A Control Framework for the Proton Exchange Membrane Fuel Cell System Integrated the Degradation Information
Abstract
1. Introduction
2. PEMFC System Simulation Model
2.1. Data Monitoring Model
2.2. Controller Model
2.3. Actuator Model
2.4. Plant Model
2.4.1. Anode Channel Model
2.4.2. Cathode Channel Model
2.4.3. Coolant Channel Model
2.4.4. Voltage Calculation Model
3. Control Framework Design Based on the Degraded PEMFC
3.1. ECU Design
3.1.1. System On/Off Module
3.1.2. RUL Module
3.1.3. SoH Module
3.1.4. Current Determination Module
3.1.5. Ambient Information Perception Module
3.2. FCU Design
3.2.1. Stack Controller
3.2.2. Air Supply Subsystem Controller
3.2.3. H2 Supply Subsystem Controller
3.2.4. Thermal Management Subsystem Controller
3.2.5. DC/DC Subsystem Controller
4. Results and Discussion
4.1. Results Comparison of Stack
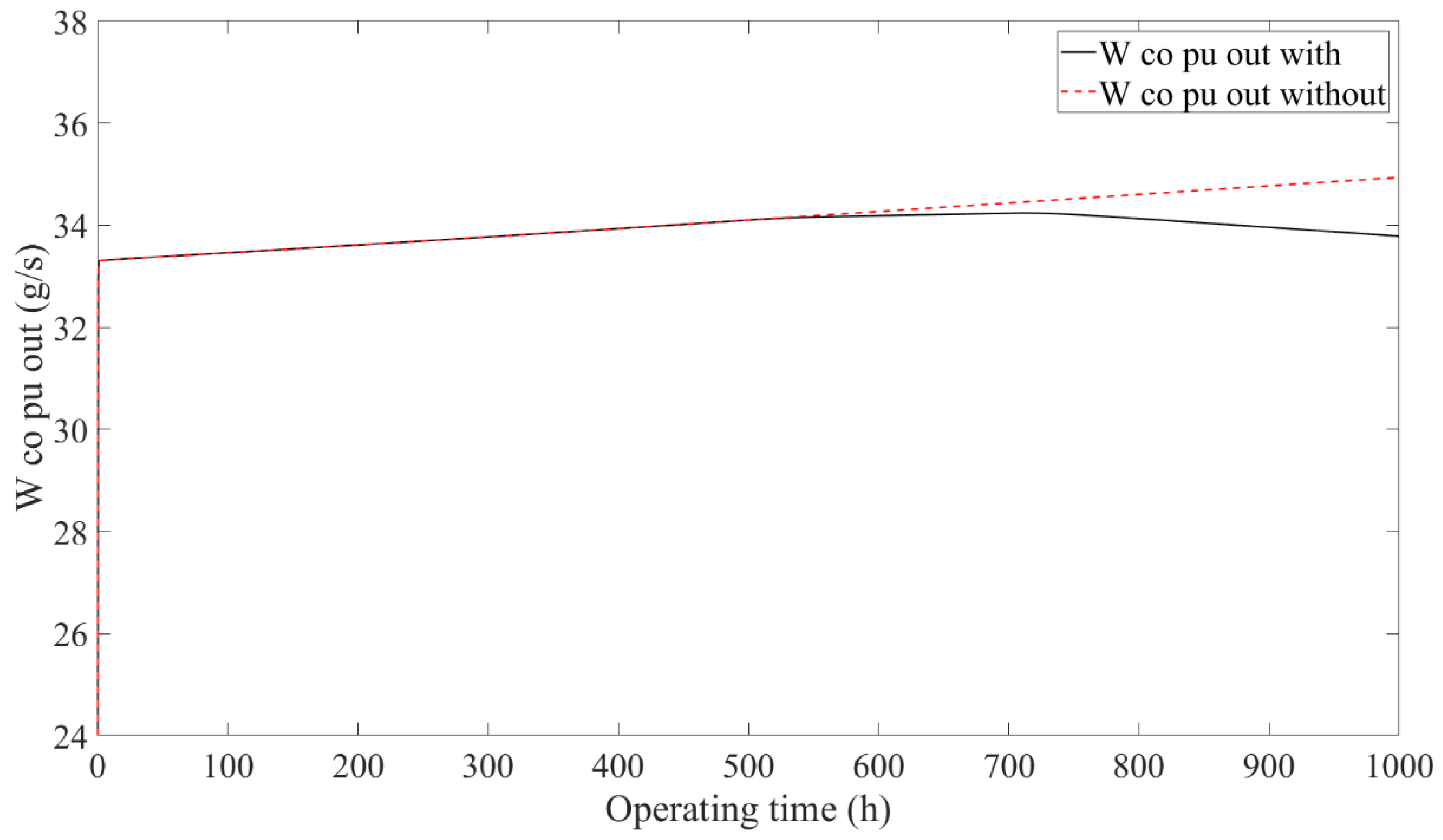
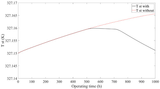
4.2. Results Comparison of Thermal Management Subsystem
5. Conclusions
- (a)
- This work described the modeling principles of the plant module including models of the anode channel, cathode channel, coolant channel, voltage calculation, and thermal management subsystems in detail.
- (b)
- This work designed a novel control framework including ECU, RUL, SoH, and FCU modules. This control framework introduces the results of the SoH estimation and RUL prediction to the ECU and FCU. The desired power of the stack was obtained, which was used as the real-time desired power of the PEMFC system by synthesizing the RUL, SoH, and ECU information of the stack.
- (c)
- The two operation modes after performance degradation of the stack, including constant current reducing power and constant power rising current, were analyzed. Furthermore, the output of the subsystem controllers and actuators were analyzed in detail under the operation mode of constant current reducing power. The results showed that when the PEMFC system was operated under the operation mode of constant current reducing power, the results of the air and hydrogen supply and DC/DC subsystems with/without the designed control framework were the same, while the thermal management subsystems showed different results. When the PEMFC system disused the designed control framework, the stack temperature showed a monotonically increasing trend, which indicates that the stack temperature tended to get out of control with the increase in the operation time. However, when the PEMFC system used the designed control framework, the stack temperature showed an increasing and then decreasing trend, which indicates that the stack temperature was still controllable.
- (d)
- The aim of this work was to verify the effectiveness of the proposed framework for PEMFC operation temperature control. This work was not experimentally verified due to the limitation of the experimental conditions and cost, and the control algorithms of each subsystem used PID control, which has not involved complex algorithms yet.
Author Contributions
Funding
Data Availability Statement
Conflicts of Interest
References
- Onanena, R.; Oukhellou, L.; Candusso, D.; Same, A.; Hissel, D.; Aknin, P. Estimation of fuel cell operating time for predictive maintenance strategies. Int. J. Hydrogen Energy 2010, 35, 8022–8029. [Google Scholar] [CrossRef]
- Zenith, F.; Tjonnas, J.; Halvorsen, I.J. Control structure of a micro combined heat and power fuel-cell system for lifetime maximisation. In Proceedings of the 2014 IEEE Vehicle Power and Propulsion Conference (Vppc), Coimbra, Portugal, 27–30 October 2014; pp. 1–6. [Google Scholar]
- Fletcher, T.; Thring, R.; Watkinson, M. An Energy Management Strategy to concurrently optimise fuel consumption & PEM fuel cell lifetime in a hybrid vehicle. Int. J. Hydrogen Energy 2016, 41, 21503–21515. [Google Scholar]
- Jouin, M.; Gouriveau, R.; Hissel, D.; Pera, M.C.; Zerhouni, N. Combined predictions for prognostics and predictive control of transportation PEMFC. IFAC-PapersOnLine 2016, 49, 244–249. [Google Scholar] [CrossRef]
- Fu, X.; Pei, P.; Ren, P.; Zhu, Z.; Wang, H.; Song, X.; Wang, Z. On-board and in-situ identification of cell-individual hydrogen crossover in fuel cell stacks based on electrochemical dynamics during shutdown. Chem. Eng. J. 2025, 506, 159952. [Google Scholar] [CrossRef]
- Du, Y.; Li, Y.; Ren, P.; Zhang, L.; Wang, D.; Xu, X. Oxygen transfer at mesoscale catalyst layer in proton exchange membrane fuel cell: Mechanism, model and resistance characterization. Chem. Eng. J. 2024, 494, 153021. [Google Scholar] [CrossRef]
- Tjonnas, J.; Zenith, F.; Halvorsen, I.J.; Klages, M.; Scholta, J. Control of Reversible Degradation Mechanisms in Fuel Cells: Mitigation of CO contamination. IFAC-PapersOnLine 2016, 49, 302–307. [Google Scholar] [CrossRef]
- Polverino, P.; Pianese, C. Control algorithm design for degradation mitigation and lifetime improvement of Polymer Electrolyte Membrane Fuel Cells. Energy Procedia 2017, 142, 1706–1713. [Google Scholar] [CrossRef]
- Yue, M.L.; Jemei, S.; Gouriveau, R.; Zerhouni, N. Developing a Health-Conscious Energy Management Strategy based on Prognostics for a Battery/Fuel cell Hybrid Electric Vehicle. In Proceedings of the 2018 IEEE Vehicle Power and Propulsion Conference (Vppc), Chicago, IL, USA, 27–30 August 2018; pp. 1–6. [Google Scholar]
- Yue, M.; Jemei, S.; Zerhouni, N. Health-Conscious Energy Management for Fuel Cell Hybrid Electric Vehicles Based on Prognostics-Enabled Decision-Making. IEEE Trans. Veh. Technol. 2019, 68, 11483–11491. [Google Scholar] [CrossRef]
- Li, H.; Ravey, A.; N’Diaye, A.; Djerdir, A. Online adaptive equivalent consumption minimization strategy for fuel cell hybrid electric vehicle considering power sources degradation. Energy Convers. Manag. 2019, 192, 133–149. [Google Scholar] [CrossRef]
- Wu, X.; Xu, L.; Wang, J.; Yang, D.; Li, F.; Li, X. A prognostic-based dynamic optimization strategy for a degraded solid oxide fuel cell. Sustain. Energy Technol. Assess. 2020, 39, 100682. [Google Scholar] [CrossRef]
- Lin, X.; Li, X.; Shen, Y.; Li, H. Charge depleting range dynamic strategy with power feedback considering fuel-cell degradation. Appl. Math. Model. 2020, 80, 345–365. [Google Scholar] [CrossRef]
- Bressel, M.; Hilairet, M.; Hissel, D.; Ould Bouamama, B. Model-based aging tolerant control with power loss prediction of Proton Exchange Membrane Fuel Cell. Int. J. Hydrogen Energy 2020, 45, 11242–11254. [Google Scholar] [CrossRef]
- Hahn, S.; Braun, J.; Kemmer, H.; Reuss, H.-C. Optimization of the efficiency and degradation rate of an automotive fuel cell system. Int. J. Hydrogen Energy 2021, 46, 29459–29477. [Google Scholar] [CrossRef]
- Fan, L.; Zhou, S.; Wen, C.; Gao, J. Prediction of the Remaining Useful Life of the Proton Exchange Membrane Fuel Cell with an Integrated Health Index; SAE Technical Paper Series; SAE International: Warrendale, PA, USA, 2023. [Google Scholar]
- Fan, L.; Zhou, S.; Zhao, P.; Gao, J. A Novel Hybrid Method Based on the Sliding Window Method for the Estimation of the State of Health of the Proton Exchange Membrane Fuel Cell; SAE Technical Paper Series; SAE International: Warrendale, PA, USA, 2023. [Google Scholar]
























Disclaimer/Publisher’s Note: The statements, opinions and data contained in all publications are solely those of the individual author(s) and contributor(s) and not of MDPI and/or the editor(s). MDPI and/or the editor(s) disclaim responsibility for any injury to people or property resulting from any ideas, methods, instructions or products referred to in the content. |
© 2025 by the authors. Licensee MDPI, Basel, Switzerland. This article is an open access article distributed under the terms and conditions of the Creative Commons Attribution (CC BY) license (https://creativecommons.org/licenses/by/4.0/).
Share and Cite
Fan, L.; Gao, J.; Shen, W.; Su, H.; Zhou, S.; Hou, Y. A Control Framework for the Proton Exchange Membrane Fuel Cell System Integrated the Degradation Information. Energies 2025, 18, 2438. https://doi.org/10.3390/en18102438
Fan L, Gao J, Shen W, Su H, Zhou S, Hou Y. A Control Framework for the Proton Exchange Membrane Fuel Cell System Integrated the Degradation Information. Energies. 2025; 18(10):2438. https://doi.org/10.3390/en18102438
Chicago/Turabian StyleFan, Lei, Jianhua Gao, Wei Shen, Hongtao Su, Su Zhou, and Yiwei Hou. 2025. "A Control Framework for the Proton Exchange Membrane Fuel Cell System Integrated the Degradation Information" Energies 18, no. 10: 2438. https://doi.org/10.3390/en18102438
APA StyleFan, L., Gao, J., Shen, W., Su, H., Zhou, S., & Hou, Y. (2025). A Control Framework for the Proton Exchange Membrane Fuel Cell System Integrated the Degradation Information. Energies, 18(10), 2438. https://doi.org/10.3390/en18102438
