Abstract
The microfracture and pore structure characteristics of coal reservoirs are crucial for coalbed methane (CBM) development. This study examines the evolution of pore and fracture structures at the microscopic level and their fractal characteristics, elucidating their impact on CBM development in the northern Guizhou coal reservoirs. The results indicate that the pores and fractures in the coal reservoirs are relatively well-developed, which facilitates the adsorption of CBM. The density of primary fractures ranges from 5.8 to 14.4 pcs/cm, while the density of secondary fractures ranges from 3.6 to 11.8 pcs/cm. As the metamorphic degree of coal increases, the density of primary fractures initially increases and then decreases, whereas the density of secondary fractures decreases with increasing metamorphic degree. With increasing vitrinite reflectance, the specific surface area and pore volume of the coal samples first decrease and then increase. The fractal dimension ranges from 2.3761 to 2.8361; as the vitrinite reflectance of the coal samples increases, the fractal dimension D1 decreases initially and then increases, while D2 decreases. In the northern Guizhou region, CBM is characterized by an enrichment model of “anticline dominance + fault-hydrogeological dual sealing” along with geological controlling factors of” burial depth controlling gas content and permeability + local fault controlling accumulation”. The research findings provide a theoretical basis for the occurrence and extraction of CBM in northern Guizhou.
1. Introduction
Coalbed methane (CBM) resources are abundant in northern Guizhou, with a total of 14,395.95 m3/km2 of CBM geological resources in the Qianbei Coalfield and the Zhina Coalfield, accounting for about 50% of the total in the whole of Guizhou. A breakthrough in exploration and development of higher-order CBM has been achieved at the Wenjiaba Mine in the area, with the daily production of a single well exceeding 6000 m3, which indicates that there is a huge potential for the exploration and development of CBM in the northern part of Guizhou [1]. However, by comparing the results of related research, it is found that the middle- and high-rank coal reservoirs in the north of Guizhou Province have high porosity, fracture development, good pore connectivity, and wide distribution of pore sizes, various types of pore-fracture development, complex pore connectivity and fractal characteristics, the ratio of different pore diameters to the pore size, and the dispersion of pore diameter, as well as obvious differences in pore types and structure [2,3,4]. The pore structure characteristics have an important influence on the adsorption and seepage capacity of coal reservoirs, which is of great significance for the storage and development of CBM [5,6,7].
It has been shown that the tectonic–sedimentary evolution of the coal beds in the northern part of the Qianbei region is regional, which is mainly manifested in the fact that the northern part of the Qianbei region was in the transitional phase of sea-land depositional environment during the Late Permian, but the influence of seawater gradually weakened from the east to the west, and the development of the lagoon–tidal ping phase, the deltaic plain phase, and the fluvial phase was in order [8,9,10]. Affected by the abnormal magmatic thermal activity caused by the central Guizhou uplift, the degree of coal seam metamorphism in the region is also significantly different, decreasing from the center of the Zhina coalfield to the surrounding area [11,12]. Pore development in high-rank coals is closely related to the coal rank, coal quality, coal phase, and coal-forming environment [13,14]. This regional sedimentary–tectonic background has resulted in the strong physico–chemical structural inhomogeneity of the coal seams in northern Guizhou, which in turn controls the pore-fracture development of middle- and high-rank coals [15,16]. The pore characteristics of middle- and high-rank coal reservoirs in northern Qianbei are mainly manifested in the variety of pore types and the wide distribution of pore diameters [17]. Among them, micropores and transition pores dominate, and mesopores and macropores are relatively few [18,19]. In Guizhou middle- and high-rank coal, the development of micropores is particularly significant. These micropores are widely distributed in the coal matrix, providing a larger specific surface area for gas adsorption, but the small pore throat makes the permeability of high-rank coal significantly reduced [20,21,22]. In addition, due to the influence of later filling, compaction, and cementation, some primary pores will be filled by minerals to form residual pores [23,24,25]. In general, the pore development characteristics of Guizhou middle- and high-rank coal are characterized by large specific surface area, diverse pore morphology, and significant influence by later geological processes. However, there are few systematic comparisons of micro-fracture development characteristics and pore structure of high-rank coal reservoirs in northern Guizhou.
In this study, samples of middle- and high-rank coals from different coal-bearing tectonic units in northern Guizhou were collected, and the characteristics of pore and microfracture development were compared and analyzed by using microfracture observation statistics and the mercury pressure method, which elucidated the controlling effects of the degree of metamorphism and coal-rock fractions on the pore and fracture development. The study provides a reference for the evaluation of CBM resources and the selection of areas for exploration and development in northern Guizhou from the point of view of the different geological characteristics of pore and fracture development in coal reservoirs in northern Guizhou.
2. Samples and Methods
This study collected data on the structural units of the research area to identify the geological characteristics of the coal seams within these units. It utilized laboratory testing and fractal theory to observe the microscopic features and pore characteristics of the coal.
2.1. Geological Background and Sampling
The geotectonic position of the study area is in the western part of the Qianbei Plateau, which belongs to the Yangzi Plateau in the primary tectonic unit, the Qianbei Plateau in the secondary tectonic unit, the Zunyi Fault Arch in the tertiary tectonic unit, and the northeast tectonic deformation area of Bijie in the tertiary tectonic unit. Since the deposition of coal-bearing strata in the late Permian, it has experienced Indosinian movement, Yanshan movement and Himalayan movement successively. The differential tectonic subsidence and uplift destroyed the integrity of coal-accumulating basins in the late Permian, forming a basic structural pattern in which small basin groups are superimposed and developed today. The main coal-bearing stratum in the study area is the Upper Permian Longtan Formation, which is a set of transitional coal-bearing deposits deposited by land-phase interaction, and the coal-gathering environment mainly consists of the deltaic depositional system and the tidal flat-lagoon depositional system, with the influence of seawater gradually diminishing from the east to the west. The most developed coal-bearing formation in the study area is the Longtan Formation of the Upper Permian. The Longtan Formation (P3l) has a thickness ranging from 55 to 195 m and is primarily composed of gray, yellowish-gray, and brownish-gray fine-grained sandstone, siltstone, silty mudstone, and mudstone, interbedded with limestone layers ranging from 0 to 7. The coal seams vary from 1 to 46 layers. From west to east, the clastic rock grain size gradually becomes finer, with an increasing and thicker presence of marine sandstone, mudstone, or interbedded limestone, while the coal thickness decreases, transitioning from a typical continental-marine facies to a nearshore facies deposition. The lower section of the Longtan Formation (P3l1) ranges from 23 to 95 m in thickness, being thicker to the southwest and thinner to the northeast, with coal layers ranging from 1 to 21, gradually decreasing to the northwest and northeast. The upper section of the Longtan Formation (P3l2) has a thickness of 32 to 105 m, and its thickness and coal layer variation patterns are similar to those of the lower section, including 2~25 coal layers, with a gradual thinning of thickness and a reduction in coal layers toward the northeast and northwest. The coal thickness generally ranges from 10 to 40 m, while the total thickness of potentially minable coal seams typically ranges from 5 to 10 m [26].
In order to study the differential geological characteristics of pore and fracture development in coal reservoirs in northern Guizhou, coal samples from typical tectonic units were selected for testing and analysis. The sampling locations along with the tectonic unit distribution are shown in Figure 1. The coal samples were collected from the following seams: No. 16 coal seam of Xingwang Coal Mine (XW-16#) in the Agong syncline; No. 7 coal seam of Shatian Coal Mine (ST-7#) in the Bainijing syncline; No. 3 coal seam of Xinchun Coal Mine (XC-3#) in the Bide syncline; No. 33 coal seam of Yingxing Coal Mine (YX-33#) in the Dafang anticline; No. 6 coal seam of Jinyan Coal Mine (JY-6#) in the Maoba syncline; No. 15 coal seam of Zhongxin Coal Mine (ZX-15#); No. 5 coal seam of Leigongshan Coal Mine (LGS-5#) in the Qianxi syncline; and No. 16 coal seam of Gaopo Coal Mine (GP-16#) in the Guanzhai syncline. The coal seam characteristics of the tectonic units are shown in Table 1. The average thickness of CBM in the study area is 1.39~2.31 m, which corresponds to thin to medium-thick coal seams. The average CBM content is 8.56~16.37 m3/t, indicating a CBM-rich reservoir. The Langmuir volume is between 31.64~46.78 m3/t; additionally, the Langmuir pressure ranges from 0.31 to 2.40 MPa. The permeability varies from 0.086 to 0.180 mD, which classifies the study area as belonging to ultra-low to low permeability coal reservoirs.
Figure 1.
Basic structural characteristics and sample distribution map of northern Guizhou: (a) geographic location; (b) sampling locations and tectonic units.
Table 1.
Characteristics of main coal seams in sampled coal bearing structural units.
2.2. Methods
2.2.1. Microscopic Characteristics and Component Test
The microstructural characteristics and components of coal are important factors that affect gas adsorption and transport [27,28,29]. To study the microstructure and surface microcrack morphology of coal samples, the Axiao scope A1 Zeiss microscope produced by Zeiss, Oberkochen, Germany. was used to analyze the microstructure and microcrack characteristics. The industrial components of coal were assessed using a WS-G818 automatic industrial analyzer produced by Changsha YG-WILLSULL, China. Meanwhile, the surface pore and fracture morphology of the coal sample was observed with German Zeiss Gemini SEM 300 high resolution scanning electron microscope (SEM).
2.2.2. MIP and Fractal Dimension
In order to accurately characterize the distribution characteristics of pores and fractures in middle- and high-rank coal in northern Guizhou, the pore size was determined using mercury intrusion porosimetry [30]. The high-pressure mercury intrusion porosimeter (MIP) model is AutoPore IV9510 produced by Mike Company, Norcross, GA, USA. The pressure range is 0 MPa~413 MPa, and the aperture measurement range is 3 nm~1000 nm. Fractal dimension is an important method for quantitatively analyzing the pore structure characteristics of coal [31,32]. MIP calculation of pore fractal dimension is one of the commonly used methods to characterize the pore complexity of coal [33]. Using the Menger model to analyze the pore classification characteristics, the expression is as seen in Equation (1):
where D is the fractal dimension; V is the pore volume measured by mercury intrusion test, mL/g; and P is the pressure applied in the mercury intrusion test, MPa.
The fractal dimension D reflects the roughness and complexity of porous media to a certain extent. The fractal dimension should be between 2 and 3, and the closer to 2, the smoother the pore; the closer to 3 indicates that the pores are rougher and the structure tends to be more complex.
3. Results and Analysis
This section establishes a research foundation for analyzing the influence of the microscopic structure and porosity characteristics of coal on CBM development by examining the micro-components of coal, the development features of microfractures, the morphology of pores and fractures and the fractal characteristics of these pores and fractures obtained through mercury intrusion tests and fractal theory.
3.1. Microscopic Components and Pore Fracture Morphology Characteristics of Coal
3.1.1. Microscopic Composition and Industrial Analysis
The specular group content of the sample ranges from 69.30% to 86.71%, which belongs to medium-high specular group coal; the inert group content ranges from 4.00% to 21.51%, and the mineral group content ranges from 5.7% to 22.75% (see Table 2); from the results of the industrial analysis, it can be seen that the moisture distribution of the coal sample ranges from 0.99% to 3.02%, and the distribution range of the ash is 8.75% to 24.87%, which belongs to medium-low ash, and the volatile matter ranges from 6.54% to 14.20%. From the results of industrial analysis, it can be seen that the moisture distribution of the coal samples is 0.99~3.02%, the ash distribution range is 8.75~24.87%, the coal samples belong to medium-low ash coals, and the range of volatile matter is 6.54%~14.20%.
Table 2.
Microscopic and Industrial Analysis Components of Middle-and High-rank Coal in Northern Guizhou.
3.1.2. Pore Morphology and Types of Middle- and High-Rank Coal in Northern Guizhou
In order to study the pores and fractures in the middle- and high-order coal reservoirs in northern Qianbei, typical pore and fracture morphology characteristics of middle- and high-order coals in northern Qianbei were obtained using electron microscope scanning (see Figure 2). There are more residual primary pores in the coal, which are mainly cellular structure pores, i.e., cytosolic pores, that the coal-forming plants themselves are, with various shapes, mostly wedge-shaped. At the same time, more dissolution holes are developed in the coal, presenting a honeycomb shape, the hole surface is more uneven, the diameter is larger, and they are more filled with debris particles. As the coal seam in the metamorphic process is impacted by the formation of more angry and gas gathering air pores, the size of the pores varies, mainly for the oval, wedge, etc., and the pore surface as a whole is smoother. The tensile fractures produced by the brittle deformation of the coal seam, the fracture development is irregular, mainly presenting a wave shape, and the fractures appear with dislocation and steering. The condensed fractures formed by the chemical changes of coal during coalification are mainly short and disordered, and the condensed fractures are strictly constrained by the components, which are only developed in the specular group, especially in the components with strong plasticity and fluidity such as colloid and asphaltene, and they are mostly seen on the interfaces of the components. The surface of the coal sample has obvious scratches, and a sharp shear fracture is developed, which is smooth and short ductile.
Figure 2.
Morphological characteristics of typical pores and fractures in middle- and high-rank coals in northern Guizhou: (a). residual primary pores; (b). dissolution pores; (c). secondary air pores; (d). tensile fractures; (e). condensation fractures; (f). shear fractures.
3.1.3. Characteristics of Microscopic Fracture Development
The middle-high rank coal rock type in northern Guizhou is mainly semi-dark coal~semi-glossy coal, the development of microfracture in this area is better overall, as shown in Table 3. The fractures are relatively developed, and the main fracture density is higher, mainly distributed in the range of 5.8~14.4 pcs/cm. The length of the main fracture is 0.10~0.18 cm, the height is 0.05~0.25 cm, and the width is 5~64 μm. The density of the secondary fracture is lower than the density of the main fracture, 3.6~11.8 pcs/cm; among them, the sample of GP-16# has a higher density of secondary fracture, and the average value of the width of the sample of XW-16# reaches 22 μm. The secondary cleavage density is lower than that of the main cleavage, ranging from 3.6 to 11.8 lines/cm; among them, the secondary cleavage density of sample GP-16# is higher, the average value of the secondary cleavage width of sample XW-16# reaches 22 μm, and the secondary cleavage length of sample LGS-5# is the largest, with the highest value reaching 0.90 cm. The cleavage connectivity of the high-order coals in the northern part of the Qianbei region is at a medium level, and the YX-33# sample has a better cleavage connectivity, while that of sample XW-16# has a poorer connectivity. YX-33# sample has better connectivity, and XW-16# sample has poorer connectivity.
Table 3.
Development characteristics of microcracks in middle- and high-rank coal in northern Guizhou region a.
3.2. MIP Curve and Fractal Characteristics of Pores
3.2.1. Characteristics of Mercury Intrusion Curve
The mercury intrusion curve can reflect the pore structure characteristics of coal, including coal connectivity, pore morphology, and pore opening degree. According to the shape of the IUPAC injection and invertive mercury curve (Figure 3), the samples in this study were classified into sharp-edged type (XW-16#), anti S-shaped type (LGS-5# and XC-3#), and double arc-shaped type (other coal samples). The sharp-edged injection and invertive mercury curve have a sharp angle. When the release pressure is high, the injection and invertive mercury curves tend to coincide, and the pore volume difference at the same pressure point is very small, indicating that the micropores are mainly closed and semi closed. As the pressure relief increases, the hysteresis loop also increases, indicating a continuous increase in the proportion of open holes in the medium and large pores. This process also displays high mercury removal efficiency and good pore connectivity. The injection and invertive mercury curves of samples LGS-5# and XC-3# are similar in shape, with obvious hysteresis loops. The pore volume difference appears from the beginning of pressure release, and the pore morphology is mainly open pores, with low mercury removal efficiency and poor connectivity. The double arc linear mercury curve shows a concave arc shape, and separation occurs from the beginning of self-release pressure. The pore volume difference at the same pressure point increases continuously with the decrease of pressure release, and the hysteresis loop increases significantly, indicating that large pores are mainly open pores and small bottleneck pores.
Figure 3.
Injection and invertive mercury removal curves based on MIP: (a) ST-7#; (b) LGS-15#; (c) GP-16#; (d) JY-6#; (e) YX-33#; (f) ZX-15#; (g) XC-3#; (h) XW-16#.
3.2.2. Pore Structure Parameters and Fractal Characteristics
The pore volume, total pore surface area, average pore size, and porosity of coal samples vary greatly, as shown in Table 4 of the pore structure parameters. The pore volume is 0.0037~0.155 cm3/g, the pore specific surface area is 19.86~31.05 m2/g, the average pore size is 7.52~19.92 nm, and the porosity is 7.52~30.94%. Overall, the pore volume, total pore surface area, average pore size, and porosity of the coal sample show a consistent trend of increasing first and then decreasing with the change of vitrinite reflectance, and the pore structure parameters such as pore volume, specific surface area, average pore size, and porosity of the high slope are the maximum values.
Table 4.
Pore structure parameters measured by MIP.
According to the fractal structure of the high-rank coal obtained from the results of mercury pressure test, it was found that the fractal characteristics of the coal samples all showed obvious segmentation phenomenon, which was divided into low-pressure section (D1) and high-pressure section (D2) for fitting, respectively (See Figure 4). The pore size distribution of the samples in the low-pressure section ranges between 10,000 and 100,000 nm, which belongs to large pores and microscopic fractures, and according to the fractal model, the fractal dimension can be obtained between 2.3761 and 2.8361 (See Table 5), and on the whole, the fractal dimension of the high-order coals of Qiandebei is larger, which reflects the complex pore structure and higher roughness, among which XW-16# has the lowest fractal dimension, and compared with the other anthracite coals, the pores indicate a flatter and simpler structure. The pore size distribution of the samples in the high-pressure section ranges from 204.8 to 3624 nm, which belongs to medium and large pores, but the fractal dimension of the coal samples is greater than 3, which does not have the fractal characteristics, probably due to the increase of pressure, which leads to the compression deformation of the coal matrix and the destruction of pores, which makes the test results deviate.
Figure 4.
Fractal characteristics of coal samples: (a) ST-7#; (b) LGS-15#; (c) GP-16#; (d) JY-6#; (e) YX-33#; (f) ZX-15#; (g) XC-3#; (h) XW-16#.
Table 5.
Results of fractal dimension calculation.
4. Discussion
This section analyzes the control of the pore size distribution characteristics, the development features of coal and rock pores and fractures, and the structural characteristics of these pores and fractures on the storage and production conditions of CBM. It explores how the microscopic structure and porosity of coal influence the storage and production of CBM and proposes directions for exploration and development of CBM in the Qianbei region.
4.1. Pore Size Distribution Characteristics
B. B. Hodot divides the pores in coal into micropores (<10 nm), transition pores (10–100 nm), mesopores (100–1000 nm), and macropores (>1000 nm) based on spatial scales [34]. Through the observation and analysis of the histograms of the percentage of pores of different pore sizes, it can be seen that the percentage of the pore volume of different high-rank coal samples in Qianbei region varies greatly, with the distribution of micropores ranging from 11.20 to 37.35%, the distribution of transition pores mainly ranging from 4.58 to 53.02%, and the distribution of medium pores and large pores ranging from 3.37 to 12.09% and 21.92 to 62.9%, respectively, with the highest proportion of large pores. Therefore, the pore volume of the sample was mainly contributed by the macropores (Figure 5a). The pore surface area of middle- and high-rank coals in the Qianbei region was mainly provided by micropores and transition pores, while meso- and macropores basically did not provide pore surface area, with the proportion ranging from 0.09 to 0.61%. Among them, the micropore content of LGS-5# coal sample is the highest, reaching 93.7%, and the transition pore content is the lowest, reaching 5.81%. The micropore content of XW-16# coal sample is the lowest, but the transition pore content is the highest, reaching 65.4% and 34.39% respectively (Figure 5b). The primary residual pores and stomata in the northern Guizhou region are relatively developed. The primary residual pores have larger pore sizes, mainly macropores, while the stomata have different shapes and sizes, mainly micro transitional pores. The pore type has a significant impact on the pore size distribution, reflecting the development of micropores and macropores. Scanning electron microscopy images and microscopic fracture data show that the fracture density and quantity of the samples in the study area are relatively high, and the large pores larger than 1000 nm contain micro and some macro fractures, which can also reflect that the pore size distribution of the samples is mainly large pores.
Figure 5.
Histogram of pore size and pore space percentage in different stages: (a) pore volume ratio; (b) pore surface area ratio.
According to the pore parameters obtained from the MIP test in Table 4, the total pore volume and pore-specific surface area of coal increase with the increase in average pore diameter. The pore volume and specific surface area are primarily distributed within 100 nm (see Figure 6), which further indicates that the adsorption pores of coal in northern Guizhou are dominant, providing favorable space for the occurrence of methane in coal. The peak values of pore volume distribution and pore-specific surface area distribution among the middle- and high-rank coal samples in northern Guizhou have certain similarities, being mainly distributed in the pore size range of <10 nm. Therefore, the pores of middle- and high-rank coal in northern Guizhou predominantly develop micropores. Additionally, the pore size distribution curves of the JY-6# and ZX-15# coal samples also show peaks in the range of 10–100 nm, indicating that some transitional pores are also developed in these two samples, resulting in a broader range of pore size distribution.
Figure 6.
Pore size distribution curve: (a). Pore volume; (b). Pore specific surface area.
4.2. Coal Petrological Control of Pore Fracture Development Characteristics
The development of fractures in coal is affected by various factors, including ground stress, coal rock fraction, metamorphism degree, thickness of coal seam, water content, etc., among which the coal rock fraction has a controlling effect on the development of fractures. The higher the content of the specular group and the lower the content of the inert group in coal, the more microfractures are developed in coal. In order to study the correlation between the microscopic components of coal and the density of fractures, the microscopic components of coal samples were quantitatively analyzed, and the changes of coal rock coal quality and microscopic fracture parameters are shown in Figure 7. The master fracture density of high-rank coals in the northern Qianbei region shows a certain positive correlation with the content of the specular group and a largely negative correlation with the content of the inert group, and the secondary fractures also show a certain positive correlation with the content of the specular group and a negative correlation with the content of the inert group. The microscopic components in coal have different mechanical properties, the brittleness of the specular group is the largest, followed by the inert group, under the same mechanical conditions; the specular group is easy to fracture and form fractures due to higher brittleness, and the inert group is not easy to fracture and form fractures under the same mechanical conditions due to smaller brittleness, so the density of the fractures rises with the increase of the content of specular group and decreases with the increase of the content of the inert group. When the reflectivity of the mirror group is less than 2.3%, the master fracture density increases slowly with the increase of the reflectivity of the mirror group, when the reflectivity of the mirror group is more than 2.3%, the master fracture density decreases with the increase of the reflectivity of the mirror group, which shows that the master fracture density increases and then decreases as the degree of coal metamorphism increases, and the secondary fracture density decreases with the increase of the degree of metamorphism.
Figure 7.
Relationship between coalification degree and pore structure parameters: (a,b) relationship between vitrinite content and master and secondary fractures density; (c,d). relationship between inertinite content and master and secondary fractures density; (e,f). relationship between vitrinite reflectivity and master and secondary fractures density.
The relationship between the content of microscopic components and the pore volume and pore specific surface area of coal samples shows that as the content of vitrinite increases, the pore specific surface area and pore volume gradually decrease, while as the content of inertinite increases, the pore specific surface area and pore volume of coal samples tend to increase. The correlation between the vitrinite reflectivity and pore volume and pore specific surface area is as high as 0.8662 and 0.7131 (See Figure 8), respectively. As the reflectivity increases, the pore specific surface area gradually decreases. As the reflectivity further increases, when the reflectivity is between 2.3% and 2.6%, the pore specific surface area of the coal sample will show a slight increasing trend. This indicates that with the increase of vitrinite reflectivity, the pore specific surface area of the coal sample does not increase or decrease uniformly but first decreases and then increases. Moreover, when the reflectivity is around 2.3%, a minimum value appears, and the pore volume of the coal also shows a trend of first decreasing and then increasing with the increase of vitrinite reflectivity, which is consistent with the variation law of pore specific surface area. At a reflectivity of 2.3%, a minimum value appears. It is generally believed that as the content of vitrinite increases, the pore volume and pore specific surface area of coal samples gradually increase. The content of vitrinite is an indicator that can be used to evaluate the development of pores in coal. However, the data obtained in this article do not conform to this conventional pattern, and it is speculated that the reason for this pattern is due to the influence of tectonic stress.
Figure 8.
Relationship between coalification degree and pore structure parameters: (a,b) relationship between vitrinite content and pore specific surface area (PSSA) and pore volume (PV); (c,d) relationship between inertinite content and PSSA and PV; (e,f) relationship between vitrinite reflectivity and PSSA and PV.
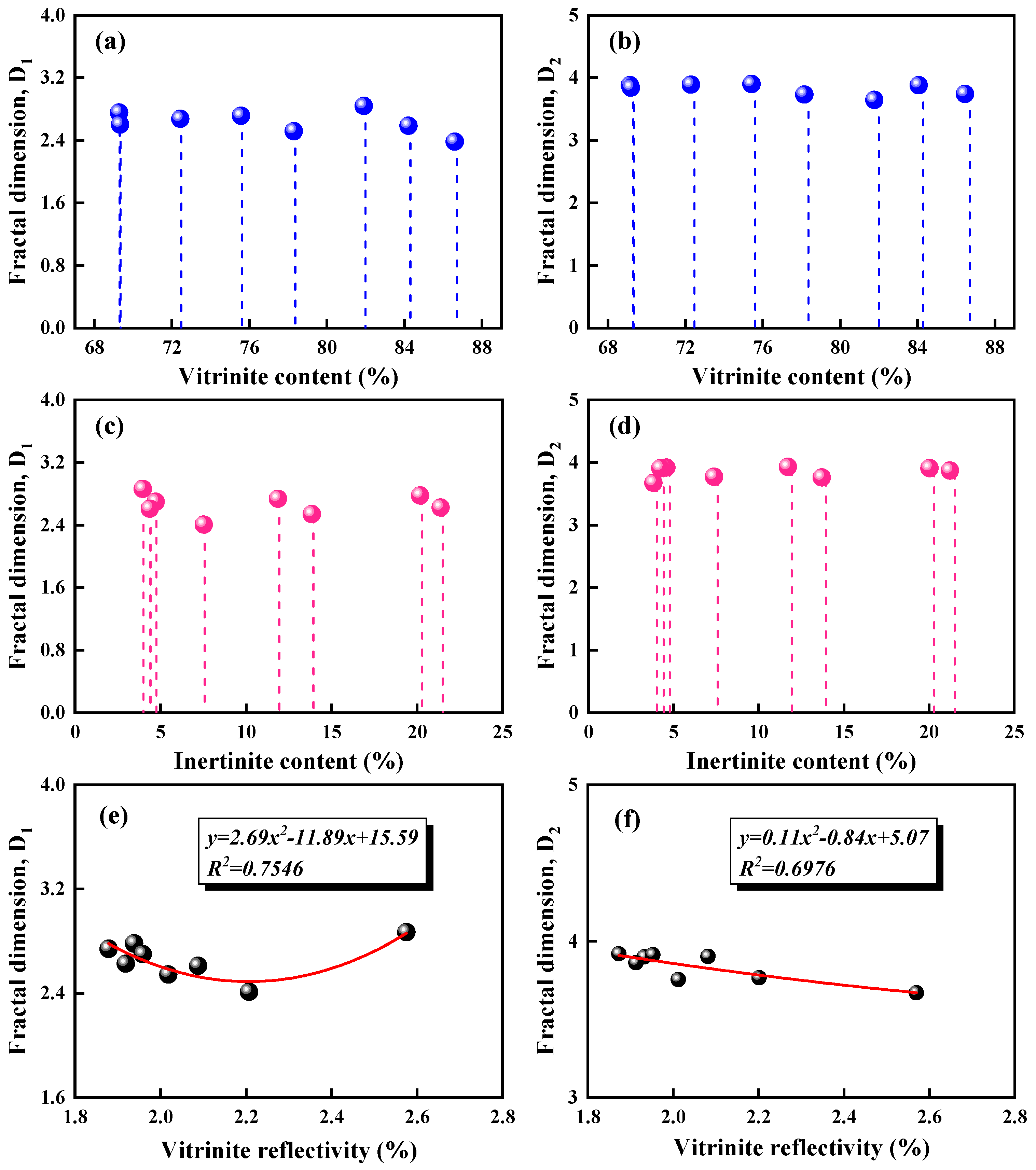
The relationship between fractal dimension and microscopic component content is shown in the figure. As the vitrinite content increases, D1 and D2 gradually decrease, while as the inertinite content increases, D1 and D2 gradually increase (Figure 9). That is, the higher the vitrinite content, the smoother the pore surface of the sample, and the higher the inertinite content, the rougher the pore surface of the sample. The fractal dimension D1 of the coal sample pore surface shows a trend of first increasing and then decreasing with the increase of reflectivity, and the overall correlation is high, with a high correlation coefficient (R2 is 0.7546), indicating that as the reflectivity of the coal sample vitrinite increases, the complexity of the surface of coal rock macropores and microcracks gradually decreases and then increases. When the reflectivity of vitrinite reaches 2.2%, D1 reaches its lowest point. Therefore, as the degree of metamorphism increases, the surface of macropores and microcracks in the sample changes from uniform and flat to rough and heterogeneous. The fractal dimension D2 decreases with the increase of vitrinite reflectance, showing a negative correlation, indicating that the increasing vitrinite reflectance of coal samples gradually reduces the complexity of the coal rock micropore surface, making it more uniform and flat.
Figure 9.
Relationship between coalification degree and fractal dimension parameters: (a,b) relationship between vitrinite content and D1 and D2; (c,d) relationship between inertinite content and D1 and D2; (e,f) relationship between vitrinite reflectivity and D1 and D2.
The fractal dimension D1 of the coal sample pore surface shows a trend of first increasing and then decreasing with the increase of reflectivity, indicating that as the reflectivity of the coal sample vitrinite increases, the complexity of the surface of coal rock macropores and microcracks gradually decreases and then increases. When the reflectivity of vitrinite reaches 2.3%, D1 reaches the lowest point. It can be inferred that under low pressure conditions, taking the lean coal rank as the dividing point, the heterogeneity and roughness of macropores decrease with the increase of metamorphic degree before reaching the lean coal rank. After reaching the lean coal rank, they increase with the increase of metamorphic degree, mainly due to the influence of tectonic activity, resulting in differences in the pore size distribution and characteristics of different coal rank samples. The pore volume and pore specific surface area of the samples have certain differences. The content first increases and then decreases with the increase of metamorphic degree, which is consistent with the fractal dimension characteristics under low pressure, and the influencing factors are quite complex. Combining the results of pore specific surface area and pore volume, it was found that the content of vitrinite is negatively correlated with both. As the vitrinite increases, the pore specific surface area and pore volume decrease, and the pore structure tends to be smoother, with a fractal dimension closer to 2. From the perspective of pore morphology, except for the XW-16#, LGS-5#, and XC-3# coal samples, the rest of the coal samples develop fine bottleneck pores with more complex pore structures and larger fractal dimensions. The fractal dimension D2 decreases with the increase of vitrinite reflectance, showing a negative correlation, indicating that the increasing vitrinite reflectance of coal samples gradually reduces the complexity of the coal rock micropore surface. However, under high pressure conditions, the pore fractures are easily broken and deformed due to the action of tectonic pressure, and this fractal result has certain errors, so it will not be further elaborated.
4.3. Significance for Exploration and Development of Middle-High CBM in Northern Guizhou
4.3.1. Pore Structure Control of CBM Storage Conditions
The pore permeability characteristics of coal reservoirs are important indicators for evaluating the potential of CBM exploration and development. Due to the well-developed endogenous fractures in coal seams and their strong adsorption, low elastic modulus, and high Poisson’s ratio, they have high stress sensitivity as natural gas storage bodies [35]. The sedimentary structural background of coal reservoirs has a significant impact on the development of pores and fractures. The burial depth of high-grade coal seams in northern Guizhou is small, but the coal rank is large, mainly due to the superposition of multiple high-temperature hydrothermal metamorphic processes during the Yanshan Himalayan orogeny. At the same time, under the influence of multiple tectonic processes, the degree of thermal evolution of coal seams is high. The highest degree of coal metamorphism occurs in the northern Guizhou region, with the “Qianzhong Uplift” as the center, and the coal rank gradually decreases from the center to the surrounding areas. Moreover, the geostress in the northern Guizhou region is relatively high. Under the influence of confining pressure, the pores of deep coal seams are gradually destroyed, and larger pores are prone to collapse. The generated debris particles will fill the large and medium-sized pores, gradually transitioning to micro transition pores; Affected by high temperature, the proportion of micropores increases, the proportion of transition pores decreases, the proportion of mesopores remains basically unchanged, and the proportion of macropores decreases. At the same time, the coal reservoir is affected by tectonic stress and metamorphism, and its chemical structure and pore structure have been modified to varying degrees. In the multistage tectonic activities in northern Guizhou, the changes in the physical properties of the coal reservoir also affect the evolution of the coal reservoir structure, and the impact mechanism is more complex. The gas content of coal seams in northern Guizhou is comparable to that of high-order coal seams in northern China, far higher than the national average. After the formation of coal seams, they undergo geological processes such as deep burial, structural uplift, and exposed erosion, resulting in significant changes in the original pressure and geothermal gradient of underground coal seams, leading to significant fluctuations in coal seam gas content. Micropores play a crucial role in the adsorption of CBM. The higher the micropore content, the greater the gas adsorption capacity. Overall, the micropore content of high-grade coal in northern Guizhou is relatively high, but the pore structures of the ST-Z# and LGS-5# samples are most favorable for gas adsorption.
4.3.2. Fracture Development Control of CBM Production Conditions
In the northern Guizhou coalfield, the average gas content of coal seams at depths shallower than 1000 m is generally around 12 m3/t. The geological resource amount of CBM in the northern Guizhou coalfield at depths shallower than 2000 m is 1.39 × 1012 m3, with a resource abundance of 1.20 × 108 m3/km2 [36]. The pore structure mainly affects the adsorption of gases, while the development of microcracks affects the permeability and connectivity of coal reservoirs, further affecting the exploitation of CBM [37]. Coal reservoirs with high degree of microfracture development have a good basis for permeability, and the opening rate of fractures contributes significantly to the permeability of coal reservoirs, reflecting that coal reservoirs with good fracture connectivity may have better permeability. From the distribution of microcracks, it can be seen that the fracture of sample XW-16# is relatively developed, but the connectivity of pores is poor. From the perspective of CBM development, this sample has good permeability but poor connectivity, which is not conducive to gas adsorption but has significant advantages in gas diffusion process; the YX-33# sample has developed fractures and relatively good connectivity compared to other samples. The length, width, and density of the fractures are at a moderate level. Therefore, the fracture characteristics of this reservoir are conducive to the occurrence, migration, and extraction of CBM; for samples such as JY-6#, LGS-5#, YX-33#, and ZX-5# with large length and width fractures and dense fracture distribution, appropriate hydraulic fracturing methods can greatly improve the reservoir’s drainage efficiency during the drainage process.
4.3.3. Exploration and Development Direction of Middle- and High-Rank CBM in Northern Guizhou Region
The main types of CBM enrichment in the structural units of the study area are monocline-type, anticline-type, fault-sealed type, and structural-high type. The enrichment patterns of CBM include the following: ① Structural Coal High Anomalous Gas Accumulation Model, such as in the Dafang Anticline. The main characteristics include a monocline structure that easily forms a drainage area, where increasing burial depth weakens the drainage, leading to the formation of a water seal in the enrichment area. ② Burial Depth-Controlled Gas Content and Permeability + Local Fault-Controlled Accumulation Model for High-Rank CBM, such as in the Bide Anticline. Key features include the development of compressive structural stress in the core of the anticline coupled with a substantial residual thickness of overlying low-permeability mudstone capping layer, providing effective sealing. The coal seams are predominantly high-rank coal with high vitrinite content and good coal quality, exhibiting high hydrocarbon generation capacity. The gas content shows an overall banded distribution, with methane content in coal reservoirs tending to increase with greater burial depth. ③ Anticline Dominance + Fault-Hydrogeological Dual Sealing Enrichment Model, such as in the Agong Anticline. The gathering of CBM in the anticline area is facilitated by faults that provide isolation, preventing free water flow and creating a dual-sealing environment conducive to CBM enrichment, thereby reducing gas dissipation. In the northern Guizhou region, the key coal-bearing structural unit’s CBM exhibits an enrichment model of “anticline dominance + fault-hydrogeological dual sealing” and is characterized by “burial depth controlling gas content and permeability + local fault controlling accumulation” as the main geological controlling factors for overall CBM resources and development geological characteristics.
The widespread development of mid- to high-order structural coal, complex pore and fracture structures, and low reservoir permeability in the northern Guizhou region have brought opportunities and challenges to the development of CBM. The shallow CBM in the northern Guizhou region below 1000 m has relatively high gas content and good preservation conditions. The roof and floor of each coal seam are composed of dense mudstone, siltstone, sandstone, and limestone, which belong to well-sealed rock layers and are conducive to the storage of CBM. The coal structure is mainly composed of primary structure coal and fragmented coal, which is beneficial for the development of CBM. The degree of coal metamorphism is high, and the overall permeability of coal reservoirs is low. Effective reservoir permeability transformation is needed during the development of CBM. The high and stable production of CBM wells largely depends on the adaptability of coal reservoir transformation methods and processes. Thin-middle thick coal seams are commonly found in the high-grade coal coalfields in northern Guizhou, and it is advisable to use segmented fracturing technology suitable for thin coal seams in Guizhou. In the process of CBM development, the development model of CBM in the Zhina Coalfield can also be used as a reference. The comprehensive development of CBM resources can be achieved through the use of underground long boreholes for dense extraction along the bedding and large-scale pre-extraction of surface wells (vertical and cluster wells), ensuring the safe and efficient exploitation of coal resources.
5. Conclusions
(1) The coal samples from the northern Guizhou region exhibit a relatively high degree of metamorphism, with well-developed pores and fractures in the coal reservoirs. The proportion of pore volume varies significantly, with micropores, transitional pores, mesopores, and macropores accounting for ranges of 11.20~37.35%, 4.58~53.02%, 3.37~12.09%, and 21.92~62.9%, respectively. Mesopores and macropores contribute little to the pore-specific surface area, comprising only 0.09% to 0.61% of the total. Overall, the pore volume of the samples is primarily contributed by macropores, while the pore-specific surface area is mainly provided by micropores and transitional pores.
(2) The primary fracture density of the coal in the study area is high, mainly distributed in 5.8~14.4 pcs/cm, while the secondary fracture density is low compared to the primary fracture density. The length of the primary fissures was 0.10~0.18 cm, the height was 0.05~0.25 cm, and the width was 5~64 μm; the primary and secondary fissure densities of the coals were positively correlated with the content of the mirror group and negatively correlated with the content of the inert group. The primary fracture density increases and then decreases with the degree of coal metamorphism, while the secondary fracture density decreases. The fracture characteristics of reservoirs with better fracture length, width and density are favorable to the storage, transportation, and drainage of CBM.
(3) The pore-specific surface area and pore volume gradually decrease with increasing vitrinite content, while they tend to increase with higher inertinite content. Higher vitrinite content results in smoother pore surfaces, whereas higher inertinite content leads to rougher pore surfaces. As the reflectance of vitrinite increases, the pore-specific surface area and pore volume initially decrease and then increase, reaching a minimum when the reflectance is at 2.3%. The fractal dimension ranges from 2.3761 to 2.8361, reflecting a complex pore structure and relatively high roughness. With increasing metamorphism, the fractal dimension D1 first decreases and then increases, as the surfaces of macropores and microfractures transition from uniform and smooth to rough and heterogeneous. The fractal dimension D2 shows a decreasing trend with increasing vitrinite reflectance; as the reflectance of vitrinite continues to rise, the complexity of the micropore surfaces in the coal gradually decreases.
(4) In the northern Guizhou region, the key coal-bearing structural units have a coalbed methane enrichment model characterized by “anticline dominance + fault-hydrogeological dual sealing” and geological controlling factors represented by “burial depth controlling gas content and permeability + local fault controlling accumulation”. High-rank coal deposits in northern Guizhou commonly feature thin to medium-thick coal seams, making it advisable to employ segmented fracturing techniques suitable for the thin coal seams in Guizhou. During the development of coalbed methane, the production model used in the Zhina coalfield can be referenced, employing intensive horizontal layered drainage through long underground boreholes and large-scale pre-extraction from surface wells (vertical and cluster well systems) to comprehensively develop coalbed methane resources, ensuring safe and efficient extraction of coal resources.
Author Contributions
H.R., writing—original draft. Z.G., supervision, methodology, and review and editing. H.X., methodology and data curation. S.H., supervision, methodology, review and editing, and funding acquisition. X.Z., methodology and resources. L.Z., methodology and resources. Y.W., supervision and methodology. W.Q., data curation, methodology. All authors have read and agreed to the published version of the manuscript.
Funding
The research was funded by the “Belt and Road” Innovation Cooperation Project of Jiangsu Province (Nos. BZ2022015), the National Natural Science Foundation of China (Nos. 42030810), the Geological Exploration Foundation of Guizhou Province (Nos. 52000021MGQSE7S7K6PRP), the Supported by Guizhou Provincial Key Technology R&D Program (NO. QianKeHeZhiCheng[2023]YiBan369), and the Guizhou Provincial Fund Project (Grant Nos. (2022) ZD001).
Data Availability Statement
All data used during this research are available from the corresponding author by reasonable request.
Conflicts of Interest
The authors declare that they have no conflicts of interest.
References
- Chen, C.; Zhou, X.; Zhao, F.; Meng, H.; Zhu, S.; Zhao, Y.; Wei, Y. Geological and engineering collaborative control technology for high production of CBM wells in thin-medium-thick coal seam clusters: A case study of Wenjiaba block in the Zhina Coalfield, Guizhou. Nat. Gas Ind. 2023, 43, 55–64. [Google Scholar]
- Sui, H.; Li, X.; Pei, P. Study on the Influence of Characteristics of Pore Structure on Adsorption Capacity of Tectonic Coals in Guizhou Province. Energies 2022, 15, 3996. [Google Scholar] [CrossRef]
- Zhang, Z.; Qin, Y.; Yi, T.; You, Z.; Yang, Z. Pore Structure Characteristics of Coal and Their Geological Controlling Factors in Eastern Yunnan and Western Guizhou, China. Acs Omega 2020, 5, 19565–19578. [Google Scholar] [CrossRef] [PubMed]
- Lou, Y.; Su, Y.; Wang, W.; Xia, P.; Wang, K.; Xiong, W.; Yu, Y.; Shao, L.; Yang, F.; Chen, X. Coal Facies and Its Effects on Pore Characteristics of the Late Permian Longtan Coal, Western Guizhou, China. Geofluids 2022, 2022, 6071514. [Google Scholar] [CrossRef]
- Zheng, S.; Sang, S.; Yao, Y.; Liu, D.; Liu, S.; Wang, M.; Feng, G. A multifractal-based method for determination NMR dual T2 cutoffs in coals. J. Petrol. Sci. Eng. 2022, 214, 110488. [Google Scholar] [CrossRef]
- Ren, P.; Xu, H.; Tang, D.; Li, Y.; Sun, C.; Tao, S.; Li, S.; Xin, F.; Cao, L. The identification of coal texture in different rank coal reservoirs by using geophysical logging data in northwest Guizhou, China: Investigation by principal component analysis. Fuel 2018, 230, 258–265. [Google Scholar] [CrossRef]
- Han, S.; Wang, S.; Guo, C.; Sang, S.; Xu, A.; Gao, W.; Zhou, P. Distribution of the adsorbed density of supercritical CO2 onto the anthracite and its implication for CO2 geologic storage in deep coal. Geoenergy Sci. Eng. 2024, 234, 212624. [Google Scholar] [CrossRef]
- Wang, Q.; Yan, Q.; Zhang, Y.; Zhou, F. Enrichment Mechanism of Lithium in Late Permian Coals in the Bijie Area, Guizhou, China. Acs Omega 2022, 7, 16361–16370. [Google Scholar] [CrossRef]
- Yang, T.; Shen, Y.; Lu, L.; Jin, J.; Huang, W.; Li, F.; Zhang, Y.; Hu, J.; Zeng, L. Geological factors for the enrichment of critical elements within the Lopingian (Late Permian) coal-bearing strata in western Guizhou, Southwestern China: Constrained with whole-rock and zircon geochemistry. Int. J. Coal Geol. 2024, 282, 104441. [Google Scholar] [CrossRef]
- Chen, S.; Tang, D.; Tao, S.; Chen, Z.; Xu, H.; Li, S. Coal Reservoir Heterogeneity in Multicoal Seams of the Panguan Syncline, Western Guizhou, China: Implication for the Development of Superposed CBM-Bearing Systems. Energy Fuels 2018, 32, 8241–8253. [Google Scholar] [CrossRef]
- Chen, Y.; Qin, Y.; Li, Z.; Chang, H.; Luo, Z. Magma thermal metamorphism of the Longtan formation coals in Zhina coalfield, Guizhou. Zhongguo Kuangye Daxue Xuebao/J. China Univ. Min. Technol. 2012, 41, 406–414. [Google Scholar]
- Li, X.; Tang, X.; Guo, S.; Zhang, J.; Deng, E.; Lan, C. Fine-Grained Lithofacies Types and Sedimentary Model of the Upper Permian Longtan Formation Coal Measures in the Western Guizhou Region, South China. Acs Omega 2023, 8, 29646–29662. [Google Scholar] [CrossRef] [PubMed]
- Wang, L.; Zhang, G.; Liu, J.; Chen, X.; Li, Z. Effect of the Pore Structure on Adsorption and Diffusion Migration of Different Rank Coal Samples. Energy Fuels 2020, 34, 12486–12504. [Google Scholar] [CrossRef]
- Guo, C.; Qin, Y.; Wu, C.; Lu, L. Hydrogeological control and productivity modes of coalbed methane commingled production in multi-seam areas: A case study of the Bide–Santang Basin, western Guizhou, South China. J. Pet. Sci. Eng. 2020, 189, 107039. [Google Scholar] [CrossRef]
- Chen, S.; Tang, D.; Tao, S.; Liu, P.; Mathews, J.P. Implications of the in situ stress distribution for coalbed methane zonation and hydraulic fracturing in multiple seams, western Guizhou, China. J. Pet. Sci. Eng. 2021, 204, 108755. [Google Scholar] [CrossRef]
- Fang, X.; Wu, C.; Jiang, X.; Liu, N.; Zhou, D.; Ju, Y. Characteristics of in situ stress and its influence on coal seam permeability in the Liupanshui Coalfield, Western Guizhou. Energy Sci. Eng. 2021, 9, 1773–1786. [Google Scholar] [CrossRef]
- Ren, P.; Xu, H.; Tang, D.; Li, Y.; Chen, Z.; Sun, C.; Zhang, F.; Chen, S.; Xin, F.; Cao, L. Pore structure and fractal characterization of main coal-bearing synclines in western Guizhou, China. J. Nat. Gas Sci. Eng. 2019, 63, 58–69. [Google Scholar] [CrossRef]
- Zhang, J.; Wei, C.; Vandeginste, V.; Ju, W.; Qin, Z.; Quan, F.; Soh Tamehe, L. Experimental Simulation Study on Water Migration and Methane Depressurizing Desorption Based on Nuclear Magnetic Resonance Technology: A Case Study of Middle-Rank Coals from the Panguan Syncline in the Western Guizhou Region. Energy Fuels 2019, 33, 7993–8006. [Google Scholar] [CrossRef]
- Li, C.; Yang, Z.; Chen, J.; Sun, H. Prediction of Critical Desorption Pressure of Coalbed Methane in Multi-coal Seams Reservoir of Medium and High Coal Rank: A Case Study of Eastern Yunnan and Western Guizhou, China. Nat. Resour. Res. 2022, 31, 1443–1461. [Google Scholar] [CrossRef]
- Peng, Y.; Chen, G.; Liu, P.; Qi, X.; Song, S. Comparative analysis of pore structure and fractal characteristics of micropores in medium and high rank coals—Taking the typical mining area of western Guizhou and eastern Yunnan as an example. Iop Conf. Ser. Earth Environ. Sci. 2019, 332, 22015. [Google Scholar] [CrossRef]
- Lu, G.; Wei, C.; Wang, J.; Meng, R.; Soh Tamehe, L. Influence of pore structure and surface free energy on the contents of adsorbed and free methane in tectonically deformed coal. Fuel 2021, 285, 119087. [Google Scholar] [CrossRef]
- Guo, C.; Qin, Y.; Xia, Y.; Ma, D.; Han, D.; Chen, Y.; Chen, W.; Jian, K.; Lu, L. Geochemical characteristics of water produced from CBM wells and implications for commingling CBM production: A case study of the Bide-Santang Basin, western Guizhou, China. J. Pet. Sci. Eng. 2017, 159, 666–678. [Google Scholar] [CrossRef]
- Li, S.; Tang, D.; Pan, Z.; Xu, H.; Guo, L. Evaluation of coalbed methane potential of different reservoirs in western Guizhou and eastern Yunnan, China. Fuel 2015, 139, 257–267. [Google Scholar] [CrossRef]
- Cai, Y.; Li, Q.; Liu, D.; Zhou, Y.; Lv, D. Insights into matrix compressibility of coals by mercury intrusion porosimetry and N2 adsorption. Int. J. Coal Geol. 2018, 200, 199–212. [Google Scholar] [CrossRef]
- Sun, H.; Wang, C. Damage mechanism of cement slurry to CBM reservoirs with developed fractures and cleats: A case study from eastern Yunnan and western Guizhou in China. Nat. Gas Ind. B 2019, 6, 145–150. [Google Scholar] [CrossRef]
- Jin, J.; Yang, Z.; Qin, Y.; Cui, Y.; Wang, G.; Yi, T.; Wu, C.; Gao, W.; Chen, J.; Li, G.; et al. Progress, potential and prospects of CBM development in Guizhou Province. J. China Coal Soc. 2022, 47, 4113–4126. [Google Scholar]
- Xie, H.; Li, X. Microstructure and nanomechanical characterization of tectonic coal based on SEM, AFM, XRD and DSI. Surf. Interfaces 2024, 46, 104158. [Google Scholar] [CrossRef]
- Ji, H.; Mao, Y.; Su, H. Effects of organic micromolecules in bituminous coal on its microscopic pore characteristics. Fuel 2020, 262, 116529. [Google Scholar] [CrossRef]
- Yan, F.; Xu, J.; Peng, S.; Zou, Q.; Zhou, B.; Long, K.; Zhao, Z. Breakdown process and fragmentation characteristics of anthracite subjected to high-voltage electrical pulses treatment. Fuel 2020, 275, 117926. [Google Scholar] [CrossRef]
- Xie, H.; Li, X.; Sui, H.; Cai, J.; Xu, E.; Zhao, J. Acidification-Induced Micronano Mechanical Properties and Microscopic Permeability Enhancement Mechanism of Coal. Langmuir 2024, 40, 4496–4513. [Google Scholar] [CrossRef]
- Liu, X.; Kong, X.; Nie, B.; Song, D.; He, X.; Wang, L. Pore Fractal Dimensions of Bituminous Coal Reservoirs in North China and Their Impact on Gas Adsorption Capacity. Nat. Resour. Res. 2021, 30, 4585–4596. [Google Scholar] [CrossRef]
- Li, Z.; Ren, T.; Li, X.; Qiao, M.; Yang, X.; Tan, L.; Nie, B. Multi-scale pore fractal characteristics of differently ranked coal and its impact on gas adsorption. Int. J. Min. Sci. Technol. 2023, 33, 389–401. [Google Scholar] [CrossRef]
- Zhang, M.; Duan, C.; Li, G.; Fu, X.; Zhong, Q.; Liu, H.; Dong, Z. Determinations of the multifractal characteristics of the pore structures of low-, middle-, and high-rank coal using high-pressure mercury injection. J. Petrol Sci. Eng. 2021, 203, 108656. [Google Scholar] [CrossRef]
- Hodot, B.B. Coal and Gas Outburst; China Industry Press: Beijing, China, 1996. [Google Scholar]
- Wei, J.; Su, E.; Xu, G.; Yang, Y.; Han, S.; Chen, X.; Chen, H.; An, F. Comparative analysis of permeability rebound and recovery of tectonic and intact coal: Implications for coalbed methane recovery in tectonic coal reservoirs. Energy 2024, 301, 131702. [Google Scholar] [CrossRef]
- Yang, Z.; Gao, W.; Qin, Y.; Zhang, M.; Li, C.; Yan, Z.; Liang, Y.; Lu, B.; Chen, Y.; Wu, C.; et al. Geological characteristics and resource potential of deep coalbed methane in Guizhou. J. China Coal Soc. 2024, 49, 348–361. [Google Scholar]
- Yang, Y.; Liu, S. Integrated modeling of multi-scale transport in coal and its application for coalbed methane recovery. Fuel 2021, 300, 120971. [Google Scholar] [CrossRef]
Disclaimer/Publisher’s Note: The statements, opinions and data contained in all publications are solely those of the individual author(s) and contributor(s) and not of MDPI and/or the editor(s). MDPI and/or the editor(s) disclaim responsibility for any injury to people or property resulting from any ideas, methods, instructions or products referred to in the content. |
© 2024 by the authors. Licensee MDPI, Basel, Switzerland. This article is an open access article distributed under the terms and conditions of the Creative Commons Attribution (CC BY) license (https://creativecommons.org/licenses/by/4.0/).








