Abstract
To resolve the issue of state of charge (SOC) inconsistency among energy storage units under traditional equal-power allocation strategies, this paper proposes a multi-unit SOC balancing control strategy based on battery life degradation characteristics. Prior to system operation, the proposed strategy optimizes power distribution according to each unit’s state of health (SOH) and predefined depth of discharge (DOD), ensuring SOC balance at the end of each charge–discharge cycle. Simulation and experimental results demonstrate that, compared with traditional equal-power distribution control, the proposed strategy significantly improves capacity utilization and extends the overall system lifetime. For instance, in Simulation Scenario 1, the available capacity per cycle is increased by 8.14%, and the overall system lifetime is prolonged by 11.04%. Furthermore, the strategy eliminates the need for dynamic power redistribution, thus reducing communication overheads and effectively meeting engineering requirements for SOC balancing. This research provides valuable insights for the safe and economical operation of energy storage power stations.
1. Introduction
With the rapid expansion of renewable energy, electrochemical energy storage has emerged as a key technology in modern power systems due to its advantages, including high energy density, efficient energy conversion, environmental friendliness, and adaptability to diverse application scenarios [1]. It plays an increasingly vital role in shaping the new power system, significantly influencing its development trajectory [2,3]. However, in practical applications, electrochemical energy storage systems face several challenges [4], with inconsistency among storage units being particularly prominent. This issue frequently results in disparities in the SOC across different storage units [5,6]. Such imbalances not only degrade the overall performance of the energy storage system but can also lead to overcharging or overdischarging of individual battery cells, thereby accelerating system aging, reducing lifespan, and even posing safety risks [7,8]. Therefore, effectively addressing the SOC balancing problem in energy storage systems is of critical importance for ensuring their safe, reliable, and efficient operation.
To achieve SOC balancing control in energy storage systems, many researchers have dynamically adjusted power distribution by combining droop coefficients with storage-unit current and SOC [9,10,11]. For instance, reference [9] proposed an adaptive droop-control strategy based on SOC and line impedance, effectively reducing DC bus voltage deviations while achieving SOC balancing. Additionally, several researchers have focused on achieving SOC balancing through improvements in circuit topology. Reference [12] employed closed-loop flyback converters to transfer energy from higher-energy batteries to lower-energy ones, thus achieving SOC equilibrium among battery packs. Reference [13] introduced a two-stage, non-dissipative balancing circuit, utilizing Metal-Oxide-Semiconductor Field-Effect Transistor (MOSFET) switches to transfer energy between adjacent modules, effectively moving energy from modules with higher SOC to those with lower SOC, thereby balancing SOC across battery packs.
In terms of Internet of Things (IoT)-based strategies, reference [14] employed hierarchical control and communication architectures to achieve SOC balancing among multiple microgrids. However, this approach resulted in relatively high communication overheads. To address this issue, references [15,16] introduced event-triggered controllers, activating communication only when frequency deviations or SOC differences became significant, thereby reducing communication overheads. Additionally, reference [17] proposed a communication-free control method, incorporating capacitors into the microgrid to correct DC-bus voltage deviations. This enabled all storage units to dynamically adjust their output currents according to SOC, AC signal frequency, and unit capacity, simultaneously stabilizing DC-bus voltage and achieving SOC balancing.
In the area of consensus and intelligent algorithms, reference [18] employed a consensus-tracking algorithm to allocate power, allowing batteries with higher SOC to discharge more energy, thereby achieving SOC balancing. Reference [19] developed an SOC balancing control strategy based on an intelligent leader unit, which adjusts the charging and discharging currents of each storage unit according to its SOC error to reach equilibrium. Reference [20] proposed a distributed battery energy storage coordination control strategy based on SOC balancing. By integrating multi-agent algorithms with model predictive control (MPC) optimization, this approach enhances convergence speed and enables adaptive power command allocation, thereby achieving dynamic SOC balancing.
In efforts to reduce system energy losses, reference [21] proposed a bi-level power distribution strategy for battery energy storage stations that simultaneously considers energy efficiency and SOC balancing. A multi-objective optimization model was established to minimize overall energy consumption while maximizing SOC uniformity. This strategy effectively reduces station-level energy losses while achieving a high degree of SOC balancing. In [22], an optimization method was proposed that accounts for both converter losses and line losses. By optimizing the power distribution of each energy storage unit, this approach ensures that SOC deviations among the units remain within a reasonable range. As a result, it enhances the overall system efficiency while maintaining SOC balance across the energy storage system.
Despite the progress made in SOC balancing control for energy storage systems, several challenges remain:
- (a)
- Existing methods lack integrated analysis of battery life factors (SOH, DOD) on aging and power output.
- (b)
- Most strategies require dynamic power redistribution, increasing system complexity and communication load.
To address these shortcomings, this paper proposes a multi-energy storage unit SOC balancing control strategy based on battery life variation patterns. The key advantages of the proposed strategy are as follows:
- (a)
- Optimized power distribution considering battery lifespan factors. The strategy optimizes the power distribution of each energy storage unit by accounting for the interaction between the energy storage system and the grid, incorporating charging/discharging current, DOD, and SOH.
- (b)
- Grid harmonic constraints considered. When setting the lower power limit of the energy storage units, the grid’s harmonic content requirements are also considered. This ensures that SOC balancing is achieved without violating harmonic constraints, thereby enhancing the system’s overall performance.
- (c)
- Simplified control logic and reduced communication overheads. Unlike traditional methods, the proposed strategy does not require dynamic power redistribution during operation. Instead, the power allocation is determined in advance, simplifying system control logic, reducing communication overheads, and improving its engineering practicality.
- (d)
- Enhanced capacity utilization and extended system lifespan. Compared with traditional equal-distribution control strategies, the proposed SOC balancing strategy significantly improves the capacity utilization rate of the energy storage system and extends its overall service life.
In summary, a comparison between the proposed strategy and existing SOC balancing methods is presented in Table 1. The remainder of this paper is organized as follows. Section 2 introduces the interaction analysis between the energy storage system and the grid, including system structure analysis and battery lifespan variation analysis. Section 3 proposes a multi-energy storage unit SOC balancing control strategy based on battery lifespan variations. Section 4 and Section 5 validate the effectiveness and feasibility of the proposed strategy through simulations and experimental platforms, respectively. Section 6 concludes the paper and presents the findings.
Table 1.
Comparison of the proposed strategy with existing SOC balancing methods.
2. System Analysis
2.1. Analysis of Grid-Connected Structure of Energy Storage Systems
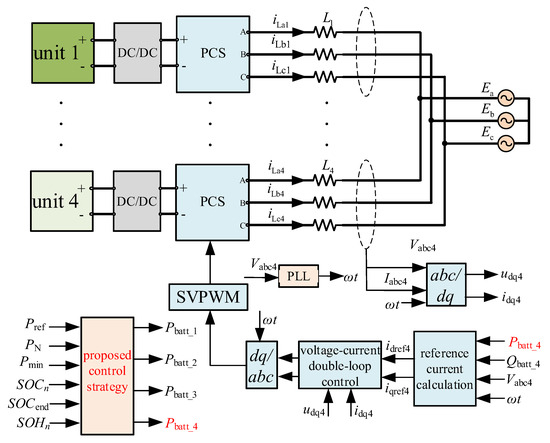
The common grid-connected topology of energy storage systems is shown in Figure 1. Each energy storage unit is connected to a bidirectional DC/DC converter, which then connects to the Power Conversion System (PCS). After passing through a filter, the system is connected to the grid, enabling energy transfer between the storage battery and the power grid.
Figure 1.
Energy storage system grid connection topology.
As shown in Figure 1, each PCS in the energy storage system operates independently without a shared DC bus, thereby eliminating zero-sequence current loops [23]. Consequently, when the PCS units output different power levels, there are no zero-sequence circulating currents between them. This configuration provides a foundation for optimizing power distribution among the energy storage units. Therefore, when the energy storage system meets the grid-connected power reference value (Pref), the power distribution among the PCS units can be optimized by incorporating both SOH and the operational metrics (SOC and DOD) of each storage unit, which in turn improves the safety and economic operation of the energy storage system.
2.2. Analysis of Battery Characteristics
In empirical models of lithium-ion batteries, the Shepherd model is known for its high accuracy and ease of analysis [24]. However, it has limitations in describing the aging degradation of lithium-ion batteries. To address this, Simulink, in conjunction with the work in [25], has been used to enhance the Shepherd model, resulting in a new lithium-ion battery charge and discharge model [26]. This model has been validated using Panasonic lithium-ion batteries, with experimental results showing that the maximum error in charge and discharge dynamics is 5% [26].
The lithium-ion battery lifespan expressions in the model are shown in Equations (1)–(5).
where QAge is the number of battery aging cycles, QAge(0) is the initial number of aging cycles, new battery QAge(0) = 0; ε(n) is the battery aging factor; N1 is the maximum number of cycles of the battery at the rated charge/discharge current and 100% depth of discharge. i = 1, 2, 3, …∞ when the battery changes from charging to discharging or from discharging to charging, i is incremented by 1; RBOL is the battery’s internal resistance, at the beginning of life (BOL) and at nominal ambient temperature, REOL is the battery’s internal resistance, at the end of life (EOL) and at nominal ambient temperature, in Ω; Q is the battery’s maximum capacity, QBOL is the battery’s maximum capacity, at the BOL and at nominal ambient temperature, QEOL is the battery’s maximum capacity, at the EOL and at nominal ambient temperature, in Ah; N(i) is the maximum number of cycles; H is the cycle number constant; ξ is the exponent factor for the DOD; φ is the Arrhenius rate constant for the cycle number; Tref is the nominal ambient temperature, in K; Ta is the ambient temperature, in K; Idis_ave is the average discharge current, in A; Ich_ave is the average charge current, in A;. γ1 is the exponent factor for the discharge current. γ2 is the exponent factor for the charge current.
In the above model, the DOD is directly related to the SOC, which is calculated using the ampere-hour integration method, as expressed below.
where SOC0 represents the initial state of charge of the battery; Qmax is the maximum capacity of the battery; and I is the charging/discharging current of the battery.
Further expanding Equation (6), the relationship between DOD and SOH is given by Equation (7).
where SOCend represents the state of charge of the battery at the end of charging or discharging.
where Ct is the current available capacity, and Cnom is the nominal capacity.
From Equation (7), it can be seen that when each energy storage unit is charged or discharged with the same current over the same period (consuming the same capacity), DOD increases as SOH decreases. For instance, when 0.8 QBol is consumed, the DOD for a battery with an initial SOH of 100% is 80%, while for a battery with an SOH of 80%, the DOD reaches 100%.
In Simulink, a 12.8 V-40 Ah LiFePO4 battery is selected as the subject of study. The aging patterns of QAge, R, and Q are similar, and taking QAge as an example, the relevant parameters [26] are substituted into Equation (1) for analysis. When the rated battery capacity is consumed at different DOD, the simulation results, shown in Figure 2a, reveal that with the same charge/discharge current, the battery’s aging rate accelerates non-linearly as DOD increases. For example, when the DOD is 100% and 10%, respectively, while both batteries consume the rated capacity, the difference in aging rate is approximately (0.7007 − 0.279)/0.7007 = 60.18%. When DOD is the same, the aging rate of the battery accelerates non-linearly with the increase in charge/discharge current. For instance, when the charge/discharge current is 40 A and 10 A, and both batteries have a DOD of 100%, the difference in aging rate is approximately (0.7007 − 0.4119)/0.7007 = 41.22%.
Figure 2.
Battery lifespan variation diagram. (a) impact of DOD and current on battery lifespan; (b) impact of SOH and current on battery lifespan.
By combining Equation (7) with Equations (1)–(5), the aging conditions under different SOH and charge/discharge currents are obtained, as shown in Figure 2b. It can be observed that when the charge/discharge current is the same, the aging rate of the battery increases as the SOH decreases, meaning that batteries with higher aging levels deteriorate faster. For example, when SOH is 80% and 100%, and both batteries consume the rated capacity, the difference in aging rate is approximately (0.6766 − 0.495)/0.6766 = 26.87%.
In summary, when energy storage units with varying aging levels operate in parallel, the SOC of each unit is closely related to its SOH and the charge/discharge current. This relationship provides a basis for controlling SOC balancing and extending the lifespan of each energy storage unit.
2.3. Experimental Validation of Battery Characteristics
Due to the limited resources of the experimental platform, the battery test platform is specifically designed for LiNiMnCoO2 batteries, as shown in Figure 3a. It meets the basic characteristics and testing requirements of lithium-ion batteries [27]. Various charge/discharge currents can be set during battery testing, as shown in Figure 3b. Therefore, this platform can be used to verify the effects of different charge/discharge currents, DOD, and SOH on battery lifespan. During the Reference Performance Test (RPT) of the battery, the maximum capacity of the battery is measured through constant current–constant voltage charging, with the constant current set at the C/25 rate, and the cutoff current for constant voltage charging set to 0.0001 mA. Some parameters of the experimental equipment are listed in Table 2.
Figure 3.
Testing platform. (a) Battery test platform; (b) adjustable charge/discharge currents.
Table 2.
Experimental equipment part of the parameters.
- (1)
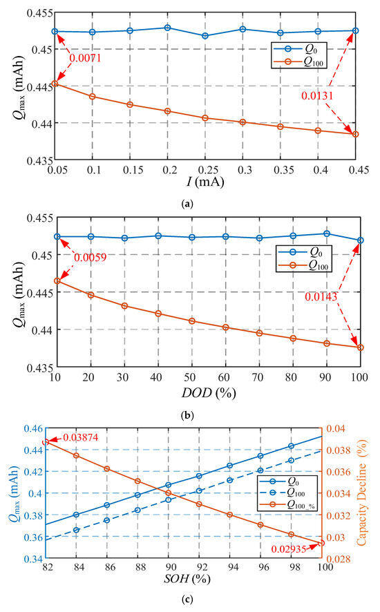
- Impact of Current on Battery Aging
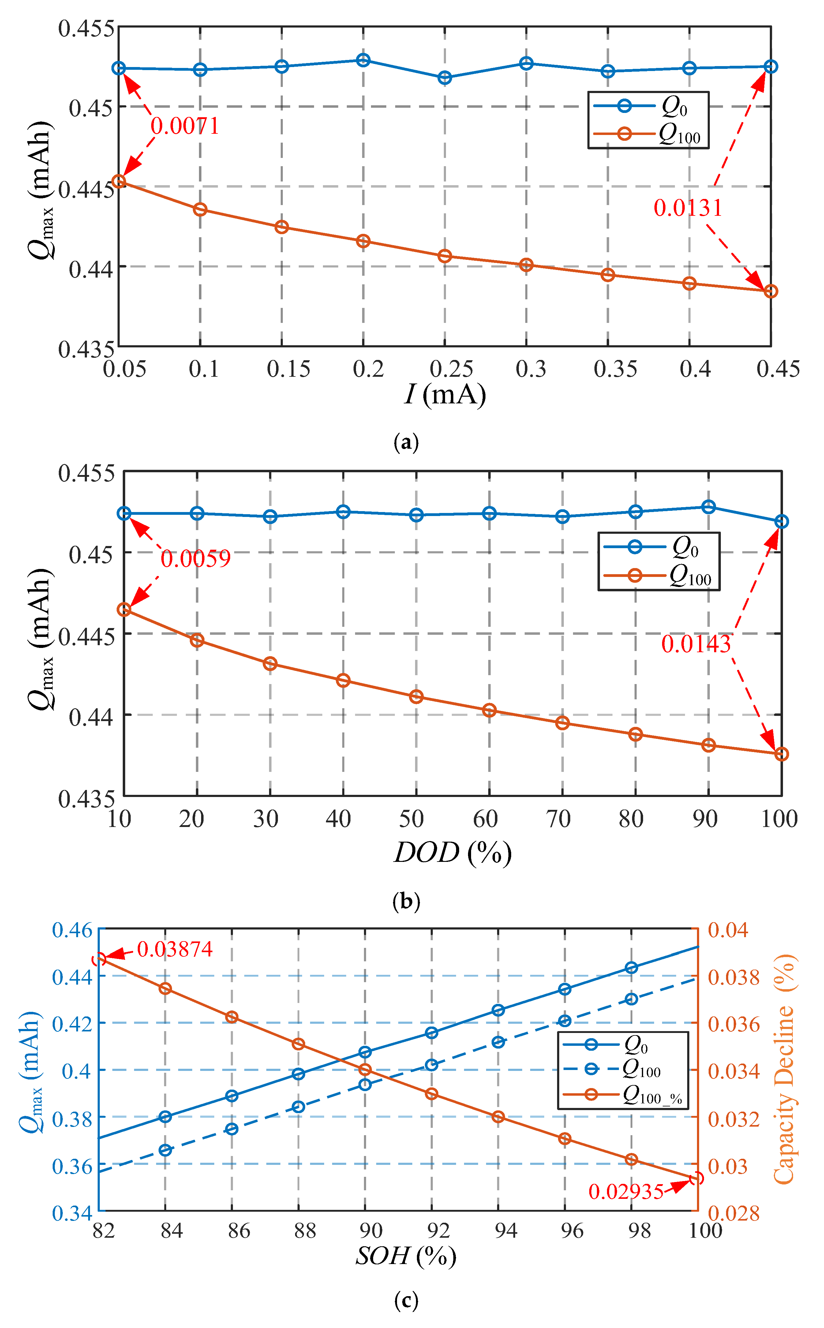
Nine new batteries with similar capacity differences were selected, and the DOD was set to 80%. Nine different battery current sets were designed, with current values increasing from 0.05 mA to 0.45 mA. After conducting 100 charge and discharge cycles on these nine batteries, RPT was performed. The maximum capacity change is shown in Figure 4a. The battery capacity degradation accelerates non-linearly as the charge and discharge current increases. Compared to a battery with a charge/discharge current of 0.05 mA, the battery with a current of 0.45 mA experiences a degradation rate difference of approximately (0.0131 − 0.0071)/0.0131 = 45.8%.
Figure 4.
Battery lifespan variation diagram. (a) Impact of different currents on battery aging; (b) impact of different DOD on battery aging; (c) impact of different SOH on battery aging.
- (2)
- Impact of DOD on Battery Aging
Nine new batteries with similar capacities were selected. The charge/discharge current was 0.4 mA, and different DOD were applied to the 10 batteries. After each battery consumed 100 cycles at 80% of its rated capacity, RPT tests were conducted. The aging results are shown in Figure 4b. The capacity degradation of the battery accelerates non-linearly as DOD increases. Comparing batteries with DOD of 100% and 10%, the difference in aging rate is approximately (0.0143 − 0.0059)/0.0143 = 58.75%.
- (3)
- Impact of SOH on Battery Aging
Similarly, ten batteries with different initial SOH values were selected. The charge/discharge current was 0.4 mA, and after consuming 100 cycles at 80% of their rated capacity, RPT tests were conducted. The aging results are shown in Figure 4c. The rate of battery capacity fade accelerates as SOH decreases. Comparing batteries with SOH values of 100% and 82%, the difference in aging rate is approximately (0.03874 − 0.02935)/0.03874 = 24.24%.
As shown in Figure 4, higher charge/discharge currents, DOD, and aging levels all accelerate battery aging. The experimental results are generally consistent with the simulation analysis, providing a basis for optimizing the power distribution of each energy storage unit in the energy storage system.
3. SOC Balancing Control Strategy for Multiple Energy Storage Units
In current engineering applications, many energy storage stations operate in a daily charge–discharge cycle, charging at night and discharging during the day to profit from the peak-valley price difference. During operation, each energy storage unit shares the Pref. Over time, the SOC and SOH of the energy storage units can become inconsistent. For example, the SOC status of each energy storage unit in a certain energy storage station after two years of operation is shown in Figure 5a. It can be seen that there are significant differences in the SOC of the units, which severely impacts the overall capacity utilization of the system. Furthermore, when each energy storage unit outputs the same power, those with higher aging levels will accelerate their aging process, creating a vicious cycle.
Figure 5.
Inconsistency issues and current status of an actual energy storage station. (a) Inconsistent SOC status of an energy storage station; (b) charge/discharge current of energy storage station.
Additionally, the data collection interval for the SOC and current information of the energy storage station mentioned above is 1 min, which is a relatively long interval. This implies that the control strategy proposed to address the SOC inconsistency in the energy storage station must not be overly complex. From the expression of the power output on the DC side of the energy storage system, P = UI, and assuming the DC bus voltage remains constant, the current of the energy storage unit is directly proportional to the output power. If the Pref remains unchanged, the current of each energy storage unit remains constant under constant power. In practical engineering, under power-sharing control, the current in each battery unit is generally constant, as shown by the charge/discharge current of a certain energy storage station under constant power in Figure 5b. Therefore, by adjusting the charge/discharge current of each energy storage unit, SOC balancing and battery life extension can be achieved.
Assuming that the transmission power of the energy storage unit is proportional to the charge/discharge current, i.e., P = KI, where K is the constant of proportionality between them, and combining with Equation (7), the time consumed during the charge/discharge process can be expressed as shown in Equation (9).
To achieve SOC balancing for each energy storage unit, the power distribution of the units can be adjusted such that the charging/discharging times of all units are the same. This ensures SOC balancing across the units, as shown in Equation (10).
In Equation (10), let the variable kn = K|SOCend − SOC0n|SOHnQBol, then Equation (10) simplifies to the following form.
At the same time, the power of each energy storage unit also satisfies the following relationship.
By solving Equations (11) and (12) simultaneously, the power distribution of each energy storage unit when SOC balancing is achieved can be obtained as shown in Equation (13).
The proposed power allocation control strategy requires only each storage unit’s initial SOC and SOH, together with the system’s grid-connected power command as inputs and produces the individual unit power allocations (see Equation (13)) as outputs. The computation relies solely on the arithmetic operations defined in Equation (13), without any iterative solvers or complex optimization routines, resulting in negligible computational overheads that can run in real time on standard simulation platforms or controllers. No additional large-scale datasets are necessary—only the aforementioned inputs are needed to perform the allocation calculations—making the strategy easy to deploy and scale in engineering practice.
The power upper limit of the energy storage unit is set to the rated power of the PCS. For the power lower limit, according to the Total Harmonic Distortion (THD) expression in Equation (14), it can be seen that when the transmission power is small, the harmonic content on the AC side increases. For example, when simulating an energy storage system with a rated power of 15 kW, the variation of grid-connected THD under different output power levels is shown in Figure 6.
where I1rms is the root mean square (RMS) value of the current fundamental component; Inrms is the RMS value of the current n-th harmonic; U1rms is the RMS value of the voltage fundamental component; and P1rms is the RMS value of the power fundamental component.
Figure 6.
Variation of THD under different output power levels.
To ensure that the THD of the grid-connected current is less than 5%, and based on Figure 6 and reference [28], this study sets the lower limit of the PCS transmission power to be 40% of the rated power. This ensures that the THD of the energy storage system meets the requirements of the national grid connection standard GB/T 14549 [29].
4. Simulation Validation
In the simulation model, four PCS units are used to control the power distribution of the energy storage system. The control strategy is illustrated in Figure 7. The simulation employs a 12.8 V-40 Ah lithium iron phosphate battery, with Pref set to 50 kW. Some simulation parameters are listed in Table 3.
Figure 7.
Schematic of the balance control strategy.
Table 3.
Partial simulation parameters.
However, the above simulation model involves a large amount of data, making it difficult to run for long periods. Therefore, a battery charge/discharge model was designed, where the current corresponding to the rated power of the energy storage unit (15 kW) is set to the rated current of the 12.8 V-40 Ah lithium iron phosphate battery (40 A) to simulate the system’s long-term operation.
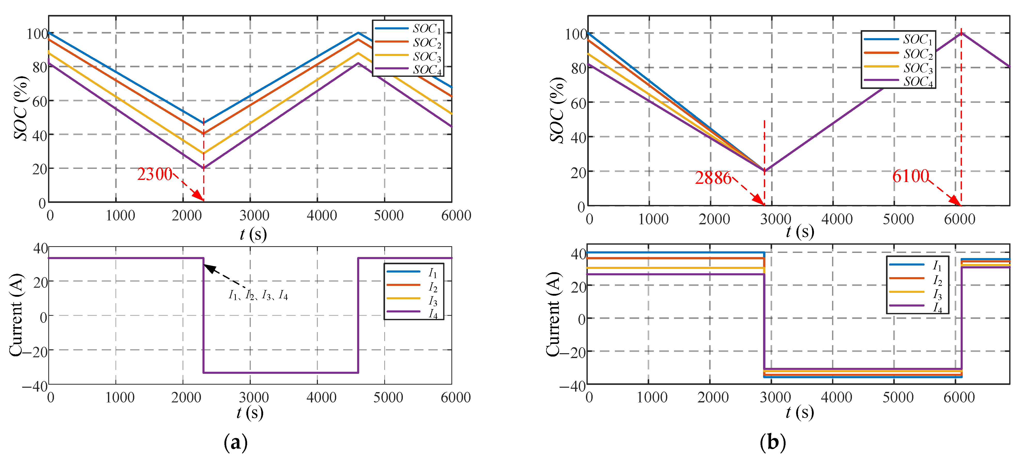
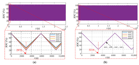
Scenario 1: All energy storage units have the same SOC, with an initial value of 100%. The discharge lower limit is set to 20%, and the charge upper limit is set to 100%. The simulation results are shown below.
Based on Figure 8 and Figure 9, it can be seen that under the traditional power-sharing control strategy, due to the different capacities of energy storage units with varying degrees of aging, even if the initial SOC is balanced, the SOC of the units become inconsistent by the end of operation. The SOC of the units with higher aging decreases faster, resulting in a significant reduction in the capacity utilized during each charge/discharge cycle. The proposed control strategy effectively balances the SOC of the energy storage units. Compared to the traditional power-sharing control strategy, the usable capacity in each charge/discharge cycle is improved by 8.14% ((3214 − 2972)/2972 = 0.0814).
Figure 8.
SOC Variation under different control strategies. (a) SOC variation under traditional strategy; (b) SOC variation under proposed strategy.
Figure 9.
Current variation under different control strategies. (a) Current variation under traditional strategy; (b) current variation under proposed strategy.
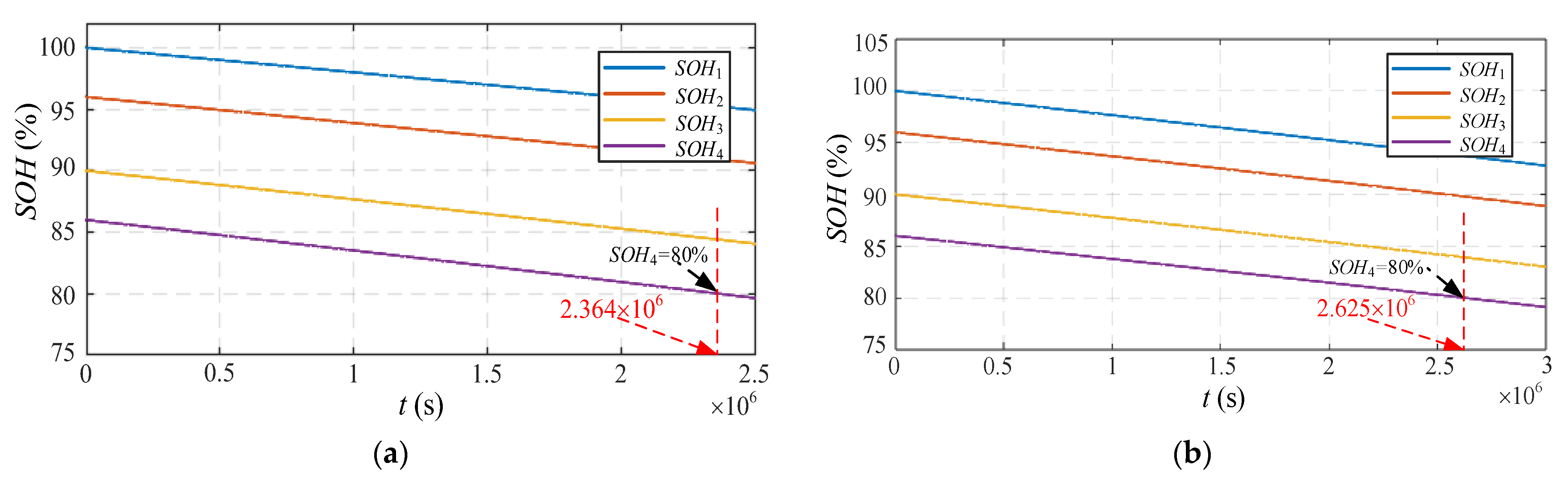
From Figure 10, it can be observed that, because the higher-aged energy storage units take on less power, i.e., their current is reduced, the overall lifespan of the energy storage system is extended. Additionally, when consuming the same capacity, the DOD of the higher-aged units is larger, which accelerates their aging. Compared to the traditional power-sharing control strategy, if the energy storage units are retired when their capacity decays to 80%, the overall system lifetime can be extended by 11.04% ((2.625 − 2.364)/2.364 = 0.1104).
Figure 10.
SOH variation under different control strategies. (a) SOC variation under traditional strategy; (b) SOC variation under proposed strategy.
Scenario 2: The initial SOC of the energy storage units have slight differences, with SOC1 = 100%, SOC2 = 96%, SOC3 = 88%, and SOC4 = 82%. Other settings are the same as in Scenario 1. The simulation results are shown in Figure 11.
Figure 11.
Simulation of strategies with small initial SOC differences. (a) Traditional strategy; (b) proposed strategy.
From Figure 11, it can be seen that under the traditional power-sharing control strategy, there is a significant “wooden barrel effect,” resulting in a low overall capacity utilization of the system. In contrast, the proposed control strategy effectively balances the SOC of the energy storage units, fully utilizing the energy storage system’s capacity. Compared to the traditional power-sharing control strategy, the usable capacity during the first balance is increased by 25.48% ((2886 − 2300)/2300 = 0.2548), and after balancing, the increase in usable capacity is 39.74% ((6100 − 2886 − 2300)/2300 = 0.3974).
Scenario 3: The initial SOC of the energy storage units have a larger difference, with SOC1 = 100%, SOC2 = 88%, SOC3 = 85%, and SOC4 = 50%. There is also over-limit power in some energy storage units. Other settings are the same as in Scenario 1. The simulation results are shown in Figure 12.
Figure 12.
Simulation of strategies with large initial SOC differences. (a) Traditional strategy; (b) proposed strategy.
From Figure 12, it can be observed that when the SOC inconsistency is large, the “wooden barrel effect” is more pronounced under the traditional control strategy. For the proposed control strategy, the power allocated to energy storage unit 1 exceeds the upper limit, causing it to output at rated power, with the excess portion being given to energy storage unit 2. The power allocated to energy storage unit 4 falls below the lower limit, causing it to output at the lower power limit, with the deficit being supplied by energy storage unit 3. As a result, although SOC balancing is not achieved during the first charge and discharge process, SOC balancing is achieved in the subsequent cycles. Compared to the traditional power-sharing control strategy, the usable capacity during the first balance is increased by 103.6% ((2270 − 1115)/1115 = 1.036), after the second balance, the usable capacity is increased by 169.9% ((5279 − 2270 − 1115)/1115 = 1.699), and after complete balancing, the usable capacity is increased by 188.5% ((8496 − 5279 − 1115)/1115 = 1.885).
5. Experimental Validation
The energy storage power station experimental platform is shown in Figure 13. The total system capacity is 200 kWh, consisting of two 100 kWh LiFePO4 battery units. Each unit is controlled by a 50 kW energy storage PCS from MEGAREVO, Shenzhen, China. The PCS supports RS485, Modbus-TCP, and Ethernet communication interfaces and provides real-time voltage and current measurements as well as SOC estimation via an onboard algorithm, with voltage output accuracy of ±1% and SOC estimation error below 3%.
Figure 13.
100 kWh/200 kWh energy storage system test platform.
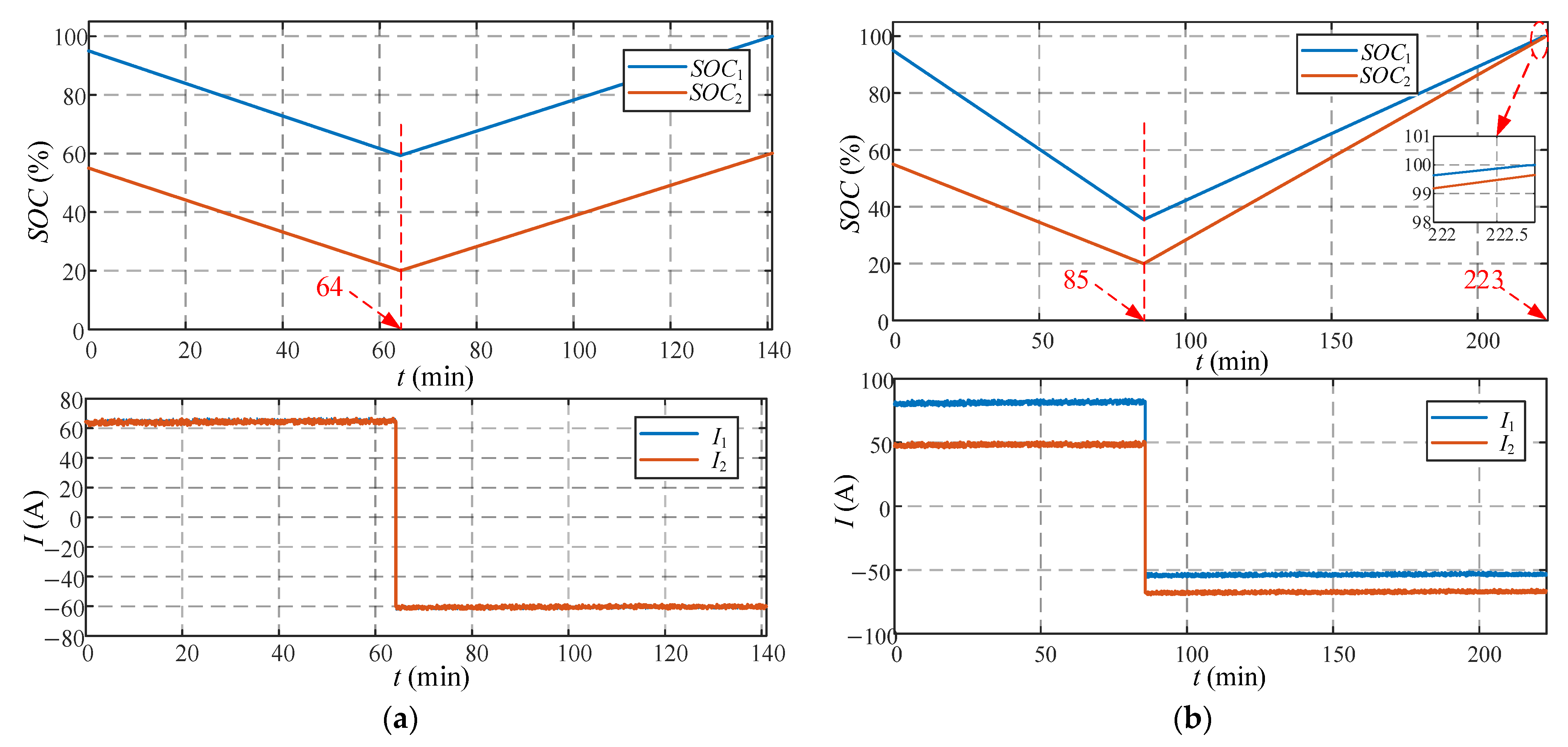
Currently, the platform is unable to accurately calculate the SOH of each energy storage unit. Therefore, before the experiment, each unit was pre-charged and discharged once. The SOC was discharged from 100% to 20% and then charged back to 100%. The data collection time interval for SOC and current was 5 s. The discharge and charge capacities were calculated, yielding the following capacities for each energy storage unit: Q1 = 155.2 Ah and Q2 = 156.8 Ah. Normally, the charge and discharge operations for these two units are consistent, leading to minimal aging differences between them. The transmission power command Pref for the energy storage system was set to 80 kW to verify the effectiveness of the proposed strategy under different initial SOC values.
To evaluate the performance of the proposed control strategy under varying levels of SOC imbalance, the following two representative test scenarios were designed:
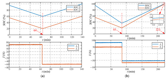
Scenario 1: SOC1 = 95%; SOC2 = 80%. When discharging to 20%, the SOC of both energy storage units achieves balance. The capacities consumed by the two units are Q11 = 75/80 × 155.2 Ah and Q22 = 60/80 × 156.8 Ah. Based on this, the power distribution for the two units is calculated as follows: P1 = Q11/(Q11 + Q22) × Pref = 44.2 kW, P2 = 35.8 kW. The operational status of the energy storage system is shown in Figure 14.
Figure 14.
Experimental conditions of various strategies under small initial SOC differences. (a) Traditional strategy; (b) proposed strategy.
From Figure 14a, it can be seen that the traditional shared control strategy fails to eliminate the SOC inconsistency problem, and the system capacity cannot be fully utilized during each charge and discharge cycle. In contrast, the proposed control strategy is shown in Figure 14b. While there is a slight deviation in SOC at the end of discharge, this is mainly due to the differences in the SOC of the two energy storage units, which also leads to minor voltage differences. However, the overall SOC is effectively balanced at the end of discharge. More importantly, the proposed strategy does not require dynamic power adjustments during charge and discharge, making it suitable for practical engineering applications. Compared to the traditional shared control strategy, the usable capacity during discharge is increased by 10.9% ((122 − 110)/110 = 0.109).
Scenario 2: SOC1 = 95%; SOC2 = 55%. Other conditions are the same as in Scenario 1, and the power distribution for the two energy storage units is: P1 = 54.4 kW, P2 = 25.6 kW. The operational status of the energy storage system is shown in Figure 15.
Figure 15.
Experimental conditions of various strategies under large initial SOC differences. (a) Traditional strategy; (b) proposed strategy.
From Figure 15, it can be observed that when there is a significant initial SOC difference, the traditional shared control strategy still fails to fully utilize the system’s capacity. In contrast, the proposed control strategy greatly reduces the SOC difference between the two energy storage units at the end of the first discharge cycle. By the end of the subsequent charging cycle, the SOC of both units is nearly balanced, further verifying the effectiveness of the proposed strategy. Compared to the traditional shared control strategy, the usable capacity during discharge is increased by 32.8% ((85 − 64)/64 = 0.328), and the usable capacity during subsequent charging is increased by 79.2% ((223 − 85 − (141 − 64))/(141 − 64) = 0.792).
6. Conclusions
Against the backdrop of the large-scale development and application of electrochemical energy storage, the issue of poor SOC consistency among energy storage units in stations is becoming increasingly common. The traditional shared control strategy exacerbates SOC inconsistency, resulting in low system capacity utilization. This paper proposes a multi-energy storage unit SOC balancing control strategy based on battery aging patterns, which has been validated through both simulation and experimental tests. The main conclusions are as follows:
- (1)
- Increasing the battery charge/discharge current, deepening the DOD, and lowering the SOH value all accelerate battery aging, providing a reference for optimizing the power distribution of energy storage units.
- (2)
- The proposed strategy’s power distribution is based on battery aging patterns, with the power lower limit set considering grid-connected harmonic content requirements. It achieves SOC equilibrium at the end of the system’s charge/discharge process by reasonably allocating power before operation, without the need for dynamic power adjustment during operation. Compared with traditional equal-distribution control strategies, it can effectively improve the capacity utilization of the energy storage system and extend the overall service life of the system.
The analyzed lithium-ion battery aging patterns provide valuable references for the safe and economical control strategies of energy storage systems. The proposed SOC balancing control strategy can achieve SOC equilibrium and extend the system’s overall service life by reasonably allocating power before operation, which makes it easy to apply in engineering practice. The main limitation is that the strategy is mainly aimed at long-term operation scenarios, such as peak shaving and valley filling, and may not be suitable for short-term power command variations, such as frequency regulation, and further research on this aspect will be conducted in future studies.
Author Contributions
Conceptualization, G.C. and X.X.; methodology, G.C. and X.X.; software, G.C. and D.L.; validation, G.C., X.X., D.L., T.O., N.L., X.L. and Y.L.; formal analysis, G.C., X.X., D.L. and T.O.; investigation, G.C., X.X., D.L., X.Z. and T.O.; resources, G.C. and X.X.; data curation, G.C., X.Z. and T.O.; writing—original draft preparation, G.C., X.X., D.L. and T.O.; writing—review and editing, G.C., N.W. and X.X.; visualization, G.C. and T.O.; supervision, X.X.; project administration, X.X.; funding acquisition, G.C. and X.X. All authors have read and agreed to the published version of the manuscript.
Funding
This research was funded by the Hunan Provincial Natural Science Foundation, grant number 2025JJ50231; and the Key Scientific Research Project of the Hunan Provincial Department of Education, grant number 22A0230.
Data Availability Statement
The original contributions presented in this study are included in the article. Further inquiries can be directed to the corresponding author.
Conflicts of Interest
Author Ting Ouyang was employed by the company Nanning Power Supply Bureau of Guangxi Power Grid Co., Ltd. The remaining authors declare that the research was conducted in the absence of any commercial or financial relationships that could be construed as a potential conflict of interest.
References
- Wang, X.; Ye, X.; Wei, W.; Wang, Y.; Zhu, T.; Liu, C.; Chen, Y. The Frequency Control Strategy of a Wind–Storage Combined System Considering Battery SOC. Electronics 2023, 12, 3453. [Google Scholar] [CrossRef]
- Kong, Y.; Yuan, L.; Liao, Y.; Shao, Y.; Hao, S.; Huang, Y. Efficient separation and selective Li recycling of spent LiFePO4 cathode. Energy Mater 2023, 3, 300053. [Google Scholar] [CrossRef]
- Guo, F.; Wu, X.; Liu, L.; Ye, J.; Wang, T.; Fu, L.; Wu, Y. Prediction of remaining useful life and state of health of lithium batteries based on time series feature and Savitzky-Golay filter combined with gated recurrent unit neural network. Energy 2023, 270, 126880. [Google Scholar] [CrossRef]
- Liu, G.; Ma, L.; Wang, Y.; Wu, T. Hierarchical equalization scheme for retired lithium-ion battery packs based on inductor-flyback transformer. J. Energy Storage 2024, 100, 113505. [Google Scholar] [CrossRef]
- Guo, L.; Liu, X.; Li, X.; Wang, R.; Ren, H.; Wang, Z.; Sun, Q. A novel adaptive droop-based SoC balancing control strategy for distributed energy storage system in DC microgrid. Int. J. Electr. Power Energy Syst. 2025, 165, 110514. [Google Scholar] [CrossRef]
- Li, X.; He, Y.; Li, M. Control Strategy for Bus Voltage in a Wind–Solar DC Microgrid Incorporating Energy Storage. Electronics 2024, 13, 5018. [Google Scholar] [CrossRef]
- Bhosale, R.; Gupta, R.; Agarwal, V. A Novel Control Strategy to Achieve SOC Balancing for Batteries in a DC Microgrid without Droop Control. IEEE Trans. Ind. Appl. 2021, 57, 4196–4206. [Google Scholar] [CrossRef]
- Cui, J.; Tian, G.; Liu, G.; Wu, Y.; Guo, Z. Research on coordinated control strategy of isolated DC microgrid with PV/hybrid energy storage. Energy Rep. 2022, 8, 893–899. [Google Scholar] [CrossRef]
- Chang, X.; Li, R.; Wang, Y.; Zhai, M.; Cai, J. A Two-Stage SOC Balancing Control Strategy for Distributed Energy Storage Systems in DC Microgrids Based on Improved Droop Control. J. Electr. Eng. Technol. 2024, 19, 3891–3905. [Google Scholar] [CrossRef]
- Mi, Y.; Deng, J.; Yang, X.; Zhao, Y.; Tian, S.; Fu, Y. The novel multiagent distributed SOC balancing strategy for energy storage system in DC microgrid without droop control. Int. J. Electr. Power Energy Syst. 2023, 146, 108716. [Google Scholar] [CrossRef]
- Huang, B.; Zheng, S.; Wang, R.; Wang, H.; Xiao, J.; Wang, P. Distributed Optimal Control of DC Microgrid Considering Balance of Charge State. IEEE Trans. Energy Convers. 2022, 37, 2162–2174. [Google Scholar] [CrossRef]
- Yun, Z.; Qin, W.; Shi, W.; Wu, C. Research on active state of charge balance of battery pack based on two controllable flyback converters. J. Energy Storage 2023, 57, 106183. [Google Scholar] [CrossRef]
- Ding, X.; Zhang, D.; Cheng, J.; Wang, B.; Chai, Y.; Zhao, Z.; Xiong, R.; Luk, P.C.K. A Novel Active Equalization Topology for Series-Connected Lithium-ion Battery Packs. IEEE Trans. Ind. Appl. 2020, 56, 6892–6903. [Google Scholar] [CrossRef]
- Yehia, D.M.; Numair, M.; Mansour, D.-E.A. Novel IoT-Based Droop Control for Battery SoC Balancing among Multiple Microgrids. IEEE Trans. Smart Grid 2024, 15, 1304–1316. [Google Scholar] [CrossRef]
- Yu, C.; Lu, X.; Lai, J.; Chai, L. Distributed frequency restoration and SoC balancing control for AC microgrids. Int. J. Electr. Power Energy Syst. 2022, 136, 107557. [Google Scholar] [CrossRef]
- Yang, T.; Yu, M.; Fang, F. State-of-charge balancing control for battery energy storage system based on event-triggered scheme. Appl. Phys. A Mater. Sci. Process. 2019, 125, 339. [Google Scholar] [CrossRef]
- Eydi, M.; Ghazi, R.; Buygi, M.O. A decentralized control method for proportional current-sharing, voltage restoration, and SOCs balancing of widespread DC microgrids. Int. J. Electr. Power Energy Syst. 2024, 155, 109645. [Google Scholar] [CrossRef]
- Attia, E.M.; Abdelsalam, H.A.; Rashad, E.E.M. Energy management and SoC balancing of distributed batteries in AC microgrids using consensus tracking control. Sustain. Energy Grids Netw. 2024, 38, 101345. [Google Scholar] [CrossRef]
- Zhang, Y.; Liu, Z.; Chen, Z. Smart-Leader-Based Distributed Charging Control of Battery Energy Storage Systems Considering SoC Balance. Batteries 2023, 9, 18. [Google Scholar] [CrossRef]
- Shi, R.; Zhang, X.; Liu, S.; Huang, L.; Liao, S.; Hu, Z. Co-Control Strategy of Distributed Battery Energy Storage System Based on SOC Equalization. Taiyangneng Xuebao/Acta Energiae Solaris Sin. 2023, 44, 546–552. [Google Scholar] [CrossRef]
- Ye, H.; Li, A.; Tian, G.; Xie, J.; Li, Z. Double-layer Power Distribution Strategy for Battery Storage Power Station Considering Energy Efficiency and State-of-charge Balance. Zhongguo Dianji Gongcheng Xuebao/Proc. Chin. Soc. Electr. Eng. 2024, 44, 5185–5195. [Google Scholar] [CrossRef]
- Zhu, X.; Wang, Y.; Cao, D.; Zhang, Y.; Li, Y.; Chen, Z. Optimal Operation of Energy Storage Units with Efficiency Improvement and State of Charge Balance. In Proceedings of the 4th IEEE China International Youth Conference on Electrical Engineering, Chengdu, China, 8–10 December 2023. [Google Scholar]
- Porkia, H.A.; Adabi, J.; Zare, F. Reduction of Zero-Sequence and Differential-Mode Circulating Currents and Common-Mode Voltage in Parallel PWM Converters. IEEE Trans. Ind. Electron. 2023, 70, 4038–4047. [Google Scholar] [CrossRef]
- Tremblay, O.; Dessaint, L.-A. Experimental validation of a battery dynamic model for EV applications. In Proceedings of the 24th International Battery, Hybrid and Fuel Cell Electric Vehicle Symposium and Exhibition 2009, Stavanger, Norway, 13–16 May 2009; pp. 930–939. [Google Scholar]
- Omar, N.; Monem, M.A.; Firouz, Y.; Salminen, J.; Smekens, J.; Hegazy, O.; Gaulous, H.; Mulder, G.; Van den Bossche, P.; Coosemans, T.; et al. Lithium iron phosphate based battery–Assessment of the aging parameters and development of cycle life model. Appl. Energy 2014, 113, 1575–1585. [Google Scholar] [CrossRef]
- SIMULINK: Generic Battery Model. Available online: https://www.mathworks.com/help/releases/R2022a/physmod/sps/powersys/ref/battery.html (accessed on 26 May 2024).
- Motapon, S.N.; Lachance, E.; Dessaint, L.-A.; Al-Haddad, K. A Generic cycle life model for lithium-ion batteries based on fatigue theory and equivalent cycle counting. IEEE Open J. Ind. Electron. Soc. 2020, 1, 207–217. [Google Scholar] [CrossRef]
- Xiangyang, X.; Guiquan, C.; Junxiang, L.; Xiaozhong, W.; Zhiqiang, X. Analysis of the Impact of DC-Side Ripple Current on Lithium-Ion Battery Life in Energy Storage Systems and Optimal Control Strategies. Diangong Jishu Xuebao/Trans. China Electrotech. Soc. 2023, 38, 6218–6229. [Google Scholar] [CrossRef]
- GB/T 14549-1993; Quality of Electric Energy Supply—Harmonics in Public Power Grid. Standardization Administration of China: Beijing, China, 1993.
Disclaimer/Publisher’s Note: The statements, opinions and data contained in all publications are solely those of the individual author(s) and contributor(s) and not of MDPI and/or the editor(s). MDPI and/or the editor(s) disclaim responsibility for any injury to people or property resulting from any ideas, methods, instructions or products referred to in the content. |
© 2025 by the authors. Licensee MDPI, Basel, Switzerland. This article is an open access article distributed under the terms and conditions of the Creative Commons Attribution (CC BY) license (https://creativecommons.org/licenses/by/4.0/).














