The Generation Load Aggregator Participates in the Electricity Purchase and Sale Strategy of the Electric Energy–Peak Shaving Market
Abstract
1. Introduction
- As a result, an optimal electricity purchase and sale strategy is obtained for GLAs to participate in the medium- and long-term markets, spot markets, and peaking markets within and outside of the provinces.
- The EE-PSMJ model has the effect of peak shaving and valley filling, which can further reduce the peak-to-valley difference in the electricity purchase curve of the GLA model and optimize the electricity allocation.
- The EE-PSMJ model can further increase the profitability of GLAs and reduce the cost of electricity to loads.
- The results provide some theoretical basis for EM authorities to design rules for the entry of customer-side resources into the EM.
2. GLAs Participating in EE-PSMJ Model
2.1. Power Purchase and Sales Strategy of GLAs Participating in the EEM Model
2.1.1. Electricity Purchase Cost Model for GLAs
Consider the Transaction Costs of Bilateral Contracts in the MLTM Preferred by Generators
Electricity Purchase Costs for Two-Level Spot Transactions
Electricity Purchase Cost of GLAs
Two-Tiered SPM Electricity Purchasing Strategy Based on Conditional Value-at-Risk
2.1.2. Modeling User Demand Response and Choice Behavior for GLAs
Demand Response Model Based on Price Elasticity Coefficient
User-Choice Modeling Based on Weighted Decision Analysis and Logit Model
User Utility Model Based on Weighted Decision Analysis Method
Adjustable Resource Choice Behavior Based on the Logit Choice Model
2.1.3. Electricity Purchase and Sale Decision Model Based on Conditional Value-at-Risk
2.1.4. Model Transition
2.2. Power Purchase and Sales Strategy of GLA Participating in the ASM Model
2.2.1. GLA Participating in the PSM Model
2.2.2. Robust Optimization Model for Two-Stage GLA Merchant Purchase and Sale of Electricity
2.2.3. Model Transformation Process
2.3. The EE-PSMJ Power Purchase and Sale Model
2.4. Solution Flow
- Input the load data, the predicted value of solar power generation, and the number of iterations g = G.
- According to Equation (46), delineate the amount of electricity in the EM and the PSM.
- Substitute the predicted value and the amount of electricity into the GLA to enter EEM model part and the PSM model part of the EE-PSMJ model, respectively.
- (1) The EEM model
- Input the historical Inter-P and Intra-P spot prices and confidence levels, and solve Equation (7) with the commercial solver Cplex to obtain the proportion of the Inter-P spot declarations by the GLAs in each time period;
- According to Equation (28), use a genetic algorithm to solve the decision variable set x of the upper model with selection, crossover, and mutation operations;
- According to Equation (29), invoke the commercial solver Cplex to compute the current optimal objective function value of the lower model and solve the decision variable set of the lower model;
- Note whether the number of iterations has been reached; if not, jump to 2.
- (2) The PSM model
- Set the initial worst scenario, upper and lower boundaries, and the number of iterations;
- According to the worst scenario, solve the first-stage problem, Equation (43), to obtain the optimal solution, and update the objective function value in the first-stage to a new lower bound.
- Substitute the solution of the first-stage problem into the second-stage problem, Equation (44), obtain the objective function value of the first-stage problem, and update the new uncertain variable and upper bound.
- Note whether the convergence threshold has been reached; if not, jump to 2 until the C&CG algorithm converges.
- If g > G, output the optimal solution; if g < G, enter the Firehawk optimization algorithm to reclassify the EEM and PSM market volumes and skip to 2.
3. Results and Discussion
3.1. Description of the Example System
3.2. Analysis of Power Purchase and Sale Strategy for GLAs Participating in the EE-PSMJ Model
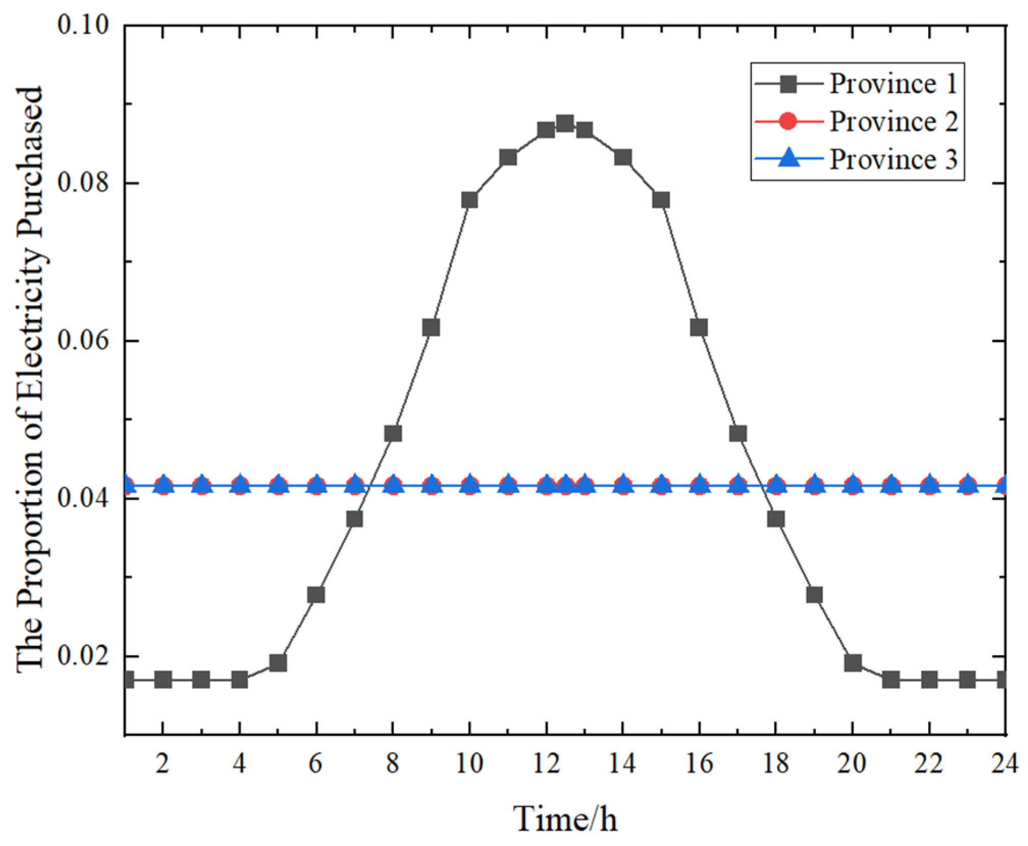
3.2.1. Analysis of Power Purchase Strategies of GLAs in the EEM
3.2.2. Analysis of Power Purchase Strategies of GLAs in PSM
3.2.3. Power Strategy Analysis of Elements Aggregated by GLAs
3.2.4. Analysis of GLA’s Electricity Sales Strategy
3.2.5. Analysis of GLA Profitability
4. Conclusions
- The generation load aggregator participating in the electric energy–peak shaving joint market model is solved by the algorithm used to obtain the optimal power purchase and sale strategy scheme. In the scheme, the operator of the generation load aggregator can take full advantage of the adjustable characteristics of self-supplied power, energy storage, and transferable loads to reduce the operating cost of electricity and increase the operator’s profit. The profit is USD 2.6 thousand higher than that of the control group.
- The results of the generation load aggregator participating in the electric energy–peak shaving joint market model are compared with the results of the electric energy market model. This shows that the participation of the generation load aggregator in the electric energy–peak shaving joint market model can alleviate the peak and valley pressure of the electricity grid from the load side, and the peak and valley difference is 4.25 MW lower than that of the control group. The regulation ability of the power system is enhanced, and the rationality of the generation load aggregators participating in the electric energy–peak shaving joint market model is reflected.
- From the results of the solved transferable loads, it can be seen that the participation of the generation load aggregators in the electric energy–peak shaving joint market model can further utilize the adjustable characteristics of the transferable loads and reduce the cost of electricity consumption of the transferable loads. This conclusion can provide a reference for electricity market managers to design reasonable rules for small- and medium-sized transferable loads to enter the electricity market. The total electricity cost of the control group is USD 2.36 thousand lower.
Author Contributions
Funding
Data Availability Statement
Conflicts of Interest
Appendix A



References
- Katsunori, M.; Yukihiko, Y.; Rikiya, A. Necessity of a nationally coherent energy strategy for meeting the paris agreement: A case study for japan. Eur. Phys. J. Plus 2023, 138, 9. [Google Scholar]
- Saccardo, R.R.; Domingues, A.M.; Battistelle, R.A.G.; Bezerra, B.S.; Siqueira, R.M.; Neto, J.B.S.D.S. Investment in photovoltaic energy: An attempt to frame brazil within the 2030 passage target of the paris agreement. Clean. Energy Syst. 2023, 5, 11. [Google Scholar] [CrossRef]
- Zhang, D. Recent advances in smart grid architecture and grid-electric vehicle-charging station interaction. J. Phys. Conf. Ser. 2024, 2786, 12017. [Google Scholar] [CrossRef]
- Wang, L.; Han, L.; Tang, L.; Bai, Y.; Wang, X.; Shi, T. Incentive strategies for small and medium-sized customers to participate in demand response based on customer directrix load. Int. J. Electr. Power Energy Syst. 2024, 155, 9. [Google Scholar] [CrossRef]
- Zhang, H.; Tian, Y.; Zhao, Y.; Liu, Q.; Zhang, N. Economic dispatch of generation load aggregators based on two-stage robust optimization. Front. Energy Res. 2023, 11, 17. [Google Scholar] [CrossRef]
- Iwafune, Y.; Kazuhiko, O.; Kobayashi, Y.; Suzuki, K.; Shimoda, Y. Aggregation model of various demand-side energy resources in the day-ahead electricity market and imbalance pricing system. Int. J. Electr. Power Energy Syst. 2023, 147, 13. [Google Scholar] [CrossRef]
- Wan, X.; Wen, X.; Tang, B.S. Qinfei, Trading strategy for virtual power plant clusters based on a multi-subject game model. J. Comput. Methods Sci. Eng. 2023, 23, 2261–2274. [Google Scholar]
- Zhou, X.; Liu, X.; Liu, H.; Ji, Z.; Li, F. Optimal dispatching strategy for residential demand response considering load participation. Glob. Energy Interconnect. 2024, 7, 38–47. [Google Scholar] [CrossRef]
- Lekshmi, R.R. Contract power and its schedule using load follower in a hybrid electricity market. In Advances in Electrical and Computer Technologies, Proceedings of the ICAECT 2020; Springer: Singapore, 2021; p. 12. [Google Scholar]
- Broihanne, M.; Merli, M.; Roger, P. Behavioral portfolio theory. Interest Limit. 2006, 57, 8. [Google Scholar]
- Du, Y.; Yang, X.; Guo, L.; Yin, S.; Ai, Q. Day-ahead bidding strategy for the smart-building virtual power plant participating in energy and frequency regulation market. In Proceedings of the 2020 IEEE 4th Conference on Energy Internet and Energy System Integration (EI2), Wuhan, China, 30 October–1 November 2020; IEEE: Piscataway, NJ, USA, 2020; p. 5. [Google Scholar]
- Sun, H.; Liu, Y.; Qi, P.; Zhu, Z.; Xing, Z.; Wu, W. Study of two-stage economic optimization operation of virtual power plants considering uncertainty. Energies 2024, 17, 3940. [Google Scholar] [CrossRef]
- Liu, D.; Wang, L.; Liu, M.; Jia, H.; Wang, W. Optimal energy storage allocation strategy by coordinating electric vehicles participating in auxiliary service market. IEEE Access 2021, 9, 11. [Google Scholar] [CrossRef]
- Wang, Y.; Sun, W. A two-stage robust pricing strategy for electric vehicle aggregators considering dual uncertainty in electricity demand and real-time electricity prices. Sustainability 2024, 16, 3593. [Google Scholar] [CrossRef]
- Algarvio, H. Risk-sharing contracts and risk management of bilateral contracting in electricity markets. Int. J. Electr. Power Energy Syst. 2023, 144, 15. [Google Scholar] [CrossRef]
- Fatemi, S.; Ketabi, A.; Mansouri, S.A. A multi-level multi-objective strategy for eco-environmental management of electricity market among micro-grids under high penetration of smart homes, plug-in electric vehicles and energy storage devices. J. Energy Storage 2023, 67, 20. [Google Scholar] [CrossRef]
- Zhang, H.; Wang, J.; Zhao, X.; Yang, J. Risk-assessment of carbon-dioxide recycling in a gas-fired power plant using cvar-based convex optimization. J. Clean. Prod. 2023, 416, 137898. [Google Scholar] [CrossRef]
- Fan, W.; Tan, Z.; Li, F.; Zhang, A.; Ju, L.; Wang, Y.; De, G.; Lund, H.; Kaiser, M.J. A two-stage optimal scheduling model of integrated energy system based on cvar theory implementing integrated demand response. Energy 2023, 263, 20. [Google Scholar] [CrossRef]
- Ivkov, D.; Mani, S.; Gaji-Glamolija, M. How do precious and industrial metals hedge oil in a multi-frequency semiparametric cvar portfolio? N. Am. J. Econ. Financ. 2024, 72, 102145. [Google Scholar]
- Mao, B.; Han, D.; Wang, Y.; Dong, X.; Yan, Z. Pricing mechanism for community prosumers in decentralized electricity market. J. Electr. Power Energy Syst. Chin. Soc. Electr. Eng. 2023, 9, 13. [Google Scholar]
- Tian, K.; Sun, W.; Liu, W.; Song, H. Coordinated res and ess planning framework considering financial incentives within centralized electricity market. CSEE J. Power Energy Syst. 2023, 9, 539. [Google Scholar]
- Wang, Y.; Wang, K.; Long, C.; Miao, C. Summarizing user-item matrix by group utility maximization. ACM Trans. Knowl. Discov. Data 2023, 17, 22. [Google Scholar] [CrossRef]
- Stanujkic, D.; Popovic, G.; Karabasevic, D.; Meidute-Kavaliauskiene, I.; Uluta, A. An integrated simple weighted sum product method—Wisp. IEEE Trans. Eng. Manag. 2023, 70, 14. [Google Scholar] [CrossRef]
- Zhang, G.; Zhong, Q.; Tan, Y.; Yang, Q. Risky behavior analysis for cross-border drivers: A logit model and qualitative comparative analysis of odds of fault and injury vulnerability in guangdong, hong kong and macau. J. Saf. Res. 2022, 82, 13. [Google Scholar] [CrossRef] [PubMed]
- Housni, O.E.; Topaloglu, H. Joint assortment optimization and customization under a mixture of multinomial logit models: On the value of personalized assortments. Soc. Sci. Electron. Publ. 2023, 71, 19. [Google Scholar] [CrossRef]
- Hensher, D.A.; Greene, W.H. The mixed logit model: The state of practice. Transportation 2003, 1, 44. [Google Scholar]
- Rozikov, U.A. An infinite-dimensional nonlinear equation related to gibbs measures of a sos model. Infin. Dimens. Anal. Quantum Probab. Relat. Top. 2024, 27, 9. [Google Scholar] [CrossRef]
- Li, B.; Wen, S.; Yan, Z.; Wen, G.; Huang, T. A survey on the control lyapunov function and control barrier function for nonlinear-affine control systems. Acta Autom. Sin. 2023, 10, 8. [Google Scholar] [CrossRef]
- Zhang, H.; Tian, Y. Coordinated optimal scheduling of wphtns power system based on adaptive improved genetic algorithm. IEEE Access 2023, 11, 16. [Google Scholar] [CrossRef]
- Tsang, M.Y.; Shehadeh, K.S.; Curtis, F.E. An inexact column-and-constraint generation method to solve two-stage robust optimization problems. Oper. Res. Lett. A J. Oper. Res. Soc. Am. 2023, 51, 7. [Google Scholar] [CrossRef]
- Huang, Z.; Xu, Y.; Chen, L.; Ye, X. Coordinated planning method considering flexible resources of active distribution network and soft open point integrated with energy storage system. IET Gener. Transm. Distrib. 2023, 17, 13. [Google Scholar] [CrossRef]
- Azizi, M.; Talatahari, S.; Gandomi, A.H. Fire hawk optimizer: A novel metaheuristic algorithm. Artif. Intell. Rev. 2023, 56, 7. [Google Scholar] [CrossRef]
- Peng, Y.; Liu, J.; Liu, J. The purchasing and selling strategies of power selling companies considering multiple types of retail packages under the two-level power market environment. Power Syst. Technol. 2022, 46, 14. [Google Scholar]













| Unit | Parameter | Numerical Value | |
|---|---|---|---|
| Self-provided generation | 1000 | ||
| 100 | |||
| 0.05/0 | |||
| Energy storage | 2000 | ||
| 4500 | |||
| 800 | |||
| 2500 | |||
| 0.04 | |||
| 0.95 | |||
| Transferable load | S-STDC | 0.08 | |
| 6480 | |||
| PAC | 0.09 | ||
| 4800 | |||
| Participation in trading power in the PSM | 6000 | ||
| Coefficient of Self-Elasticity | Coefficient of Cross-Elasticity | User Load Upper and Lower Limits | User Utility Metric Weights | |||||||
|---|---|---|---|---|---|---|---|---|---|---|
| Peak | Flat | Valley | Peak | Flat | Valley | |||||
| −0.55 | −0.4 | −0.4 | 0.2 | 0.13 | 0.13 | 0.65 | 0.15 | 0.2 | ||
| Inter-Province Spot Declaration Ratio | Profit Expectation/KUSD | CVaR Value/KUSD | CVaR Value of the User’s Electricity Cost/USD 1000 | |||
|---|---|---|---|---|---|---|
| Fixed Tariff Package | Time-of-Use Tariff Package | Direct-Split Tariff Package | Guaranteed-Capped Tariff Package | |||
| 27.13 | −18.37 | 13.82 | 22.17 | 40.23 | 3.48 | |
| 27.13 | −18.17 | 13.82 | 22.17 | 40.81 | 3.91 | |
| 27.13 | −18.35 | 13.82 | 22.17 | 40.24 | 3.49 | |
| FTP | P-VTUTP | DSTP | GB-CTP | ||||
|---|---|---|---|---|---|---|---|
/(USD/MW·h) | /(USD/MW·h) | /(USD/MW·h) | /(USD/MW·h) | ||||
| 19.64 | 13.87 | 20.21 | 11.86 | 0.34 | 0.31 | 76.41 | 85.22 |
| Project | EE-PSMJ Model | EEM Model | The Difference Between the EE-PSMJ Model and EEM Model | |
|---|---|---|---|---|
| EEM | Expected Revenue from Electricity Sales /KUSD | 147.09 | 149.45 | −2.36 |
| Cost of Electricity Purchased /KUSD | 123.26 | 124.61 | −1.35 | |
| CVaR value of Gains /KUSD | −18.37 | −18.06 | −0.31 | |
| PSM | Operating Cost /KUSD | −3.30 | -- | −3.30 |
| Profitability /KUSD | 45.50 | 42.90 | 2.60 | |
Disclaimer/Publisher’s Note: The statements, opinions and data contained in all publications are solely those of the individual author(s) and contributor(s) and not of MDPI and/or the editor(s). MDPI and/or the editor(s) disclaim responsibility for any injury to people or property resulting from any ideas, methods, instructions or products referred to in the content. |
© 2025 by the authors. Licensee MDPI, Basel, Switzerland. This article is an open access article distributed under the terms and conditions of the Creative Commons Attribution (CC BY) license (https://creativecommons.org/licenses/by/4.0/).
Share and Cite
Zhang, H.; Tian, Y.; He, W.; Liang, Z.; Zhang, Z.; Zhang, N. The Generation Load Aggregator Participates in the Electricity Purchase and Sale Strategy of the Electric Energy–Peak Shaving Market. Energies 2025, 18, 370. https://doi.org/10.3390/en18020370
Zhang H, Tian Y, He W, Liang Z, Zhang Z, Zhang N. The Generation Load Aggregator Participates in the Electricity Purchase and Sale Strategy of the Electric Energy–Peak Shaving Market. Energies. 2025; 18(2):370. https://doi.org/10.3390/en18020370
Chicago/Turabian StyleZhang, Haonan, Youwen Tian, Wei He, Zhining Liang, Zihao Zhang, and Nannan Zhang. 2025. "The Generation Load Aggregator Participates in the Electricity Purchase and Sale Strategy of the Electric Energy–Peak Shaving Market" Energies 18, no. 2: 370. https://doi.org/10.3390/en18020370
APA StyleZhang, H., Tian, Y., He, W., Liang, Z., Zhang, Z., & Zhang, N. (2025). The Generation Load Aggregator Participates in the Electricity Purchase and Sale Strategy of the Electric Energy–Peak Shaving Market. Energies, 18(2), 370. https://doi.org/10.3390/en18020370
