Hydrogen Leakage Location Prediction in a Fuel Cell System of Skid-Mounted Hydrogen Refueling Stations
Abstract
1. Introduction
2. Research Methods
2.1. Numerical Models
2.2. Multilayer Feedforward Neural Network
2.3. Data Standardization and Formatting
2.4. Evaluation Metrics
3. Simulation
3.1. Geometric Model
3.2. Grids
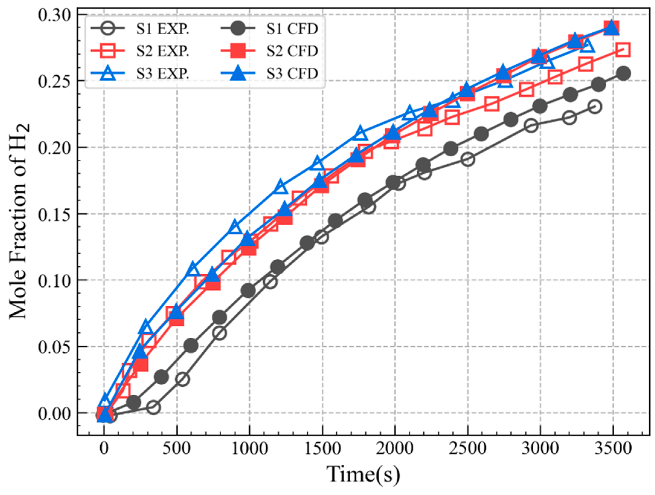
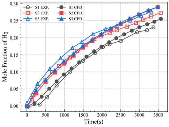
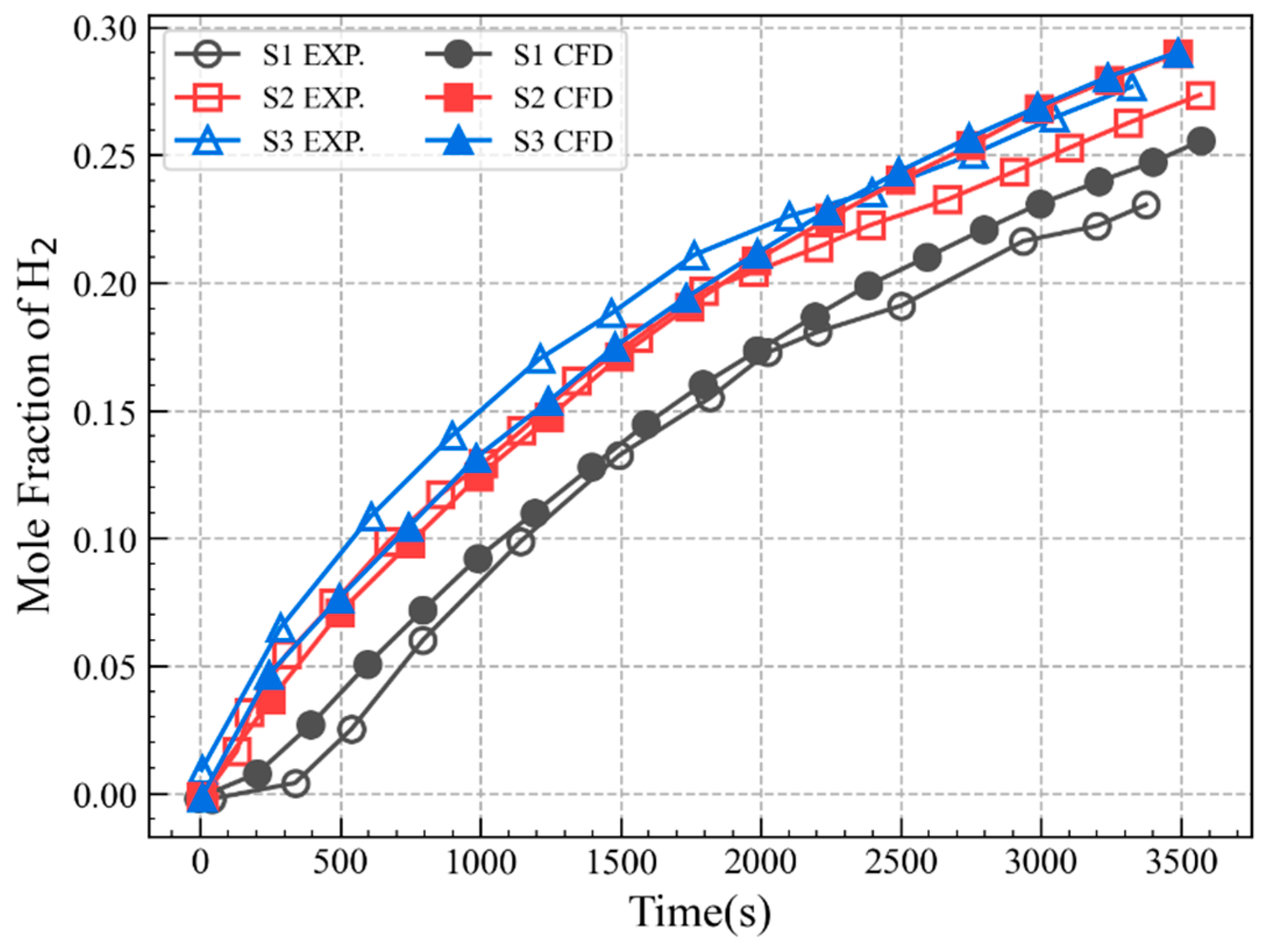
3.3. Validation
3.4. Dataset Generation
3.5. Simulation Results
4. Predicting Hydrogen Leakage Locations Using Artificial Neural Networks
5. Conclusions
Author Contributions
Funding
Data Availability Statement
Conflicts of Interest
Abbreviations and Nomenclature
| MLP | Deep feedforward neural network or multilayer perceptron |
| TP | True positive |
| TN | True negative |
| FP | False positive |
| FN | False negative |
| bh | Output of the h-th neuron in the hidden layer |
| cs | Volume fraction of species s |
| c | Concentration data |
| Ds | Diffusion coefficient of species s, m2/s |
| Gk | Increment in turbulent kinetic energy k produced by the mean velocity gradient, kg/(m·s3) |
| Gb | Increment in turbulent kinetic energy k produced by buoyancy forces, kg/(m·s3) |
| k | Turbulent kinetic energy, m2/s2 |
| pn | Leakage location |
| Sk | Source terms, kg/(m·s3) |
| Sε | Source terms, kg/(m·s3) |
| t | Time, s |
| T | Specific time point |
| ui | Time-averaged velocity, m/s |
| u | Velocity vector, m/s |
| vih | The h-th neuron of the hidden layer |
| whj | The j-th neuron of the output layer |
| xi | Original data |
| YM | Dissipation term due to turbulent fluctuations, kg/(m·s3) |
| zi | Standardized data |
| αh | Input of the h-th neuron in the hidden layer |
| βj | Input of the j-th neuron in the output layer |
| ε | Turbulent dissipation rate, m2/s3 |
| μt | Turbulent viscosity, Pa·s |
| μi | Mean of the feature in the training dataset |
| ρ | Density, kg/m3 |
| σi | Standard deviation of the feature in the training dataset |
References
- Energy Institute. Statistical Review of World Energy [EB/OL]. 2023. Available online: https://www.energyinst.org/statistical-review (accessed on 25 December 2023).
- Liu, W.; McKibbin, W.J.; Morris, A.C.; Wilcoxen, P.J. Global economic and environmental outcomes of the Paris Agreement. Energy Econ. 2020, 90, 104838. [Google Scholar] [CrossRef]
- Bellard, C.; Bertelsmeier, C.; Leadley, P.; Thuiller, W.; Courchamp, F. Impacts of climate change on the future of biodiversity. Ecol. Lett. 2012, 15, 365–377. [Google Scholar] [CrossRef]
- Li, X.; Ye, T.; Meng, X.; He, D.; Li, L.; Song, K.; Jiang, J.; Sun, C. Advances in the Application of Sulfonated Poly (Ether Ether Ketone) (SPEEK) and Its Organic Composite Membranes for Proton Exchange Membrane Fuel Cells (PEMFCs). Polymers 2024, 16, 2840. [Google Scholar] [CrossRef] [PubMed]
- Fang, D.; Yu, T.; Xie, Q. Discussion about the planning development mode of hydrogen fuelling stations in urban areas of China. Energy Conserv. 2019, 2, 122–123. [Google Scholar]
- Li, X.; Xu, J.; Zhou, Y. Technical scheme of skid mounted hydrogen refueling unit. Nat. Gas Chem. Ind. 2019, 44, 61–64. [Google Scholar]
- Møller, K.T.; Jensen, T.R.; Akiba, E.; Li, H.W. Hydrogen—A sustainable energy carrier. Prog. Nat. Sci. Mater. Int. 2017, 27, 34–40. [Google Scholar] [CrossRef]
- Abdalla, A.M.; Hossain, S.; Nisfindy, O.B.; Azad, A.T.; Dawood, M.; Azad, A.K. Hydrogen production, storage, transportation and key challenges with applications: A review. Energy Convers. Manag. 2018, 165, 602–627. [Google Scholar] [CrossRef]
- Abdin, Z.; Zafaranloo, A.; Rafiee, A.; Mérida, W.; Lipiński, W.; Khalilpour, K.R. Hydrogen as an energy vector. Renew. Sustain. Energy Rev. 2020, 120. [Google Scholar] [CrossRef]
- Aljameel, S.S.; Alomari, D.M.; Alismail, S.; Khawaher, F.; Alkhudhair, A.A.; Aljubran, F.; Alzannan, R.M. An anomaly detection model for oil and gas pipelines using machine learning. Computation 2022, 10, 138. [Google Scholar] [CrossRef]
- Tang, W.; Zhang, G.; Gu, F.; Tang, X. A Mobile Robot Based Monitoring Platform for Pipeline Leakage Diagnosis Based on Cross-correlation Analysis. In Proceedings of the International Conference on Maintenance Engineering, Zhuhai, China, 23–25 October 2020; Springer International Publishing: Cham, Switzerland, 2020; pp. 477–489. [Google Scholar]
- Se, H.; Song, K.; Sun, C.; Jiang, J.; Liu, H.; Wang, B.; Wang, X.; Zhang, W.; Liu, J. Online drift compensation framework based on active learning for gas classification and concentration prediction. Sens. Actuators B Chem. 2024, 398, 134716. [Google Scholar] [CrossRef]
- Nooralishahi, P.; López, F.; Maldague, X. A drone-enabled approach for gas leak detection using optical flow analysis. Appl. Sci. 2021, 11, 1412. [Google Scholar] [CrossRef]
- Meribout, M.; Khezzar, L.; Azzi, A.; Ghendour, N. Leak detection systems in oil and gas fields: Present trends and future prospects. Flow Meas. Instrum. 2020, 75, 101772. [Google Scholar] [CrossRef]
- Shi, J.; Xie, W.; Li, J.; Zhang, X.; Huang, X.; Usmani, A.S.; Chen, G. Real-time plume tracking using transfer learning approach. Comput. Chem. Eng. 2023, 172, 108172. [Google Scholar] [CrossRef]
- Shi, J.; Zhang, H.; Li, J.; Xie, W.; Zhao, W.; Usmani, A.S.; Chen, G. Real-time natural gas explosion modeling of offshore platforms by using deep learning probability approach. Ocean Eng. 2023, 276, 114244. [Google Scholar] [CrossRef]
- Grimes, C.A.; Ong, K.G.; Varghese, O.K.; Yang, X.; Mor, G.; Paulose, M.; Mason, A.J. A sentinel sensor network for hydrogen sensing. Sensors 2003, 3, 69–82. [Google Scholar] [CrossRef]
- Subani, N.; Amin, N.; Agaie, B.G. Hydrogen-natural gas mixture leak detection using reduced order modelling. Appl. Comput. Math. 2015, 4, 10. [Google Scholar] [CrossRef]
- Zhao, M.; Huang, T.; Liu, C.; Chen, M.; Ji, S.; Christopher, D.M.; Li, X. Leak localization using distributed sensors and machine learning for hydrogen releases from a fuel cell vehicle in a parking garage. Int. J. Hydrogen Energy 2021, 46, 1420–1433. [Google Scholar] [CrossRef]
- Liu, S.; He, R. Optimized model-based diagnosis approach for hydrogen leakage in hydrogen supply system of fuel cell truck. Int. J. Energy Res. 2022, 46, 17720–17725. [Google Scholar] [CrossRef]
- Bi, Y.; Wu, Q.; Wang, S.; Shi, J.; Cong, H.; Ye, L.; Bi, M. Hydrogen leakage location prediction at hydrogen refueling stations based on deep learning. Energy 2023, 284, 129361. [Google Scholar] [CrossRef]
- Yang, G.; Kong, D.; He, X.; Yu, X.; Jiang, K. Prediction of hydrogen leakage location and intensity in hydrogen refueling stations based on deep learning. Int. J. Hydrogen Energy 2024, 68, 209–220. [Google Scholar] [CrossRef]
- Wang, S.; Bi, Y.; Shi, J.; Wu, Q.; Zhang, C.; Huang, S.; Bi, M. Deep learning-based hydrogen leakage localization prediction considering sensor layout optimization in hydrogen refueling stations. Process Saf. Environ. Prot. 2024. [Google Scholar] [CrossRef]
- Zhou, J.; Zhang, J.; Zhang, J.; Yi, F.; Wang, X.; Sun, Y.; Wu, G. Hydrogen leakage source positioning method in deep belief network based on fully confined space Gaussian distribution model. Int. J. Hydrogen Energy 2024, 63, 435–445. [Google Scholar] [CrossRef]
- Hajji, Y.; Jouini, B.; Bouteraa, M.; Elcafsi, A.; Belghith, A.; Bournot, P. Numerical study of hydrogen release accidents in a residential garage. Int. J. Hydrogen Energy 2015, 40, 9747–9759. [Google Scholar] [CrossRef]
- Mhatre, M.S.; Siddiqui, F.; Dongre, M.; Thakur, P. A Review paper on Artificial Neural Networks: A Prediction Technique. Int. J. Sci. Eng. Res. 2017, 8, 161–163. [Google Scholar]
- McCulloch, W.S.; Pitts, W. A logical calculus of the ideas immanent in nervous activity. Bull. Math. Biophys. 1943, 5, 115–133. [Google Scholar] [CrossRef]
- Pitts, W.M.; Yang, J.C.; Blais, M.; Joyce, A. Dispersion and burning behavior of hydrogen released in a full-scale residential garage in the presence and absence of conventional automobiles. Int. J. Hydrogen Energy 2012, 37, 17457–17469. [Google Scholar] [CrossRef]

















| Serial Number | X (m) | Y (m) | Z (m) | Label |
|---|---|---|---|---|
| L1 | 2.54 | 0.70 | 1.30 | 0 |
| L2 | 3.02 | 0.70 | 1.66 | 1 |
| L3 | 3.02 | 0.70 | 0.70 | 2 |
| L4 | 3.02 | 0.35 | 1.30 | 3 |
| L5 | 3.02 | 1.05 | 1.30 | 4 |
| S1 | 0.01 | 0.01 | 0.01 | \ |
| S2 | 0.01 | 2.49 | 0.01 | \ |
| S3 | 0.01 | 0.01 | 2.99 | \ |
| S4 | 0.01 | 2.49 | 2.99 | \ |
| S5 | 4.99 | 0.01 | 0.01 | \ |
| S6 | 4.99 | 2.49 | 0.01 | \ |
| S7 | 4.99 | 0.01 | 2.99 | \ |
| S8 | 4.99 | 2.49 | 2.99 | \ |
| S9 | 2.50 | 0.01 | 2.90 | \ |
| S10 | 2.50 | 2.49 | 2.90 | \ |
| Hyperparameter | Value |
|---|---|
| Learning rate | 0.0001 |
| Batch size | 32 |
| k-fold cross-validation | 10 |
| Classifier | Softmax |
| Optimizer | Adam |
| Training epochs | 1500 |
Disclaimer/Publisher’s Note: The statements, opinions and data contained in all publications are solely those of the individual author(s) and contributor(s) and not of MDPI and/or the editor(s). MDPI and/or the editor(s) disclaim responsibility for any injury to people or property resulting from any ideas, methods, instructions or products referred to in the content. |
© 2025 by the authors. Licensee MDPI, Basel, Switzerland. This article is an open access article distributed under the terms and conditions of the Creative Commons Attribution (CC BY) license (https://creativecommons.org/licenses/by/4.0/).
Share and Cite
Zhang, L.; Wu, Q.; Liu, M.; Chen, H.; Wang, D.; Li, X.; Ba, Q. Hydrogen Leakage Location Prediction in a Fuel Cell System of Skid-Mounted Hydrogen Refueling Stations. Energies 2025, 18, 228. https://doi.org/10.3390/en18020228
Zhang L, Wu Q, Liu M, Chen H, Wang D, Li X, Ba Q. Hydrogen Leakage Location Prediction in a Fuel Cell System of Skid-Mounted Hydrogen Refueling Stations. Energies. 2025; 18(2):228. https://doi.org/10.3390/en18020228
Chicago/Turabian StyleZhang, Leiqi, Qiliang Wu, Min Liu, Hao Chen, Dianji Wang, Xuefang Li, and Qingxin Ba. 2025. "Hydrogen Leakage Location Prediction in a Fuel Cell System of Skid-Mounted Hydrogen Refueling Stations" Energies 18, no. 2: 228. https://doi.org/10.3390/en18020228
APA StyleZhang, L., Wu, Q., Liu, M., Chen, H., Wang, D., Li, X., & Ba, Q. (2025). Hydrogen Leakage Location Prediction in a Fuel Cell System of Skid-Mounted Hydrogen Refueling Stations. Energies, 18(2), 228. https://doi.org/10.3390/en18020228

