Numerical Research on Mitigating Soil Frost Heave Around Gas Pipelines by Utilizing Heat Pipes to Transfer Shallow Geothermal Energy
Abstract
1. Introduction
2. Modeling
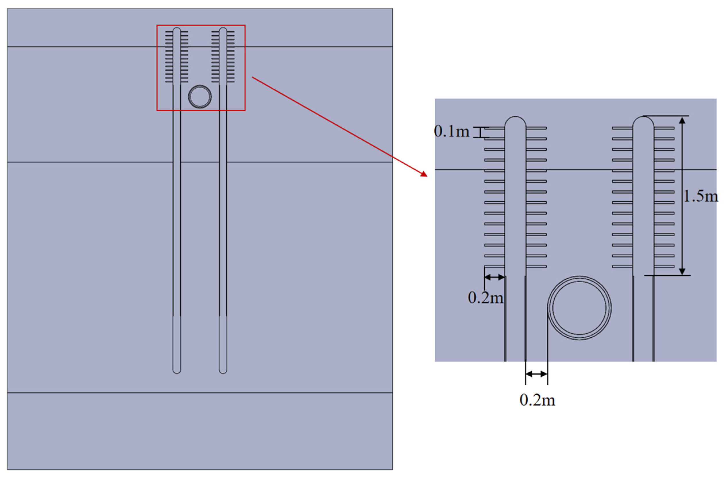
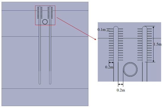
2.1. Geometric Configuration
2.2. Assumptions
- The flow velocity of the working fluid liquid film in the heat pipe is typically low, constrained by the pipe wall, and is generally characterized as being in a laminar flow regime.
- At the macroscopic scale, soil is approximated as an isotropic porous medium with physical properties independent of spatial orientation.
- The particles in the soil are considered as rigid, with negligible volume changes during the freezing process.
- Moisture migration in soil occurs at a sufficiently slow rate, which exerts a negligible impact on the heat transfer process.
- The latent heat effects from ice–water phase change in frozen soil layers are insignificant to the overall heat transfer process.
- Within heat pipes, vapor flow is relatively independent of liquid film flow, so its effect on the liquid film flow is neglected.
- Under normal operating conditions, the vapor is typically in a saturated state, and it is assumed that its temperature distribution is uniform.
2.3. Heat Transfer Process
2.3.1. Heat Transfer Within the Soil
- (a)
- Energy Equation:
- (b)
- Continuity Equation:
- (c)
- Momentum Equations:
2.3.2. Heat Transfer Between the Soil and the Heat Pipes
2.3.3. Heat Transfer Inside the Heat Pipes
- (a)
- Continuity Equation:
- (b)
- Equation for Conservation of Momentum:
- (c)
- Equation for conservation of energy:
2.4. Mesh Partitioning and Independence Testing
3. Results and Discussion
3.1. Setting of the Working Conditions
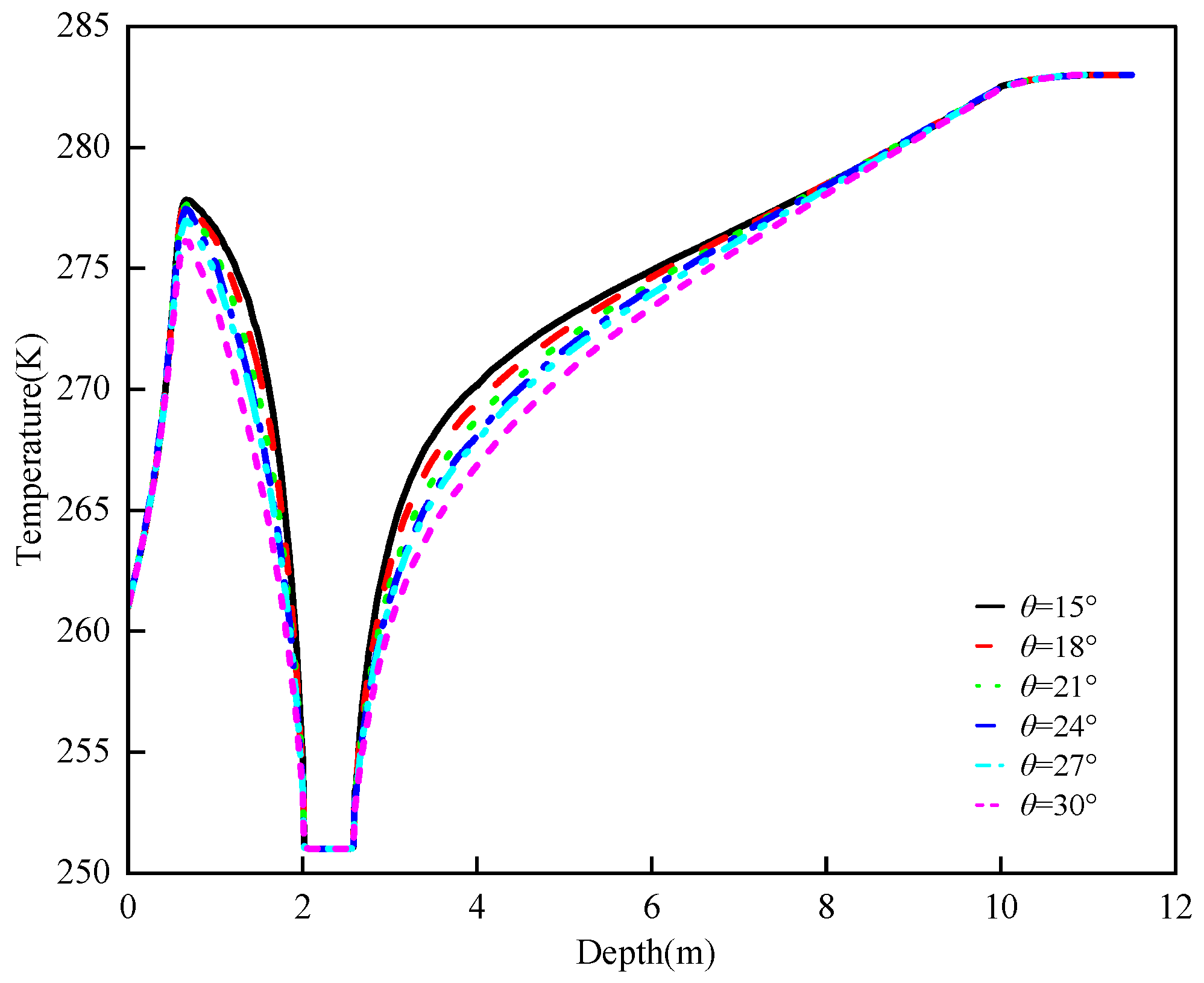
- To see the mitigation effects of the angle between the central axis of the heat pipe and the model centerline (AHPAMC) on the soil frost heave problem, six simulation cases with the AHPAMC ranging from 15° to 30° at 3° increments were conducted.
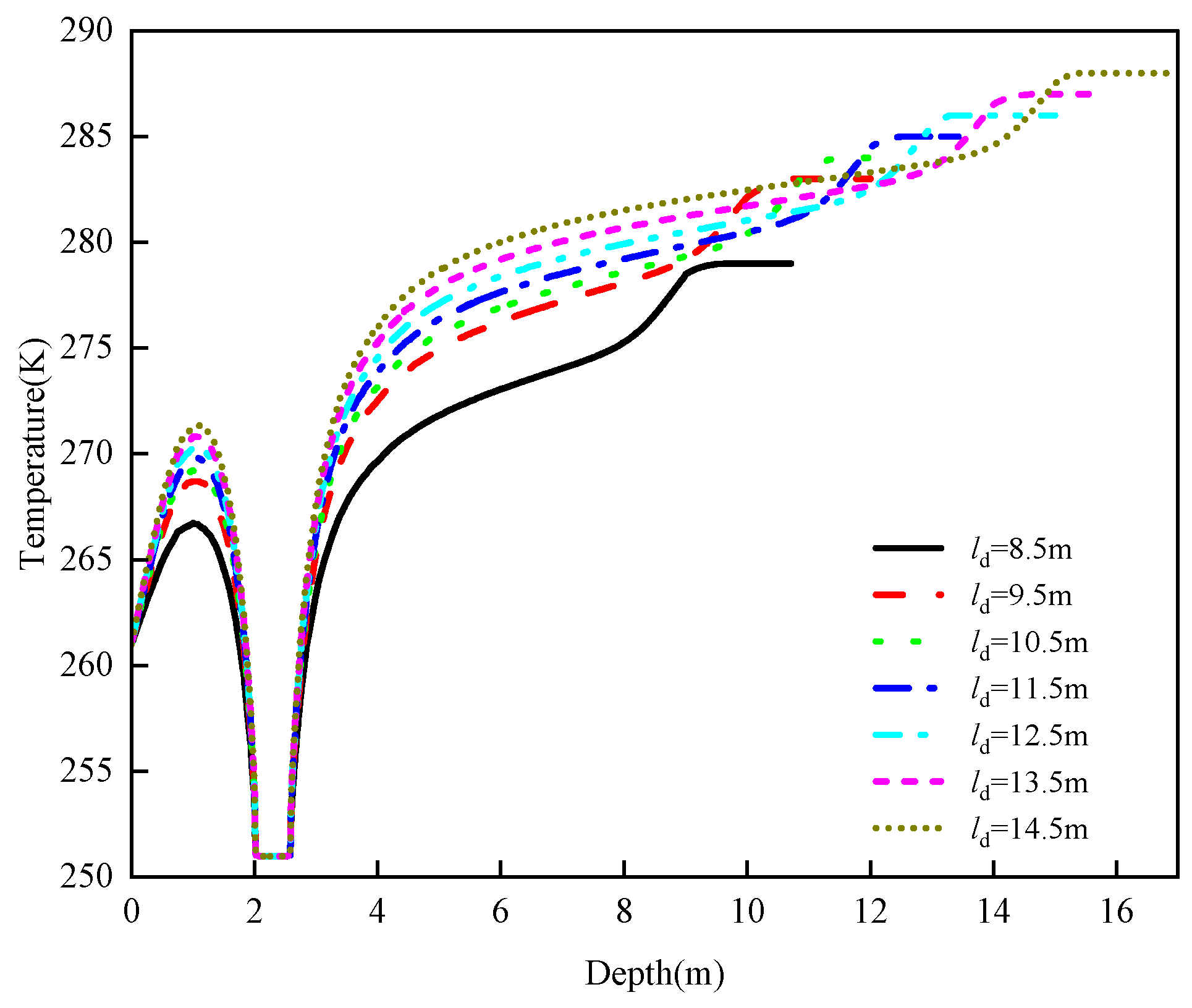
- To explore the mitigation effects of heat source temperatures caused by different heat pipe insertion depths (HPIDs) on the soil frost heave problem, seven simulation cases with HPID changing from 9 m to 15 m at 1 m intervals were studied.
- To evaluate the effects of heat pipe thermal conductivity (HPTC) on the soil frost expansion problem, five scenarios were simulated with HPTC values starting at 2500 W/(m·K) and increasing by factors of two, four, eight, and sixteen successively.
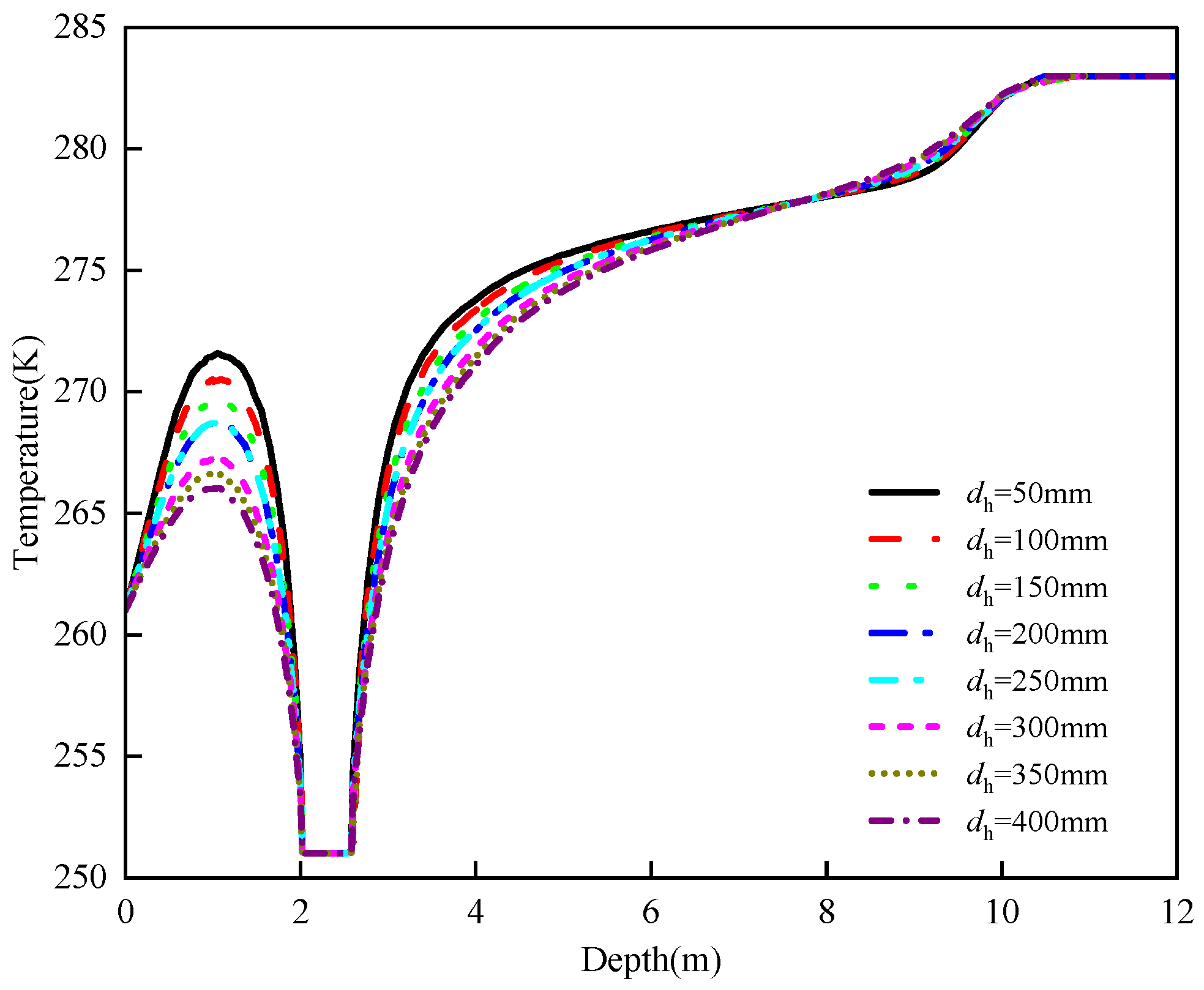
- To analyze the mitigation effects of extra added fins on the soil frost heave problem, a typical scenario with a DPHP of 200 mm was simulated, where extra fins were added in the condensation section of the heat pipes.
3.2. Effects of Heat Pipe Positioning and Parameters on Soil Temperature Distribution
3.2.1. Effect of Thermal Conductivity
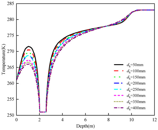
3.2.2. Effect of Heat Pipe Insertion Depth
3.2.3. Effect of Heat Pipe Insertion Depth
3.2.4. Effect of the Angle Between the Central Axis of the Heat Pipe and the Model Centerline
3.2.5. Effect of Adding Fins to the Heat Pipe
4. Conclusions
Author Contributions
Funding
Data Availability Statement
Conflicts of Interest
References
- Marić, I. The Joule–Thomson effect in natural gas flow-rate measurements. Flow Meas. Instrum. 2005, 16, 387–395. [Google Scholar] [CrossRef]
- Deng, F.; Lu, J.; Wan, X.; Liu, B.; Zhang, B.; Fu, H. Mitigating frost heave of a soil stabilized with sisal fiber exposed to freeze-thaw cycles. Geotext. Geomembr. 2025, 53, 394–404. [Google Scholar] [CrossRef]
- Tai, B.; Wu, Q.; Yue, Z.; Xu, H. Ground temperature and deformation characteristics of anti-freeze-thaw embankments in permafrost and seasonal frozen ground regions of China. Cold Reg. Sci. Technol. 2021, 189, 103331. [Google Scholar] [CrossRef]
- Zhang, W.; Zhang, D.; Guo, L.; Dong, T.; Wang, J.; Wang, J.; Yu, Q. Experimental study on heating performance of a solar circulating heated embankment system for the treatment of frost heave disease in seasonally frozen regions. Sol. Energy 2022, 248, 41–50. [Google Scholar] [CrossRef]
- Li, X.; Wu, Q.; Jin, H.; Shi, R.; Wu, G.; Cao, Y. Numerical evaluation of the effectiveness of frost heave mitigation strategies for chilled arctic gas pipelines. Res. Cold Arid Reg. 2022, 14, 338–345. [Google Scholar] [CrossRef]
- Chen, J.; Huang, W.; Cen, J.; Li, Z.; Li, F.; Li, A.; Sun, H.; Lin, W.; Ma, Q.; Jiang, F. Operational characteristics of the super-long gravity heat pipe for geothermal energy exploitation. Appl. Therm. Eng. 2024, 236, 121530. [Google Scholar] [CrossRef]
- Huang, W.; Cen, J.; Chen, J.; Cao, W.; Li, Z.; Li, F.; Jiang, F. Heat extraction from hot dry rock by super-long gravity heat pipe: A field test. Energy 2022, 247, 123492. [Google Scholar] [CrossRef]
- Jose, J.; Kumar Hotta, T. A comprehensive review of heat pipe: Its types, incorporation techniques, methods of analysis and applications. Therm. Sci. Eng. Prog. 2023, 42, 101860. [Google Scholar] [CrossRef]
- Liu, W.; Liu, X.; Chow, T.; Hao, Y.; Lau, W.; Pan, C. Thermal characteristics of heat-pipe-ring embedded building façades as both building-integrated and building-attached solar collectors. Case Stud. Therm. Eng. 2024, 60, 104621. [Google Scholar] [CrossRef]
- Alhuyi Nazari, M.; Kumar, R.; Mukhtar, A.; Yasir, A.S.H.M.; Ahmadi, M.H.; Al-Bahrani, M. Geothermal energy for preheating applications: A comprehensive review. J. Cent. South Univ. 2023, 30, 3519–3537. [Google Scholar] [CrossRef]
- Alsagri, A.S.; Chiasson, A.; Shahzad, M.W. Geothermal Energy Technologies for Cooling and Refrigeration Systems: An Overview. Arab. J. Sci. Eng. 2022, 47, 7859–7889. [Google Scholar] [CrossRef]
- Wu, C.; Sun, Z.; Pan, Y. Theoretic study on the technology of applying heat pipe to solving frost heaving. Chin. J. Geotech. Eng. 2002, 24, 347–350. [Google Scholar]
- Li, Z.; Jiang, R.; Tang, A.; Zhu, R. Heat-water-stress Coupling Model for Saturated Frozen Soil under Different Stress Levels. KSCE J. Civ. Eng. 2024, 28, 4897–4910. [Google Scholar] [CrossRef]
- Hu, T.; Zhao, L.; Wang, T.; Yue, Z.; Yuan, Y.; Zhang, Y. Geothermal heat pump solutions for frost heave control in railway subgrades. Geothermics 2025, 127, 103244. [Google Scholar] [CrossRef]
- Deng, G.; Yang, J.; Ma, X.; Kang, N.; He, J.; Li, J. Analysis of temperature response and thermal performance of hybrid gravity heat pipes for winter soil warming of grapevine root systems. Trans. Chin. Soc. Agric. Eng. 2025, 41, 230–237. [Google Scholar]
- Sanner, B. Shallow geothermal energy—History, development, current status, and future prospects. In Proceedings of the European Geothermal Congress 2016, Strasbourg, France, 19–24 September 2016. [Google Scholar]
- Yin, J.; Xing, Y.; Wang, S.; Hou, X.; Wang, Z.; Xu, Z. Temperature Response Calculation Model of Energy Storage Finned Tube Based on Thermal Network. J. Aerosp. Power 2023, 38, 2395–2406. [Google Scholar]
- Gan, B. Experimental study on the effect of fin spacing on the heat transfer and flow resistance of plate fin-and-tube heat exchangers. Energy Res. Inf. 2018, 34, 97–101. [Google Scholar]
- Yang, Q.; Yang, T.; Yang, Y.; Shen, J. Numerical and experimental investigations on the effect of skeleton shapes and heat transfer directions on water freezing in porous media. Int. J. Heat Mass Transf. 2025, 236, 126392. [Google Scholar] [CrossRef]
- Wang, G.; Lin, C.; Zhu, L.; Feng, D.-C.; Xin, Y.-Y.; Zhang, F. Performance analyses of two-phase closed thermosyphons for road embankments in the high-latitude permafrost regions. J. Mt. Sci. 2023, 20, 3138–3153. [Google Scholar] [CrossRef]
- Malitha, C.; Rajapaksha, M.; Shankar, V.; Senadheera, S. Improved empirical convection heat transfer coefficient model to predict flexible pavement layer temperatures. Constr. Build. Mater. 2024, 411, 134206. [Google Scholar]
- Zou, M.; Wang, Y.; Liu, Y. The present status and problems of the research on Beijing urban green space soil. Soil Fertil. Sci. China 2012, 3, 1–6. [Google Scholar]
- Wang, W.; Wang, G.; Zhu, X.; Liu, Z. Characteristics and potential of shallow geothermal resources in provincial capital cities of China. Geol. China 2017, 44, 1062–1073. [Google Scholar]
- Zhang, X.; Wang, Z.; Ding, S.; Wang, Z.; Xie, H. Fabrication of Flame-Retardant Ammonium Polyphosphate Modified Phytic Acid-Based Rigid Polyurethane Foam with Enhanced Mechanical Properties. Polymers 2024, 16, 2229. [Google Scholar] [CrossRef] [PubMed]
- Engineers, R.A. ASHRAE handbook: Fundamentals. In Ashrae Handbook Fundamentals; ASHRAE (American Society of Heating, Refrigerating and Air-Conditioning Engineers): Atlanta, GA, USA, 2021. [Google Scholar]
- Ernst, G.; Keil, B.; Wirbser, H.; Jaeschke, M. Flow-calorimetric results for the massic heat capacitycpand the Joule–Thomson coefficient of CH4, of (0.85CH4 + 0.15C2H6), and of a mixture similar to natural gas. J. Chem. Thermodyn. 2001, 33, 601–613. [Google Scholar] [CrossRef]
















| Soil Types | Density (kg/m3) | Specific Heat Capacity (J/(kg·K)) | Thermal Conductivity (W/(m·K)) | Porosity |
|---|---|---|---|---|
| Silty Clay | 1950 | 1460 | 1.695 | 0.43 |
| Sandy Clay–Silty Clay α | 1970 | 1370 | 1.627 | 0.68 |
| Sandy Clay–Silty Clay β | 1970 | 1370 | 1.627 | 0.73 |
| Name | Material | Density (kg/m3) | Specific Heat Capacity (J/kg·K) | Thermal Conductivity (W/m·K) | Thickness (mm) |
|---|---|---|---|---|---|
| Gas pipeline | Carbon steel | 7850 | 480 | 52 | 16 |
| Insulation layer | Polyurethane foam | 45 | 1.72 | 0.022 | 8 |
| Specific Heat Capacity (kJ/kg·K) | Boiling Point (K) | Freezing Point (K) | Latent Heat of Vaporization (kJ/kg) | Viscosity (mPa·s) |
|---|---|---|---|---|
| 2.42 | 280.8 1 | 159.1 | 831 | 0.594 |
Disclaimer/Publisher’s Note: The statements, opinions and data contained in all publications are solely those of the individual author(s) and contributor(s) and not of MDPI and/or the editor(s). MDPI and/or the editor(s) disclaim responsibility for any injury to people or property resulting from any ideas, methods, instructions or products referred to in the content. |
© 2025 by the authors. Licensee MDPI, Basel, Switzerland. This article is an open access article distributed under the terms and conditions of the Creative Commons Attribution (CC BY) license (https://creativecommons.org/licenses/by/4.0/).
Share and Cite
Xu, P.; Bai, Y. Numerical Research on Mitigating Soil Frost Heave Around Gas Pipelines by Utilizing Heat Pipes to Transfer Shallow Geothermal Energy. Energies 2025, 18, 3316. https://doi.org/10.3390/en18133316
Xu P, Bai Y. Numerical Research on Mitigating Soil Frost Heave Around Gas Pipelines by Utilizing Heat Pipes to Transfer Shallow Geothermal Energy. Energies. 2025; 18(13):3316. https://doi.org/10.3390/en18133316
Chicago/Turabian StyleXu, Peng, and Yuyang Bai. 2025. "Numerical Research on Mitigating Soil Frost Heave Around Gas Pipelines by Utilizing Heat Pipes to Transfer Shallow Geothermal Energy" Energies 18, no. 13: 3316. https://doi.org/10.3390/en18133316
APA StyleXu, P., & Bai, Y. (2025). Numerical Research on Mitigating Soil Frost Heave Around Gas Pipelines by Utilizing Heat Pipes to Transfer Shallow Geothermal Energy. Energies, 18(13), 3316. https://doi.org/10.3390/en18133316

