Effects of Two-Stage Injection on Combustion and Particulate Emissions of a Direct Injection Spark-Ignition Engine Fueled with Methanol–Gasoline Blends
Abstract
1. Introduction
2. Experimental Setup and Procedure
2.1. Engine and Experimental Apparatus
2.2. Experimental Methodology
3. Results and Discussions
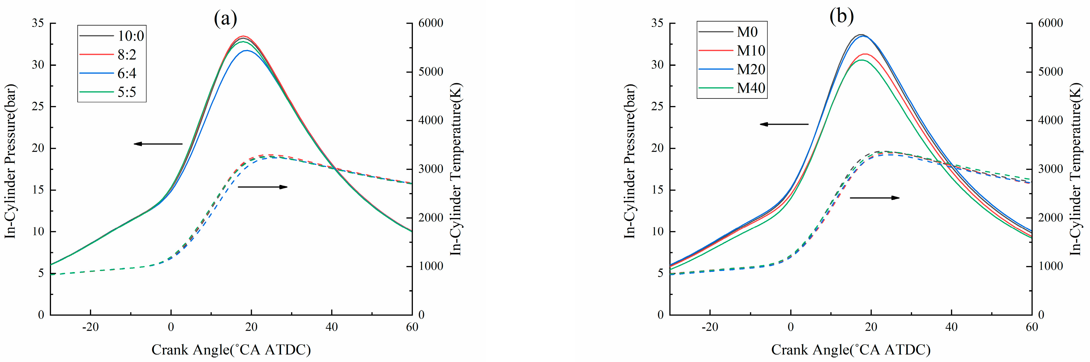
3.1. Effect of Two-Stage Injection on Combustion Characteristics
3.2. Effect of Two-Stage Injection on Combustion Stability
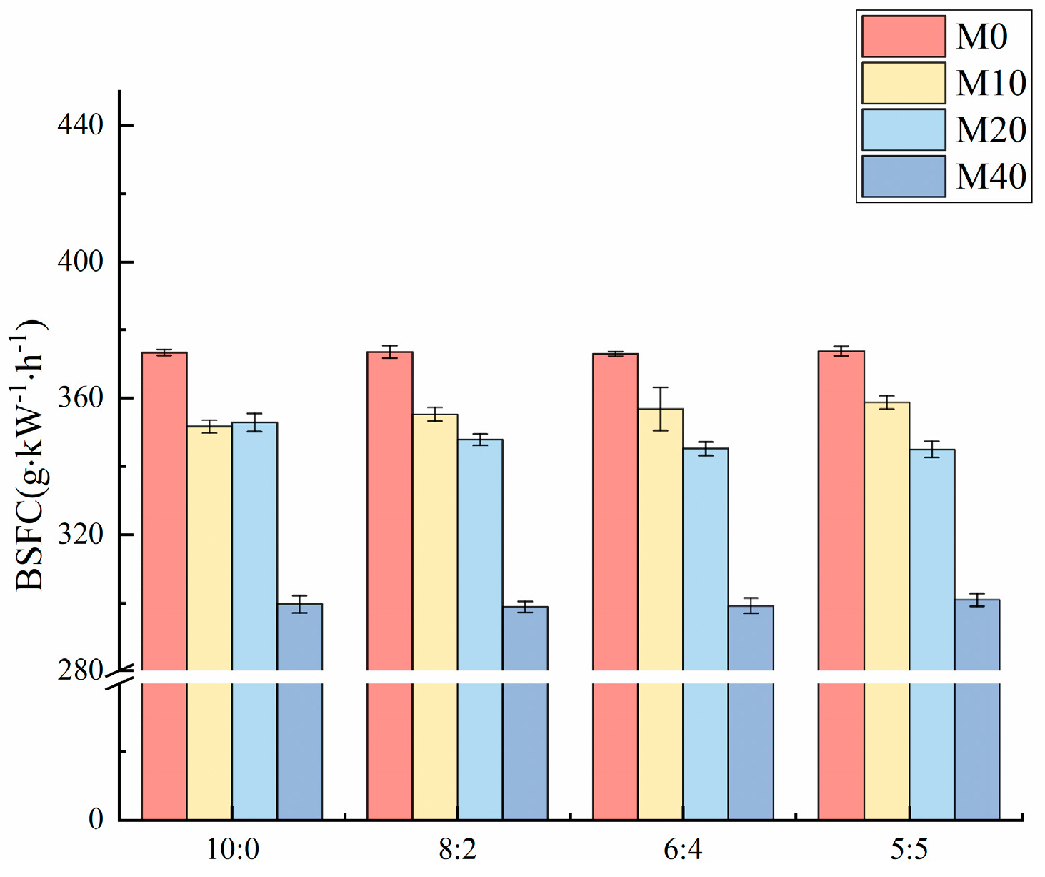
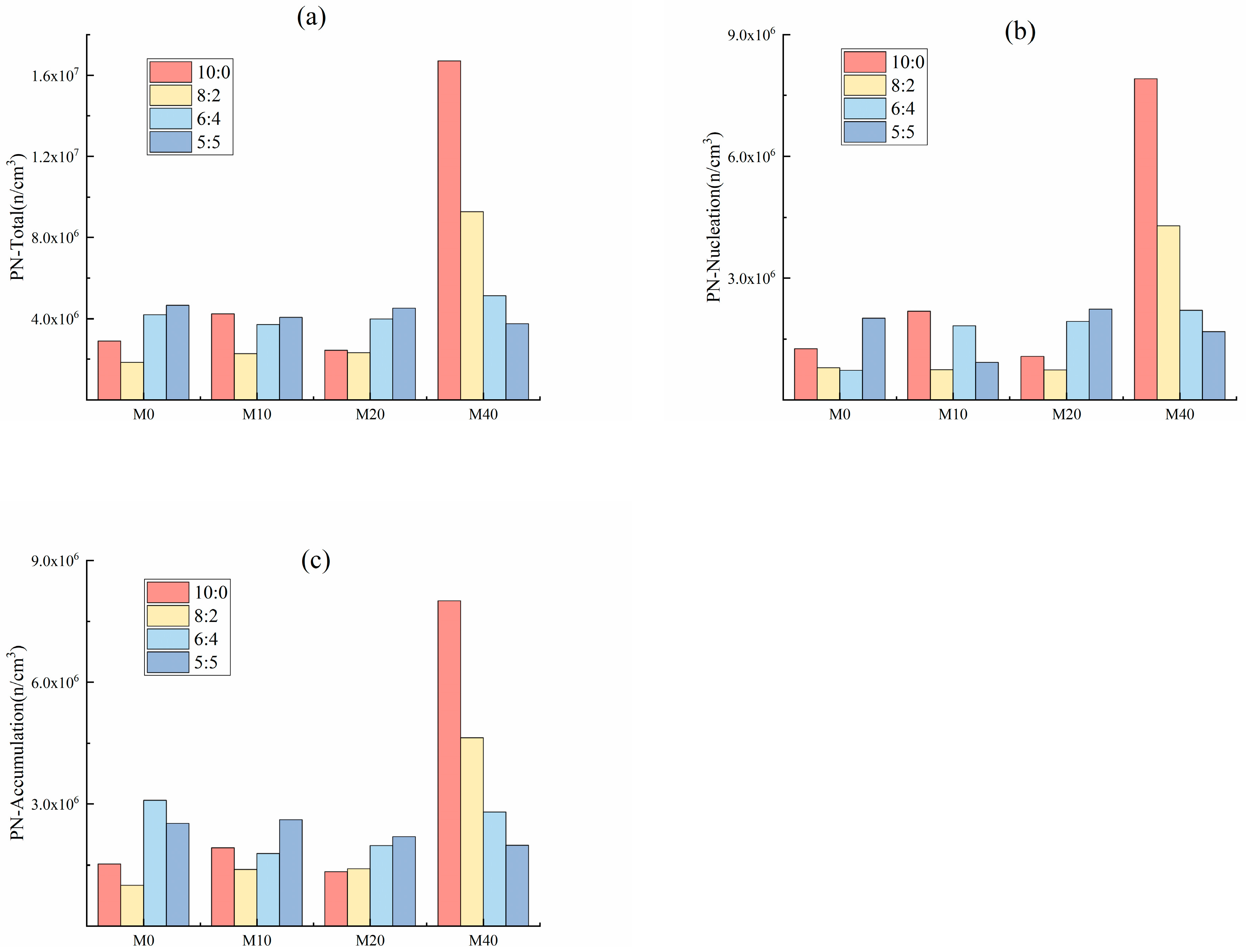
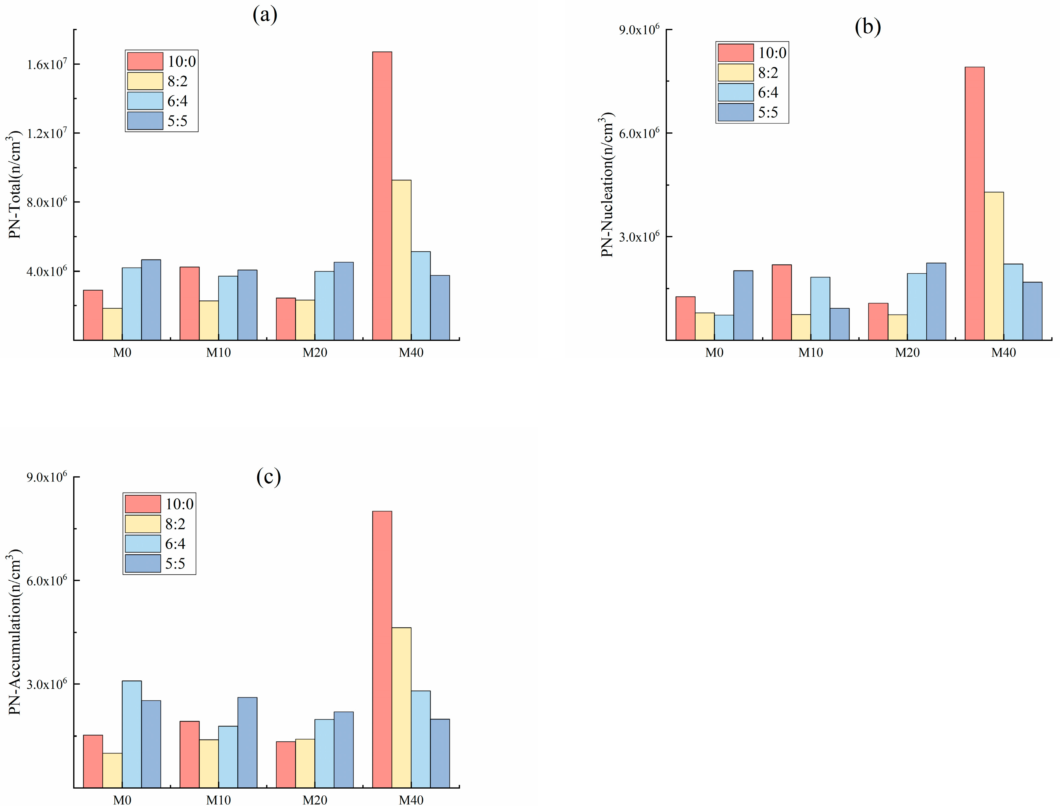
3.3. Effect of Two-Stage Injection on Particulate Emissions
4. Conclusions
- (1)
- The flame development is not significantly sensitive to changes in two-stage injection ratios or methanol blending ratios. Under two-stage injection, the 8:2 ratio results in the shortest combustion duration and the most advanced combustion center. M20 fuel combined with an 8:2 injection strategy achieves the optimal cylinder pressure for engine dynamic performance.
- (2)
- Adjusting the two-stage injection ratio and methanol blending ratio does not negatively affect the fluctuation of cylinder peak pressure or the corresponding crank angle positions. The coefficient of variation under each condition does not exceed 1.5%. The combination of M20 fuel and the 8:2 two-stage injection strategy ensures optimal combustion stability and larger IMEP values.
- (3)
- Both two-stage injection ratios and methanol blending ratios impact particle concentrations and size distribution. Compared to single injection with pure gasoline, using low methanol blends and an 8:2 injection strategy reduces particle concentration by approximately 20%.
- (4)
- For the test engine, an optimal two-stage injection strategy combined with methanol blending can enhance engine performance, maintain combustion stability, and effectively control particulate emissions.
Author Contributions
Funding
Data Availability Statement
Acknowledgments
Conflicts of Interest
References
- Wang, Z.; Pan, X.; Zhang, W.; Zhao, Y.; Li, H.; Liu, P. The Development Trend of Internal Combustion Engine. J. Phys. Conf. Ser. 2020, 1626, 012139. [Google Scholar] [CrossRef]
- Tsiogkas, V.D.; Kleitsas, I.; Kolokotronis, D.; Tourlidakis, A.; Karonis, D. Study of Stoichiometric and Lean Combustion in a Spark Ignition, Direct Injection Optical Engine Using E10 and ETBE20 Fuels; SAE Technical Paper 2022-01-1003; SAE International: Warrendale, PA, USA, 2022. [Google Scholar]
- BP. bp Energy Outlook: 2023 Edition. 2024. Available online: https://www.bp.com/content/dam/bp/business-sites/en/global/corporate/pdfs/energy-economics/energy-outlook/bp-energy-outlook-2023.pdf (accessed on 16 January 2025).
- Tian, Z.; Wang, Y.; Zhen, X.; Liu, Z. The effect of methanol production and application in internal combustion engines on emissions in the context of carbon neutrality: A review. Fuel 2022, 320, 123902. [Google Scholar] [CrossRef]
- Gong, C.; Li, Z.; Sun, J.; Liu, F. Evaluation on combustion and lean-burn limit of a medium compression ratio hydrogen/methanol dual-injection spark-ignition engine under methanol late-injection. Appl. Energy 2020, 277, 11562. [Google Scholar] [CrossRef]
- Han, D.; Jiaqiang, E.; Deng, Y.; Chen, J.; Leng, E.; Liao, G.; Zhao, X.; Feng, C.; Zhang, F. A review of studies using hydrocarbon adsorption material for reducing hydrocarbon emissions from cold start of gasoline engine. Renew. Sustain. Energy Rev. 2021, 135, 110079. [Google Scholar] [CrossRef]
- Zhou, F.; Yu, J.; Wu, C.; Fu, J.; Liu, J.; Duan, X. The application prospect and challenge of the alternative methanol fuel in the internal combustion engine. Sci. Total Environ. 2024, 913, 169708. [Google Scholar] [CrossRef] [PubMed]
- Yu, J.; Kou, C.; Ma, Y.; E, J.; Feng, C. Effect analysis on hydrocarbon adsorption enhancement of different zeolites in cold start of gasoline engine based on Monte Carlo method. Energy 2024, 294, 130738. [Google Scholar] [CrossRef]
- Zhou, Y.; Hong, W.; Xie, F.; Su, Y.; Wang, Z.; Liu, Y. Effects of different valve lift adjustment strategies on stoichiometric combustion and lean burn of engine fueled with methanol/gasoline blending. Fuel 2023, 339, 126934. [Google Scholar] [CrossRef]
- Shu, M.; Liu, Z.; Wu, F.; Qiu, Y.; Pan, J. Experimental Study on the Combustion and Emission Characteristics of Methanol/Gasoline Fuels in Direct Injection Miller Cycle Gasoline Engines. Int. J. Automot. Technol. 2024, 25, 1517–1527. [Google Scholar] [CrossRef]
- Tian, Z.; Zhen, X.; Wang, Y.; Liu, D.; Li, X. Comparative study on combustion and emission characteristics of methanol, ethanol and butanol fuel in TISI engine. Fuel 2020, 259, 116199. [Google Scholar] [CrossRef]
- Zhang, Z.; Wen, M.; Cui, Y.; Ming, Z.; Wang, T.; Zhang, C.; Ampah, J.D.; Jin, C.; Huang, H.; Liu, H. Effects of Methanol Application on Carbon Emissions and Pollutant Emissions Using a Passenger Vehicle. Processes 2022, 10, 525. [Google Scholar] [CrossRef]
- Nuthan Prasad, B.S.; Pandey, J.K.; Kumar, G.N. Impact of changing compression ratio on engine characteristics of an SI engine fueled with equi-volume blend of methanol and gasoline. Energy 2020, 191, 116605. [Google Scholar] [CrossRef]
- Mishra, P.C.; Gupta, A.; Kumar, A.; Bose, A. Methanol and petrol blended alternate fuel for future sustainable engine: A performance and emission analysis. Measurement 2020, 155, 107519. [Google Scholar] [CrossRef]
- Sun, Z.; Xu, Q.; Cui, M.; Nour, M.; Li, X.; Hung, D.L.S.; Xu, M. Impact of flash boiling multiple injections timing on the combustion and thermal efficiency of a gasoline direct injection engine under lean-burn. Fuel 2021, 304, 121450. [Google Scholar] [CrossRef]
- Jose, J.V.; Mittal, M.; Ramesh, A. Development of a Small-Bore Gasoline Direct-Injection Engine, and Enhancement of Its Performance Using Multiple-Injection Strategies. Sae Int. J. Engines 2021, 14, 115–133. [Google Scholar] [CrossRef]
- Li, Y.; Duan, X.; Liu, Y.; Liu, J.; Guo, G.; Tang, Y. Experimental investigation the impacts of injection strategies coupled with gasoline/ethanol blend on combustion, performance and emissions characteristics of a GDI spark-ignition engine. Fuel 2019, 256, 115910. [Google Scholar] [CrossRef]
- Xiangyang, W.; Yu, L.; Beiping, J.; Zhaohui, J.; Yan, S.; Fangxi, X. Analysis of the effect of the coupling application of dissociated methanol gas and methanol direct double injection on the engine dilution combustion performance by the Taguchi method. Int. J. Hydrog. Energy 2024, 94, 1453–1463. [Google Scholar] [CrossRef]
- Awad, O.I.; Ma, X.; Kamil, M.; Ali, O.M.; Zhang, Z.; Shuai, S. Particulate emissions from gasoline direct injection engines: A review of how current emission regulations are being met by automobile manufacturers. Sci. Total. Environ. 2020, 718, 137302. [Google Scholar] [CrossRef] [PubMed]
- Feng, S.; Hong, W.; Li, X.; Xie, F.; Su, Y. The influence of DISI engine control parameters and M15 fuel on regulated and particulate emissions under light-load. Fuel 2020, 276, 118024. [Google Scholar] [CrossRef]
- Agarwal, A.K.; Solanki, V.S.; Krishnamoorthi, M. Gasoline compression ignition (GCI) combustion in a light-duty engine using double injection strategy. Appl. Therm. Eng. 2023, 223, 120006. [Google Scholar] [CrossRef]
- Lee, Z.; Kim, T.; Park, S. Influences of exhaust load and injection timing on particle number emissions in a gasoline direct injection engine. Fuel 2020, 268, 117344. [Google Scholar] [CrossRef]
- Zhang, W.; Ma, X.; Shuai, S.; Wu, K.; Macias, J.R.; Shen, Y.; Yang, C.; Guan, L. Effect of gasoline aromatic compositions coupled with single and double injection strategy on GDI engine combustion and emissions. Fuel 2020, 278, 118308. [Google Scholar] [CrossRef]
- Shao, Z.; Wu, P.; Li, W.; Xuan, T.; He, Z.; Wang, Q.; Xu, Q.; Zhang, L. An experimental study on in-cylinder soot formation and flame oscillation of renewable fuel blends in an optical engine. Fuel 2024, 369, 131801. [Google Scholar] [CrossRef]
- Lou, D.; Wang, T.; Fang, L.; Xu, Z.; Cheng, C.; Wang, S.; Zhang, Y. Effect of Injection Parameters on Particulate Matter Emission in a Direct Injection Gasoline Engine; SAE Technical Paper 2021-01-0628; SAE International: Warrendale, PA, USA, 2021. [Google Scholar]
- Zhang, M.; Cao, J. Effects of Lean Burn on Combustion and Emissions of a DISI Engine Fueled with Methanol–Gasoline Blends. Energies 2024, 17, 4023. [Google Scholar] [CrossRef]
- Zhang, M.; Cao, J. Comparative study on combustion and emission characteristics of methanol/gasoline blend fueled DISI engine under different stratified lean burn modes. Fuel Process. Technol. 2024, 266, 108160. [Google Scholar] [CrossRef]
- Heywood, J.B. Internal Combustion Engine Fundamentals; McGraw-Hill: New York, NY, USA, 1988. [Google Scholar]
- Li, X.; Xie, F.; Han, L.; Gong, Y.; Li, X.; Jiang, B.; Liu, Y. Effect of air and gas dilution on combustion and emission characteristics in alcohol-gasoline fueled SACI engine. Energy Convers. Manag. 2024, 313, 118631. [Google Scholar] [CrossRef]
- Sharma, N.; Patel, C.; Tiwari, N.; Agarwal, A.K. Experimental investigations of noise and vibration characteristics of gasoline-methanol blend fuelled gasoline direct injection engine and their relationship with combustion characteristics. Appl. Therm. Eng. 2019, 158, 113754. [Google Scholar] [CrossRef]
- Purayil, S.T.P.; Hamdan, M.O.; Al-Omari, S.A.B.; Selim, M.Y.E.; Elnajjar, E. Influence of ethanol–gasoline–hydrogen and methanol–gasoline–hydrogen blends on the performance and hydrogen knock limit of a lean-burn spark ignition engine. Fuel 2024, 377, 132825. [Google Scholar] [CrossRef]
- Zeraati-Rezaei, S.; Al-Qahtani, Y.; Herreros, J.M.; Xu, H. Investigation of the effects of split-injection on particle emissions from a Dieseline CI engine. Appl. Energy 2020, 262, 114470. [Google Scholar] [CrossRef]












| Engine Parameters | Specifications |
|---|---|
| Engine type | In-line, 4-Cylinder, 4-Stroke |
| Combustion System | Spray-Guided GDI |
| displacement | 1.39 L |
| Bore × Stroke | 76.5 mm × 75.6 mm |
| Compression Ratio | 10:1 |
| Device | Model | Uncertainty |
|---|---|---|
| Dynamometer | CW160 | Torque: ±2 Nm; Speed: ±1 r/min |
| Pressure sensor | ZF42 | ±0.3% |
| Charge amplifier | FLEXIFEM PIEZO | ±0.6% |
| Crank angle encoder | LF-72BM-C05E | ±0.5% |
| Air flow meter | SENSYCON | ±0.5% |
| Fuel flow meter | DF-2420 | ±0.2% |
| Gas analyzer | DICOM 4000 | HC: ±30 ppm; CO: ±0.01%; NO: ±20 ppm; CO2: ±0.1% |
Disclaimer/Publisher’s Note: The statements, opinions and data contained in all publications are solely those of the individual author(s) and contributor(s) and not of MDPI and/or the editor(s). MDPI and/or the editor(s) disclaim responsibility for any injury to people or property resulting from any ideas, methods, instructions or products referred to in the content. |
© 2025 by the authors. Licensee MDPI, Basel, Switzerland. This article is an open access article distributed under the terms and conditions of the Creative Commons Attribution (CC BY) license (https://creativecommons.org/licenses/by/4.0/).
Share and Cite
Zhang, M.; Cao, J. Effects of Two-Stage Injection on Combustion and Particulate Emissions of a Direct Injection Spark-Ignition Engine Fueled with Methanol–Gasoline Blends. Energies 2025, 18, 415. https://doi.org/10.3390/en18020415
Zhang M, Cao J. Effects of Two-Stage Injection on Combustion and Particulate Emissions of a Direct Injection Spark-Ignition Engine Fueled with Methanol–Gasoline Blends. Energies. 2025; 18(2):415. https://doi.org/10.3390/en18020415
Chicago/Turabian StyleZhang, Miaomiao, and Jianbin Cao. 2025. "Effects of Two-Stage Injection on Combustion and Particulate Emissions of a Direct Injection Spark-Ignition Engine Fueled with Methanol–Gasoline Blends" Energies 18, no. 2: 415. https://doi.org/10.3390/en18020415
APA StyleZhang, M., & Cao, J. (2025). Effects of Two-Stage Injection on Combustion and Particulate Emissions of a Direct Injection Spark-Ignition Engine Fueled with Methanol–Gasoline Blends. Energies, 18(2), 415. https://doi.org/10.3390/en18020415
