Abstract
An experimental investigation was carried out to understand the effects of LEP (leading-edge protuberance) blades on the structural characteristics of VAWTs. A series of experiments were performed on VAWTs with straight and LEP blades for a wide range of wind velocity (6 m/s to 20 m/s) and pitch angles (−20° to 20°), and the structural excitations on the VAWT structure were measured using a triaxial accelerometer in each case. The raw acceleration data were extensively processed in the time and frequency domains to identify the variation in structural excitation caused by the unsteady wind and aerodynamic loads on the VAWT structure. Understanding the aerodynamic changes and their impact on structural characteristics is essential. The current study examines how LEP influences the structural excitation of VAWTs. However, a great deal of aerodynamic variation was observed for the LEP blades, so the straight blades of the VAWT were replaced with various modified LEP blades, for which a similar set of experiments was carried out. The study presents a better performance (self-starting, stall-mitigating) for VAWTs with LEP 3 and 2 blades, with a significant reduction in the excitation of loads due to wind load and the changes in aerodynamics observed in the along- and across-wind directions.
1. Introduction
Interest in decentralized energy production has increased the attention given to small-scale and micro wind turbines. While offshore vertical-axis wind turbines (VAWTs) show promise, they remain in the early development stages, where the wind turbine dynamics are significantly affected by complex aerodynamic and hydrodynamic damping effects, which pose a considerable challenge in understanding and modelling turbine behavior [1]. Kilowatt-scale VAWTs are becoming popular in rural and urban settings, partly for their aesthetic appeal. Combining kinetic art with VAWTs is expected to become a typical form of multifunctional public art installation [2]. Like their larger counterparts, small-scale wind turbines exhibit complex dynamics, where vibrations can compromise structural integrity and reduce lifespan. These turbines, situated in closer proximity to the Earth’s surface, experience substantial fluctuations in wind velocity due to atmospheric turbulence [3]. These consequences adversely affect energy production and component lifespan, causing frequent failures in turbine blades and support structures [4,5,6,7]. Fluctuating rotational velocities can align with structural resonant frequencies, potentially leading to intense structural oscillations [8,9]. The IEC 61400-2 standard regulates the structural validation of small wind turbines, providing three methods for determining structural loads: a basic analytical model, computer simulations, and full-scale turbine measurements [10]. Using horizontal axis models for vertical-axis designs is common due to the absence of standardized methods. Fatigue analysis models employ constant load amplitudes, concentrating on blade rotation while disregarding wind-induced vibrations over the structure’s lifetime. Moreover, existing wind turbulence models may not suit urban environments, potentially leading to higher fatigue loading than predicted by standard spectra [3,11]. A noteworthy study [12] investigates the Darrieus turbine and the influence of bevel spur gear performance under variable aerodynamic loads. The impact of blade counts on aerodynamic efficiency and the dynamic vibration of the turbine’s geared transmission at different tip speed ratios during unsteady operation are considered, connecting aerodynamic factors to gearing mechanism vibrations by exploring design variables affecting turbine vibration in non-stationary conditions [13]. A rooftop VAWT with a health monitoring system using ambient vibration measurements is discussed in Ref. [9]. The study employs an automated algorithm combining SSI and rapid clustering to identify building-related modes and optimize tower design. The findings show that blade rotation speed significantly affects the VAWT’s vibration power spectral density [14]. VAWTs have been studied less than horizontal wind turbines. Although many laboratory experiments have examined VAWTs’ dynamic characteristics [15,16], there is a lack of vibration measurements in real-world operational settings. Integrating structural health monitoring (SHM) systems into a structure improves performance by continuously measuring vibrations and enhancing our understanding of dynamic loads [17,18,19]. Horizontal-axis wind turbine (HAWT) towers encounter numerous structural health monitoring (SHM) issues, such as vibrations from operational or blade passing frequencies [20,21], foundation degradation [22], blade flange status [23], and tower performance issues under extreme weather [24]. Micro wind turbines in urban areas may face considerable workload fluctuations, causing severe component strain, significant noise pollution [25,26], vibrations, and a higher risk of equipment failure [27]. Blade dynamic stalling causes chaotic vibrations in the VAWT shaft system, transitioning from cyclical movements to erratic fluctuations through quasi-periodic and SNA phases as wind speed increases [28]. When the leading edge of the VAWT is modified, the dynamic stall’s effects decrease [29], reducing the structure’s erratic fluctuation [30].
The lift-type VAWT exhibits high aerodynamic efficiency at high rotational speeds and wind velocities, but consistently suffers from poor initial performance, leading to suboptimal aerodynamic properties for this turbine category [31,32,33]. Results have shown significant increases in the LDCS (lift–drag combined system) static torque coefficient and average at elevated wind speeds, offering critical insights for subsequent research on wind turbines integrating lift and drag forces [34]. Placing a cylindrical structure at the airfoil’s leading edge can delay dynamic stall and improve the lift-to-drag ratio by about 30.7% [35]. A comparison of the power coefficient between a vertical-axis wind turbine (VAWT) featuring novel J-shaped blades and a traditional wind turbine with standard symmetrical airfoils was conducted using 3D Computational Fluid Dynamics (CFD) simulations [36]. Earlier studies have concentrated on investigating the effect of the tower’s shadow on the efficiency of large wind turbines [37,38,39]. Researchers examined the structural optimization and aeroelasticity of an enhanced troposkein vertical-axis wind turbine. The improved blade design had flapwise and edgewise natural frequencies of 0.675 Hz and 0.753 Hz, respectively. At a TSR of 6, 0.373 Hz oscillations were observed.
Although displacements remained stable near resonance, these vibrations diminished the turbine’s expected durability and performance [40]. VAWTs’ unique adaptability arises mainly because centrifugal forces dominate the rotor load system, unlike in horizontal designs [41,42]. Fadlalla et al. (2022) developed a linearized aeroelastic model for VAWT blade dynamics analysis, finding that straight blades have more significant transverse displacements than curved blades [43]. Miliket et al. (2022) assessed computational approaches for H-type Darrieus VAWTs, emphasizing the factors affecting their aerodynamic performance [44]. A core analytical model is introduced for SBVAWTs, focusing on the structural dynamics of support systems and the interactions between the tower and rotor [45]. The study emphasizes two main concerns in tower design: excessive top displacement and fatigue in welded components. The design and analysis of a small-scale SB-VAWT blade through computational and theoretical approaches have been explored in depth, highlighting the significant impact of centrifugal forces on bending stresses and deflections [46]. The aerodynamic efficiency of a wavy blade under various wind conditions shows its advantage over a conventional blade in turbulent winds [47,48]. The presence of a shark-scale-based vortex generator over the wind turbine airfoil has been shown to improve lift and reduce drag [49]. Blade deformation is mainly influenced by inertia, irrespective of shell thickness, with the trailing edge exhibiting more significant displacement than the leading edge, which aligns with the NACA 0012 airfoil’s pressure center, amplifying the bending moment and posterior blade deformation [42]. Lateral and rotational oscillations (70 mm and 1.5°) result from periodic aerodynamic forces, causing continuous lateral oscillation despite damping.
Pitch angle changes affected the distribution of instantaneous loads and moments between the upwind and downwind turbine sections. Instantaneous moment variations during the revolution at different pitch angles indicate that dynamic pitching could substantially improve performance [50]. The self-starting capability of wind turbines is enhanced by negative blade pitching. In contrast, positive pitching decreases startup efficiency by reducing maximum torque. Consequently, this research employs negative pitching to boost the startup and overspeed stages of H-type Darrieus vertical-axis wind turbines (VAWTs). By implementing negative pitching, the turbine’s ability to self-start is improved by approximately 80%, allowing it to function across a broader spectrum of wind velocities [51]. The wind turbine pitch angle has influential characteristics over the self-starting capability pitch angle [52], significantly affecting the intensity of the vortices generated by its blades. A moderate positive pitch angle ensures smoother and more stable operation. Adjusting the blade pitch angle (β) from negative to positive increases VAWT efficiency [53]. Figure 1 illustrates the instantaneous moment coefficient and the pattern of the vortex formed at various azimuthal angles, recreated from the study in Ref. [54]. At low tip–speed ratios, altering the pitch from its optimal power coefficient configuration significantly decreases the normal force on the blade by preventing blade–vortex interactions and reducing angles of attack (AoAs) in the downwind region. A schematic representation of the forces and velocity vectors of the vertical-axis wind turbine for various pitch angles is shown in Figure 2. For the lowest TSR, vortex–blade collisions critically influence blade torque and normal force fluctuations, and they gradually reduce with the increase in pitch angle, eventually eliminating this interaction [55]. Understanding vibration spectra necessitates knowledge of aeroelasticity, which encompasses aerodynamic forces, structural flexibility, and electromechanical interactions. Operational measurements with a simplified load equation and the aeroelastic simulations of a 5 kW aerogenesis wind turbine reveal that simplified load equations generally overestimate loads while underestimating damage cycle frequency [56]. Operational measurements with a simplified load equation and aeroelastic simulations of a 5 kW Aerogenesis wind turbine, reveal that simplified load equations generally overestimate loads while underestimating damage cycle frequency [57].
Figure 1.
The schematic of the vorticity pattern and the instantaneous moment coefficient at different pitch angles (β) and azimuthal angles (θ).
Figure 2.
Schematic representation of a vertical-axis wind turbine (VAWT) with straight blades, illustrating the following: V∞: undisturbed wind velocity; Ω: turbine’s angular velocity; R: rotor’s radius; VR: resultant velocity from wind and rotor movement; VT: tangential velocity; resultant velocity from wind and rotor movement; θ: blade’s rotational position angle; α: angle of attack, measured from chord line to resultant velocity; µ: angle between resultant velocity and blade’s tangential speed; β: blade pitch angle, measured from chord line to tangential velocity direction.
The present research study, building upon extensive previous investigations of passive modifications, has elucidated the effects of LEP on the vibrational characteristics of the vertical-axis wind turbine structure. The alteration in aerodynamics due to the presence of LEP during the dynamic motion of the VAWT induces loads on the structure. This paper examines the excitation of these loads in detail and compares it with that of the straight-blade VAWT. The VAWT static structural raw acceleration data are measured over time along and across the wind direction for a wide range of wind velocities and pitch angles. Time-frequency domain analysis is performed on the measured data to elucidate the structural behavior of the VAWT.
In conclusion, Section 2 delineates this investigation’s experimental procedures and measurement techniques. Section 3 presents a concise overview of the analysis conducted on the vertical-axis wind turbine’s (VAWT) self-starting capability, as influenced by pitch angle and the structural vibrations induced by aerodynamic alterations. This analysis is executed extensively in both the time and frequency domains. Section 4 presents a concise summary of the primary research findings.
2. Materials and Methods
The experimental investigation was conducted on a 1:19 scaled-down VAWT turbine (Sandia 17 m, Sandia National Laboratories, Albuquerque, NM, USA) in an open-jet axial wind blower facility with a 1 m × 1 m cross-section, which generates a maximum wind velocity of 27 m/s, as shown in Figure 3. The induced structural excitation on the VAWT support is measured over the VAWT four-blade configuration for wind velocities ranging from 6 m/s to 20 m/s and various pitch angles ranging from −20° to 20°, with an interval of 5°. In the present study, the straight blade is used as a baseline model, and the modification of the blades in the form of a leading-edge protuberance (LEP) with different wavelengths and amplitude is used for the investigation. The VAWT setup, equipped with both straight and leading-edge protuberance (LEP) blades, was positioned 0.5 m from the test section of an open-jet axial wind blower.

Figure 3.
The schematics and the pictorial representation of the experimental wind tunnel facility with the VAWT setup and the measurement devices used for the investigation.
Vertical-axis wind turbines (VAWTs) operate at Reynolds numbers (Re) between 106 and 108, complicating scaled model testing. Smaller models require increased velocity to match the tip speed ratio and Re of full-scale VAWTs in standard wind tunnels [58,59]. Recent findings suggest Re invariants are observed above 1.5 × 106, with experiments exceeding full-scale turbine Re in the order of 5 × 105 < ReD < 5 × 106 [59,60]. The current study utilizes a 1:4 scale model (Windspire Energy Inc., Reedsburg, WI, USA) which operates in the Re range of 3 × 105 to 1.2 × 106, while the turbine utilized in Ref. [59] used a 1:22.5 scale model, reducing Re invariants within the current Re range, ensuring comparability with full-scale measurements. The wind turbine configurations analyzed are shown in Table 1, with the straight-blade model utilizing a modified S1046 airfoil profile (Figure 4, Table 2).
Table 1.
Wind turbine specification used for the experimental investigation.

Figure 4.
The experimental vertical-axis wind turbine blades: straight blades and various LEP blades (various amplitude and wavelength), where α1: amplitude of LEP; λ: wavelength of LEP; C: chord length of the blade; H: blade height.
Table 2.
Wind turbine blade specification.
The time-averaged velocity profile across the vertical reference plane is uniform for each wind speed, exhibiting a 5% turbulence intensity. For testing small-scale turbines, open-jet wind facilities are preferable to expensive atmospheric boundary layers (ABLs) or specialized wind tunnels [61,62,63]. Previously studied in Ref. [30], wind velocity spectra at low, medium, and high speeds demonstrate flow uniformity, while the Kolmogorov slope of fluctuating velocity indicates statistical isotropy in the inertial subrange [64].
Measurement Techniques
The approach used for the experimental investigation aims to identify the effects of pitch angle and wind velocity on the structural characteristics of VAWTs with and without LEP blades, as outlined in the flow chart in Figure 5. A static shaft was equipped with a triaxial accelerometer from PCB Piezotronics, Depew, NY, USA to precisely record wind-induced excitation data on the VAWT structure (Figure 6). To minimize electrical interference, the experimental setup incorporated high-precision triaxial accelerometers (356A15 model) with ultra-low-noise cables. The study employed a high-sensitivity triaxial ceramic ICP accelerometer with 100 mV/g sensitivity, a 50 g measurement range, and 2–5 kHz frequency range. An adaptable data acquisition system gathered accelerometer readings, while the VAWT’s rotational speed was monitored using an optical tachometer sensor.
Figure 5.
The flow chart of the experimental approach used for the investigation.
Figure 6.
The schematics of the VAWT support structure with the accelerometer attached to the static shaft and the procedure used for the measurement of structural excitation during the dynamic motion of the VAWT.
The investigation utilized the Dewe 43A, a sophisticated mobile data acquisition system produced by Dewesoft Corporation, Trbovlje, Slovenia. This 8-channel differential input DAQ can simultaneously sample data from each channel at a rate of 200 kS/s, with a maximum measuring voltage range of ±10 V.
For the current experimental investigation, data were recorded at 2000 Hz with a 200 Hz frequency response limit and anti-aliasing filters, relating RPM to time-series acceleration and displacement data for the turbine’s rotational changes. The power spectral density was calculated using the Welch method [65]. The raw acceleration data were measured along and across the wind direction, and the time-series data were analyzed in the frequency domain. To quantitatively understand the change in vibration of the structure due to the change in aerodynamics during the dynamic motion of the VAWT, the methodology followed by Refs. [30,66] was used to understand control efficiency. The change in excitation for the baseline and modified models is calculated with the percentage change in vibration, as depicted in Equation (1). The percentage change is calculated explicitly for both along and across the wind direction, and is discussed thoroughly in Section 3.
with standard deviation = along and across the wind direction, where
is the standard deviation of the raw acceleration for the baseline VAWT;
is the standard deviation of the raw acceleration of the modified LEP VAWT.
The energy reduction index (ERI) represented in Equation (2) is an additional parameter that quantifies the total energy from the structural excitation measured from the VAWT structure during the dynamic motion of the turbine with and without modified LEP blades. This parameter assesses the extent to which the modified LEP VAWT models have mitigated wind-induced and aerodynamic loads on the structure compared to the baseline model. The ERI is calculated using the following formula, where represents the energy level for the Base VAWT with straight blades integrated over the entire frequency bandwidth and represents the corresponding value for the VAWT with different LEP blades:
= The total energy of the PSD of the raw acceleration data is measured from the straight-blade VAWT across and along the wind direction
= The total energy of the PSD of the raw acceleration data measured from the LEP blade VAWT both across and along the wind direction.
3. Results and Discussion
Recent research focuses on understanding the aerodynamic characteristics of LEP blades on humpback whales, which are known for superior flow control at high angles of attack and improved stall and dynamic stall characteristics. VAWTs suffer from poor dynamic stall performance, which degrades their efficiency, especially in turbulent wind environments where non-uniform winds create structural loads. This research investigates the structural loads on VAWTs when straight blades are replaced with LEP blades. It examines how varying wind velocities and pitch angles affect the aerodynamic performance and structural loads on VAWTs beyond the influence of unsteady wind loads and dynamic turbine motion. An accelerometer on the static shaft of the VAWT records raw acceleration data under different wind conditions and pitch angles to analyze structural excitation.
3.1. Influence of Pitch Angle on the Self-Starting Capability of VAWTs
For a thorough analysis, the wind speeds are categorized into three distinct ranges: low (6 m/s < V∞ < 9 m/s), medium (11 m/s < V∞ < 13 m/s), and high (15 m/s < V∞ < 20 m/s). Figure 7a shows the tip speed of the VAWTs with and without LEP at low-wind regions. Compared to the baseline model, the LEP 3 VAWT has the most substantial self-starting capability at low-wind conditions, followed by the LEP 2 VAWT, which has a balanced performance and better stall recovery than the LEP 1. The medium wind speed baseline provides peak tip speeds. However, LEP 3 ensures stable performance with better stall management, followed by LEP 2, as shown in Figure 7b. Under high-wind conditions, LEP 3 and LEP 2 show better regulation in aerodynamic loads over the baseline model, as shown in Figure 7c.
Figure 7.
Variation in tip speed (m/s) for VAWTs with and without LEP for different pitch angles: (a) low-wind region (V∞ = 9 m/s). (b) medium-wind region (V∞ = 13 m/s). (c) high-wind region (V∞ = 20 m/s).
Vertical-axis wind turbines (VAWTs) experience both across-wind and along-wind displacements due to their unique aerodynamics. The across-wind displacement is primarily caused by the asymmetric flow field around VAWTs, which creates uneven forces on the rotating blades [67]. The cylindrical actuation surface of VAWTs also contributes to across-wind movement by generating forces perpendicular to the incoming flow [68]. Along-wind displacement is mainly due to the dynamic stall phenomenon and varying aerodynamic loads during blade rotation. Dynamic stall involves large-scale vortex formation and shedding, causing significant load fluctuations [69]. The periodic rotation of VAWTs results in cyclic aerodynamic forces, leading to along-wind displacement (Ref. [67]).
Understanding these displacements is essential for optimizing VAWT design and performance in turbulent urban environments [70,71]. When VAWTs have blades pitched at −10°, they exhibit higher starting torque due to the peak moment coefficient, enhancing start efficiency despite some negative moments reducing overall efficiency. Conversely, a 10° pitch angle reduces efficiency and starting torque due to the smallest area under the moment coefficient curve. These findings demonstrate the trade-off between self-starting capability and efficiency in VAWTs. A negative pitch angle improves self-starting but may reduce efficiency, while a positive pitch angle decreases both starting torque and efficiency, aligning in good agreement with the present study; however, the pitch angle reverses in the reference study [54]. Hence, it is essential to fine-tune pitch angles to balance self-starting and power production efficiency in VAWTs [72].
A comparison of the effects of the LEP blades on changes in aerodynamic stall characteristics and their influence on performance is briefly tabulated in Table 3 for a better understanding of the changes in a comparative manner.
Table 3.
Comparative analysis of stall characteristics of VAWTs with and without LEP.
3.2. Time-Domain Analysis of the Wind-Induced Loads on LEP VAWT Structure
The variability in the wind turbine’s dynamic response across different wind speeds is observed from the acceleration measurements collected from the VAWT structure for a duration of 30 s, with various blade pitch angles set at β = −20° to 20°. The time-based data for acceleration in both the along-wind and across-wind directions are depicted in Figure 8, which represents the time-series acceleration data at a high wind speed of (V∞), comparing the different LEP configurations for three specific angles of attack. The acceleration in the across-wind direction is higher than in the along-wind direction. Notably, the across-wind loads result from the interaction of the complex dynamic motion of the VAWT and the non-uniform winds both generated by the blades and encountered by the blades.
Figure 8.
The raw acceleration data for VAWTs with and without LEP for various pitch angles.
At a pitch angle of 0°, the baseline model shows a greater magnitude of acceleration, which shows us the loads induced due to the change in aerodynamics administered by the vertical-axis wind turbine. When the blades are pitched to a negative angle of attack, we identify a drastic reduction in the magnitude of the acceleration recorded in the baseline model in the across-wind direction; however, the magnitude in the along-wind direction is comparatively lower. The analysis aids in comprehending the variation in the external wind loads encountered by the dynamically moving VAWT structure and the change in aerodynamics due to the dynamic motion of the turbine, which is also significantly reduced at negative pitch angles. When the pitch angle is negative, the turbine’s rotational speed decreases to that observed at 10°. Thereby, structural loads due to the rotation, which in turn is related to the aerodynamic characteristics, are much less, which is magnified in both the across- and along-wind acceleration data. At negative pitch angles, the drag force exhibits an increase. In the dynamic motion of the four-blade VAWT configuration, the forces generated by the two symmetrical blades counteract each other. Consequently, the lift force produced by these blades is substantially reduced, with the majority being negated, resulting in a decrease in the available lift force necessary for torque generation.
Substituting straight blades with LEP blades in the across-wind direction results in LEP 1 exhibiting notable acceleration amplitudes compared to LEP 2 and LEP 3. These amplitudes are slightly higher at 0° and nearly identical at 10 and −10°. In the along-wind direction, the structural excitation, primarily caused by aerodynamic changes, shows significant excitation for the baseline model at 0 and 10°. However, the low magnitude at −10° indicates the VAWT’s operation. Notably, when straight blades are replaced with LEP blades, the excitation pattern remains consistent across various pitch angles.
3.2.1. Statistical Analysis of the Structural Excitation of LEP VAWTs—Across-Wind Direction
In the quantitative study of the structural excitation of the VAWT support structure, the standard deviation is derived from the time-series acceleration data obtained from the static structure of VAWT for various wind speeds and pitch angles. Figure 9 compares the std deviation for the VAWT with straight blades and various modified LEP blades for a series of wind speeds. For the pitch angle of 0°, we can observe that the magnitude of the std deviation for the baseline model increases linearly with the wind speed. The rate of increase is less until V = 12 m/s, after a sudden increase in the std deviation, which reflects the variability in the structural excitation of the VAWT structure. When the pitch angle for the VAWT is increased to −5°, we can observe that at low wind speed, the variability of the time-series data is much less since the rotating speed of the turbine reduces due to the increase in the drag force caused during the dynamic motion of the VAWT; however, in the medium- and high-wind regions, the rate at which the variability increases is lowered when compared to the pitch angle of 0°. At −10°, the variability in the acceleration data is almost similar in low and medium wind. However, in the higher-wind regions, the variability decreases to that of the previous pitch angle and further decreases with the increase in pitch angle. When the straight blade is replaced with the LEP blades, in the negative range of the pitch angles, we observed that all the LEP models showed a decrease in the std deviation to that of the baseline model at 0°. With the increase in the pitch angle, the VAWT with LEP 1 showed an increase in variability, reflecting the increase in the excitation of the static structure. The VAWT with LEP 2 and LEP 3 showed lesser variability than that of the baseline model, reflecting the decrease in the excitation of the structure in the across-wind direction due to the change in the blade geometry. When we see the trend of the variation in the standard deviation of LEP1 at various negative pitch angles, the presence of leading-edge protuberance (LEP 1, LEP 2, and LEP 3) shows the same trend in the std deviation for different wind speeds, irrespective of the increase in the pitch angle. Thus, the addition of LEP has uniform operational behavior over the wide range of wind speeds tested; there is no drastic variation in the structural excitation observed for the VAWT structure at increasing pitch angles, unlike the straight-bladed VAWT, which encounters non-uniform structural excitation (observed with increasing pitch angle), meaning that the structure is influenced by non-uniform loads for various wind environments, thus leading to an increase in fatigue stress that is significantly reduced in the VAWT with LEP blades.
Figure 9.
The std deviation of the across-wind acceleration data for VAWTs with and without LEP for various wind velocities and pitch angles.
When the pitch angle is increased to 5°, the baseline model shows a drastic increase in the std deviation of the medium and high wind speeds, unlike the phenomenon observed at −5°. At 10°, the std deviation is similar to that of −10° for the low and medium wind speeds. However, at high wind speeds, there is a drastic increase in the variability directing the excitation of the loads on the VAWT structure. Further increases in the pitch angle in the positive direction reduce the excitation of the loads on the VAWT structure, as observed from the std deviation trend. We see a wide range of operating wind speeds with significant variability in the operation of the VAWT under unsteady and turbulent wind conditions. The presence of the LEP blades helps prevent the non-linear loading of VAWT structure for a wide range of operating envelopes. The VAWT with LEP has a stable operating range for various wind speeds and pitch angles, reducing the fatigue loads on the structure.
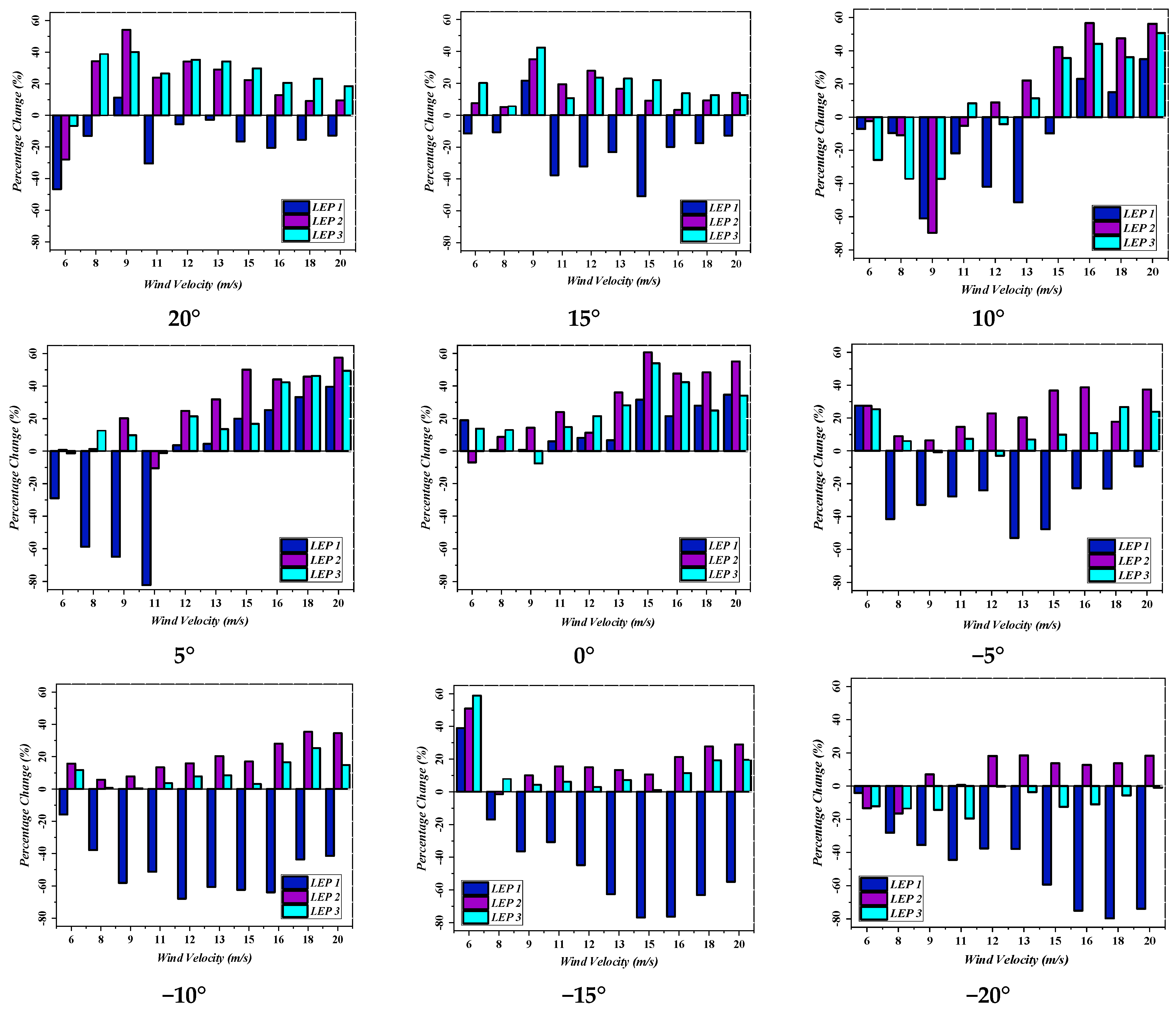
Figure 10 depicts the exact decrease in the excitation caused by the modification of the blades, which supports the reduction in vibration (positive percentage change) on the structure; however, the increase in excitation reflects the increase in the vibration (negative percentage change) of the VAWT structure for the corresponding model when compared to the baseline model. At 0° in the low-wind region, LEP 1 shows significantly less vibration reduction. However, at 6 m/s, where the turbine is in an idle state, with the increase in velocity in the low-wind region, when the VAWT is on the verge of rotation, the LEP 1 shows drastic vibration reduction at 6 m/s; thereafter, at 8 m/s and 9 m/s, the vibration is same as that of the baseline model. With the increase in wind speed, LEP 1 shows an increase in the vibration reduction observed, with the magnitude almost the same in the medium-wind region, and increased reduction in the high-wind region. When LEP 2 is used instead, it is observed that the vibration reduction linearly increases with the increase in wind speed from low to high wind, with the maximum reduction observed. LEP 3 shows a similar trend to that of LEP 2. However, the magnitude is slightly less than LEP 2 and more than LEP 1. Over the negative pitch angles, the VAWT with LEP 1 shows an increase in vibration for almost all wind speeds. With the increase in wind speed, the variability for LEP 1 increases and reaches a maximum at medium wind speeds, and then gradually decreases. LEP 2 decreases in vibration compared to the baseline model, which increases linearly with the increase in wind speed. The variation trend remains the same for the increased pitch angle, but the vibration reduction gradually decreases when we increase the pitch angle.
Figure 10.
The percentage change in the across-wind vibration characteristics observed for VAWTs with and without LEP for various wind velocities and pitch angles.
When we take LEP 3 into account, with the increase in pitch angles, the vibration reduction is observed effectively until the pitch angle is −15°. At −20°, the vibration reduction decreases drastically. At the lowest wind speed of 6 m/s, where the VAWT is not operational, compared to the baseline model, the loads on the structure due to winds and the associated vortex shed from the static structure decrease due to the change in the blade’s geometry. For the positive pitch angles, the VAWT with LEP 1 in the low-wind region shows a decreased vibration reduction, whereas LEP 2 and LEP 3 show comparatively increased vibration reduction in the low-wind region. In the medium- and high-wind regions, LEP 1 increases vibration reduction linearly with wind speed. At a pitch angle of 10°, in low-wind regions, LEP blades are less helpful in resisting the wind loads on the structure. However, at medium and high wind speeds, the LEP blades are fiercely resistant to the loads of high winds, which helps the VAWT structure operate stably. At 10° and 15° pitch angles, we can observe the increase in vibration reduction for LEP 2 and LEP 3, but not LEP 1. However, the maximum vibration reduction is observed for the low-wind region, which decreases with the increase in wind speed. Overall, the VAWT with LEP 2 and LEP 3 blades shows increased vibration reduction at negative pitch angles compared to the same case at positive pitch angles, which supports the resistance to the external wind loads and the loads due to the vortex shed from the LEP blades on the VAWT structure. Similarly, the increased vibration observed for LEP 1 on the VAWT at negative pitch angles is comparatively lower at positive pitch angles, making the turbine more stable than the straight-blade VAWT.
3.2.2. Statistical Analysis of the Structural Excitation of LEP VAWTs—Along-Wind Direction
Figure 11 shows the variation in the standard deviation of the along-wind acceleration data for the VAWT at various wind speeds at different pitch angles. The displacement in the fore–aft direction is due to the change in the aerodynamics of the blade in the upwind and downwind regions, where the angle of attack is found to be linearly increasing to a maximum value in the upwind region and linearly decreasing to a minimum angle of attack from a maximum angle in the downwind region. This transition causes the vibrations induced on the VAWT structure in the fore–aft direction [73]. At a pitch angle of 0°, the VAWT with straight blades shows an increase in the std deviation of the structural acceleration data in the along-wind direction, and it increases with the increase in wind speed. Upon substituting the straight blades with LEP blades, the standard deviation pattern for LEP 3 exhibits a similar trend to that of the straight blade, albeit with a significantly reduced magnitude.

Figure 11.
The std deviation of the along-wind acceleration data for VAWTs with and without LEP for various wind velocities and pitch angles.
As the LEP blade amplitude increases, the variability in the standard deviation of the structural response data decreases. This alteration in the aerodynamics of the VAWT’s static structure, resulting from the blade replacement, provides substantial evidence of enhanced aerodynamic properties. Consequently, the structural load excitation is considerably reduced without the necessity for external damping devices. The structural acceleration variability in the along-wind direction exhibits a decreasing trend with increasing negative pitch angles, contrasting the behavior observed in the across-wind direction. This trend becomes less significant at more extreme negative pitch angles (−10°, −15°, and −20°). For positive pitch angles, the straight-bladed VAWT model demonstrates a maximum peak standard deviation at high wind speeds, surpassing negative pitch angles. However, this peak diminishes as the positive pitch angle increases, mirroring the pattern observed with corresponding negative angles. When the LEP blades replace the straight blades, the standard deviation variations at higher pitch angles become nearly identical for both positive and negative angles. Unlike the baseline model, the LEP models consistently display stable standard deviation variations, which experience sudden increases at higher wind speeds and dramatic fluctuations at higher pitch angles. These characteristics of the baseline model indicate the formation of dynamic stalls and their associated structural loads.
Figure 12 illustrates the percentage shift in structural excitation when straight blades are replaced with LEP blades. At a 0° pitch angle, there is little vibration reduction in low-wind conditions. As wind speed increases, LEP blades counteract structural loads due to aerodynamic changes, aligning with the findings from Ref. [30]. The most significant vibration reduction is seen with LEP 1, followed by LEP 2 and LEP 3, indicating that larger LEP amplitudes result in greater vibration reduction. Positive pitch angles show more significant vibration reduction than negative angles, though this effect diminishes as the pitch angle increases. In the along-wind direction, VAWTs with negative pitch angles display an inconsistent increase in vibration reduction. Conversely, positive pitch angles demonstrate higher vibration reduction, particularly for VAWTs with LEP 1, then LEP 2 and LEP 3 in higher-wind regions. Vibration reduction is minimal in lower-wind regions, as the VAWT is stationary or barely rotating. However, positive pitch angles reduce vibration in maximum wind conditions more than negative angles.
Figure 12.
The percentage change in the along-wind vibration characteristics observed for VAWTs with and without LEP for various wind velocities and pitch angles.
3.3. Frequency-Domain Analysis of the Wind-Induced Loads on the LEP VAWT Structure
The power spectral density of each set of time-series acceleration data from the VAWT structure at various pitch angles for a series of wind velocities is evaluated. The total energy over the entire frequency domain is evaluated and plotted as a vector, with the vector’s length representing the energy’s magnitude. In Figure 13, the top half of the circle shows the variation in energy for various wind velocities varying from 6 m/s to 20 m/s for the range of negative pitch angles, and the bottom half of the circle shows the variation in energy for the range of positive pitch angles for various wind velocities.
Figure 13.
The total across-wind vibrational energy (dB/Hz) pattern for the VAWTs with and without LEP for various wind velocities and pitch angles. (Magnitude of V = 13 m/s at 0° is shown for reference).
3.3.1. Across-Wind Energy Reduction
Figure 13 shows the energy for the baseline VAWT at different wind velocities for different pitch angles. The variation in magnitude increases with the increase in wind velocity, forming a symmetrical pattern. However, when the straight blade is replaced with LEP 1, energy reduction is observed in the positive pitch angles, while energy is slightly increased in the negative pitch angles. A similar trend is observed for LEP 2 and LEP 3; however, the energy induced on the structure due to various wind increases with the decrease in the amplitude of LEP in the across-wind direction. The total energy encompasses the area under the PSD for the overall frequency range evaluated. These results describe the amount of energy induced on the static structure of the VAWT during its operation. Based on the quantitative energy values obtained for different blades in the VAWT configuration operated at various wind speeds, an energy reduction index is calculated, identifying the vibration reduction percentage when the baseline blades are replaced with LEP blades, as shown in Figure 14.
Figure 14.
The energy reduction index in percentage form for the across-wind acceleration data (vibration reduction %) for VAWTs with LEP 1, LEP 2, and LEP 3, in comparison to the straight-blade VAWT.
LEP 1 shows a maximum increase in vibration at low-wind regions, which decreases with increases in wind speed. At high-wind regions, maximum vibration reduction is observed for the VAWT with LEP 1. At negative pitch angles, there is an increase in the vibration energy observed as the maximum in the medium-wind region, with a percentage increase of 7.79%, followed by the high-wind region, where there is a percentage increase in vibration of 7.32%, and the least increase is observed in the low-wind region at 4.58%. At positive pitch angles, the increase in vibration magnitude decreases with the increase in wind speed, with a maximum increase in vibration of 8.2% in the low-wind region, followed by 5.8% in the medium-wind region, and the least in the high-wind region at about 0.11%.
When the straight blades are replaced with LEP 2, there is a significant vibration reduction compared to that of LEP 1 over the wide range of wind speeds tested. At the 0° pitch angle, there is a maximum reduction in vibration of 12.17% in the high-wind region, followed by 5.64% in the medium-wind region and 1.77% in the low-wind region, as shown in Figure 15, which is similar to that observed for LEP 1; however, the reduction in vibration increases. At negative pitch angles, unlike LEP 1, there is a reduction of around 2% in the low-wind region, 3.1% in the medium-wind region, and a maximum reduction in vibration of 4.73% in the high-wind region. For positive pitch angles there, the structural loads on the VAWT structure further decrease with the maximum vibration reduction of 6.3% in the high-wind region, followed by 4.5% in the medium-wind region and 2.06% in the low-wind region, which is higher than that observed at negative pitch angles. LEP 3 also shows a vibration reduction similar to that of LEP 2, compared to the straight-blade VAWT. However, it is comparatively lower than that observed for LEP 2. At the 0° pitch angle, there is a maximum reduction in vibration energy of 9.75% in the high-wind region, followed by a reduction of 5% in the medium-wind region and 2.3% in the low-wind region. For negative pitch angles, with a maximum reduction of 1.81%, the structural loads are observed in the VAWT structure in the high-wind region. However, at positive pitch angles, there is a maximum of 5.9%, 4%, and 2.2% reduction in loads due to the change in the geometry of the blades in the high-, medium-, and low-wind regions.
Figure 15.
Vibration reduction (%) in across-wind direction for VAWTs with LEP 1, LEP 2, and LEP 3, in comparison to the straight-blade VAWT in different wind regions and at different pitch angles.
Overall, in the across-wind direction, particularly in the low-wind region, there is a maximum reduction of 2.17% in the wind-induced loads on the idle structure and VAWT on the verge of motion with LEP 3 blades, followed by LEP 2 blades, where a similar reduction of 2.1% is observed in positive pitch angles. For the medium-wind region, where the VAWT is operating at a lower rotational speed, a maximum vibration reduction of 4.5% for LEP 2 blades in the positive pitch angle is shown in Figure 15. In the high-wind region, where the VAWT is operating at the maximum rotational frequency, the influence of structural loads on the static VAWT structure is due to rotational frequency, Coriolis forces, and wind-induced loads. Here, the maximum reduction in vibration of 6.33% is observed for the VAWT with LEP 2 in the positive pitch angle.
3.3.2. Along-Wind Energy Reduction
Figure 16 represents the energy content of the raw acceleration measured for the VAWT structure in the along-wind direction for various wind speeds and pitch angles. The distribution pattern of the vibration energy is similar to that obtained in the across-wind direction. However, the magnitude decreases when the baseline blades are replaced with the LEP 1 blades, and reduction is drastically observed for the VAWT with modified blades at positive pitch angles. Symmetry was observed for both positive and negative pitch angles. The pattern variation for the baseline structure follows a strictly increasing pattern where the magnitude seems to follow a linear increase, whereas the pattern observed for the VAWT with LEP follows a curved profile with a less linear increase in vibration energy, thereby providing stable operation at various wind speeds.

Figure 16.
The total along-wind vibrational energy pattern for the VAWTs with and without LEP for various wind velocities and pitch angles. (Magnitude of V = 13 m/s at 0° is shown for reference.)
Figure 17 shows the energy reduction index for LEP 1, LEP 2, and LEP 3 in the along-wind direction. The maximum reduction in vibration due to the change in aerodynamics is observed for the VAWT with LEP 1, followed by LEP 2, and the least reduction is observed for LEP 3. Interestingly, in the along-wind direction, the energy on the structure of the VAWT when we replace the straight blades with LEP 1 is reduced to a greater extent than in the same case in the cross-wind direction. For LEP 1, in the along-wind direction, the maximum reduction in structural excitation due to the change in aerodynamic characteristics is identified in the high-wind region for both negative and positive pitch angles, with a maximum of 4.34% and 12.62%, respectively. The VAWT with LEP 1 resists the loads on the structure due to the change in aerodynamics, which increases with the increase in wind speed, and the resistance is exceptionally high at positive pitch angles compared to negative pitch angles.
Figure 17.
The energy reduction index in percentage form for the along-wind acceleration data (vibration reduction %) for VAWTs with LEP 1, LEP 2, and LEP 3, in comparison to the straight-blade VAWT.
The presence of LEP 2 in the VAWT configuration slightly increases the vibration in the low- and medium-wind regions for positive pitch angles compared to negative ones. In the high-wind region, the VAWT with LEP 2 resists the maximum inducement of load on the structure of about 9.43% due to the change in aerodynamic characteristics, as shown in Figure 18. Similarly, LEP 3 has a maximum reduction in structural load of 5.84%, observed in the high-wind region, with relatively less resistance to aerodynamic loads in the low- and medium-wind regions.
Figure 18.
Vibration reduction in along-wind direction (%) for VAWTs with LEP 1, LEP 2, and LEP 3, in comparison to the straight-blade VAWT in different wind regions and at different pitch angles.
4. Conclusions
Based on the extensive experimental investigation performed, the following conclusions can be derived:
- The VAWT with LEP 3 blades is ideal for a wide range of operating wind speeds, especially in low- and high-wind conditions, since it has excellent self-starting and stall-mitigating characteristics, followed by the VAWT with LEP 2 blades, which has similar characteristics with a balanced performance across operating conditions.
- LEP 2 and LEP 3 blades drastically resist the excitation of loads on the VAWT structure in the across-wind direction compared to that in the along-wind direction. However, LEP 1 increases the excitation of loads over the VAWT. Interestingly, in the along-wind direction, the maximum resistance is observed for the VAWT with LEP 1.
- In the across-wind direction, LEP 2 shows a maximum resistance of 6.3% in high-wind regions at positive pitch angles, followed by LEP 3 with a resistance of 5.89%. Similar characteristics are observed for the medium-wind region, with a maximum resistance of 4.5% for LEP 2 and 3.95% for LEP 3.
- The maximum reduction in vibration energy of 4.29% is observed for the LEP 2 VAWT at positive pitch angles for wide-range operating wind velocities, followed by LEP 3 with a reduction of 4% in the across-wind direction. However, in the along-wind direction, LEP 1 shows a maximum decrease in vibration energy of 7.24% at positive pitch angles, followed by LEP 2 with a reduction of 2.85%.
- The performance of the modified VAWT with LEP 3 has an optimal performance at a positive pitch angle of 5° to 10°, followed by LEP 2, with a significant reduction in excitations of load on the structure due to the changes in aerodynamics in both the across- and along-wind directions.
The current research has extensively analyzed the performance and the structural characteristics of VAWTs without (straight blade) and with leading-edge protuberance blades, which present variations in amplitude and wavelength for various pitch angles and can operate under a wide range of wind conditions. The raw acceleration data measured from the static structure of the VAWT was analyzed statistically in the time domain and extensively calculated in the frequency domain, where the energy of the whole frequency bandwidth was extracted and analyzed. The variation in vibration characteristics induced by the impact of the change in the blade’s geometry on the VAWT structure is very well understood. This research concludes that performance improvement and vibration reduction can be achieved by optimizing the aerodynamic loads of VAWTs with LEP in a wide range of operating wind speeds.
Author Contributions
Conceptualization, S.N.P.; methodology, K.E.; software, K.E.; formal analysis, K.E.; investigation, K.E.; resources, S.N.P.; writing—original draft preparation, K.E.; writing—review and editing, S.N.P.; supervision, S.N.P.; project administration, S.N.P.; funding acquisition, S.N.P. All authors have read and agreed to the published version of the manuscript.
Funding
This research work was supported by the Science Engineering Research Board (SERB), Department of Science & Technology (DST), Government of India, File No: C.R.G./2021/005720.
Data Availability Statement
Data will be made available from the corresponding author upon request.
Conflicts of Interest
The authors have no competing conflicts of interest.
Abbreviations
The following abbreviations are used in this manuscript:
| VAWT | Vertical-axis wind turbine |
| IEC | International electrotechnical committee |
| LEP | Leading-edge protuberance |
| SHM | Structural health monitoring |
| HAWT | Horizontal-axis wind turbine |
| LDCS | Lift–drag combined system |
| TSR | Tip–speed ratio |
| AOA | Angle of attack |
| SNA | Strange non-chaotic |
References
- Pimenta, F.; Pedrelli, V.L.; Vanelli, T.; Magalhães, F. On the Effect of Nonlinear Damping Sources in Output-Only Identification Methods Applied to Floating Wind Turbines. Energies 2024, 17, 1671. [Google Scholar] [CrossRef]
- Liu, J.; Lin, H.; Zhang, J. Review on the Technical Perspectives and Commercial Viability of Vertical Axis Wind Turbines. Ocean Eng. 2019, 182, 608–626. [Google Scholar] [CrossRef]
- KC, A.; Whale, J.; Evans, S.P.; Clausen, P.D. An Investigation of the Impact of Wind Speed and Turbulence on Small Wind Turbine Operation and Fatigue Loads. Renew. Energy 2020, 146, 87–98. [Google Scholar] [CrossRef]
- Battisti, L.; Benini, E.; Brighenti, A.; Dell’Anna, S.; Raciti Castelli, M. Small Wind Turbine Effectiveness in the Urban Environment. Renew. Energy 2018, 129, 102–113. [Google Scholar] [CrossRef]
- Liu, X.; Liang, S.; Li, G.; Godbole, A.; Lu, C. An Improved Dynamic Stall Model and Its Effect on Wind Turbine Fatigue Load Prediction. Renew. Energy 2020, 156, 117–130. [Google Scholar] [CrossRef]
- Orlando, A.; Pagnini, L.; Repetto, M.P. Structural Response and Fatigue Assessment of a Small Vertical Axis Wind Turbine under Stationary and Non-Stationary Excitation. Renew. Energy 2021, 170, 251–266. [Google Scholar] [CrossRef]
- Güneş, O.; Altunsu, E.; Sari, A. Special Cases in Fatigue Analysis of Wind Turbines. Wind Struct. Int. J. 2021, 32, 501–508. [Google Scholar] [CrossRef]
- Castellani, F.; Astolfi, D.; Peppoloni, M.; Natili, F.; Buttà, D.; Hirschl, A. Experimental Vibration Analysis of a Small Scale Vertical Wind Energy System for Residential Use. Machines 2019, 7, 35. [Google Scholar] [CrossRef]
- Wang, Y.; Lu, W.; Dai, K.; Yuan, M.; Chen, S.-E. Dynamic Study of a Rooftop Vertical Axis Wind Turbine Tower Based on an Automated Vibration Data Processing Algorithm. Energies 2018, 11, 3135. [Google Scholar] [CrossRef]
- BS EN 61400-2:2006; Wind Turbines—Part 2: Design Requirements for Small Wind Turbines. International Electrotechnical Commission: Geneva, Switzerland, 2006.
- Pimenta, F.; Ribeiro, D.; Román, A.; Magalhães, F. Predictive Model for Fatigue Evaluation of Floating Wind Turbines Validated with Experimental Data. Renew. Energy 2024, 223, 119981. [Google Scholar] [CrossRef]
- Mabrouk, I.B.; El Hami, A.; Walha, L.; Zghal, B.; Haddar, M. Dynamic Vibrations in Wind Energy Systems: Application to Vertical Axis Wind Turbine. Mech. Syst. Signal Process. 2017, 85, 396–414. [Google Scholar] [CrossRef]
- Bel Mabrouk, I.; El Hami, A. Dynamic Response Analysis of Darrieus Wind Turbine Geared Transmission System with Unsteady Wind Inflow. Renew. Energy 2019, 131, 482–493. [Google Scholar] [CrossRef]
- Kotulski, L.; Jablonski, A. Comparison of Requirements for Vibration-Based Condition Monitoring of a Vertical-Axis vs. Horizontal-Axis Wind Turbine. Diagnostyka 2018, 19, 9–100. [Google Scholar] [CrossRef]
- Najafi, N.; Paulsen, U.S. Operational Modal Analysis on a VAWT in a Large Wind Tunnel Using Stereo Vision Technique. Energy 2017, 125, 405–416. [Google Scholar] [CrossRef]
- Malge, A.; Pawar, P. Wind Tunnel and Numerical Performance Analysis of Multi-Storey Vertical Axis Wind Turbines. J. Renew. Sustain. Energy 2015, 7, 053121. [Google Scholar] [CrossRef]
- Pacheco, J.; Oliveira, G.; Magalhães, F.; Moutinho, C.; Cunha, Á. Vibration-Based Monitoring of Wind Turbines: Influence of Layout and Noise of Sensors. Energies 2021, 14, 441. [Google Scholar] [CrossRef]
- Oliveira, G.; Magalhães, F.; Cunha, Á.; Caetano, E. Vibration-Based Damage Detection in a Wind Turbine Using 1 Year of Data. Struct. Control Health Monit. 2018, 25, e2238. [Google Scholar] [CrossRef]
- Pereira, S.; Pacheco, J.; Pimenta, F.; Moutinho, C.; Cunha, Á.; Magalhães, F. Contributions for Enhanced Tracking of (Onshore) Wind Turbines Modal Parameters. Eng. Struct. 2023, 274, 115120. [Google Scholar] [CrossRef]
- Hu, W.-H.; Thöns, S.; Rohrmann, R.G.; Said, S.; Rücker, W. Vibration-Based Structural Health Monitoring of a Wind Turbine System. Part I: Resonance Phenomenon. Eng. Struct. 2015, 89, 260–272. [Google Scholar] [CrossRef]
- Hu, W.-H.; Thöns, S.; Rohrmann, R.G.; Said, S.; Rücker, W. Vibration-Based Structural Health Monitoring of a Wind Turbine System Part II: Environmental/Operational Effects on Dynamic Properties. Eng. Struct. 2015, 89, 273–290. [Google Scholar] [CrossRef]
- Weijtjens, W.; Verbelen, T.; De Sitter, G.; Devriendt, C. Foundation Structural Health Monitoring of an Offshore Wind Turbine—A Full-Scale Case Study. Struct. Health Monit. 2016, 15, 389–402. [Google Scholar] [CrossRef]
- Loh, C.-H.; Loh, K.J.; Yang, Y.-S.; Hsiung, W.-Y.; Huang, Y.-T. Vibration-Based System Identification of Wind Turbine System. Struct. Control Health Monit. 2017, 24, e1876. [Google Scholar] [CrossRef]
- Dai, K.; Sheng, C.; Zhao, Z.; Yi, Z.; Camara, A.; Bitsuamlak, G. Nonlinear Response History Analysis and Collapse Mode Study of a Wind Turbine Tower Subjected to Tropical Cyclonic Winds. Wind Struct. Int. J. 2017, 25, 79–100. [Google Scholar] [CrossRef]
- Mollasalehi, E.; Sun, Q.; Wood, D. Contribution of Small Wind Turbine Structural Vibration to Noise Emission. Energies 2013, 6, 3669–3691. [Google Scholar] [CrossRef]
- Lee, S.; Lee, S. Numerical and Experimental Study of Aerodynamic Noise by a Small Wind Turbine. Renew. Energy 2014, 65, 108–112. [Google Scholar] [CrossRef]
- Tabrizi, A.B.; Whale, J.; Lyons, T.; Urmee, T. Performance and Safety of Rooftop Wind Turbines: Use of CFD to Gain Insight into Inflow Conditions. Renew. Energy 2014, 67, 242–251. [Google Scholar] [CrossRef]
- Maheswaran, C.B.; Gopal, R.; Chandrasekar, V.K.; Pillai, S.N. Chaotic Vibration Characteristics of Vertical Axis Wind Turbine (VAWT) Shaft System. Wind Struct. Int. J. 2023, 36, 215–220. [Google Scholar] [CrossRef]
- Vel, E.K.; Vinayagamurthy, G.; Liang, G.; Nadaraja Pillai, S. Vibrational Characteristics of the LEP Vertical-Axis Wind Turbine Shaft for Various Solidity Ratios. In Proceedings of the Lecture Notes in Mechanical Engineering; Rajasekharan, S.G., Arunachalam, S., Harikrishna, P., Eds.; Springer Nature: Singapore, 2024; pp. 43–50. [Google Scholar]
- Karthik Vel, E.; Nadaraja Pillai, S. Vibration Control of the Straight Bladed Vertical Axis Wind Turbine Structure Using the Leading-Edge Protuberanced Blades. Eng. Struct. 2024, 319, 118806. [Google Scholar] [CrossRef]
- Liu, Q.; Miao, W.; Li, C.; Hao, W.; Zhu, H.; Deng, Y. Effects of Trailing-Edge Movable Flap on Aerodynamic Performance and Noise Characteristics of VAWT. Energy 2019, 189, 116271. [Google Scholar] [CrossRef]
- Li, Y.; Zhao, S.; Qu, C.; Tong, G.; Feng, F.; Zhao, B.; Kotaro, T. Aerodynamic Characteristics of Straight-Bladed Vertical Axis Wind Turbine with a Curved-Outline Wind Gathering Device. Energy Convers. Manag. 2020, 203, 112249. [Google Scholar] [CrossRef]
- Somoano, M.; Huera-Huarte, F. The Effect of Blade Pitch on the Flow Dynamics inside the Rotor of a Three-Straight-Bladed Cross-Flow Turbine. Proc. Inst. Mech. Eng. Part M J. Eng. Marit. Environ. 2019, 233, 868–878. [Google Scholar] [CrossRef]
- Feng, F.; Tong, G.; Ma, Y.; Li, Y. Numerical Simulation and Wind Tunnel Investigation on Static Characteristics of VAWT Rotor Starter with Lift-Drag Combined Structure. Energies 2021, 14, 6167. [Google Scholar] [CrossRef]
- Zhong, J.; Li, J.; Guo, P. Effects of Leading-Edge Rod on Dynamic Stall Performance of a Wind Turbine Airfoil. Proc. Inst. Mech. Eng. Part A J. Power Energy 2017, 231, 753–769. [Google Scholar] [CrossRef]
- Zamani, M.; Nazari, S.; Moshizi, S.A.; Maghrebi, M.J. Three Dimensional Simulation of J-Shaped Darrieus Vertical Axis Wind Turbine. Energy 2016, 116, 1243–1255. [Google Scholar] [CrossRef]
- Cai, X.; Gu, R.; Pan, P.; Zhu, J. Unsteady Aerodynamics Simulation of a Full-Scale Horizontal Axis Wind Turbine Using CFD Methodology. Energy Convers. Manag. 2016, 112, 146–156. [Google Scholar] [CrossRef]
- Liu, X.; Lu, C.; Li, G.; Godbole, A.; Chen, Y. Effects of Aerodynamic Damping on the Tower Load of Offshore Horizontal Axis Wind Turbines. Appl. Energy 2017, 204, 1101–1114. [Google Scholar] [CrossRef]
- Kim, H.; Lee, S.; Lee, S. Influence of Blade-Tower Interaction in Upwind-Type Horizontal Axis Wind Turbines on Aerodynamics. J. Mech. Sci. Technol. 2011, 25, 1351–1360. [Google Scholar] [CrossRef]
- Roscher, B.; Simao Ferreira, C.; Bernhammer, L.O.; Madsen, H.A.; Griffith, D.T.; Stoevesandt, B. Combined Structural Optimization and Aeroelastic Analysis of a Vertical Axis Wind Turbine. In Proceedings of the 33rd Wind Energy Symposium, Kissimmee, FL, USA, 5–9 January 2015; American Institute of Aeronautics and Astronautics: Reston, VA, USA, 2015. [Google Scholar]
- Hansen, M.O.L.; Sørensen, J.N.; Voutsinas, S.; Sørensen, N.; Madsen, H.A. State of the Art in Wind Turbine Aerodynamics and Aeroelasticity. Prog. Aerosp. Sci. 2006, 42, 285–330. [Google Scholar] [CrossRef]
- Raciti Castelli, M.; Dal Monte, A.; Quaresimin, M.; Benini, E. Numerical Evaluation of Aerodynamic and Inertial Contributions to Darrieus Wind Turbine Blade Deformation. Renew. Energy 2013, 51, 101–112. [Google Scholar] [CrossRef]
- Fadlalla, A.A.M.; Sahin, A.Z.; Ouakad, H.M.; Bahaidarah, H. Aeroelastic Analysis of Straight-Bladed Vertical Axis Wind Turbine Blade. FME Trans. 2022, 50, 512–525. [Google Scholar] [CrossRef]
- Miliket, T.A.; Ageze, M.B.; Tigabu, M.T. Aerodynamic Performance Enhancement and Computational Methods for H-Darrieus Vertical Axis Wind Turbines: Review. Int. J. Green Energy 2022, 19, 1428–1465. [Google Scholar] [CrossRef]
- Verkinderen, E.; Imam, B. A Simplified Dynamic Model for Mast Design of H-Darrieus Vertical Axis Wind Turbines (VAWTs). Eng. Struct. 2015, 100, 564–576. [Google Scholar] [CrossRef]
- Hameed, M.S.; Afaq, S.K. Design and Analysis of a Straight Bladed Vertical Axis Wind Turbine Blade Using Analytical and Numerical Techniques. Ocean Eng. 2013, 57, 248–255. [Google Scholar] [CrossRef]
- Al-Bakri, B.A.R.; Aljuhashy, R.M. The Aerodynamics of the Wavy Blade Under the Effect of Fluctuated Wind Flow. FME Trans. 2021, 49, 704–710. [Google Scholar] [CrossRef]
- Arunvinthan, S.; Nadaraja Pillai, S.; Cao, S. Aerodynamic Characteristics of Variously Modified Leading-Edge Protuberanced (LEP) Wind Turbine Blades under Various Turbulent Intensities. J. Wind Eng. Ind. Aerodyn. 2020, 202, 104188. [Google Scholar] [CrossRef]
- Arunvinthan, S.; Raatan, V.S.; Nadaraja Pillai, S.; Pasha, A.A.; Rahman, M.M.; Juhany, K.A. Aerodynamic Characteristics of Shark Scale-Based Vortex Generators upon Symmetrical Airfoil. Energies 2021, 14, 1808. [Google Scholar] [CrossRef]
- Rezaeiha, A.; Kalkman, I.; Blocken, B. Effect of Pitch Angle on Power Performance and Aerodynamics of a Vertical Axis Wind Turbine. Appl. Energy 2017, 197, 132–150. [Google Scholar] [CrossRef]
- Hammad, M.A.; Mahmoud, A.M.; Abdelrhman, A.M.; Sarip, S. Performance Enhancement of H-Type Darrieus VAWT Using a Hybrid Method of Blade Pitch Angle Regulation. Energies 2024, 17, 4044. [Google Scholar] [CrossRef]
- Sun, S.Y.; Liu, H.J.; Peng, H.Y. Power Performance and Self-Starting Features of H-Rotor and Helical Vertical Axis Wind Turbines with Different Airfoils in Turbulence. Energy Convers. Manag. 2023, 292, 117405. [Google Scholar] [CrossRef]
- Nguyen, M.T.; Balduzzi, F.; Goude, A. Effect of Pitch Angle on Power and Hydrodynamics of a Vertical Axis Turbine. Ocean Eng. 2021, 238, 109335. [Google Scholar] [CrossRef]
- Chen, C.C.; Kuo, C.H. Simulation on Performances of Vertical Axis Wind Turbine. In Proceedings of the ASME 2010 10th Biennial Conference on Engineering Systems Design and Analysis, Istanbul, Turkey, 12–14 July 2010; Volume 1, pp. 79–88. [Google Scholar] [CrossRef]
- Hao, W.; Abdi, A.; Wang, G.; Wu, F. Study on the Pitch Angle Effect on the Power Coefficient and Blade Fatigue Load of a Vertical Axis Wind Turbine. Energies 2023, 16, 7279. [Google Scholar] [CrossRef]
- Pourrajabian, A.; Nazmi Afshar, P.A.; Ahmadizadeh, M.; Wood, D. Aero-Structural Design and Optimization of a Small Wind Turbine Blade. Renew. Energy 2016, 87, 837–848. [Google Scholar] [CrossRef]
- Evans, S.P.; Bradney, D.R.; Clausen, P.D. Aeroelastic Measurements and Simulations of a Small Wind Turbine Operating in the Built Environment. J. Phys. Conf. Ser. 2016, 753, 042013. [Google Scholar] [CrossRef]
- Adaramola, M.S.; Krogstad, P.-Å. Experimental Investigation of Wake Effects on Wind Turbine Performance. Renew. Energy 2011, 36, 2078–2086. [Google Scholar] [CrossRef]
- Miller, M.A.; Duvvuri, S.; Brownstein, I.; Lee, M.; Dabiri, J.O.; Hultmark, M. Vertical-Axis Wind Turbine Experiments at Full Dynamic Similarity. J. Fluid Mech. 2018, 844, 707–720. [Google Scholar] [CrossRef]
- Miller, M.A.; Duvvuri, S.; Hultmark, M. Solidity Effects on the Performance of Vertical-Axis Wind Turbines. Flow 2021, 1, E9. [Google Scholar] [CrossRef]
- Jiménez-Portaz, M.; Chiapponi, L.; Clavero, M.; Losada, M.A. Air Flow Quality Analysis of an Open-Circuit Boundary Layer Wind Tunnel and Comparison with a Closed-Circuit Wind Tunnel. Phys. Fluids 2020, 32, 125120. [Google Scholar] [CrossRef]
- LeBlanc, B.; Ferreira, C. Estimation of Blade Loads for a Variable Pitch Vertical Axis Wind Turbine with Strain Gage Measurements. Wind Energy 2022, 25, 1030–1045. [Google Scholar] [CrossRef]
- Lignarolo, L.E.M.; Ragni, D.; Krishnaswami, C.; Chen, Q.; Simão Ferreira, C.J.; van Bussel, G.J.W. Experimental Analysis of the Wake of a Horizontal-Axis Wind-Turbine Model. Renew. Energy 2014, 70, 31–46. [Google Scholar] [CrossRef]
- Goit, J.P.; Taguchi, M.; Tatsuno, J.; Kameda, T. Effect of Averaging Time Windows on Wind Resource Assessment of Small Wind Turbines. Wind Energy 2022, 25, 1222–1237. [Google Scholar] [CrossRef]
- Zhang, Q.; Yang, D.; Zhang, W. Optimal Transonic Buffet Aerodynamic Noise PSD Predictions with Random Forest: Modeling Methods and Feature Selection. Aerosp. Sci. Technol. 2024, 150, 109245. [Google Scholar] [CrossRef]
- Ding, H.; Altay, O.; Wang, J.T. Lateral Vibration Control of Monopile Supported Offshore Wind Turbines with Toroidal Tuned Liquid Column Dampers. Eng. Struct. 2023, 286, 116107. [Google Scholar] [CrossRef]
- Ross, I.; Altman, A.; Bowman, D.; Mooney, T.; Bogart, D. Aerodynamics of Vertical-Axis Wind Turbines: Assessment of Accepted Wind Tunnel Blockage Practice. In Proceedings of the 48th AIAA Aerospace Sciences Meeting Including the New Horizons Forum and Aerospace Exposition, Orlando, FL, USA, 4–7 January 2010; American Institute of Aeronautics and Astronautics: Reston, VA, USA, 2010. [Google Scholar]
- De Tavernier, D.; Ferreira, C.; Viré, A.; LeBlanc, B.; Bernardy, S. Controlling Dynamic Stall Using Vortex Generators on a Wind Turbine Airfoil. Renew. Energy 2021, 172, 1194–1211. [Google Scholar] [CrossRef]
- Le Fouest, S.; Mulleners, K. The Dynamic Stall Dilemma for Vertical-Axis Wind Turbines. Renew. Energy 2022, 198, 505–520. [Google Scholar] [CrossRef]
- Peng, H.Y.; Yang, X.R.; Liu, H.J.; Sun, S.Y. Aerodynamic Analysis of Vertical Axis Wind Turbines at Various Turbulent Levels: Insights from 3D LES Simulations. J. Build. Eng. 2024, 94, 109899. [Google Scholar] [CrossRef]
- Vladimir, C. Small Vertical Axis Wind Turbines: Aerodynamics and Starting Behavior. Incas Bull. 2013, 5, 45–53. [Google Scholar] [CrossRef]
- Sagharichi, A.; Zamani, M.; Ghasemi, A. Effect of Solidity on the Performance of Variable-Pitch Vertical Axis Wind Turbine. Energy 2018, 161, 753–775. [Google Scholar] [CrossRef]
- Antonutti, R. Numerical Study of Floating Wind Turbines: Hydro- and Aero-Mechanics. Ph.D. Thesis, The University of Edinburgh, Edinburgh, Scotland, 2015. [Google Scholar]
Disclaimer/Publisher’s Note: The statements, opinions and data contained in all publications are solely those of the individual author(s) and contributor(s) and not of MDPI and/or the editor(s). MDPI and/or the editor(s) disclaim responsibility for any injury to people or property resulting from any ideas, methods, instructions or products referred to in the content. |
© 2025 by the authors. Licensee MDPI, Basel, Switzerland. This article is an open access article distributed under the terms and conditions of the Creative Commons Attribution (CC BY) license (https://creativecommons.org/licenses/by/4.0/).