Cogging Torque Reduction of a Flux-Intensifying Permanent Magnet-Assisted Synchronous Reluctance Machine with Surface-Inset Magnet Displacement
Abstract
1. Introduction
2. Methodology
2.1. Models for Comparison
2.1.1. Case A Without PM Displacement and Without MFB Extension
2.1.2. Case B Without PM Shifting but with MFB Extension
2.1.3. Case C with PM Shifting but Without MFB Extension
2.1.4. Case D with PM and MFB Shifting Plus with MFB Extension
2.2. Data Processing and Similarity Metrics
| Method | Working Principle | Advantages | Disadvantages | Usage |
|---|---|---|---|---|
| Euclidean Distance | Calculates straight-line distance between two points in n-dimensional space, called the L2 norm. | Simple to understand and implement; computationally efficient; works well for continuous numerical data. | Sensitive to feature scaling and high-dimensional data. It may not capture complex relationships. | Adaptive Pareto algorithm optimisation [29], fault diagnosis [30], and clustering [31] |
| Cosine Similarity | Measures the cosine of the angle between two vectors; it focuses on orientation. | Scale-invariant; excellent for high-dimensional, sparse data like text; captures semantic similarity. | Ignores magnitude information; can be misleading with negative values. | Fault diagnosis [32] and keyword extraction [33] |
| Manhattan Distance | The distance between two vectors equals the L1 norm of their difference, i.e., . | Computationally simple, effective with categorical/sparse data, and optimal for grid-based movements. | Poor at capturing diagonal relationships; assumes all features are equally important. | Used in fault diagnosis [34] and excitation current prediction for reactive power compensation [35] |
| Jaccard Distance | Dissimilarity defined as . | Shares the same strengths as Jaccard similarity for sparse, binary data. | Same limitations: unsuitable for continuous features; only exact matches. | Detection of hotspots in thermal imaging [36] and CAN bus attack detection [37] |
| Minkowski Distance | Generalized distance metric defined as , where p is the order parameter. | Flexible framework that unifies several norms (e.g., → Manhattan, → Euclidean); tunable for specific applications. | Choice of p can be challenging and may reduce interpretability for non-standard values. | Applied in acoustic signal recognition [38] and demagnetisation fault diagnosis [39] |
| Mahalanobis Distance | Distance that accounts for variable correlations via the covariance matrix: , where z = (x-y). | Incorporates feature correlations and scale; effective for multivariate outlier detection and anomaly scoring. | Requires reliable covariance estimation; sensitive to small samples and multicollinearity; can be computationally costly. | Applied to fault diagnosis of electric motors using uniaxial acceleration signals [40] |
| Random Forest Similarity | Similarity between samples defined by their co-occurrence in leaf nodes across trees of a trained random forest. | Captures complex non-linear relationships, robust to noise and missing data, and naturally leverages ensemble learning. | Computationally intensive for large datasets and dependent on the training of a random forest model; similarity is model-specific and may lack interpretability. | Applied to early fault detection in semiconductor manufacturing [41] |
3. Results and Discussion
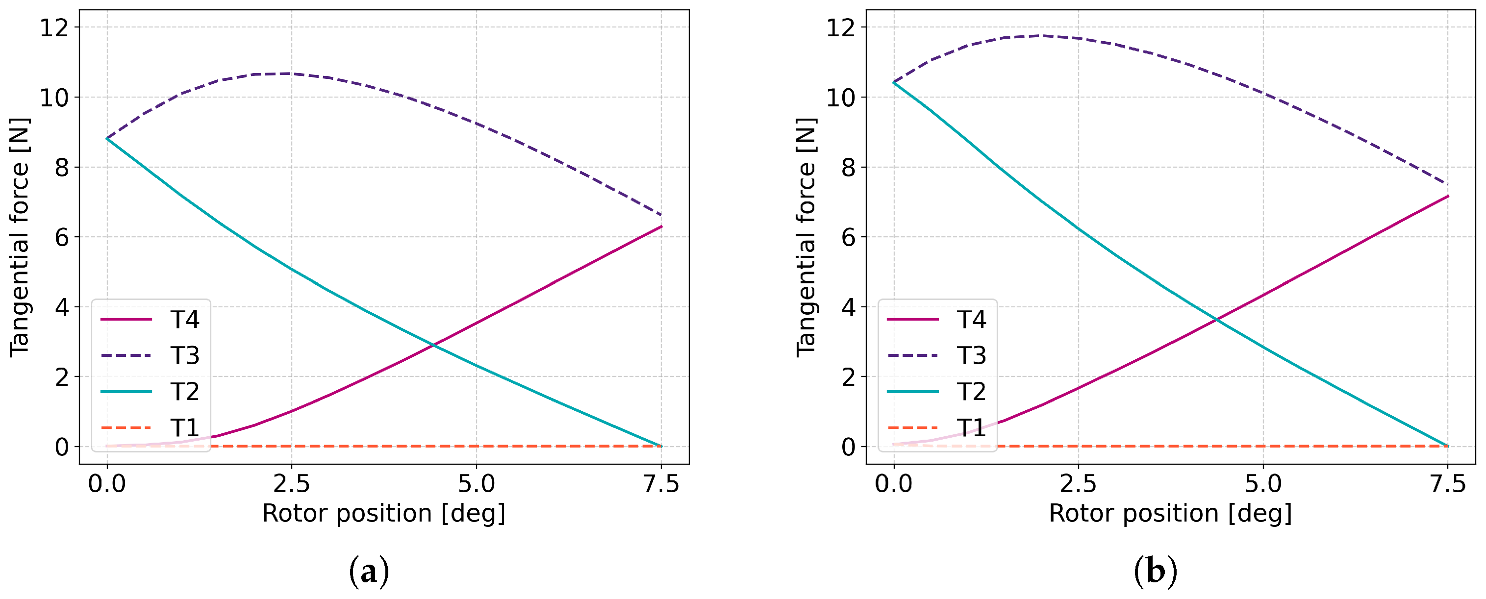
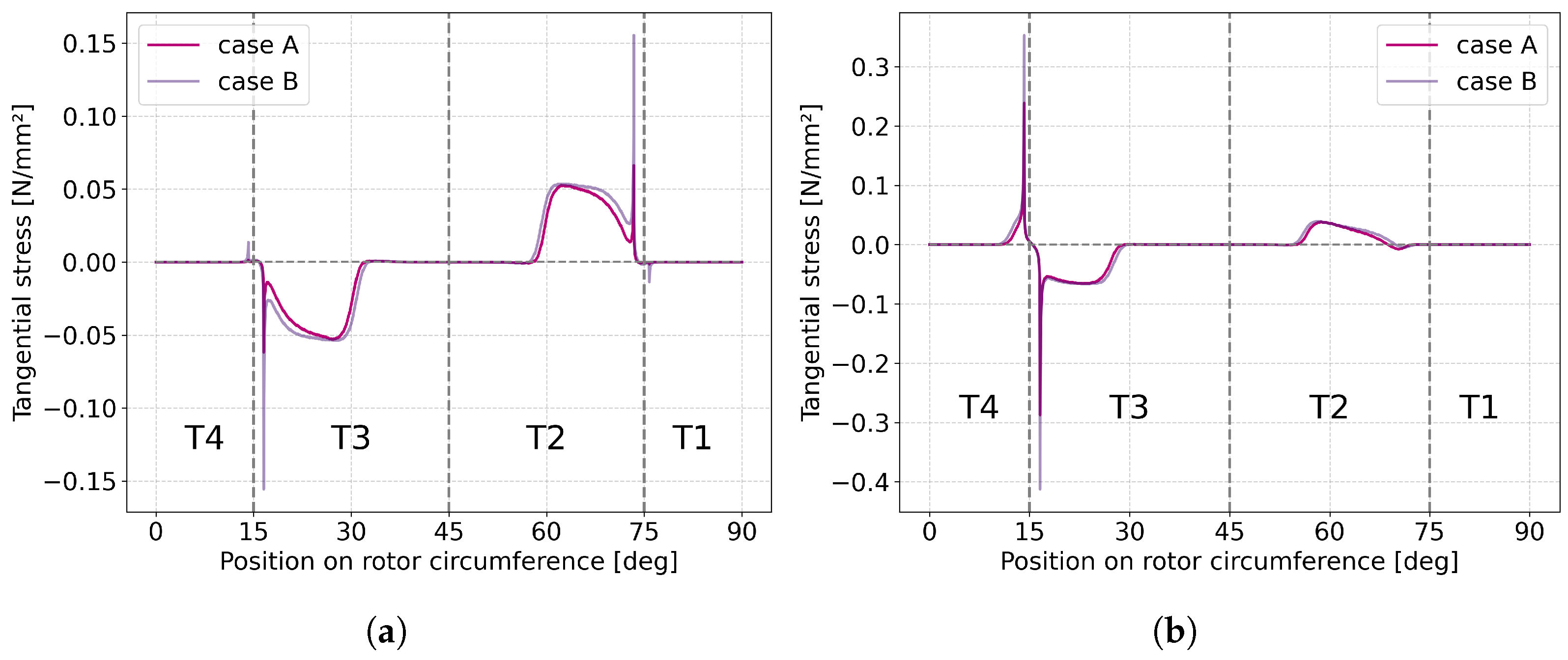
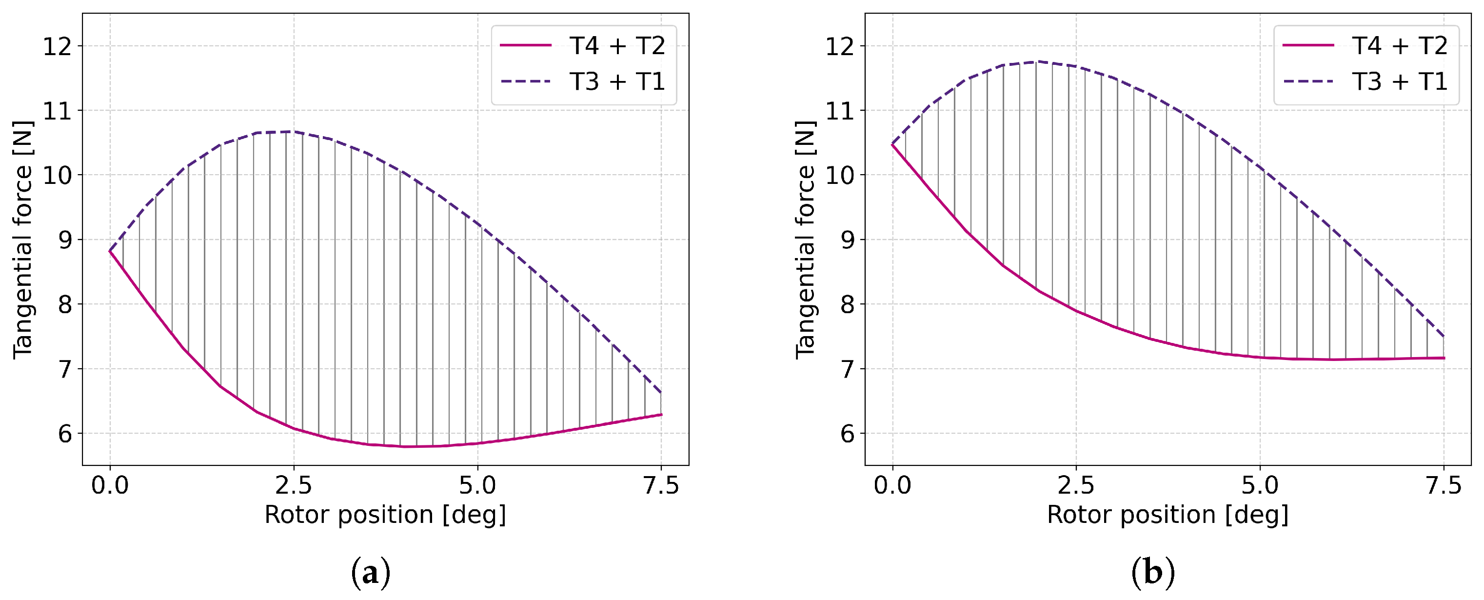
3.1. Comparison of Case A and Case B
3.2. Comparison of Case A and Case C
3.3. Comparison of Case C and Case D
3.4. Comparison of Case A and Case D
4. Conclusions
Author Contributions
Funding
Data Availability Statement
Conflicts of Interest
Abbreviations
| EOL | End of Life |
| CE | Circular Economy |
| EEA | European Environmental Agency |
| REE | Rare Earth Element |
| PM | Permanent Magnet |
| PMa-SynRM | Permanent Magnet-Assisted Synchronous Reluctance Machine |
| PMSM | Permanent Magnet Synchronous Machine |
| FI-PMa-SynRM | Flux-Intensifying Permanent Magnet-Assisted Synchronous Reluctance Machine |
| MFB | Magnet Flux Barrier |
| CFB | Cut-off Flux Barrier |
| IFB | Internal Flux Barrier |
| FEA | Finite Element Analysis |
References
- Goldman Sachs. Electric Vehicles are Forecast to be Half of Global Car Sales by 2035. 2023. Available online: https://www.goldmansachs.com/insights/articles/electric-vehicles-are-forecast-to-be-half-of-global-car-sales-by-2035 (accessed on 16 September 2025).
- Deloitte. Global Automotive Consumer Study. 2023. Available online: https://www2.deloitte.com/us/en/pages/consumer-business/articles/global-automotive-consumer-study.html (accessed on 16 September 2025).
- European Environment Agency. Electric Vehicles from Life Cycle and Circular Economy Perspectives—TERM 2018—Transport and Environment Reporting Mechanism (TERM) Report; Publications Office: Luxembourg, 2018. [Google Scholar] [CrossRef]
- Katona, M.; Orosz, T. Circular Economy Aspects of Permanent Magnet Synchronous Reluctance Machine Design for Electric Vehicle Applications: A Review. Energies 2024, 17, 1408. [Google Scholar] [CrossRef]
- Schlesinger, L.; Koller, J.; Oechsle, O.; Molenda, P. Remanufacturing of E-mobility Components - Five-Step Implementation Strategy to increase Sustainability within Circular Economy. In Proceedings of the 2021 11th International Electric Drives Production Conference (EDPC), Online, 7–9 December 2021; pp. 1–8. [Google Scholar] [CrossRef]
- Tiwari, D.; Miscandlon, J.; Tiwari, A.; Jewell, G.W. A Review of Circular Economy Research for Electric Motors and the Role of Industry 4.0 Technologies. Sustainability 2021, 13, 9668. [Google Scholar] [CrossRef]
- Katona, M.; Orosz, T. Robustness of a flux-intensifying permanent magnet-assisted synchronous reluctance machine focusing on shifted surface-inset ferrite magnets. Comput. Struct. 2025, 316, 107845. [Google Scholar] [CrossRef]
- Li, Z.; Hamidi, A.S.; Yan, Z.; Sattar, A.; Hazra, S.; Soulard, J.; Guest, C.; Ahmed, S.H.; Tailor, F. A circular economy approach for recycling Electric Motors in the end-of-life Vehicles: A literature review. Resour. Conserv. Recycl. 2024, 205, 107582. [Google Scholar] [CrossRef]
- Jeong, C.; Park, J.; Bianchi, N. Alternatives to Replace Rare-Earth Permanent Magnet Motors in Direct Drive Applications. In Proceedings of the 2020 International Symposium on Power Electronics, Electrical Drives, Automation and Motion (SPEEDAM), Virtual, 24–26 June 2020; pp. 276–281. [Google Scholar] [CrossRef]
- De Gennaro, M.; Jürgens, J.; Zanon, A.; Gragger, J.; Schlemmer, E.; Fricassè, A.; Marengo, L.; Ponick, B.; Olabarri, E.T.; Kinder, J.; et al. Designing, prototyping and testing of a ferrite permanent magnet assisted synchronous reluctance machine for hybrid and electric vehicles applications. Sustain. Energy Technol. Assess. 2019, 31, 86–101. [Google Scholar] [CrossRef]
- Shao, L.; Tavernini, D.; Hartavi Karci, A.E.; Sorniotti, A. Design and optimisation of energy-efficient PM-assisted synchronous reluctance machines for electric vehicles. IET Electr. Power Appl. 2023, 17, 788–801. [Google Scholar] [CrossRef]
- European Commission. Towards a Fast-Uptake of mEdium/Low-Voltage eLectric Power Trains (TELL). Grant Agreement ID: 824254. Available online: https://cordis.europa.eu/project/id/824254 (accessed on 16 September 2025).
- Ngo, D.K.; Hsieh, M.F.; Huynh, T.A. Torque Enhancement for a Novel Flux Intensifying PMa-SynRM Using Surface-Inset Permanent Magnet. IEEE Trans. Magn. 2019, 55, 1–8. [Google Scholar] [CrossRef]
- Hsieh, M.F.; Ngo, D.K.; Thao, N.G.M. Flux Intensifying Feature of Permanent Magnet Assisted Synchronous Reluctance Motor with High Torque Density. Electronics 2022, 11, 397. [Google Scholar] [CrossRef]
- Ngo, D.K.; Hsieh, M.F.; Dung Le, T. Analysis on Field Weakening of Flux Intensifying Synchronous Motor Considering PM Dimension and Armature Current. IEEE Trans. Magn. 2021, 57, 1–5. [Google Scholar] [CrossRef]
- Hsieh, M.F.; Ngo, D.K.; Do, V.V.; Wu, C.H.; Wu, Y.K. Inductance Calculation of Flux Intensifying PMa-SynRM by Equivalent Magnetic Circuit. In Proceedings of the 2022 7th National Scientific Conference on Applying New Technology in Green Buildings (ATiGB), Da Nang, Vietnam, 11–12 November 2022; pp. 135–140. [Google Scholar] [CrossRef]
- Liu, G.; Du, X.; Zhao, W.; Chen, Q. Reduction of Torque Ripple in Inset Permanent Magnet Synchronous Motor by Magnets Shifting. IEEE Trans. Magn. 2017, 53, 1–13. [Google Scholar] [CrossRef]
- Du, X.; Liu, G.; Chen, Q.; Xu, G.; Xu, M.; Fan, X. Optimal Design of an Inset PM Motor With Assisted Barriers and Magnet Shifting for Improvement of Torque Characteristics. IEEE Trans. Magn. 2017, 53, 1–4. [Google Scholar] [CrossRef]
- Luu, P.T.; Lee, J.Y.; Hwang, W.; Woo, B.C. Cogging Torque Reduction Technique by Considering Step-Skew Rotor in Permanent Magnet Synchronous Motor. In Proceedings of the 2018 21st International Conference on Electrical Machines and Systems (ICEMS), Jeju, Republic of Korea, 7–10 October 2018; pp. 219–223. [Google Scholar] [CrossRef]
- Abbaszadeh, K.; Rezaee Alam, F.; Teshnehlab, M. Slot opening optimization of surface mounted permanent magnet motor for cogging torque reduction. Energy Convers. Manag. 2012, 55, 108–115. [Google Scholar] [CrossRef]
- Ling, J.M.; Nur, T. Influence of edge slotting of magnet pole with fixed slot opening width on the cogging torque in inset permanent magnet synchronous machine. Adv. Mech. Eng. 2016, 8, 1687814016659598. [Google Scholar] [CrossRef]
- Nur, T.; Mulyadi, M. Improve cogging torque method in inset-permanent magnet synchronous machine. In Proceedings of the 2018 IEEE International Conference on Applied System Invention (ICASI), Chiba, Japan, 13–17 April 2018; pp. 1211–1213. [Google Scholar] [CrossRef]
- Nur, T.; Herlina. Enhancement of Cogging Torque Reduction on Inset Permanent Magnet Generator by Using Magnet Edge Shaping Method. In Proceedings of the 2018 International Conference on Electrical Engineering and Computer Science (ICECOS), Pangkal Pinang, Indonesia, 2–4 October 2018; pp. 429–434. [Google Scholar] [CrossRef]
- Orosz, T. p2femm. 2024. Available online: https://github.com/tamasorosz/py2femm (accessed on 16 September 2025).
- Meeker, D. FEMM 4.2—Finite Element Method Magnetics. 2020. Available online: https://www.femm.info/wiki/HomePage (accessed on 16 September 2025).
- Katona, M.; Bányai, D.G.; Németh, Z.; Kuczmann, M.; Orosz, T. Remanufacturing a Synchronous Reluctance Machine with Aluminum Winding: An Open Benchmark Problem for FEM Analysis. Electronics 2024, 13, 727. [Google Scholar] [CrossRef]
- Zhang, Q.; Couloigner, I. A New and Efficient K-Medoid Algorithm for Spatial Clustering. In Proceedings of the Computational Science and Its Applications—ICCSA 2005, Singapore, 9–12 May 2005; Gervasi, O., Gavrilova, M.L., Kumar, V., Laganà, A., Lee, H.P., Mun, Y., Taniar, D., Tan, C.J.K., Eds.; Springer: Berlin/Heidelberg, Germany, 2005; pp. 181–189. [Google Scholar]
- Bushra, A.A.; Yi, G. Comparative Analysis Review of Pioneering DBSCAN and Successive Density-Based Clustering Algorithms. IEEE Access 2021, 9, 87918–87935. [Google Scholar] [CrossRef]
- Barri, D.; Soresini, F.; Gobbi, M.; Gerlando, A.d.; Mastinu, G. Optimal design of Traction Electric Motors by a new Adaptive Pareto Algorithm. IEEE Trans. Veh. Technol. 2025, 74, 8890–8906. [Google Scholar] [CrossRef]
- Liu, Q.; Ma, J.; Zhao, X.; Zhang, K.; Xiangli, K.; Meng, D. A novel method for fault diagnosis and type identification of cell voltage inconsistency in electric vehicles using weighted Euclidean distance evaluation and statistical analysis. Energy 2024, 293, 130575. [Google Scholar] [CrossRef]
- Nazari, M.; Hussain, A.; Musilek, P. Applications of Clustering Methods for Different Aspects of Electric Vehicles. Electronics 2023, 12, 790. [Google Scholar] [CrossRef]
- Zheng, L.; Jia, K.; Wu, W.; Liu, Q.; Bi, T.; Yang, Q. Cosine Similarity Based Line Protection for Large Scale Wind Farms Part II—The Industrial Application. IEEE Trans. Ind. Electron. 2022, 69, 2599–2609. [Google Scholar] [CrossRef]
- Miah, M.S.U.; Sulaiman, J.; Sarwar, T.B.; Zamli, K.Z.; Jose, R. Study of Keyword Extraction Techniques for Electric Double-Layer Capacitor Domain Using Text Similarity Indexes: An Experimental Analysis. Complexity 2021, 2021, 8192320. [Google Scholar] [CrossRef]
- Zhang, C.; Zhao, S.; Yang, Z.; He, Y. A multi-fault diagnosis method for lithium-ion battery pack using curvilinear Manhattan distance evaluation and voltage difference analysis. J. Energy Storage 2023, 67, 107575. [Google Scholar] [CrossRef]
- Bayindir, R.; Yesilbudak, M.; Colak, I.; Sagiroglu, S. Excitation Current Forecasting for Reactive Power Compensation in Synchronous Motors: A Data Mining Approach. In Proceedings of the 2012 11th International Conference on Machine Learning and Applications, Boca Raton, FL, USA, 12–15 December 2012; Volume 2, pp. 521–525. [Google Scholar] [CrossRef]
- Lim, Y.F.; Teoh, S.S. Automatic Detection of Hotspots on Electric Motors Using Thermal Imaging. In Proceedings of the 11th International Conference on Robotics, Vision, Signal Processing and Power Applications, Penang, Malaysia, 5–6 April 2021; Mahyuddin, N.M., Mat Noor, N.R., Mat Sakim, H.A., Eds.; Springer: Singapore, 2022; pp. 1035–1040. [Google Scholar]
- Rai, R.; Grover, J. Comparative Analysis of Cosine and Jaccard Similarity-Based Classification for Detecting CAN Bus Attacks. In Proceedings of the 2024 IEEE Region 10 Symposium (TENSYMP), New Delhi, India, 27–29 September 2024; pp. 1–6. [Google Scholar] [CrossRef]
- GLOWACZ, A. Diagnostics of Synchronous Motor Based on Analysis of Acoustic Signals with the use of Line Spectral Frequencies and K-nearest Neighbor Classifier. Arch. Acoust. 2014, 39, 189–194. [Google Scholar] [CrossRef]
- Pietrzak, P.; Wolkiewicz, M. Demagnetization Fault Diagnosis of Permanent Magnet Synchronous Motors Based on Stator Current Signal Processing and Machine Learning Algorithms. Sensors 2023, 23, 1757. [Google Scholar] [CrossRef] [PubMed]
- Junior, R.F.R.; de Almeida, F.A.; Jorge, A.B.; Pereira, J.L.J.; Francisco, M.B.; Gomes, G.F. On the use of the Gaussian mixture model and the Mahalanobis distance for fault diagnosis in dynamic components of electric motors. J. Braz. Soc. Mech. Sci. Eng. 2023, 45, 139. [Google Scholar] [CrossRef]
- Puggini, L.; Doyle, J.; McLoone, S. Fault Detection using Random Forest Similarity Distance. IFAC-PapersOnLine 2015, 48, 583–588. [Google Scholar] [CrossRef]






























| Variables | Meaning | Set Range | Opt. Range |
|---|---|---|---|
| , , , | Opening angle of CFB | 15–25 deg | 15–25 deg |
| , , , | Included angle of CFB | 60–140 deg | 75.2–140 deg |
| , , , | Distance between the CFB and IFB | 0.5–4 mm | 0.5–3.75 mm |
| , , , | Width of the rib at IFB | 0–1 mm | 0–1 mm |
| , , , | Height of IFB | 0.5–4 mm | 0.5–4.15 mm |
| , , , | Distance between the PM and IFB | 0.5–1 mm | 0.51–0.82 mm |
| , , , | Height of the PM | 1.5–2 mm | 1.51–1.99 mm |
| , , , | Width of the PM | 10–15 deg | 10–15 deg |
| , | Width of MFB | 10–18 deg | 11.05–18 deg |
| , | Shifting angle of PM (and MFB) | 0–8 deg | 0–7.81 deg |
| 0 | 1 | 2 | 4 | … | 20,032 | 20,036 | 20,047 | 20,050 | |
| 1 | 0.740 | 0.647 | 1.079 | 1.587 | … | 1.037 | 1.188 | 0.984 | 1.055 |
| 2 | 0.764 | 0.926 | 1.071 | 1.102 | … | 0.611 | 0.668 | 0.782 | 0.986 |
| 3 | 0.720 | 1.084 | 0.849 | 1.260 | … | 1.066 | 1.328 | 0.708 | 0.973 |
| 4 | 0.992 | 1.180 | 1.288 | 1.118 | … | 1.034 | 1.178 | 0.853 | 1.366 |
| 5 | 1.275 | 1.498 | 0.891 | 1.130 | … | 1.787 | 1.984 | 1.486 | 1.684 |
| ⋮ | ⋮ | ⋮ | ⋮ | ⋮ | ⋮ | ⋮ | ⋮ | ⋮ | |
| 18,093 | 0.686 | 0.953 | 0.939 | 1.531 | … | 0.871 | 1.172 | 0.379 | 0.709 |
| 18,094 | 0.891 | 1.094 | 1.146 | 1.480 | … | 0.462 | 0.484 | 0.946 | 0.643 |
| 18,100 | 0.595 | 0.885 | 0.894 | 1.605 | … | 0.844 | 1.017 | 0.750 | 0.168 |
| 18,103 | 1.147 | 1.437 | 1.428 | 1.431 | … | 0.446 | 0.167 | 1.213 | 1.084 |
| 18,104 | 0.834 | 1.159 | 1.104 | 1.382 | … | 0.764 | 1.012 | 0.474 | 0.879 |
| Variables | Maximum Difference | Eucl. Dist. Weight | Difference |
|---|---|---|---|
| , , , | 0.5 deg | 0.06 | ±0.17 deg |
| , , , | 3.24 deg | 0.001 | ±0.05 deg |
| , , , | 0.16 mm | 0.013 | ±0.06 mm |
| , , , | 0.05 mm | 0.014 | ±0.09 mm |
| , , , | 0.18 mm | 0.019 | ±0.04 mm |
| , , , | 0.04 mm | 0.02 | ±0.01 mm |
| , , , | 0.02 mm | 0.033 | ±0.01 mm |
| , , , | 0.25 mm | 0.016 | ±0.08 mm |
| , | 0.35 deg | - | - |
| , | 0.39 deg | - | - |
Disclaimer/Publisher’s Note: The statements, opinions and data contained in all publications are solely those of the individual author(s) and contributor(s) and not of MDPI and/or the editor(s). MDPI and/or the editor(s) disclaim responsibility for any injury to people or property resulting from any ideas, methods, instructions or products referred to in the content. |
© 2025 by the authors. Licensee MDPI, Basel, Switzerland. This article is an open access article distributed under the terms and conditions of the Creative Commons Attribution (CC BY) license (https://creativecommons.org/licenses/by/4.0/).
Share and Cite
Katona, M.; Orosz, T. Cogging Torque Reduction of a Flux-Intensifying Permanent Magnet-Assisted Synchronous Reluctance Machine with Surface-Inset Magnet Displacement. Energies 2025, 18, 5492. https://doi.org/10.3390/en18205492
Katona M, Orosz T. Cogging Torque Reduction of a Flux-Intensifying Permanent Magnet-Assisted Synchronous Reluctance Machine with Surface-Inset Magnet Displacement. Energies. 2025; 18(20):5492. https://doi.org/10.3390/en18205492
Chicago/Turabian StyleKatona, Mihály, and Tamás Orosz. 2025. "Cogging Torque Reduction of a Flux-Intensifying Permanent Magnet-Assisted Synchronous Reluctance Machine with Surface-Inset Magnet Displacement" Energies 18, no. 20: 5492. https://doi.org/10.3390/en18205492
APA StyleKatona, M., & Orosz, T. (2025). Cogging Torque Reduction of a Flux-Intensifying Permanent Magnet-Assisted Synchronous Reluctance Machine with Surface-Inset Magnet Displacement. Energies, 18(20), 5492. https://doi.org/10.3390/en18205492

