Abstract
Pole tower grounding bodies are part of the normal structure of the power system, providing relief from fault currents and equalizing overvoltage channels. They are important devices; however, in the harsh environment of the soil, they are prone to corrosion or even fracture, which in turn affects the normal utilization of the transmission line, so accurately assessing the condition of grounding bodies of the power grid is critical. To assess the operational status of a grounding body in a timely manner, this paper proposes a multi-parameter pulsed eddy current (PEC) time-domain characteristic signal corrosion classification method for the detection of the state of a pole tower grounding body. The method firstly theoretically analysed the influence of multi-parameter changes on the PEC response time-domain feature signal caused by grounding body corrosion and extracts the decay time constant (DTC), and the decay time constant stabilization value (DTCSV) and time to stabilization (TTS) were obtained based on the DTC time domain characteristics for describing the corrosion of the grounding body. Subsequently, DTCSV and TTS were used as inputs to a support vector machine (SVM) to classify the corrosion of the grounding body. A simulation model was constructed to investigate the effect of multiparameter time on the DTCSV and TTS of the tower grounding body based on the single-variable method, and the multiparameter time-domain characterization method used for corrosion assessment was validated. Four defects with different corrosion levels were classified using the optimized SVM model, with an accuracy rate of 95%. Finally, a PEC inspection system platform was built to conduct classification tests on steel bars with different degrees of corrosion, and the results show that the SVM classification model based on DTCSV and TTS has a better discriminatory ability for different corrosive grounders and can be used to classify corrosion in the grounders of poles towers to improve the stability of power transmission.
1. Introduction
In order to meets the requirement of “west–east power transmission“ in China, transmission lines have been rapidly developed as key equipment to the power system, leading to an increase in the number of transmission towers. In the process of power transmission and distribution, the towers not only play a supporting role, but also work together with the grounding device to provide a discharge channel for the fault current generated by the power transmission and also to provide an overvoltage equalization channel [1]. However, since the grounding device of the transmission tower is mainly made of carbon steel, galvanized steel, and other materials, it is very susceptible to corrosion in areas with harsh environments. The grounding device needs to be frequently inspected, which tends to cause great inconvenience to the normal operation of the transmission line [2,3]. The landform types in Jiangxi are complex. The corrosion rate of grounding materials in some areas is similar to that in highly corrosive areas. In addition, the transmission lines span a long distance and are mostly distributed in mountainous areas. If the commonly used excavation inspection is performed, not only is the workload significant, but it may also affect the local power transmission. Therefore, it is extremely important to propose a non-destructive detection method for real-time evaluation of the grounding state for the safety and stability of power transmission of transmission lines [4,5].
Several existing non-destructive testing methods can be used to characterize corrosion; however, studies on grounding body corrosion primarily rely on measuring and analyzing mass or thickness loss. Pulsed eddy current (PEC) has demonstrated its capability in defect detection and corrosion characterization, offering advantages such as being harmless to humans and easy to operate. As a result, it has been widely applied in detecting defects in both ferromagnetic and non-ferromagnetic metals. In PEC transient response analysis, both time-domain and frequency-domain features can be extracted for defects. For example, RTD-Incotest utilizes the relationship between the induced current signal generated by PEC diffusion and the material properties of the tested object to provide the average wall thickness within the magnetic field region. It simplifies the detection of corrosion by identifying “metal loss”-type defects in the sample [6,7]. The pulsed eddy current characteristic signals used to evaluate the corrosion of the specimen include the peak amplitude [8], the time of peak arrival [9,10], the time of rising [11], the time of reaching the peak [12], the time of zero crossing [13], and the logarithmic linear slope [14,15]. Tamhane et al. [16] reduced the above characteristic signals to two principal components through principal component analysis, thereby quantitatively evaluating the corrosion degree of the specimen. Ulapane et al. [17] proposed a PEC sensor with a wound wire structure, which determined the thickness of concrete cover by analyzing the time-varying voltage output of the sensor. However, the aforementioned studies on grounding electrode corrosion primarily relied on methods based on mass or thickness loss to measure and analyze corrosion.
Corrosion is not just a loss of mass or thickness; conductivity and relative permeability decrease within the corroded layer or corroded area [18]. During the measurement process, under the influence of the pulsed excitation field, the secondary magnetic field exhibits an exponential decay characteristic. The decay curve is affected by the sample’s thickness, conductivity, and relative permeability, making it suitable for estimating the degree of corrosion in the sample. Commercially, PEC test equipment such as Eddyfi [19], Maxwell NDT [20], and Applus+ RTD INCOTEST™ [21,22] typically use features such as the logarithmic linear slope of the decay portion in the sensor’s output time series and characteristic time to detect and evaluate corrosion. However, few studies have explored the detection mechanism of this method from a theoretical perspective.
Based on the abovementioned foundational research, this paper proposes a corrosion grade classification method based on the pulse eddy current decay time constant based on the influence of the conductivity, relative permeability, and thickness of the grounding body corrosion layer on the PEC decay time constant. A simulation model of the tower grounding body was built, and the influence of the multi-parameter changes in the grounding body on the decay time constant was studied based on the single variable method. Two time domain feature quantities that can be used to characterize the corrosion grade were extracted. These two feature quantities were then used as inputs of the classification model to classify the corrosion of the grounding body. Finally, a test platform was built to verify the feasibility of the corrosion assessment method proposed in this paper, thereby providing good technical support for overcoming the blindness of tower grounding body detection.
2. Multi-Parameter Time-Domain Feature Signal Extraction and SVM Corrosion Evaluation Classification
According to the “Industrial Building Anti-Corrosion Design Standard” (GB/T50046-2018 [23]), the conductivity, relative permeability, and thickness of the grounding body will change with corrosion. Therefore, the corrosion of the grounding body can be evaluated based on the changes in the electrical conductivity, relative permeability, and thickness parameters after the grounding body is corroded.
Based on the above understanding, we extracted the decay time constant (DTC) from the waveform of the PEC response, which is used to characterize the change in the electromagnetic signal excited by the corrosion of the grounding body of the pole tower. Based on the characteristics of the decay time constant, two characteristic signals, Decay Time Constant Stabilization Value (DTCSV) and Time to Stabilization (TTS), are extracted, which can further accurately represent the conductivity, relative permeability and thickness of the grounding body. Additionally, these two feature signals can be used as inputs for SVM training to classify the corrosion class of the grounding body.
2.1. DTC Signal Extraction
After the grounding body is excited by pulsed eddy currents, the induced voltage in the receiving coil used for detection can be expressed by the following equation [24]:
where u(t) represents the induced voltage generated by the magnetic field in the receiving coil; ξk establishes the physical relationship between the coil parameters and the grounding body parameters; βm depends solely on the parameters of the grounding body; the functional forms of ξk and βm are residues; μ represents permeability; σ represents conductivity; t represents time; and Amk denotes the amplitude of the voltage signal, which is related to the parameters of the transmitting and receiving coils as well as the grounding body parameters.
If the excitation coil parameters are fixed, the variation of Amk during the detection process depends only on the grounding body. Equation (1) indicates that the amplitude of u(t) exhibits an exponential decay trend over time. Once the information about the excitation coil parameters is determined, the decay rate depends solely on the parameters of the grounding body.
Equation (1) represents the time-domain voltage signal of pulsed eddy currents in the detection of the grounding body of the tower. By applying a logarithmic transformation to the above, another transformed expression is obtained:
Differentiating the above equation with respect to time t, the resulting expression is:
As ξk and βm both increase monotonically with their respective indices, k and m, for any k, m ∈ [2, 3, 4,⋯], the inequality ξ12 + β12 − ξk2 − βm2 < 0 holds. If α(t) is used to represent the expression of the transient eddy current response u(t) after logarithmic transformation and differentiation, where α(t) denotes the decay time constant (DTC) of the transient response logarithmic curve, then as time t approaches infinity, Equation (3) can be further reduced to:
In practical detection, due to technical requirements such as detection speed, time t cannot approach infinity. For t ≫ 0, Equation (4) can be further approximated as:
where α represents the value of the decay time constant α(t) when t ≫ 0. Since the tower grounding body is composed of a large number of individual grounding rods connected together, the length l ≫ 0. Taking the permeability and conductivity of the grounding body into account, the condition μσh2 ≫ π2 also holds. Therefore, Equation (5) can be further approximated as:
At later times, dr = h2 − h1 in Equation (6) represents the thickness of the tower grounding body. When the parameters of the excitation coil are fixed, the α(t) in the time domain is determined solely by the parameters of the tower grounding body, including h1, dr, μr, σ, and l. However, the α can be extracted by Equations (4) to (6) when t ≫ 0. Because the signal interval for extracting α is only a rough theoretical range (t ≫ 0), it lacks practical guidance in actual operations. In addition, based on the eddy current diffusion theory, PEC time-domain features caused by surface defects of the test specimen generally appear in the early and mid-stage of the sampled signal. The existing algorithms for extracting the time constant have not yet provided a solution for this issue.
Since the variation in the coil parameters in the near-field pulsed eddy current detection has less influence on α(t), the larger the absolute α(t), the faster the decay. Specimens with large relative permeability and conductivity decay fast early and slow later. Therefore, the time at which the DTC reaches equilibrium, as well as the magnitude, varies. The larger the conductivity and relative permeability, the smaller the time for the decay to reach equilibrium, and the smaller the absolute value of the DTC at equilibrium. Similarly, when the thickness becomes smaller, which corresponds to a smaller cross-sectional area of the object, then the resistance value becomes larger, the consumption becomes larger, and therefore the absolute value of the late DTC becomes larger.
In summary, in this paper, the usable range of the PEC signal is expanded to the early and mid-phase of the response, and by extracting the change in DTC in terms of time, when the change rate of α(t) is less than 10%, the value of the point is extracted to be defined as decay time constant stabilization value (DTCSV) and the time corresponding to this point is defined as the time to stabilization (TTS). Thus, a correlation is established between defect condition and the entire PEC signal.
2.2. Identification and Classification of Grounding Body Parameters Using TDC-SVM
The process of defect parameter identification in underground structures typically involves two stages: localization and classification, both of which are fundamentally classification tasks. Therefore, an automatic classification approach is essential during data processing. Support vector machine (SVM) is a widely used machine learning technique known for its effectiveness in classification, regression, and other tasks, and it has proven to be highly effective for classifying defects based on impulse time-domain signals. In this paper, SVM classification is used to classify the time-domain signal changes caused by corrosion of a grounding body, which can not only effectively achieve state detection of the corrosion of the pole tower grounding body, but also improve the ability to identify and quantitatively analyze the state of the grounding body.
In this study, a one-to-one classification method is used to classify the corrosion of the grounding body into four categories, namely, severe corrosion, moderate corrosion, minor corrosion, and slight corrosion, and the changes in the grounding body parameters caused by corrosion are shown in Table 1; i.e., it is necessary to form 4 × (4 − 1)/2 binary classified SVMs.
Table 1.
Multi-parameter corrosion level setting.
In this paper, Radial Basis Function (RBF) is employed as the kernel of SVM decision function. RBF kernel has two parameters, i.e., the penalty factor C and the kernel width γ. In our paper, C is set to 1, and γ¼ is calculated as 1/l, where l denotes the dimension of the training set. In order to optimize these parameters, optimization algorithms are introduced in this paper [25,26].
In summary, in this paper, first, DTC in the PEC response signal is collected, then, DTCSV and TTS, which can be used to characterize the time-domain characteristics (TDC) of the PEC signal, which have been extracted from α(t) and the feature quantity, are inputted into the SVM, so as to classify the corrosion grade of the grounding body. The specific chart of the DTC-SVM is presented in Figure 1.
Figure 1.
Flowchart of DTC-SVM corrosion classification of grounded body based on DTCSV and TTS.
3. Simulation Validation of a Multi-Parameter Time-Domain Characterization Method for Corrosion Assessment
In order to further analyze and verify the relevant conclusions about DTC α(t) in the previous section, the relevant parameters and detection data are analyzed here based on the simulation software Maxwell 2022 R2 and combined with the single-variable method. In the simulation, the voltage source is set as a pulse source, the pulse amplitude is 60 V, the pulse width and pulse period are 5 ms and 10 ms, respectively, and the rise and fall times are 10μs. The rest of the parameters are shown in Table 2.
Table 2.
Simulation parameter settings.
The transmitter-receiver device is a concentric device. The solution method in simulation is transient analysis, and a transient data and DTC are calculated every 0.05 ms. Since the noise in the signal begins to significantly impact the eddy current response after 5 ms in the experiment, this paper focuses on calculating the response signal within the 0 to 5 ms range using DTC.
The change in coil parameters in near-field pulsed eddy current detection has less of an effect on α(t). Additionally, Equation (6) shows that, once the excitation coils are defined, α(t) is directly affected by the relevant parameters of the samples. Therefore, this paper does not consider the influence of the coil and other parameters on α(t), but directly analyzes the role of the grounding body parameters in relation to α(t), so as to carry out the corrosion assessment of the sample according to DTCSV and TTS.
3.1. Influence of Multiple Parameters of the Grounding Body on the Decay Time Constant
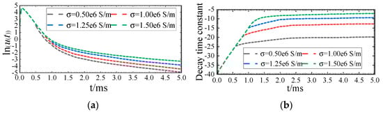
3.1.1. The Change in Conductivity
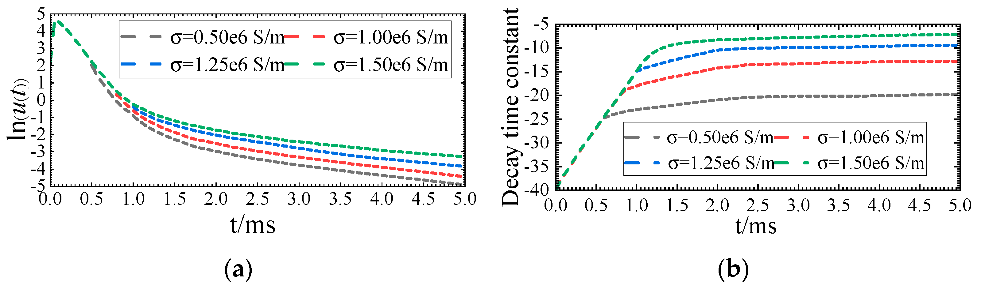
According to the change in conductivity of the grounding body before and after corrosion, the conductivity of the grounding body was assigned to 1.50 MS/m, 1.25 MS/m, 1.00 MS/m, and 0.5 MS/m, respectively, to analyze how changes in conductivity impact the transient response signals in the receiving coil. The corresponding logarithmic curves ln(u(t)) are presented in Figure 2a.
Figure 2.
The effect of different grounding body conductivities on the transient response signal. (a) The logarithmic curve of the response signal for different grounding body conductivities; (b) the decay time constant curve for different grounding body conductivities.
Figure 2a shows the PEC response corresponding to different conductivities of the grounding body. From Figure 2a, it can be seen that, as the conductivity of the grounding body increases, it generates more eddy currents, and the magnitude of the late time period of the logarithmic curve increases as well. Moreover, due to Faraday’s electromagnetic induction effect, the larger the conductivity of the material, the greater the influence on the trend, so α(t) increases in the late time period of the curve, and the absolute value decreases, thus reducing the trend. This result shows that the functional relationship between the conductivity of the grounding body and α(t) aligns with the conclusion derived from Equation (6).
Based on the results of the simulation, the DTC curve varies with changes in the conductivity of the grounding body, as shown in Figure 2b. The curves for the four different conductivities exhibit a distinct upward trend over time, indicating a gradual decrease in the decay rate. This behaviour aligns with the PEC signal decay law, where the decay rate is higher in the early and mid-phases as compared to the late phase. As the signal approaches the late phase, the DTC stabilizes and approximates a constant value. In the early stage of signal period, the transmission rate is proportional to the conductivity. Materials with higher conductivity exhibit a faster stabilization of the DTC compared to those with lower conductivity. However, in the final stage, the absolute value of the DTC for high-conductivity materials is smaller than that for low conductivity materials, as discussed in a previous section. Furthermore, the DTC under stability and the time required to reach stability show significant differences. In this paper, stability is defined as the point where the rate of change in the DTC falls below 10%. At this point, the decay time constant stabilization value (DTCSV) and the time to stabilization (TTS) are measured, as presented in the following table.
From Table 3, when the conductivity of the grounding body changes, both the DTCSV and TTS of the decay time constant exhibit significant variations. The differences in conductivity of grounding body specimens with the same dimensions can be detected through the trend of the decay time constant curve and its steady-state value.
Table 3.
Table of DTCSV and TTS variation with conductivity.
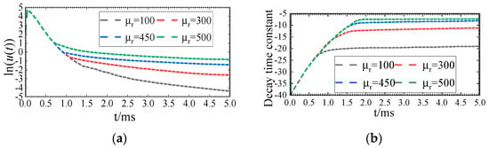
3.1.2. The Change in Relative Permeability
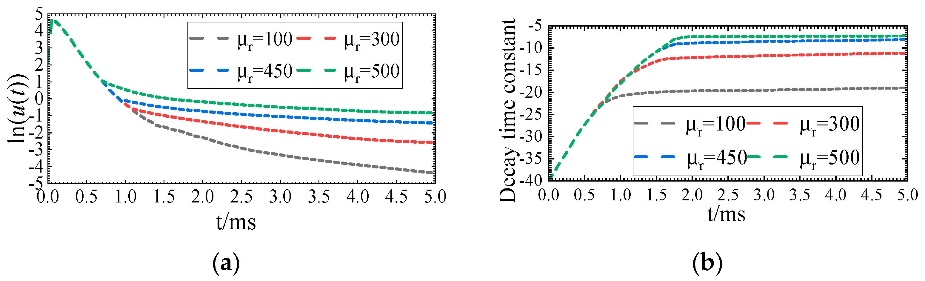
According to the change in relative permeability of the grounding body before and after corrosion, the relative permeability of the grounding body was assigned to 100, 300, 450, and 500, respectively, to analyze how changes in relative permeability impact the transient response signals in the receiving coil. The corresponding logarithmic curves ln(u(t)) are presented in Figure 3a.
Figure 3.
The effect of different grounding body relative permeabilities on the transient response signal. (a) The logarithmic curve of the response signal for different grounding body relative permeabilities; (b) the decay time constant curve for different grounding body relative permeabilities.
Figure 3a shows the transient response logarithmic curves corresponding to different relative permeabilities of the ground body. Figure 3a illustrates that, when other parameters of the grounding body remain unchanged, increasing the relative permeability of the ground body will reduce the amplitude of the later time period of the logarithmic curve and increase its corresponding α(t). This result shows that the functional dependence of α(t) on the relative permeability of the grounding body is also consistent with the conclusion derived from Equation (6).
As depicted in Figure 3b, when the relative permeability of the grounding body is small, the penetration speed to reach the same depth is greater than that of the material with high relative permeability; that is, the TTS of a material with low relative permeability is less than the TTS required for a material with high relative permeability. At the same time, when the four decay time constant (DTC) curves reach their DTCSV, the induced eddy currents within the grounding bodies will have all diffused to the horizontal axis. Since the thickness parameters of the grounding bodies are consistent, the induced eddy currents in the four grounding bodies at this point share a similar cross-sectional area. Therefore, the differences in permeability of grounding body specimens with the same dimensions can be detected using the DTCSV and TTS of the DTC curve. Furthermore, the DTCSV and TTS of the DTC curve can be utilized for the electro-magnetic signal analysis of PEC induction signals in grounding bodies, enabling the detection of the electromagnetic parameters of the grounding body. Specifically, materials with DTC curves exhibiting longer TTS and smaller DTCSV values tend to have higher relative permeability and conductivity, indicating less corrosion. Conversely, shorter TTS and larger DTCSV values correspond to more severe corrosion, as shown in Table 4. Generally, the difference in relative permeability before and after corrosion in grounding bodies is significant, making material identification according to the DTC curve highly reliable.
Table 4.
Table of DTCSV and TTS changes with relative permeability.
In addition, by calculating the DTCSV reciprocal of DTC in Figure 2b and Figure 3b, the numerical variation curve of relative permeability μr and the conductivity σ of the grounding body corresponding to the reciprocal of α(t) can be determined, as shown in Figure 4. The results in Figure 4 show that the μr and σ of the grounding body are both proportional to 1/DTCSV; that is, μr and σ are inversely proportional to DTC, respectively. This observation aligns with the qualitative analysis derived from Equation (6).
Figure 4.
Relationship between α(t) and the relative permeability μr and conductivity σ of the grounding body.
3.1.3. The Change in Loss Grounding Body
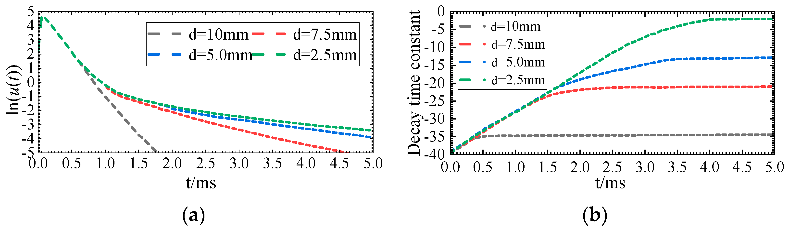
According to the change in thickness of the grounding body before and after corrosion, the thickness of the grounding body was assigned to 10 mm, 7.5 mm, 5.0 mm, and 2.5 mm, respectively, to analyze how changes in thickness impact the transient response signals in the receiving coil. The corresponding logarithmic curves ln(u(t)) are presented in Figure 5a.
Figure 5.
The effect of different grounding body loss thickness on the transient response signal. (a) The logarithmic curve of the response signal for different grounding body loss thicknesses; (b) the decay time constant curve for different grounding body loss thicknesses.
The logarithmic curves associated with varying loss thicknesses of the grounding body are shown in Figure 5a. As depicted, with an increase in the thickness of the grounding body, the slope of the logarithmic curve increases significantly. Additionally, when the grounding body transitions from a thinner to a thicker state, the change in DTC is very obvious, as can be seen in Table 5 and Figure 5b. These findings demonstrate that α(t) has a positive guiding role in the detection of grounding body corrosion defects.
Table 5.
Table of variation in DTCSV and TTS with thickness of grounding body losses.
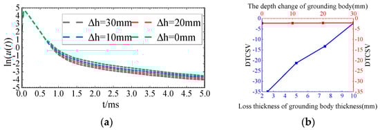
As the logarithmic curve of the response signal is also affected by the thickness of the grounding body’s burial depth, in order to reduce the impact of the burial depth on the judgement of the thickness of the grounding body, thereby increasing the accuracy of the corrosion assessment, in this paper, the logarithmic curve of the response signal is obtained as shown in Figure 6a.
Figure 6.
The effect of different grounding body burial depths on the transient response signal. (a) The logarithmic curve of the response signal for different grounding body burial depths; (b) the DTCSV change caused by changes in burial depth and wall thickness.
Figure 6a illustrates the transient response logarithmic curves corresponding to various burial depths of the grounding body, which are increased incrementally by 0 mm, 10 mm, 20 mm, and 30 mm. As depicted in Figure 6a, an increase in the burial depth reduces the signal amplitude during the later stage of the transient response logarithmic curve in the receiving coil to some extent. This reduction occurs because greater burial depths increase the radial distance between the receiving coil and the grounding body, causing the flow field amplitude to decay more rapidly in the radial direction. Consequently, the induced voltage amplitude generated by the eddy current field in the receiving coil diminishes. Furthermore, increasing the burial depth has a minimal impact on the amplitude of the response signal during the earlier stage. This is because the early-stage response signal is primarily governed by the excitation field, and deeper burial reduces the influence of the eddy current field on the excitation field. In the later stage of the logarithmic curve, the slope of the eddy current response logarithmic curve remains largely unchanged across different burial depths. As a result, changes in the burial depth of the grounding body have little effect on α(t).
To further investigate the effect of changes in grounding body thickness and burial depth on α(t), the absolute change value of the logarithmic curve α(t) corresponding to the equal change in the two is calculated by Maxwell simulation software, as illustrated in Figure 6b. The red curve and the blue curve represent the change in DTCSV caused by the change in grounding body thickness and burial depth. This figure clearly shows that the variation in DTCSV due to changes in grounding body thickness is much greater than the change in DTCSV caused by the change in grounding body burial depth. Therefore, when the detection time is 5 ms, the thickness of the influencing factor of the change in α(t) is much greater than that of the change in burial depth, and in Equation (6) can be further approximately written as . In addition, the results of Figure 6b also show that the change in grounding body thickness has good linearity with the DTCSV of DTC. Therefore, it is feasible to detect the change in grounding body thickness by α(t) when the detection time is 5 ms.
3.2. Verification of Ground Defect Model
To verify that α(t) can be used to judge the changes in parameters related to grounding corrosion, a simulation model of a tower grounding body with defects was built by Maxwell. The defect model is shown in Figure 7a. Aside from the defects, the remaining grounding body has a thickness of 20 mm. The other relevant parameters remain the same as those described in the previous section. Then, the defect detection of the grounding body was carried out based on α(t). When t approached 5 ms, α(t) approached stability, which can be calculated by Equation (6). The DTCSV at each position was measured, and the results are in Figure 7b.
Figure 7.
Grounding defect detection (a) the grounding defect model, (b) the decay time constant detection result of the grounding body defect.
By observing the detection curve characteristics of DTCSV in Figure 7b, it is evident that the absolute values of DTCSV of the defects are greater than the DTCSV values of the normal parameters of the grounding body. Therefore, the defect location can be calibrated by α(t).
To further investigate the effect of the conductivity and relative permeability of the grounding body on DTC, the DTCSV of the grounding body at different electromagnetic parameters are studied here, and the test results are shown in Figure 8.
Figure 8.
The curve of DTCSV with the change in grounding body parameters. (a) The DTCSV with defects when the relative permeabilities of the grounding body change; (b) the DTCSV with defects when the conductivities of the grounding body change.
Figure 8a illustrates the DTCSV curves corresponding to the grounding body under different relative permeabilities. As shown in Figure 8a, when μr = 450 and μr = 5000, the DTCSV curve can effectively determine the location and size of the defect. However, the characteristics of the fourth defect are less distinct, making it challenging to determine the relative permeability. In contrast, when μr = 300 and μr = 100, the characteristics of the fourth defect become easier to identify in the detection curve. This indicates that a higher relative permeability improves the clarity of defect characteristics obtained from the DTCSV-based detection curve.
Therefore, if the grounding body has a lower relative permeability, that is, when the corrosion degree is higher, the defect characteristics displayed in the DTCSV detection curve become more distinct. With higher relative permeability, although it becomes more challenging to identify the characteristic changes caused by the permeability in the detection curve, the DTC at the defect location remains significantly smaller than that of the normal grounding body. Thus, the presence of a defect can still be clearly identified.
The μr of the grounding body is 500, and α(t), obtained by varying the σ of the grounding body, is depicted in Figure 8b. It can be observed that with the greater conductivity of the grounding body, the smaller sensitivity of DTC to ring defects at different depths decreases, which is similar to the change in relative permeability. The theoretical analysis and simulation verification results are presented above. In order to achieve accurate classification of the corrosion level of the grounding body, this paper uses DTCSV and TTS as the feature quantities of SVM.
3.3. Corrosion Classification Based on SVM
This section utilizes simulation data to create a test dataset, aiming to verify the effectiveness and repeatability of the proposed method.
First, the PEC time-domain features extracted from the training data are used as input for SVM training to develop a classification model. As can be seen from the above, DTCSV and TTS are effective time-domain characteristics (TDC) of PEC response to characterize the degree of corrosion of the grounding body. Figure 9 depicts the distribution of feature points along with the classification results produced by various SVM classifiers. This article chooses a one-to-one multi-class classifier. The lines in the figure represent the classifiers obtained through SVM training. Since it is divided into 4 classes, 6 SVMs need to be designed. To optimize the SVM parameters, three intelligent optimization algorithms are introduced: Grid Searching (GS), Genetic Algorithm (GA), and Particle Swarm Optimization (PSO). This paper uses the SVM library LIBSVM developed to optimize the SVM algorithm [26]. The resulting classification accuracy is presented in Table 6, demonstrating that the optimized SVM method significantly enhances classification accuracy.

Figure 9.
Schematic diagram of the pulsed eddy current testing experimental verification system classification results of four classifiers: (a) SVM, (b) GSSVM, (c) GASVM (d) PSOSVM.
Table 6.
SVM classification results based on time domain signals.
As shown in Figure 9 and Table 6, the time domain features based on DTCSV and TTS can be used for SVM classification, so that the corrosion degree of the tower can be divided into 4 categories, and the optimization algorithm is applied to optimize the parameters of SVM, which can significantly improve the accuracy of classification. Among them, the SVM performance optimized using the PSO algorithm is significantly improved. Therefore, the paper adopts the TDC-PSOSVM classification method.
4. Test Verification
4.1. PEC Platform and Detection System Construction
To validate the accuracy of the theory and simulation model, an experimental platform for the pulsed eddy current tower grounding defect detection method was constructed. The platform is provided in Figure 10.
Figure 10.
Schematic diagram of pulsed eddy current testing experimental verification system.
The main functions and effects of each circuit, equipment and structure are as follows:
- (1)
- DC power supply module: provides a DC voltage with adjustable amplitude for the pulse excitation circuit and signal amplification circuit.
- (2)
- Excitation circuit module: used to generate pulse excitation signals with adjustable pulse width, period, and amplitude. The pulse excitation circuit is mainly composed of a single-chip microcomputer (MCU) and a half-bridge circuit. The MCU generates a pulse excitation signal by controlling the on and off states of the corresponding transistors in the half-bridge circuit.
- (3)
- Detection coil: mainly composed of exciting and receiving coil. During the detection process, the exciting coil interacts with the changing electromagnetic field and the induced eddy current generated in both the air and the grounding body. The receiving coil captures the eddy current field containing multi-parameter information about the grounding body, enabling the detection of its corrosion.
- (4)
- Amplification circuit module: includes a power conversion circuit and a signal amplification circuit. The power conversion circuit transforms the positive voltage from the DC power supply into equal positive and negative voltages and provides power to the signal amplification circuit. The signal amplification circuit, consisting of an instrument amplifier, features an adjustable signal amplification factor and bias.
- (5)
- Data acquisition module: is mainly used to collect the excitation signal in the excitation circuit and transient PEC response in the receiving coil and upload them to the host computer.
The steel bars were corroded using an impulse current to accelerate the corrosion process. The average thickness losses of the samples were 2.5 mm, 5.0 mm, 7.5 mm, and 10 mm, respectively, as illustrated in Figure 10.
4.2. Experimental Results and Analysis
Both the rising and falling edges of the pulsed excitation signal generate transient voltages in the receiving coil, but the excitation signal is a DC voltage after the rising edge. The weak noise in the voltage will have a greater impact on the value of the transient response signal logarithmic curve in the later time period. Therefore, the transient response corresponding to the falling pulsed excitation is used in the experiment to verify the detection method.
Since the response signal after 5 ms is greatly affected by noise in actual detection, the period and pulse width of the pulsed signal are 10 ms and 5 ms, respectively, and the pulsed amplitude signal is 60 V. To reduce the impact of noise on the logarithmic curve, this paper first uses a digital low-pass filter with a cutoff frequency of 5 kHz to filter the logarithmic curve and then combines the wavelet noise reduction algorithm to weaken the remaining noise.
As shown in Figure 10, the coil and the grounding body are placed horizontally in the experiment. By moving the detection coil horizontally by 5 mm one by one, the detection result of DTC can be obtained as shown in Figure 11a.
Figure 11.
Grounding body defect test and classification results. (a) the defect detection result based on the decay time constant, (b) the defect scatter plot based on TDC-PSOSVM.
To minimize the impact of noise on the detection results, the detection data corresponding to each detection position in the figure are the average of 10 test data. The detection results in the figure show that defects at four positions can be detected, confirming the feasibility of the grounding defect detection method based on the decay time constant. We took five points of each group of defects a total of ten times and imported their DTCSV and TTS into TDC-PSOSVM to obtain the classification results as shown in Figure 11b.
The detection results in Figure 11b show that, after extracting DTCSV and TTS based on DTC, it is feasible to classify defects through TDC-PSOSVM.
5. Conclusions
Corrosion identification of tower grounding bodies is crucial in non-destructive testing and structural health monitoring. However, traditional eddy current non-destructive testing is usually insufficient to accurately inspect grounding body corrosion. This paper proposes a non-destructive corrosion testing method. The decay time constant is extracted according to the PEC response signal, and the DTCSV and TTS characteristic signals that can be used to characterize the parameter changes caused by grounding body corrosion are obtained based on the decay time constant, which is used as the input feature quantity of PSO-SVM to evaluate and analyze the corrosion degree of the tower grounding body. The simulation model and experimental platform were built, respectively, and the results are as follows:
The results of the simulation show that, when the parameters of the grounding body are used as a single variable, the changes in DTCSV and TTS caused by the parameters can clearly distinguish the degree of grounding body corrosion. After the defect model is built, the DTCSV changes caused by multiple parameters can be used to accurately locate the defects of the grounding body. Finally, the corrosion classification method integrating the SVM algorithm can accurately identify the changes in the pulsed eddy current time-domain characteristic signals caused by the changes in multiple parameters of the grounding body, and the introduction of the optimization algorithm can improve the accuracy of SVM recognition, meaning that the PSO-SVM algorithm has a better effect on improving the accuracy of classification.
The results of the experiment further prove that parameter changes caused by the corrosion of the tower grounding body can be clearly represented by the DTCSV and TTS obtained from the pulsed eddy current time-domain characteristic signal proposed in this paper. The results also show that the PSO-SVM classification method can effectively classify the corrosion of the tower grounding body.
Although this paper provides a method for detecting the corrosion of tower grounding electrodes, there are still several aspects worth studying in future work. (1) The grounding corrosion detection methods given in this paper are all based on the time-domain characteristics of the pulsed eddy current response signal, and the frequency domain characteristics in the response signal have not yet been analyzed. The next step is to combine the relevant time-frequency analysis and frequency domain signal processing methods to study the frequency domain characteristics in the transient response signal. (2) Although this paper has experimentally verified that DTCSV and TTS can detect grounding corrosion, it can be seen from the experimental results that noise has a greater impact on the signal in the later time period of the response signal. The next step of research will be carried out focusing on three aspects: the optimization of relevant noise reduction methods, coil structure, and related circuits, in order to improve the signal-to-noise ratio of the response signal.
Author Contributions
Conceptualization, Y.Z. and J.W. (Jie Wang); methodology, X.H.; software, Y.L.; validation, Z.Z.; formal analysis, R.X.; investigation, Y.C.; resources, K.L.; data curation, H.Y.; writing—original draft preparation, J.W. (Jingang Wang); writing—review and editing, J.W. (Jingang Wang); visualization, Y.Z.; supervision, Y.Z.; project administration, J.W. (Jie Wang); funding acquisition, J.W. (Jie Wang). All authors have read and agreed to the published version of the manuscript.
Funding
This research was funded by Construction Branch of State Grid Jiangxi Electric Power Co., Ltd., grant number 521824230001.
Data Availability Statement
The data used in the analysis presented in the paper will be made available, subject to the approval of the data owner.
Conflicts of Interest
Y.Z., J.W., X.H., Y.L., Z.Z., R.X. and Y.C. were employed by Construction Branch of State Grid Jiangxi Electric Power Co., Ltd. K.L. was employed by Jiangxi Power Transmission and Transformation Engineering Co., Ltd. The remaining authors declare that the research was conducted in the absence of any commercial or financial relationships that could be construed as a potential conflict of interest. The authors declare that this study received funding from Construction Branch of State Grid Jiangxi Electric Power Co., Ltd. The funder was not involved in the study design, collection, analysis, interpretation of data, the writing of this article or the decision to submit it for publication.
References
- Tian, H.; Jia, L.; Hu, S.; Hu, Y.; Qu, L.; Liu, G. Study on Thermal Stability of Tower Grounding Electrode Under Lightning Strike and Power Frequency Follow Current. Insul. Surge Arresters 2024, 1–9. [Google Scholar]
- Yu, Y.; Zhu, H.; Zhang, Z.; Huang, S.; Xia, J.; Gao, C. Research on material selection of transmission Tower grounding body. Mater. Sci. Technol. 2017, 25, 25–31. [Google Scholar]
- Zhao, P.; Wang, J.; Xia, H.; He, W. A Novel Industrial Magnetically Enhanced Hydrogen Production Electrolyzer and Effect of Magnetic Field Configuration. Appl. Energy 2024, 367, 123402. [Google Scholar] [CrossRef]
- Jie, C.; Jianxun, J. Analysis of lightning-strike fault of 10 kV distribution lines and simulation study on lightning protection measures. Insul. Surge Arresters 2011, 4, 73–77. [Google Scholar]
- Wangzeng, L.; Jinhe, T.; Lin, W. Combined Grounding Performance and Application Range of Tower Foundation and Long Vertical Grounding Electrode. Insul. Surge Arresters 2024, 122–130. [Google Scholar] [CrossRef]
- Robers, M.A.; Scottini, R. Pulsed eddy current in corrosion detection. In Proceedings of the 8th European Conference on Nondestructive Testing Barcelona, Barcelona, Spain, 17–21 June 2002. [Google Scholar]
- Wassink, C.H.P.; Robers, M.A.; Raad, J.A.; Bouma, T. Condition monitoring of inaccessible piping. In Proceedings of the 15th World Conference on Non-Destructive Testing Roma, Rome, Italy, 14–21 October 2000. [Google Scholar]
- Li, Y.; Jing, H.; Abidin, I.Z.; Yan, B. A gradient-field pulsed eddy current probe for evaluation of hidden material degradation in conductive structures based on lift-off invariance. Sensors 2017, 17, 943. [Google Scholar] [CrossRef]
- Tian, G.Y.; Sophian, A. Reduction of lift-off effects for pulsed eddy current NDT. NDT E Int. 2005, 38, 319–324. [Google Scholar] [CrossRef]
- Nafiah, F.; Sophian, A.; Khan, M.R.; Abidin, I.M.Z. Quantitative evaluation of crack depths and angles for pulsed eddy current nondestructive testing. NDT E Int. 2019, 102, 180–188. [Google Scholar] [CrossRef]
- Tian, G.Y.; Sophian, A. Defect classification using a new feature for pulsed eddy current sensors. NDT E Int. 2005, 38, 77–82. [Google Scholar] [CrossRef]
- Xu, Z.; Wu, X.; Li, J.; Kang, Y. Assessment of wall thinning in insulated ferromagnetic pipes using the time-to-peak of differential pulsed eddy-current testing signals. NDT E Int. 2012, 51, 24–29. [Google Scholar] [CrossRef]
- Chen, X.; Hou, D.; Zhao, L.; Huang, P.; Zhang, G. Study on defect classification in multi-layer structures based on Fisher linear discriminate analysis by using pulsed eddy current technique. NDT E Int. 2014, 67, 46–54. [Google Scholar] [CrossRef]
- Ulapane, N.; Alempijevic, A.; Calleja, T.V.; Miro, J.V. Pulsed eddy current sensing for critical pipe condition assessment. Sensors 2017, 17, 2208. [Google Scholar] [CrossRef]
- Eddy, I.C.; Underhill, P.R.; Morelli, J.; Krause, T.W. Pulsed eddy current response to liftoff in different sizes of concrete embedded rebar. In Proceedings of the IEEE SENSORS, Montreal, QC, Canada, 27–30 October 2019; pp. 1–4. [Google Scholar]
- Tamhane, D.; Patil, J.; Banerjee, S.; Tallur, S. Feature Engineering of Time-Domain Signals Based on Principal Component Analysis for Rebar Corrosion Assessment Using Pulse Eddy Current. IEEE Sens. J. 2021, 21, 22086–22093. [Google Scholar] [CrossRef]
- Ulapane, N.; Wickramanayake, S.; Kodagoda, S. Pulsed eddy current sensing for condition assessment of reinforced concrete. In Proceedings of the 2019 14th IEEE Conference on Industrial Electronics and Applications (ICIEA), Xi’an, China, 19–21 June 2019; pp. 1–6. [Google Scholar]
- Gotoh, Y.; Hirano, H.; Nakano, M.; Fujiwara, K.; Takahashi, N. Electromagnetic nondestructive testing of rust region in steel. IEEE Trans. Magnet. 2005, 41, 3616–3618. [Google Scholar] [CrossRef]
- Eddy, I.; Underhill, P.R.; Morelli, J.; Krause, T.W. Pulsed eddy current response to general corrosion in concrete rebar. J. Nondestruct. Eval. Diag. Progn. Eng. Syst. 2020, 3, 044501. [Google Scholar] [CrossRef]
- Grenier, M.; Demers-Carpentier, V.; Rochette, M.; Hardy, F. Pulsed eddy current: New developments for corrosion under insulation examinations. In Proceedings of the 19th World Conference Non-Destructive Testing, Munich, Germany, 13–17 June 2016; pp. 13–17. [Google Scholar]
- Morozov, M.; Dobie, G.; Gachagan, A. Assessment of corrosion under insulation and engineered temporary wraps using pulsed eddy-current techniques. In Proceedings of the 56th Annual British Conference of Non-Destructive Testing, Telford, UK, 5–7 September 2017; pp. 475–484. [Google Scholar]
- Dolabdjian, C.P.; Perez, L.; De Haan, V.O.; De Jong, P.A. Performance of magnetic pulsed-eddy-current system using high dynamic and high linearity improved giant magnetoresistance magnetometer. IEEE Sensors J. 2006, 6, 1511–1517. [Google Scholar] [CrossRef]
- GB/T 50046-2018; Standard for Anticorrosion Design of Industrial Constructions. Standardization Administration of China: Beijing, China, 2018.
- Sun, H.; Shi, Y.; Zhang, W.; Li, Y. Chinese Journal of Scientific Instrument. Chin. J. Sci. Instrum. 2020, 41, 179–186. [Google Scholar]
- He, Y.Z.; Pan, M.C.; Luo, F.L.; Chen, D.X.; Hu, X.C. Support vector machine and optimised feature extraction in integrated eddy current instrument. Measurement 2013, 46, 764–774. [Google Scholar] [CrossRef]
- Chang, C.-C.; Lin, C.-J. LIBSVM: A library for support vector machines. ACM Trans. Intell. Syst. Technol. 2011, 2, 1–27. [Google Scholar] [CrossRef]
Disclaimer/Publisher’s Note: The statements, opinions and data contained in all publications are solely those of the individual author(s) and contributor(s) and not of MDPI and/or the editor(s). MDPI and/or the editor(s) disclaim responsibility for any injury to people or property resulting from any ideas, methods, instructions or products referred to in the content. |
© 2025 by the authors. Licensee MDPI, Basel, Switzerland. This article is an open access article distributed under the terms and conditions of the Creative Commons Attribution (CC BY) license (https://creativecommons.org/licenses/by/4.0/).











