters). IEEE Trans. Power Electron. 1991, 6, 271–280. [Google Scholar] [CrossRef]
- Pavlovic, T.; Bjazic, T.; Ban, Z. Simplified averaged models of DC–DC power converters suitable for controller design and microgrid simulation. IEEE Trans. Power Electron. 2012, 28, 3266–3275. [Google Scholar] [CrossRef]
- Amini Akbarabadi, S. Circuit Averaging and Numerical Average Value Modeling of Flyback Converter in CCM and DCM Including Parasitics and Snubbers. Ph.D. Thesis, University of British Columbia, Vancouver, BC, Canada, 2014. [Google Scholar] [CrossRef]
- Sucu, M. Parametric Average Value Modeling of Flyback Converters in CCM and DCM Including Parasitics and Snubbers. Ph.D. Thesis, University of British Columbia, Vancouver, BC, Canada, 2011. [Google Scholar]
- Feng, W.; Chen, Y.; Jiang, J.; Jiang, W. Modeling and controller design of flyback converter operating in DCM for LED constant current drive. In Proceedings of the IOP Conference Series: Earth and Environmental Science, Changsha, China, 18–20 September 2020; IOP Publishing: Bristol, UK, 2020; Volume 512, p. 012172. [Google Scholar]
- Tahami, F.; Abedi, M.; Rezaei, K. Optimum nonlinear model predictive controller design for Flyback PFC rectifiers. In Proceedings of the 2010 IEEE Symposium on Industrial Electronics and Applications (ISIEA), Penang, Malaysia, 3–5 October 2010; IEEE: Piscataway, NJ, USA, 2010; pp. 70–75. [Google Scholar]
- Akbarabadi, S.A.; Atighechi, H.; Jatskevich, J. Circuit-averaged and state-space-averaged-value modeling of second-order flyback converter in CCM and DCM including conduction losses. In Proceedings of the 4th International Conference on Power Engineering, Energy and Electrical Drives, Istanbul, Turkey, 13–17 May 2013; IEEE: Piscataway, NJ, USA, 2013; pp. 995–1000. [Google Scholar]
- Gu, D.; Xi, J.; He, L. A digital PWM controller of MHz active clamp flyback with GaN devices for AC-DC adapter. In Proceedings of the IECON 2019—45th Annual Conference of the IEEE Industrial Electronics Society, Lisbon, Portugal, 14–17 October 2019; IEEE: Piscataway, NJ, USA, 2019; Volume 1, pp. 1496–1501. [Google Scholar]
- Andreescu, G.D.; Cornea, O.; Muntean, N.; Guran, E. Bidirectional flyback inverter with low output voltage THD. In Proceedings of the 2015 IEEE 10th Jubilee International Symposium on Applied Computational Intelligence and Informatics, Timisoara, Romania, 21–23 May 2015; IEEE: Piscataway, NJ, USA, 2015; pp. 95–99. [Google Scholar]
- Angulo, F.; Giraldo, D.E.; Rojas, S.; Bolaños, M.A.; Osorio, G.; Astaiza, N.; Mina-Casaran, J.D.; Herrera, W. A Novel Nonlinear Averaged Model for a Flyback Converter with Peak Current Mode Control. In Proceedings of the 2024 International Conference on Electrical, Computer and Energy Technologies (ICECET), Sydney, Australia, 25–27 July 2024; pp. 1–6. [Google Scholar] [CrossRef]
- Hart, D.W.; Hart, D.W. Power Electronics; McGraw-Hill: New York, NY, USA, 2011; Volume 166. [Google Scholar]
- Rashid, M.H. Power Electronics Handbook, 5th ed.; Butterworth-Heinemann: Oxford, UK, 2024. [Google Scholar]






| Parameter | Values | Units |
|---|---|---|
| Input voltage () | 12 | V |
| Coupled inductors turns ratio () | 1/30 | |
| Magnetizing inductance () | H | |
| Period (T) | s | |
| Capacitor (C) | 30 | F |
| Load resistance (R) | 100 | |
| Reference voltage () | 60 | V |
| Proportional constant () | AV−1 | |
| Integral constant () | 200 | AV−1s−1 |
| Transient Error [%] | Stable Error [%] | ||
|---|---|---|---|
| Without Disturbances | Voltage | <0.6 | <0.2 |
| Current | <0.4 | <0.02 | |
| Duty cycle | <8 | <0.005 | |
| With Disturbances | Voltage | <4 | <0.08 |
| Current | <10 | <0.007 | |
| Duty cycle | <8 | <0.004 |
| Application | Simulink EM [s] | NAM [s] | Acceleration |
|---|---|---|---|
| MPPT | 291.77 | 5.4 | 54× |
Disclaimer/Publisher’s Note: The statements, opinions and data contained in all publications are solely those of the individual author(s) and contributor(s) and not of MDPI and/or the editor(s). MDPI and/or the editor(s) disclaim responsibility for any injury to people or property resulting from any ideas, methods, instructions or products referred to in the content. |
© 2025 by the authors. Licensee MDPI, Basel, Switzerland. This article is an open access article distributed under the terms and conditions of the Creative Commons Attribution (CC BY) license (https://creativecommons.org/licenses/by/4.0/).
Share and Cite
Giraldo-Hernández, D.E.; Bolaños-Navarrete, M.A.; Angulo, F.; Osorio, G.; Astaiza, N.; Mina-Casaran, J.D.; Herrera, W. Large-Signal Nonlinear Average Model for a Voltage-Controlled Flyback Converter. Energies 2025, 18, 451. https://doi.org/10.3390/en18030451
Giraldo-Hernández DE, Bolaños-Navarrete MA, Angulo F, Osorio G, Astaiza N, Mina-Casaran JD, Herrera W. Large-Signal Nonlinear Average Model for a Voltage-Controlled Flyback Converter. Energies. 2025; 18(3):451. https://doi.org/10.3390/en18030451
Chicago/Turabian StyleGiraldo-Hernández, David Eduardo, Mario Andrés Bolaños-Navarrete, Fabiola Angulo, Gustavo Osorio, Nicols Astaiza, Juan David Mina-Casaran, and Wilder Herrera. 2025. "Large-Signal Nonlinear Average Model for a Voltage-Controlled Flyback Converter" Energies 18, no. 3: 451. https://doi.org/10.3390/en18030451
APA StyleGiraldo-Hernández, D. E., Bolaños-Navarrete, M. A., Angulo, F., Osorio, G., Astaiza, N., Mina-Casaran, J. D., & Herrera, W. (2025). Large-Signal Nonlinear Average Model for a Voltage-Controlled Flyback Converter. Energies, 18(3), 451. https://doi.org/10.3390/en18030451

