Multiscale Fracture Roughness Effects on Coupled Nonlinear Seepage and Heat Transfer in an EGS Fracture
Abstract
1. Introduction
2. Methodology
2.1. Fracture–Matrix Model
2.2. Numerical Simulation of Fluid Flow and Heat Transfer
3. Results and Analysis
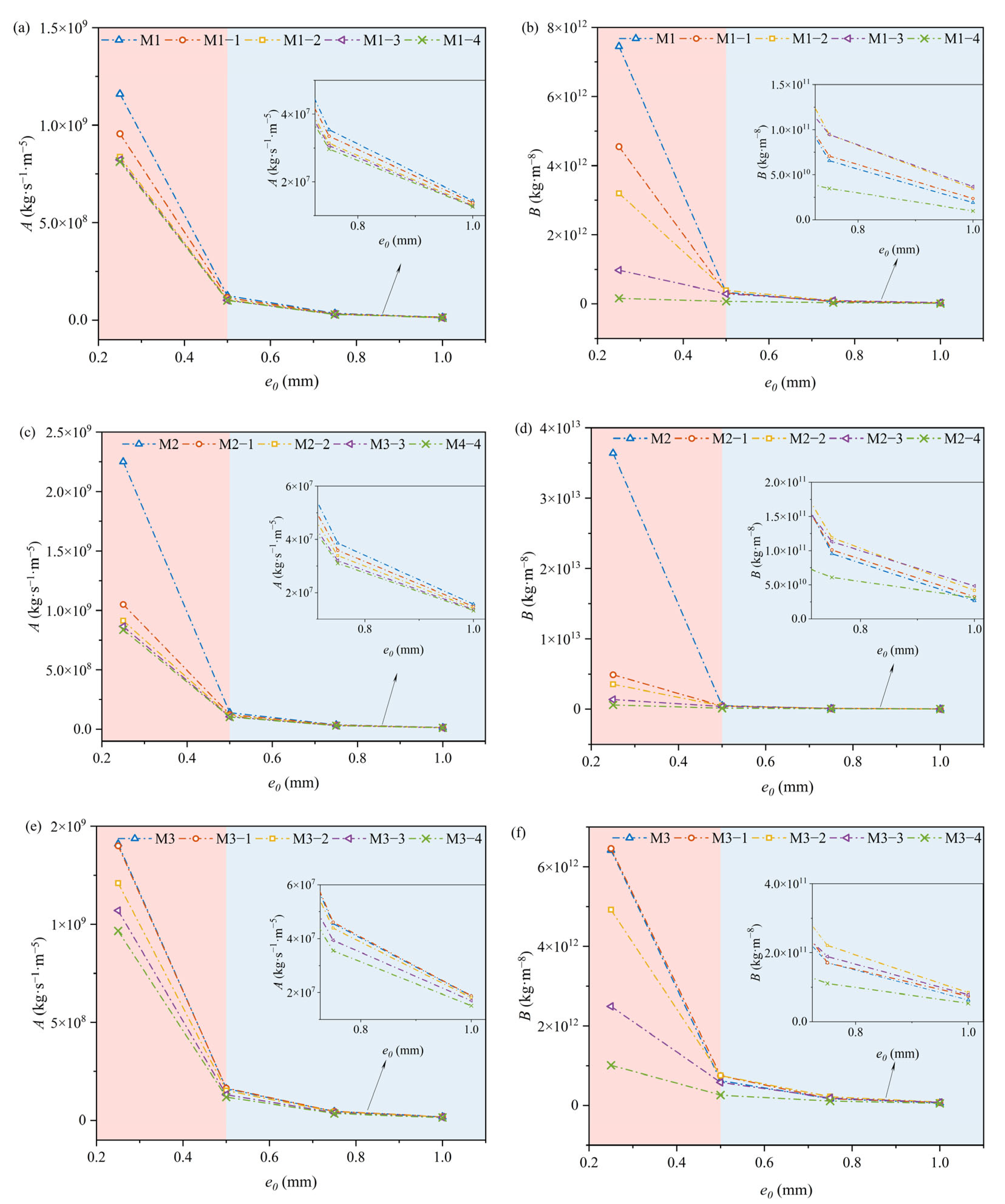
3.1. Flow Behavior
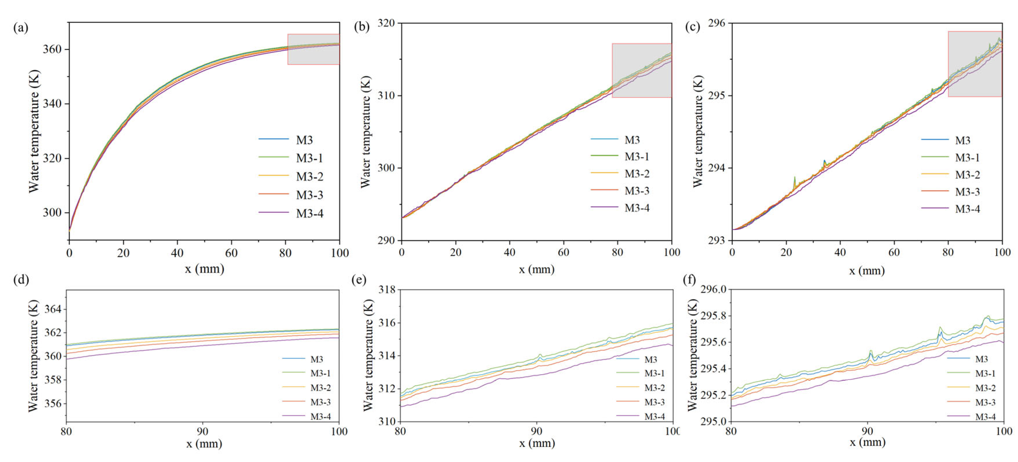
3.2. Temperature Distribution
3.3. Overall Heat Transfer Coefficients
3.4. Local Heat Transfer Coefficients
4. Discussion
5. Conclusions
- (1)
- The temperature distributions of different models are generally similar, but a broader high-temperature region is observed near the wall in areas with secondary roughness. The resulting flow behavior, shaped by multiscale roughness, induces noticeable temperature non-uniformity. Moreover, as secondary roughness is progressively filtered out, the degree of temperature heterogeneity decreases accordingly.
- (2)
- Secondary roughness is an important factor in the generation of eddies, and a correlation between the heat transfer coefficient and the eddy area fraction is established for analyzing the effect of nonlinear flow on heat transfer. Enhanced the heat transfer coefficient in fractured media exhibits a positive correlation with eddy area fraction. As JRC increases, the eddy area fraction increases.
- (3)
- The local heat transfer coefficient exhibits continuous fluctuations within rough fractures, showing a strong correlation with the eddy aperture. In regions near eddy structures, the spatial heterogeneity of local heat transfer is more pronounced. With increase in the eddy aperture, enhanced mixing between high-temperature fluid near the wall and low-temperature fluid at the fracture center results in a systematic increase in the magnitude of the local heat transfer coefficient.
- (4)
- A novel heat transfer coefficient model incorporating both fluid velocity and multiscale surface roughness was proposed. The model demonstrates that increasing the fluid velocity enhances the heat transfer coefficient. Moreover, the synergistic effect of primary and secondary roughness greatly influences the overall heat transfer performance.
Author Contributions
Funding
Data Availability Statement
Conflicts of Interest
References
- Ghassemi, A. A review of some rock mechanics issues in geothermal reservoir development. Geotech. Geol. Eng. 2012, 30, 647–664. [Google Scholar] [CrossRef]
- Wang, Y.; Wang, Y.; Jiang, G.; Hu, J.; Shi, Y.; Wang, S.; Hu, S. A Method for Determining Target Areas of Hot Dry Rock Resources: A Case Study in Continental China. Energies 2024, 17, 2435. [Google Scholar] [CrossRef]
- Bo, X.; Xu, H.; Fang, C.; Li, S.; Tang, S.; Wang, S.; Wu, J.; Song, X.; Lu, Z.; Wang, J. Construction and application of favorable target evaluation system for hot dry rock. Pet. Explor. Dev. 2025, 52, 258–271. [Google Scholar] [CrossRef]
- Isaka, B.A.; Ranjith, P.; Wanniarachchi, W.; Rathnaweera, T. Investigation of the aperture-dependent flow characteristics of a supercritical carbon dioxide-induced fracture under high-temperature and high-pressure conditions: A numerical study. Eng. Geol. 2020, 277, 105789. [Google Scholar] [CrossRef]
- Hu, J.; Xie, H.; Sun, Q.; Li, C.; Liu, G. Changes in the thermodynamic properties of alkaline granite after cyclic quenching following high temperature action. Int. J. Min. Sci. Technol. 2021, 31, 843–852. [Google Scholar] [CrossRef]
- Zhou, L.; Zhu, Z.; Xie, X. Performance analysis of enhanced geothermal system under thermo-hydro-mechanical coupling effect with different working fluids. J. Hydrol. 2023, 624, 129907. [Google Scholar] [CrossRef]
- McClure, M.W.; Horne, R.N. An investigation of stimulation mechanisms in Enhanced Geothermal Systems. Int. J. Rock Mech. Min. Sci. 2014, 72, 242–260. [Google Scholar] [CrossRef]
- Dai, H.; Yin, T.; Wu, Y.; Chen, Y.; Ma, J.; Li, X. A study of geothermal hydraulic fracture surface morphology and heat transfer characteristics. Energy 2024, 312, 133527. [Google Scholar] [CrossRef]
- Salimzadeh, S.; Paluszny, A.; Nick, H.M.; Zimmerman, R.W. A three-dimensional coupled thermo-hydro-mechanical model for deformable fractured geothermal systems. Geothermics 2018, 71, 212–224. [Google Scholar] [CrossRef]
- Berre, I.; Doster, F.; Keilegavlen, E. Flow in fractured porous media: A review of conceptual models and discretization approaches. Transp. Porous Media 2019, 130, 215–236. [Google Scholar] [CrossRef]
- Mahmoodpour, S.; Singh, M.; Turan, A.; Bär, K.; Sass, I. Simulations and global sensitivity analysis of the thermo-hydraulic-mechanical processes in a fractured geothermal reservoir. Energy 2022, 247, 123511. [Google Scholar] [CrossRef]
- Han, B.; Wang, S.; Zhang, Z.; Wang, Y. Numerical simulation of geothermal reservoir thermal recovery of heterogeneous discrete fracture network-rock matrix system. Energy 2024, 305, 132306. [Google Scholar] [CrossRef]
- Zhao, Y.; Zhang, L.; Wang, W.; Tang, J.; Lin, H.; Wan, W. Transient pulse test and morphological analysis of single rock fractures. Int. J. Rock Mech. Min. Sci. 2017, 91, 139–154. [Google Scholar] [CrossRef]
- Shu, B.; Zeng, F.; Kemeny, J.; Zhu, R.; Chen, K.; Tan, J. Analysis of the hydraulic and heat transfer evolution mechanism of a single rock fracture. J. Earth Sci. 2023, 34, 205–213. [Google Scholar] [CrossRef]
- Chen, Y.; Zhou, J.; Hu, S.; Hu, R.; Zhou, C. Evaluation of Forchheimer equation coefficients for non-Darcy flow in deformable rough-walled fractures. J. Hydrol. 2015, 529, 993–1006. [Google Scholar] [CrossRef]
- Tzelepis, V.; Moutsopoulos, K.N.; Papaspyros, J.N.; Tsihrintzis, V.N. Experimental investigation of flow behavior in smooth and rough artificial fractures. J. Hydrol. 2015, 521, 108–118. [Google Scholar] [CrossRef]
- Zhou, J.; Wang, L.; Chen, Y.; Cardenas, M.B. Mass transfer between recirculation and main flow zones: Is physically based parameterization possible? Water Resour. Res. 2019, 55, 345–362. [Google Scholar] [CrossRef]
- Cardona, A.; Finkbeiner, T.; Santamarina, J.C. Natural rock fractures: From aperture to fluid flow. Rock Mech. Rock Eng. 2021, 54, 5827–5844. [Google Scholar] [CrossRef]
- Lu, W.; Xiang, Y. Experiments and sensitivity analyses for heat transfer in a meter-scale regularly fractured granite model with water flow. J. Zhejiang Univ. Sci. A 2012, 13, 958–968. [Google Scholar] [CrossRef]
- Zou, L.; Jing, L.; Cvetkovic, V. Roughness decomposition and nonlinear fluid flow in a single rock fracture. Int. J. Rock Mech. Min. Sci. 2015, 75, 102–118. [Google Scholar] [CrossRef]
- Mandelbrot, B.B. The Fractal Geometry of Nature; Echo Point Books & Media, LLC: New York, NY, USA, 1983. [Google Scholar]
- Xie, H.; Pariseau, W.G. Fractal Estimation of Joint Roughness Coefficients; Balkema, A.A., Ed.; Brookfield: Amsterdam, The Netherlands, 1995. [Google Scholar]
- Barton, N.; Choubey, V. The shear strength of rock joints in theory and practice. Rock Mech. 1977, 10, 1–54. [Google Scholar] [CrossRef]
- Swan, G. Determination of stiffness and other joint properties from roughness measurements. Rock Mech. Rock Eng. 1983, 16, 19–38. [Google Scholar] [CrossRef]
- Myers, N. Characterization of surface roughness. Wear 1962, 5, 182–189. [Google Scholar] [CrossRef]
- Luo, S.; Zhao, Z.; Peng, H.; Pu, H. The role of fracture surface roughness in macroscopic fluid flow and heat transfer in fractured rocks. Int. J. Rock Mech. Min. Sci. 2016, 87, 29–38. [Google Scholar] [CrossRef]
- Li, Z.; Feng, X.; Zhang, Y.; Zhang, C.; Xu, T.; Wang, Y. Experimental research on the convection heat transfer characteristics of distilled water in manmade smooth and rough rock fractures. Energy 2017, 133, 206–218. [Google Scholar] [CrossRef]
- Fox, D.B.; Koch, D.L.; Tester, J.W. The effect of spatial aperture variations on the thermal performance of discretely fractured geothermal reservoirs. Geotherm. Energy 2015, 3, 21. [Google Scholar] [CrossRef]
- Huang, Y.; Zhang, Y.; Yu, Z.; Ma, Y.; Zhang, C. Experimental investigation of seepage and heat transfer in rough fractures for enhanced geothermal systems. Renew. Energy 2019, 135, 846–855. [Google Scholar] [CrossRef]
- Ma, Y.; Zhang, Y.; Yu, Z.; Huang, Y.; Zhang, C. Heat transfer by water flowing through rough fractures and distribution of local heat transfer coefficient along the flow direction. Int. J. Heat Mass Transf. 2018, 119, 139–147. [Google Scholar] [CrossRef]
- Ma, Y.; Zhang, Y.; Hu, Z.; Yu, Z.; Huang, Y.; Zhang, C. Experimental study of the heat transfer by water in rough fractures and the effect of fracture surface roughness on the heat transfer characteristics. Geothermics 2019, 81, 235–242. [Google Scholar] [CrossRef]
- Bai, B.; He, Y.; Li, X.; Hu, S.; Huang, X.; Li, J.; Zhu, J. Local heat transfer characteristics of water flowing through a single fracture within a cylindrical granite specimen. Environ. Earth Sci. 2016, 75, 1–16. [Google Scholar] [CrossRef]
- He, Y.; Bai, B.; Hu, S.; Li, X. Effects of surface roughness on the heat transfer characteristics of water flow through a single granite fracture. Comput. Geotech. 2016, 80, 312–321. [Google Scholar] [CrossRef]
- Zhang, B.; Qu, Z.; Guo, T.; Wang, J.; Zhang, Y.; Hao, T. Study on heat transfer characteristics and global sensitivity analysis of a rough single fracture. Prog. Geophys. 2022, 37, 1520–1527. [Google Scholar] [CrossRef]
- Chen, Y.; Zhao, Z. Heat transfer in a 3D rough rock fracture with heterogeneous apertures. Int. J. Rock Mech. Min. Sci. 2020, 134, 104445. [Google Scholar] [CrossRef]
- Zhang, X.; Wang, Z.; Sun, Y.; Zhu, C.; Xiong, F.; Tang, Q. Numerical Simulation on Heat Transfer Characteristics of Water Flowing through the Fracture of High-Temperature Rock. Geofluids 2020, 2020, 8864028. [Google Scholar] [CrossRef]
- Rong, G.; Tan, J.; Zhan, H.; He, R.; Zhang, Z. Quantitative evaluation of fracture geometry influence on nonlinear flow in a single rock fracture. J. Hydrol. 2020, 589, 125162. [Google Scholar] [CrossRef]
- Wang, M.; Chen, Y.-F.; Ma, G.-W.; Zhou, J.-Q.; Zhou, C.-B. Influence of surface roughness on nonlinear flow behaviors in 3D self-affine rough fractures: Lattice Boltzmann simulations. Adv. Water Resour. 2016, 96, 373–388. [Google Scholar] [CrossRef]
- Tan, J.; Cheng, L.; Rong, G.; Zhan, H.; Quan, J. Multiscale roughness influence on hydrodynamic heat transfer in a single fracture. Comput. Geotech. 2021, 139, 104414. [Google Scholar] [CrossRef]
- Wang, Z.; Wang, J.; Zhou, C.; Li, C.; Xie, H. Retaining primary wall roughness for flow in rock fractures and implications on heat transfer and solute transport. Int. J. Heat Mass Transf. 2021, 176, 121488. [Google Scholar] [CrossRef]
- Yong, R.; Ye, J.; Liang, Q.-F.; Huang, M.; Du, S.-G. Estimation of the joint roughness coefficient (JRC) of rock joints by vector similarity measures. Bull. Eng. Geol. Environ. 2018, 77, 735–749. [Google Scholar] [CrossRef]
- Chae, B.; Ichikawa, Y.; Jeong, G.; Seo, Y.; Kim, B. Roughness measurement of rock discontinuities using a confocal laser scanning microscope and the Fourier spectral analysis. Eng. Geol. 2004, 72, 181–199. [Google Scholar] [CrossRef]
- Khoshelham, K.; Altundag, D.; Ngan-Tillard, D.; Menenti, M. Influence of range measurement noise on roughness characterization of rock surfaces using terrestrial laser scanning. Int. J. Rock Mech. Min. Sci. 2011, 48, 1215–1223. [Google Scholar] [CrossRef]
- Mallat, S.G. A theory for multiresolution signal decomposition: The wavelet representation. IEEE Trans. Pattern Anal. Mach. Intell. 1989, 11, 674–693. [Google Scholar] [CrossRef]
- Zhao, J.; Tso, C. Heat transfer by water flow in rock fractures and the application to hot dry rock geothermal systems. Int. J. Rock Mech. Min. Sci. Geomech. 1993, 30, 633–641. [Google Scholar] [CrossRef]
- Heinze, T.; Hamidi, S.; Galvan, B. A dynamic heat transfer coefficient between fractured rock and flowing fluid. Geothermics 2017, 65, 10–16. [Google Scholar] [CrossRef]
- He, R.; Rong, G.; Tan, J.; Cheng, L. Numerical investigation of fracture morphology effect on heat transfer characteristics of water flow through a single fracture. Geothermics 2019, 82, 51–62. [Google Scholar] [CrossRef]
- Zimmerman, R.W.; Bodvarsson, G.S. Hydraulic conductivity of rock fractures. Transp. Porous Media 1996, 23, 1–30. [Google Scholar] [CrossRef]
- Zhou, J.-Q.; Hu, S.-H.; Fang, S.; Chen, Y.-F.; Zhou, C.-B. Nonlinear flow behavior at low Reynolds numbers through rough-walled fractures subjected to normal compressive loading. Int. J. Rock Mech. Min. Sci. 2015, 80, 202–218. [Google Scholar] [CrossRef]
- Zhang, Z.; Nemcik, J. Fluid flow regimes and nonlinear flow characteristics in deformable rock fractures. J. Hydrol. 2013, 477, 139–151. [Google Scholar] [CrossRef]
- Chen, Y.; Lian, H.; Liang, W.; Yang, J.; Nguyen, V.B.; Bordas, S.P. The influence of fracture geometry variation on non-Darcy flow in fractures under confining stresses. Int. J. Rock Mech. Min. Sci. 2019, 113, 59–71. [Google Scholar] [CrossRef]
- Qian, X.; Xia, C.; Yang, G.; Zhuang, X.; Yu, Q. Study on flow regimes and seepage models through open rough-walled rock joints under high hydraulic gradient. Hydrogeol. J. 2019, 27, 1329–1343. [Google Scholar] [CrossRef]
- Zimmerman, R.W.; Al-Yaarubi, A.; Pain, C.C.; Grattoni, C.A. Non-linear regimes of fluid flow in rock fractures. Int. J. Rock Mech. Min. Sci. 2004, 41, 163–169. [Google Scholar] [CrossRef]
- Bai, B.; He, Y.; Li, X.; Li, J.; Huang, X.; Zhu, J. Experimental and analytical study of the overall heat transfer coefficient of water flowing through a single fracture in a granite core. Appl. Therm. Eng. 2017, 116, 79–90. [Google Scholar] [CrossRef]
- Lee, S.H.; Yeo, I.W.; Lee, K.K.; Detwiler, R.L. Tail shortening with developing eddies in a rough-walled rock fracture. Geophys. Res. Lett. 2015, 42, 6340–6347. [Google Scholar] [CrossRef]
- Zhao, Z. On the heat transfer coefficient between rock fracture walls and flowing fluid. Comput. Geotech. 2014, 59, 105–111. [Google Scholar] [CrossRef]
- Tian, X.; Ye, Z. Experimental study on convection heat transfer properties in rough-walled fractures of granite: The effect of fracture roughness. Geothermics 2024, 122, 103085. [Google Scholar] [CrossRef]
- Duplyakin, D.; Beckers, K.F.; Siler, D.L.; Martin, M.J.; Johnston, H.E. Modeling subsurface performance of a geothermal reservoir using machine learning. Energies 2022, 15, 967. [Google Scholar] [CrossRef]
- Abdulhaq, H.A.; Geiger, J.; Vass, I.; Tóth, T.M.; Medgyes, T.; Bozsó, G.; Kóbor, B.; Kun, É.; Szanyi, J. Predicting Thermal Performance of Aquifer Thermal Energy Storage Systems in Depleted Clastic Hydrocarbon Reservoirs via Machine Learning: Case Study from Hungary. Energies 2025, 18, 2642. [Google Scholar] [CrossRef]
- Ilyushin, Y.; Nosova, V. Development of Mathematical Model for Forecasting the Production Rate. Int. J. Eng. 2025, 38, 1749–1757. [Google Scholar] [CrossRef]

















| Parameter | Note (Unit) | Value |
|---|---|---|
| Thermal conductivity of rock Matrix | ks (W∙m−1∙K−1) | 2.784 |
| Rock matrix density | ρs (kg∙m−3) | 2620 |
| Specific heat capacity of rock matrix | cp,s (J∙kg−1∙K−1) | 757 |
| Thermal conductivity of water | k (W∙m−1∙K−1) | 0.662 |
| Water density | ρ (kg∙m−3) | 1000 |
| Specific heat capacity of water | cp (J∙kg−1∙K−1) | 4200 |
| Inlet flowrate | Uin (m∙s−1) | 0.01, 0.03, 0.05, 0.07, 0.1 |
| Mechanical aperture | e0 (mm) | 0.25, 0.5, 0.75, 1.0 |
| Injection temperature | Tin (K) | 293.15 |
| Temperature of the outer surface of the rock matrix | Tout (K) | 363.15 |
| Parameter (mm) | M1 | M2 | M3 |
|---|---|---|---|
| Hydraulic aperture | 0.9023 | 0.8680 | 0.7824 |
| Effective advection aperture | 0.9905 | 0.9859 | 0.9677 |
| Eddy aperture | 0.0095 | 0.0141 | 0.0323 |
| Z2 | σ2 | h (W∙m−1∙K−1) | ||||
|---|---|---|---|---|---|---|
| 0.01 (m/s) | 0.03 (m/s) | 0.05 (m/s) | 0.07 (m/s) | 0.1 (m/s) | ||
| 0.1674 | 0.0564 | 218.41 | 229.45 | 237.4 | 242.07 | 248.97 |
| 0.0533 | 217.55 | 231.81 | 232.05 | 243.37 | 247.69 | |
| 0.0491 | 217.65 | 228.09 | 232.05 | 232.98 | 240.71 | |
| 0.0436 | 217.17 | 225.95 | 227.38 | 229.74 | 233.73 | |
| 0.1902 | 0.0451 | 217.68 | 227.31 | 235.26 | 239.62 | 245.57 |
| 0.0417 | 218.51 | 226.39 | 232.32 | 236.66 | 241.59 | |
| 0.0376 | 218.41 | 228.09 | 231.38 | 237.52 | 237.53 | |
| 0.0316 | 217.93 | 227.02 | 228.04 | 230.39 | 233.73 | |
| 0.2163 | 0.0611 | 219.17 | 231.16 | 240.75 | 245.98 | 255.33 |
| 0.0579 | 217.65 | 231.66 | 231.38 | 242.72 | 247.06 | |
| 0.0547 | 217.55 | 228.38 | 232.72 | 232.98 | 242.61 | |
| 0.0469 | 217.46 | 226.38 | 228.04 | 231.03 | 235.63 | |
| 0.2716 | 0.0777 | 220.89 | 233.74 | 236.78 | 242.54 | 246.26 |
| 0.0743 | 219.65 | 230.23 | 236.73 | 239.47 | 243.88 | |
| 0.0714 | 218.22 | 227.59 | 234.72 | 235.57 | 245.15 | |
| 0.0661 | 218.7 | 227.73 | 232.05 | 236.68 | 242.9 | |
| 0.3390 | 0.1029 | 218.51 | 229.16 | 236.73 | 240.12 | 247.06 |
| 0.0999 | 218.51 | 228.59 | 234.72 | 236.87 | 256.61 | |
| 0.0978 | 217.46 | 228.09 | 232.05 | 240.77 | 241.98 | |
| 0.0873 | 217.93 | 226.74 | 232.72 | 232.33 | 238.8 | |
Disclaimer/Publisher’s Note: The statements, opinions and data contained in all publications are solely those of the individual author(s) and contributor(s) and not of MDPI and/or the editor(s). MDPI and/or the editor(s) disclaim responsibility for any injury to people or property resulting from any ideas, methods, instructions or products referred to in the content. |
© 2025 by the authors. Licensee MDPI, Basel, Switzerland. This article is an open access article distributed under the terms and conditions of the Creative Commons Attribution (CC BY) license (https://creativecommons.org/licenses/by/4.0/).
Share and Cite
Yan, Z.; Zhou, J.; Peng, X.; Dong, T. Multiscale Fracture Roughness Effects on Coupled Nonlinear Seepage and Heat Transfer in an EGS Fracture. Energies 2025, 18, 5391. https://doi.org/10.3390/en18205391
Yan Z, Zhou J, Peng X, Dong T. Multiscale Fracture Roughness Effects on Coupled Nonlinear Seepage and Heat Transfer in an EGS Fracture. Energies. 2025; 18(20):5391. https://doi.org/10.3390/en18205391
Chicago/Turabian StyleYan, Ziqian, Jian Zhou, Xiao Peng, and Tingfa Dong. 2025. "Multiscale Fracture Roughness Effects on Coupled Nonlinear Seepage and Heat Transfer in an EGS Fracture" Energies 18, no. 20: 5391. https://doi.org/10.3390/en18205391
APA StyleYan, Z., Zhou, J., Peng, X., & Dong, T. (2025). Multiscale Fracture Roughness Effects on Coupled Nonlinear Seepage and Heat Transfer in an EGS Fracture. Energies, 18(20), 5391. https://doi.org/10.3390/en18205391

