Abstract
This study investigates the modeling and dynamic analysis of three coupled electromechanical systems, emphasizing interactions between a magnetic linear drive and frictional contact with flat springs. The experimental setup includes a table driven by a three-phase permanent magnet linear synchronous motor (PMLSM) using an LMCA4 inductor, LMCAS3 magnetic track, and Xenus XTL controller. Mechanical phenomena such as stick-slip friction and impulsive loads are observed, particularly due to the rapid buckling of flat springs. These springs transition between sliding friction and fixation, impacting the motor’s operation during reciprocating velocity trajectories and generating acoustic emissions. Numerical simulations using COMSOL Multiphysics evaluate the magnetic field and system geometry in two- and three-dimensional spaces. Key findings include mechanical stick-slip vibrations, numerical modeling of the linear drive, and comparative analysis of experimental and simulated inductor current variations. Additionally, energy loss mechanisms under irregular loading conditions are assessed. The results highlight the coupling between friction-induced current changes and magnetic field variations, elucidating their impact on motor efficiency, vibration propagation, and acoustic emissions. The study provides insights into optimizing the design and reliability of coreless linear motors for precision applications under discontinuous loading.
1. Introduction
The critical demand for high productivity and high-precision measurement and production has prompted the rapid development of high-speed and high-precision feed devices, including detection platforms, machine tools, precision operating systems, and automatic assembly machines [1,2].
1.1. The Dynamic Performance, Frictional Resistance and Positioning Precision
Conventional linear motion systems employ ball screws and rotational motors to provide linear motion; however, the feed drive system’s performance is constrained by the system’s rotation speed, backlash, inertia, and hysteresis [3]. Permanent magnet linear synchronous motors (PMLSMs) with stator segmented structures are widely used in the design of high-power propulsion systems [4,5,6]. The dynamic performance and positioning precision of a feed system powered by a PMLSM are greatly enhanced by the absence of intermediary mechanical transmission components. Unlike rotary motors, disturbances such as thrust ripple and friction directly reduce the performance of the PMLSM system due to the elimination of mechanical transmission [7,8]. The most serious outcome is that these force ripples excite mechanical resonances at specific velocities [9].
A continuous speed curve is often designed as the reference speed curve when step-type load forces and detent forces are imposed on PM actuators [10]. On the other hand, mechanical vibrations can arise in PMLSMs due to detent forces, which result from interactions between the mover’s permanent magnets and the stator’s slots or teeth. This periodic force, influenced by variations in the magnetic field and reluctance along the motor’s length, is subject to various control techniques [11].
From a mechanical perspective, uncertainties, force ripple, and frictional effects driven by discontinuity mechanisms play a crucial role in optimizing PMLSM performance. As noted in [12,13,14], these factors present significant challenges for designing advanced controllers capable of achieving high-speed and high-precision performance.
Thrust ripple and friction are two significant nonlinear disturbances affecting the dynamic performance of PMLSMs, leading to vibrations [9,15]. Thrust ripple is position-dependent and influenced by the slot-pole combination. Two primary methods for reducing this ripple are motor structure optimization and force ripple compensation [16]. Friction, arising from external loading, is a typical disturbance that remains inadequately compensated. It depends on operating speed and the intensification of dynamically varying forces acting on the forcer (mover). Analyzing these mechanisms and adjusting methods based on working conditions is essential.
However, literature addressing the analysis or compensation of discontinuous mechanical loading in coreless rotary or linear permanent magnet motors is scarce. Most studies, except for e.g., [17,18,19], focus on viscous friction loading rather than the mechanical discontinuous loading mechanisms analyzed in this article.
1.2. COMSOL Multiphysics in Similar Numerical Simulations
This part presents selected applications of COMSOL Multiphysics (CM) in analyzing and optimizing electromagnetic systems, focusing on PMLSM, linear permanent magnet motors (LPMMs), and related technologies. COMSOL’s FEA and multi-objective optimization capabilities have been leveraged by researchers to improve the performance, efficiency, and reliability of these systems. The studies reviewed here cover topics including motor performance enhancement, health risk assessments of electromagnetic fields, and geophysical applications of electromagnetic methods.
Several studies utilized CM to enhance performance and analyze various aspects of electromagnetic systems, demonstrating its versatility across fields. For instance, in optimizing a PMLSM with a discontinuous armature arrangement, CM was employed for FEA and multi-objective optimization, improving back EMF properties, saturation magnetic flux density, and detent force [20].
In the realm of linear permanent-magnet motors (LPMMs), another approach compared several models and analyzed performance variations using CM. The study explored finite-element analyses to improve LPMM design and performance [21].
COMSOL has also been applied beyond motor design. For example, in assessing health risks associated with low-frequency electric and magnetic fields near high-voltage power transmission lines, the software calculated electromagnetic fields and compared them with International Commission on Non-Ionizing Radiation Protection guidelines [22].
Similarly, a study on cogging forces in linear synchronous motors used CM’s FEA capabilities to simulate forces on a curved track. This research was part of the Thirty Meter Telescope project on Mauna Kea, Hawaii, where accurate modeling of these forces was crucial for design [23].
Further extending CM’s applications, a vibration coupling model for PMLSM examined relationships between magnetic fields and magnetostriction strain. This model analyzed the impact of tooth density saturation on vibration behavior under overload conditions, contributing to a deeper understanding of system dynamics [24].
Lastly, CM’s geophysical electromagnetic methods were employed to investigate time-varying magnetic fields at Earth’s surface. This approach modeled magnetometric resistivity and other electromagnetic techniques, providing valuable insights into subsurface conductivity and geological structures [25].
1.3. Energy Loss Mechanisms
In the last part of the work, significant energy loss mechanisms in the linear motor under loading are evaluated. The field of motor dynamics is well known, but applying methodologies depends on the motor and its operating environment. For instance, paper [26] introduces a strategy-circuit-field co-simulation method to accurately calculate PMSM system losses by integrating control strategy, inverter, and motor interactions. The approach synchronizes control theory, circuit simulations, and motor field simulations to reflect the system’s physical processes. To enhance accuracy, it incorporates a hysteresis-based method for iron loss calculations. Building on this, eddy current losses in magnets, as discussed in [27], are critical in rotor design for PMSMs. Stator harmonics, influenced by high-frequency inverters, significantly affect magnet losses, often causing rotor overheating and potential demagnetization. Techniques like magnet segmentation and advanced loss modeling aim to mitigate these effects, although their effectiveness varies with motor and stator design. Experimental validations provide crucial insights into optimizing motor designs to minimize losses.
1.4. Organization of This Work
The organization of this work follows a logical progression, beginning with an introduction to the topic, which sets the stage for the importance of the study outlined in Section 2. Section 3 provides a detailed examination of the time-varying mechanical loading, crucial for understanding the effects of irregular variations in loading on the linear motor control system discussed in Section 4. The analysis of the finite element model of the ironless linear motor is presented in Section 5, which lays the foundation for evaluating energy loss mechanisms under loading in the subsequent Section 6. The work concludes with insights into future directions and potential extensions in Section 7, followed by Conclusions.
2. Importance of This Work
The increasing demand for high-speed and high-precision motion systems has driven the evolution of linear drives, particularly Permanent Magnet Linear Synchronous Motors (PMLSMs). Unlike traditional ball screw systems, PMLSMs eliminate intermediary mechanical components, enhancing dynamic performance and positioning accuracy. However, this advantage comes with challenges such as suppressing thrust ripple caused by the end force [28], frictional disturbances, insufficiently observed mechanical load disturbances including their control [29], and mechanical vibrations [30], which can degrade linear motor performance. This study considers the interplay between these factors, focusing on energy losses and their implications for motor efficiency.
2.1. Problem Statement
Mechanical vibrations in PMLSMs often arise due to detent forces originating from interactions between the mover’s permanent magnets and the stator’s slots or teeth. These periodic forces are exacerbated by variations in magnetic field and reluctance along the motor’s length. Furthermore, stick-slip friction introduces impulsive loading, complicating the dynamic response of the motor. These phenomena collectively hinder the system’s ability to maintain consistent motion, particularly under variable load conditions.
2.2. Identifying Energy Loss Mechanisms
The choice of loss estimation formulas depends on the dominant physical phenomena in the analyzed system. In the case of a coreless linear synchronous motor subjected to stick-slip friction, we examine specific loss mechanisms, including: electric power dissipation, such as winding losses, eddy current losses in conductive materials like the magnetic track, and mechanical power losses due to the interaction of contacting solid surfaces driven by the motor.
Eddy current losses in the rotor magnets are significantly influenced by stator harmonics induced by high-frequency inverters. These losses not only contribute to heating but also risk demagnetizing the magnets, especially under inadequate cooling. Design strategies like magnet segmentation can mitigate these effects, but their success is contingent on the specific rotor-stator configuration.
Referring to the losses in the mechanical part of the investigated dynamical system, the stick-slip friction at the contact interface introduces impulsive forces, leading to wear and reduced motor lifespan. The discontinuous nature of these forces poses challenges for conventional control strategies, necessitating advanced compensation techniques.
2.3. Methodology
This work employs a hybrid approach, combining experimental observations and numerical simulations to evaluate the energy losses in a PMLSM subjected to stick-slip friction. The experimental setup includes: (i) a three-phase PMLSM (LMCA4 inductor, LMCAS3 magnetic track) controlled via a Xenus XTL controller, and (ii) flat spring mechanisms to replicate real-world frictional interactions.
The constructed numerical models simulate the magnetic field distribution and quantify potential losses under varying dynamic conditions. They integrate Finite Element Analysis (FEA) for evaluating magnetic flux density, coil current, and eddy current losses.
The experimental laboratory station, equipped with a precise vibration monitoring measurement system, is used to acquire time histories of vibrations in the mechanical load. The real data are then used to compute the portion of energy losses generated by the contact surfaces of the forcing table with two flat springs exerting a normal force on the motor.
2.4. Main Contribution
This study contributes to theoretical modeling and practical implementation by providing an analysis of frictional interactions and magnetic field dynamics in motor performance, highlighting the role of energy loss mechanisms in PMLSMs.
Understanding and mitigating energy losses in PMLSMs is crucial for industrial applications such as: (i) high-precision manufacturing, where precise motion repetition is essential; (ii) robotics, which demands precise control under dynamic loading conditions; and (iii) transportation, where linear propulsion systems benefit from reduced energy losses and enhanced reliability.
The insights from this work underscore the importance of integrating advanced modeling techniques with experimental validation to address the challenges posed by energy losses in PMLSMs. By tackling these issues, the study emphasizes the significance of discontinuous mechanical loads, contributing to the development of more efficient and reliable linear drive systems for high-precision applications.
3. The Time-Varying Mechanical Loading
3.1. The Physical Model
In our research on friction in the presence of a magnetic field generated by drive elements, we consider a magnetic linear drive to which a table is attached, serving as the lower friction plane (see Figure 1a). Friction arises from the repetitive linear motion of the table in contact with the end of a flat spring. The end of the flat spring is shaped like a cylinder, which rubs against the table’s surface–its specially selected lining. As a result of the varying contact force, which changes due to the movement of the other fixed end of the beam in a direction perpendicular to the friction surface, a variable mechanical load is observed on the motor driving the lower friction surface. With a properly selected table speed, which varies cyclically (e.g., quasi-sinusoidally), an appropriate level of force from the flat elastic element visible in Figure 1a, or a suitable pair of friction surface materials, it is possible to create conditions in the dynamic system under study where acoustic waves are emitted. The occurrence of these waves is strictly conditional. Due to this emission, the conditions of mechanical contact change, leading to some coupling (a kind of feedback) of different mechanical vibrations at both high (the acoustic wave component) and low (the flat spring and the table forcing component) frequencies. As observed experimentally (see also a case of similar influence reported in [31]), during this complex process, the stick-slip effect predominantly determines the dynamics of the frictional contact.
Figure 1.
The dynamical coupling between the linear motor driving the table in a frictional contact with flexible flat springs. The following contact forces can be distinguished: —normal reaction, —tangential force, —friction force. The table is subjected to a quasi periodic forcing generated by the motor. Two opposing laser sensors (L) measure the vibrations of both flat springs.
The study of the magnetic linear drive subject to periodic but also an irregular frictional loading focuses on analyzing its magnetic field, specifically the magnetic flux density in the stator, inductor and the surrounding space around the linear motor.
Investigations of this motor driving a vibrating system are conducted experimentally, but to obtain the distribution of the magnetic field, numerical methods using COMSOL software will be applied. For this purpose, the electromechanical drive under study, coupled with the double-spring dynamical system creating irregular, discontinuous frictional loading, is modeled physically, as shown in Figure 1b, and visualized numerically in two dimensions using COMSOL (see Section 5.3).
On the experimental stand, the total normal reaction to a downward force perpendicular to the table consists mainly of two components: the weight of the shafts attached to the free ends of the flat springs and the weight of the table with its bearings.
We also analyze the impact of the additional normal force exerted by the flat springs in frictional contacts with the table driven by the linear motor. The movable support in Figure 1b controls the distance , thus determining the initial force at which the flat spring’s ends load the table.
The four rolling bearings supporting the table, in contact with two symmetrically arranged linear guides, have a high preload of approximately 4 kN. If the additional pressure from the springs (opposite to the reactions ) is no more than 10 N, the extra resistance from the bearings is negligible compared to the preload, which eliminates backlash. However, the bent springs exert resistance, generating a tangential friction force on the table’s surface, indirectly affecting the motor’s movement by 3.5 cm. This load significantly influences the desired force that drives the table and affects the motor’s energy production and the resulting magnetic field.
3.2. Model of the Frictional Contact
To adapt the approximate friction law at the contact between the cylindrical surfaces of the movable ends of the flat springs and the copper table lining in COMSOL Multiphysics, the sliding friction model described below is implemented.
In COMSOL Multiphysics, the exponential Coulomb friction law can be implemented to model friction forces that depend on relative velocity. This law is particularly useful in our investigations for capturing the behavior of friction in the analyzed coupled dynamical system, where the variation of the friction force is assumed to be exponential with respect to velocity. The typical form of the exponential Coulomb friction law that combines static and dynamic friction coefficients with a decay factor to smoothly transition between static and dynamic friction states can be expressed in the analytical form:
where: —exponential decay coefficient, —static friction coefficient, —dynamic friction coefficient, N—normal force (compare with in Section 3.1), —cohesion sliding resistance (the initial frictional resistance due to cohesion when there is no normal force), —maximum tangential traction (the upper limit of the frictional force that can be applied tangentially), —relative tangential velocity.
The friction model simulates the contact between cylindrical surfaces (movable ends of flat springs) and the copper table lining in COMSOL Multiphysics. It uses the exponential Coulomb friction law, which captures frictional behavior depending on relative velocity. The model accounts for both static and dynamic friction, with a smooth transition between them governed by an exponential decay factor ().
Incorporating cohesion sliding resistance and maximum tangential traction ensures realistic frictional conditions. The term in the exponential decay captures velocity-dependent transitions between static and dynamic friction. limits the friction force, preventing non-physical values. The model combines static and dynamic friction smoothly, with a gradual reduction from static to dynamic friction as velocity increases, consistent with experimental observations.
The static friction coefficient represents the maximum friction before motion starts, while represents the friction during motion, both relative to the normal force N. Cohesion sliding resistance accounts for initial friction when no normal force is applied, and limits the maximum tangential friction force, preventing non-physical values.
This model captures the frictional forces in a dynamic system with discontinuous mechanical loading, using parameters that describe the surface interaction, velocity-dependent friction, and normal forces at the contact points.
After a preliminary assessment, a set of friction model parameters related to the materials of both sliding contact surfaces used in the simulation is presented in Table 1.
Table 1.
Parameters of the frictional contact in the numerical simulation.
When using the exponential dynamic Coulomb friction model in COMSOL, the normal force N is typically not defined manually but is instead computed dynamically as part of the contact mechanics solution. Computation of the normal force is done using the principles of contact mechanics, where the normal force arises due to the penetration or separation between the contact surfaces. Once the normal force is determined at each time step, the defined friction model (1) is used to calculate the tangential frictional force.
The aforementioned law in COMSOL can be implemented by defining a custom expression for the friction force that includes exponential decay with respect to velocity. This involves setting up the parameters, defining the variables for velocity and normal force, and using the expression in the appropriate boundary condition or load definition.
The principle of assigning the static friction force involves understanding the conditions under which the friction force acts and the materials and surfaces involved. It depends on the material properties of the contacting surfaces. Different materials have different coefficients of static friction, which determine the maximum friction force before motion starts. One assumes that the static friction force is proportional to the normal force. This is the force perpendicular to the contact surfaces shown in Figure 1b, i.e., given by , where is the non-dimensional coefficient of static friction representing the ratio of the maximum static friction force to the normal force (determined experimentally or read from tables for different material pairs).
If the normal force N changes during the experiment, it will affect the definition and behavior of the contact friction law. In the context of modeling with COMSOL, we need to account for the variable nature of N to ensure accurate simulation of frictional forces. Instead of a fixed parameter, we define N as a variable that can change with time or other dependent variables. Then we update computation of the friction force based on the current value of N at each time step.
3.3. A Discontinuous Behavior Determined by the Stick-Slip Friction
The time trajectories of the displacements of characteristic points of the flat springs are illustrated below. In Figure 2b, we observe a situation where, with a greater proximity, and thus a smaller value of , resulting in a greater normal pressure on the contact surfaces , the cylindrical ends of both springs do not slide over the surface of the table but rather roll across it. A numerical analysis for the stick-slip vibration of a transversely moving beam, considering both stick-slip transition and friction force discontinuity has been considered in [32]. Worth noticing is that similarly to the problem analyzed in this work, the effects of the axial load and the moving speed upon the dynamic response were also examined.
Figure 2.
Experimental dynamic response of the double-spring system in frictional contact governed by a stick-slip phenomenon with a table driven by a magnetic linear motor, with two different normal loads applied to the table.
There is no relative sliding on the surface of the table (we cannot be certain about the absence of micro-sliding), and the trajectories resemble the motion trajectories of the table excited by the magnetic linear drive. Due to axial loading, the flat springs undergo regular buckling, and at moments of changing the buckling profile (most often even jumping), their cylindrical ends are maximally pressed against the table. This generates an impulse of resistive force loading the examined drive. As a result, the control system discussed in the next section increases the current flowing in the coils in a controlled manner. The increase in the current intensity flowing through the motor coils affects the distribution of the magnetic field inside the stator, as well as in the immediate vicinity of the drive.
In a somewhat different situation, we have the second case illustrated in Figure 2a. The lengths of both springs are only slightly greater than –the distance between the table surface and the spring mount, so with a 25 amplitude of table motion, the cylindrical ends of the springs begin to slide over the table surface. This cyclic and short-term slipping-sticking friction introduces a discontinuous resistive force to the motion of the magnetic motor, and the normal force is slightly lower. Interestingly, during the friction process, both laser sensors detected micro-displacement with a relatively higher oscillation frequency, causing an acoustic wave emitted intermittently during the slipping phase. This is another phenomenon causing the variable nature of the motor’s loading.
Due to the aforementioned dynamic phenomena, the magnetic field generated by the examined electromagnetic drive will change appropriately over time. The numerical simulation of the distribution of this field during the motion of the table subjected to its own resistive forces caused by the inertia of its mass and the resistance in the rolling bearings, as well as the additional loading from the system of flat springs, will be described below.
3.4. Significance of Experimental Validation
Experimental investigations play a crucial role in verifying and refining the theoretical and numerical models developed in this study. The complex dynamics of the magnetic linear drive system, particularly under irregular and discontinuous mechanical loading, require experimental validation to ensure the accuracy of the model assumptions.
Observations such as stick-slip behavior, acoustic wave emissions, and coupled vibrational modes offer essential insights into the system’s frictional and dynamic characteristics. These experimental results help calibrate the numerical simulations performed with COMSOL Multiphysics. For example, the exponential Coulomb friction model (Section 3.2) relies on experimentally obtained parameters, including static and dynamic friction coefficients, normal force variations, and tangential velocity.
Beyond validating the numerical outcomes, experimental data highlight phenomena that may not be fully captured in theoretical models, such as nonlinear coupling effects and transitions between frictional regimes. This emphasizes the importance of integrating experimental feedback into the modeling process to improve accuracy and predictive capability.
By comparing experimental results with numerical simulations, the study ensures a comprehensive understanding of the magnetic linear drive’s behavior under varying conditions, contributing to more robust designs and optimized operational parameters.
In the next section we describe control system of the linear motor and also its current characteristics under various conditions.
4. The Linear Motor Control System Subjected to Irregular Variations of Mechanical Loading
The task of the control system is to maintain the desired time trajectory of the table attached to the motor. The system faces constant loads such as linear guide resistance and variable loads due to the inertial forces of the table and the resistance of the beams being pressed against the table to induce a specific stick-slip motion, resulting in significant and irregular variations in the load on the drive system. Consequently, the cascade control system shown in Figure 3 attempts to adjust the current in the motor’s inductor coils.
Figure 3.
Schematics of the control system of the LMCAS3 Ironless Linear Motor.
The following control variables and parameters have been applied: —reference position, —measured position, —set velocity, —derivative of actual position with respect to time, —set current, —measured current, —voltage on the motor windings, position controller gain , velocity controller gain , inverse of the doubling time of the velocity controller (multiplied by the gain), current controller gain in the motor windings , inverse of the doubling time of the current controller .
To achieve linear motion in a three-phase linear motor using a quasi-sinusoidal current, the three coils need to be energized with three-phase currents that are phase-shifted relative to each other. This approach creates a traveling magnetic field, which interacts with the magnetic field of the permanent magnets (or other components in the linear motor) to generate force (thrust) and motion. The thrust produced by the linear motor should effectively overcome all frictional forces including that from the table’s contact with the double-spring system and any additional loads, ensuring motion. An ironless PMLSM produces a thrust (see in Section 3.1) nearly proportional to the armature current [33]. The control system implemented on driver Xenus XTL is a most popular one, but various control strategies including adaptive fuzzy active disturbance rejection control [34], adaptive backstepping control [35] or even deadbeat predictive current control of PMLSM with segmented stators [36] are used.
4.1. Coil Current Characteristics
The table movement speed and the inductor current are regulated by PI controllers, while the position is subject to P regulation only. The current variations generated by the driver Xenus XTL for different motor load scenarios, i.e., (i) no external load, (ii) the first level external load , (iii) the second level external load are shown in Figure 4.
Figure 4.
Variation of actual coil current measured on the experimental stand.
4.2. Accuracy of Velocity Trajectory
In this part, we assess the accuracy of reproducing the table’s velocity trajectory. We examine the impact of discontinuous vibrations with friction under varying normal loads on the stability and repeatability of the linear magnetic drive’s motion.
Based on the experimental measurements shown in Figure 5 conducted on the experimental setup, it can be observed that when operating under two different frequencies of the prescribed velocity trajectory, the motor in question exhibits consistent performance. Controlled by the regulation system described in Section 4 and subjected to various types of loading, the motor does not show significant discrepancies.
Figure 5.
Variation of actual velocity of the forcer v measured on the experimental stand under the following conditions: (i) no external load, (ii) the first level external load , (iii) the second level external load .
The parameters of both PI controllers in the voltage and current loops were optimally selected so that even the higher additional load on the motor did not significantly impact the deviation from the desired sinusoidal velocity trajectory with a frequency and amplitude .
The applied multidimensional control system, shown in the block diagram in Figure 3, is efficient in this configuration and handles motion resistances, including dynamic resistances dependent on electrical, magnetic, and mechanical effects. The effectiveness of these constants is confirmed by the nearly overlapping characteristics obtained under different additional loads (I, II, and without such a load, where the motor only overcomes the bearing resistance of the table and the moments of inertia) as shown in Figure 5. To reduce the load on the control system, a lightweight and rigid aluminum table with optimally selected thickness ensuring the desired stiffness was used.
In conclusion, maintaining the linear feed velocity according to the prescribed quasi-sinusoidal pattern was made possible by applying the current trajectory described in the previous section, developed by the automatic control system outlined in Figure 3. The result of current fluctuations in individual coils is the variation in the magnetic field distribution, which is simulated later in this paper in Section 5.3.
5. Finite Element Analysis of Ironless Linear Motor
5.1. Electrical and Mechanical Model Parameters
Finite element analysis (FEA) allows for a detailed spatial representation of variables like magnetic flux density, current distribution, and loss density, which are challenging to measure precisely in experiments. Technically, FEA converts complex continuous problems into a discrete system of algebraic equations, enabling the simulation of real-world systems.
This section examines the magnetic field distribution of a PMLSM double-sided, linear motor from HIWIN, with the model shown in Figure 6.
Figure 6.
Simple configuration of the LMCAS3 ironless linear motor.
Specifically, we consider the forcer LMCA4 with the parameters listed in Table 2, and the magnetic track LMCAS3 models.
Table 2.
Electrical and mechanical data for LMCA4 at 25 °C ambient temperature in ±10% of tolerance.
The motor’s stationary part has a U-shaped iron structure with permanent magnets, while the moving parts are ironless three-phase windings powered by sinusoidal voltages. A mathematical model of the PMLSM, based on energy conservation and flux linkage, is provided in [37], assuming a lumped parameter circuit with a linear relationship between magnetic field energy and current.
5.2. Assumptions in the Simulation of the PMLSM
To ensure computational efficiency while maintaining accuracy in the simulation of the Permanent Magnet Linear Synchronous Motor (PMLSM), the following assumptions were made.
5.2.1. Magnetic Field Behavior
The low-frequency electromagnetic state differential Maxwell’s equations [38], i.e: Faraday’s law of induction, Ampére’s law with Maxwell’s correction (this correction has not been used in the simulation), Gauss’s law for electricity and Gauss’s law for magnetism are as follows:
where t is time, is the electric field intensity (, is the magnetic flux density (T), is the electric flux density (−2), and is the magnetic field strength (A/m). The charge density is denoted by (−3), and the current density by (−2).
In general, the FEM uses Equations (2) to accurately predict and quantify the magnetic field distribution in an ironless PMLSM [39].
The magnetic field was assumed to be quasi-static, implying negligible displacement current effects with the field accounting for charge distributions. Linear material properties were assigned to the permanent magnets and the ironless stator, neglecting magnetic saturation and stray fields outside the active region. In this case Maxwell’s equations under the quasi-static assumption simplify to:
5.2.2. Stray Magnetic Fields Neglected
Stray fields beyond the active region were assumed insignificant, restricting the magnetic domain to a computationally efficient boundary with the condition on external boundaries (stray fields neglected), where is the unit normal vector to the boundary surface.
5.2.3. Eddy Current Losses
Eddy current losses were included in conductive components using the harmonic or transient electromagnetic module:
where ( is the power loss due to eddy currents, (−1) is the conductivity, and A (2) is the area of the conductive region.
5.2.4. Thermal Effects Decoupled
Heat generation due to electromagnetic losses was assumed negligible, and thermal effects were decoupled from the simulation.
5.2.5. Exploitation of Symmetry
Symmetry in the geometry and magnetic field distribution was exploited to reduce the computational domain’s complexity, applying the symmetric boundary conditions:
5.2.6. Rolling Bearings and Contact Modeling
The rolling bearings were assumed to act as a contact pair with the magnetic track line, and contact pairs were also assumed between the spring and table. These interactions were modeled using a penalty method for contact mechanics:
where (N) is the purely mechanical contact force, (N m−1) is the penalty stiffness, which ensures that the surfaces are prevented from penetrating each other, and ( are the displacements of the contact surfaces of the two bodies in contact.
These and in Equation (1) are distinct forces, with the first relating to the mechanics of contact and the second related to frictional resistance during sliding motion.
5.2.7. Convergence Criterion
In many numerical solvers, including those used in COMSOL, convergence is assessed by checking the residuals of the system of equations at each iteration.
Relative tolerance for the field solution in the numerical simulations can be described as:
where is the norm of the residual vector r, which represents the difference between the current solution and the exact solution, is the norm of the right-hand side vector b, typically representing the system’s load or forcing term.
5.3. FEM Analysis
In this part, we employ low-frequency electromagnetic Finite Element Method (FEM) analysis by means of COMSOL Multiphysics.
According to the mathematical model [40], the fluctuation in magnetic flux over the arc length can be characterized by where, k is a dimensionless parameter, ( is the constant distance between the successive magnet centers as shown in Figure 7 and (T) represents the magnetic field distribution of the C-shaped magnet along a line parallel to the y-axis between the magnet’s poles. The physical unit of the magnetic field distribution depends on how it is defined and measured in the context of a specific application. In general we have either magnetic flux density or magnetic field strength .
Figure 7.
3-D model view of constant distribution of magnets implemented in COMSOL.
We estimate the magnetic flux density in the air gap and the surrounding region.
The average magnetic flux density in the air gap of the motor installed on the experimental stand is 0.45 T, with three-phase sinusoidal currents of 1.0 A RMS supplied to the linear motor. A continuous boundary condition is applied to the exterior portion, which is used to predict the magnetic flux density in the air gap. It is assumed that the mover and the magnetic track are in contact at the outermost boundary. Additionally, friction of various kinds is present due to the sliding motion between the two solid bodies. Ampére’s law in solids [41] is also applied to the solid magnetic steel of the stationary part and the inductor surface. The magnetization model B–H curve used in Ampére’s law for solids for the magnetic flux density vector [42], and characterized by f—the relationship between the magnetic field intensity and the resulting magnetic flux density is as follows:
where is the magnetic field and states its magnitude (norm).
In the simulation of the magnetic field across all selected regions and exterior parts, the speed of the mover is given by (mm s−1), where 50 mm and /, for the time s.
The simulation results that are presented in Figure 8 include the magnetic flux density in the selected regions.
Figure 8.
Magnetic flux density in the stator, inductor and around the linear motor.
The magnetic field can significantly affect the force generated and the performance of a linear motor. Therefore, it is critical to examine how it fluctuates across the motor’s various segments. A comprehensive understanding of these magnetic field variations is essential for optimizing the motor’s design, and this can be achieved by analyzing the resulting magnetic flux density norm versus arc length graph. The FEA graph visually illustrates these variations, making it easier to identify areas that need improvement and ensuring the motor performs as intended. When referring to the magnetic field distribution in the mathematical model or even graphical representation, it typically means the variation of either or along a specific path or region. The distribution of along various horizontal lines has been analyzed in Figure 9.
Figure 9.
Time-varying magnetic flux density norm distribution along a horizontal line.
In this instance, and when the system exhibits symmetry, with regularly spaced magnetic poles, the following mathematical model can be used to approximate the spatial variation of the magnetic field along the y-axis as:
where y ( represents a spatial coordinate in one dimension, (T) represents the amplitude of the magnetic field (a constant related to the magnet) and the wavelength of the magnetic flux density distribution ( is a parameter that controls the spatial frequency of the variation, represents the wave number, corresponding to the field’s wavelength or spatial periodicity of the cosine variation. This relationship, describing the variation of the magnetic field throughout the selected region, is depicted in the following section.
The additional normal forces generated in the double friction contact affect the current supplying the coils of the linear motor. Consequently, this leads to a change in the magnetic field distribution around the drive, which, as demonstrated in the following section, has been successfully captured in the COMSOL numerical model.
5.4. Simulation of Impact of Current Flow on the Distribution of the Magnetic Field
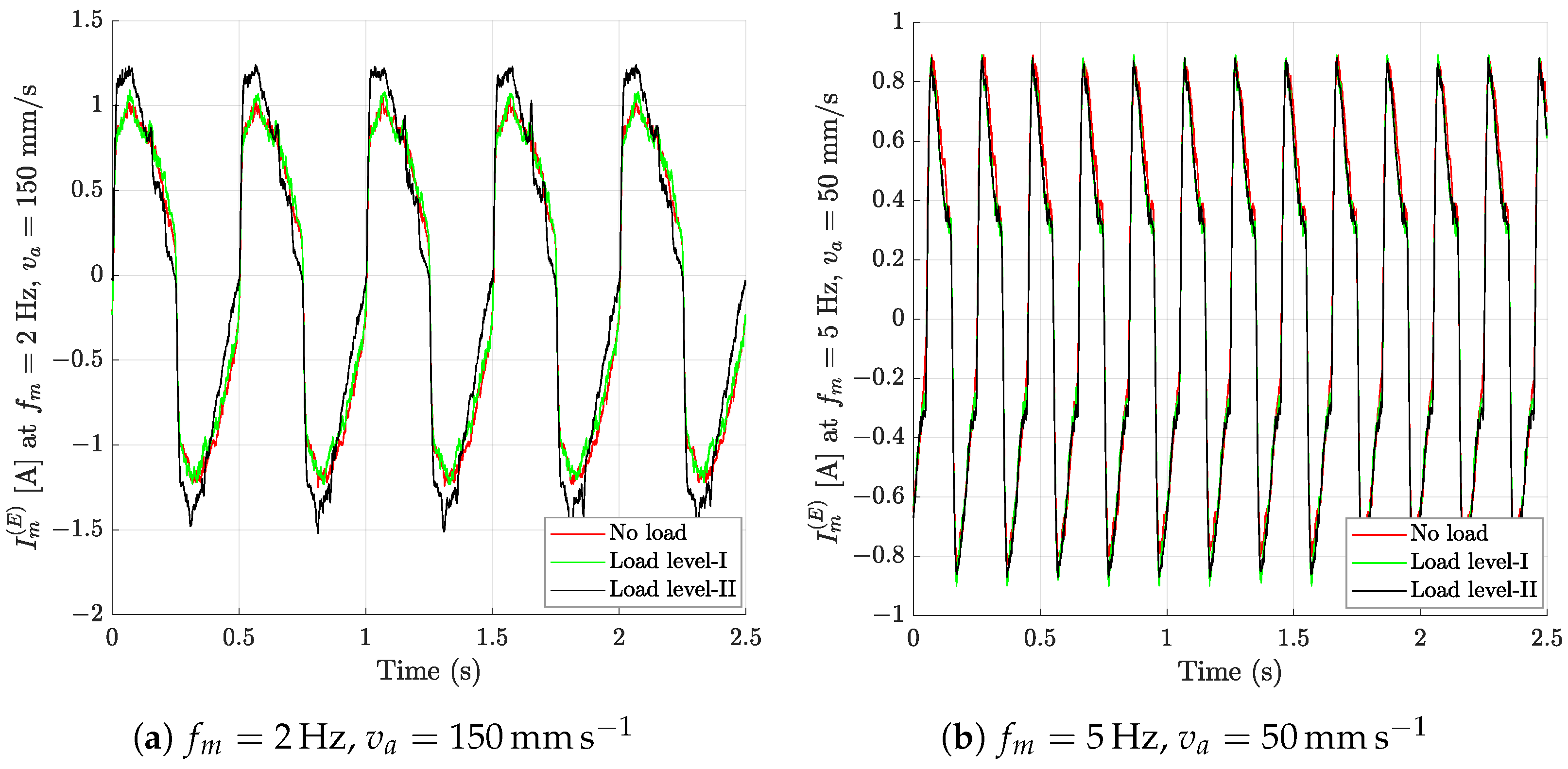
During the operation of the device driving the moving platform, which remains in frictional contact with other coupled oscillators, the motion resistances change due to time-varying dry friction forces dependent on the relative velocity of contacting solid bodies and normal forces at the contact surface. The electronic speed control system of the platform aims to achieve the desired trajectory of time-varying changes, resulting in significant dynamic variations in the current flowing through the inductor windings of the linear drive. Consequently, stronger magnetic field interactions with the surrounding environment occur, affecting the performance of measurement devices recording vibrations from the coupled oscillators. If determining friction characteristics is the goal, examining the impact of this field on the measurement devices is essential. Numerical current estimations, compared to real experimental data, are presented in Figure 10.
Figure 10.
Variation of numerically simulated coil current (blue line) with reference to measurement (black line) on the experimental stand for various levels of extra loads (I and II) exerted by the flat springs in stick-slip frictional contact between the table and ends of the springs.
As seen in Figure 10a,c,e, at lower frequencies of the linear motor’s periodic motion, the coil current amplitudes change significantly. On the other hand, at higher frequencies, the peak amplitudes of oscillation, as shown in Figure 10b,d,f remain nearly constant.
As in the Table 2 the peak current of the ironless linear motor is effectively 8.4 A. The comparison results of the FEA for an investigation into how the amount of current flow affects the distribution of the magnetic field in the chosen areas are presented.
In the air gap, the average magnetic flux density is 0.45 T, as shown earlier in Figure 3, with a three-phase sinusoidal current supplied to the linear motor having an effective RMS value of A. According to the Ampére’s circuit law, changes in current significantly impact the magnetic field distribution, including its strength and direction:
where (T) represents the magnetic field, ( is an infinitesimal path element along the contour, (A) is the total enclosed current, and (T mA−1) is the permeability of free space (also called the magnetic constant). The magnetic field distribution simulation, assuming symmetry in the motor’s field, is shown in Figure 11.
Figure 11.
Numerical distribution of the 3-D magnetic field of the investigated linear motor.
The changes in the magnetic field distribution around the analyzed linear drive are minor, and their intensity quickly diminishes with increasing distance from the surface of the stator formed by permanent magnets. This observation is consistent with magnetic field strength measurements performed on the experimental setup using a handheld magnetic flux density sensor. Interestingly, COMSOL software is capable of visually representing this distribution even at relatively large distances from the source of the observed field. As shown in Figure 11b, the introduction of the plate to which the magnetic track is attached alters a distribution presented in Figure 11a, causing the field lines to dissipate in specific directions.
6. Evaluation of Energy Loss Mechanisms in the Linear Motor Under Loading
To incorporate energy efficiency studies, we consider a few approaches that align with our current focus on electromagnetic field computations, the type of mechanical loading, and coupled multibody system dynamics. Among various formulations one could point out: the root mean square, Steinmetz relation [43], iron losses [44], empirical formulas for mechanical and air friction (windage) losses, stray losses and other.
Different loss estimation formulas are chosen based on the dominant physical phenomena in the system under analysis. From the point of view of the coreless linear synchronous motor subjected to stick-slip friction we investigate selected loss mechanisms, i.e., (i) the electric power dissipation such as winding losses, (ii) eddy current losses in conductive materials such as the magnetic track, (iii) mechanical power losses of contacting solid bodies’ surfaces on the table driven by the motor.
In the first case the obtained magnetic flux density will serve for estimation of iron losses in the motor’s core materials. Below, in COMSOL Multiphysics, we analyze irregularity of loading affects hysteresis and eddy current losses.
In the second case, coil current variations (experimental and numerical) under different mechanical loading conditions that contribute to copper losses will be investigated. To assess the winding losses, we will measure RMS current in experiments and compare it with numerical results.
6.1. The Electric Power Dissipation
The Root Mean Square (RMS) value of a current is a measure of the effective value of a time-varying current or even voltage. Mathematically, the RMS value is calculated as the square root of the mean of the squares of the instantaneous values over a cycle.
The RMS value for a time-varying current or its discretization over a time period T ( is given either by a continuous or an equivalent discrete approximation, respectively:
Based on Table 3 and Table 4, we can assess that changes in the RMS current are greater than changes in the RMS velocity, which are negligibly small. This indicates that the control system effectively maintains the desired trajectory of velocity variations in the motor, even under different load levels, including stick-slip motion. This results in changes to the magnetic field induced in the stator, stemming from highly dynamic current variations in the windings of the coreless inductor.
Table 3.
Root Mean Square currents (A) of measured time dependencies shown in Figure 4.
Table 4.
Root Mean Square velocities (mm/s) of measured time dependencies shown in Figure 5.
On the other hand, analyzing the percentage indicators of successive load levels for the linear drive under study, provided in Table 4, reveals minor losses in kinetic energy (especially for 2 Hz frequency of operation of the electric engine), proportional to the square of RMS velocity .
Table 5 illustrates the quantitative discrepancy between the dynamic current variation time trajectories measured on the experimental setup and those numerical simulated in COMSOL.
Table 5.
Root Mean Square currents of time dependencies shown in Figure 10.
It can be observed that the greater the load, the smaller the discrepancy between the actual and simulated changes in current within the motor windings. As a result, the relative difference, measured in percentage, for cases e and f at the second motor load level, influenced more significantly by stick-slip motion, is only 3.4% ( 2 Hz) and 4.6% ( 5 Hz).
6.2. Eddy Current Losses
A time-dependent current generates a fluctuating magnetic field. This field generates currents in neighboring conductors. To analyze this phenomenon in the study, we perform a 2-D FEA using COMSOL Multiphysics to compute the magnetic power loss caused by the eddy currents in the conductive materials of the analyzed double-sided PMLSM. The relative magnetic permeabilities and electrical conductivities of the materials at ambient temperature, along with their resultant attributes, are presented in Table 6.
Table 6.
Magnetic and electrical characteristics of the permanent magnet linear synchronous motor.
Eddy current losses arise when time-varying magnetic fields induce circulating currents within a conductor, which generate resistive heating due to the material’s electrical resistance. These losses are computed based on the power dissipated by these currents.
Theoretical definitions generally describe eddy current losses as power dissipation due to these induced currents [45]. From a numerical perspective, we use more advanced theories incorporating boundary conditions, frequency-domain analysis, and energy dissipation expressions. These provide a richer theoretical framework, crucial for numerical modeling and experimental validation in simulation tools like FEA. Such detailed considerations emphasize the importance of material properties, field interactions, and geometrical constraints for accurately characterizing losses.
The magnetic vector potential (T is derived from:
where for a material, (S m−1) denotes the electrical conductivity, (F m−1) represents magnetic permittivity, (H m−1) signifies permeability, and is the imaginary unit. Angular frequency (/) depends on f (Hz) indicating the frequency of the magnetic field. At higher frequencies, the skin effect confines eddy currents to the material’s surface, reducing the effective volume for energy dissipation. It can be calculated using the following equation [46]:
The relationship between the magnetic and electric fields at the boundary is governed by a condition that ensures the continuity of their tangential components. Mathematically, this is expressed as:
where represents a unit vector normal to the surface (boundary between two media), (A m−1) denotes magnetic field intensity, and (V m−1) indicates electric field intensity. The dissipated power density, (W m−3) can be determined by:
where J (A m−2) represents the electric current density induced in a conductor due to the changing magnetic field and is the complex conjugate of the electric field [47,48].
The distribution of eddy currents is analyzed at a low frequency of 5 Hz. The streamlines have been depicted both inside and outside the magnetic track in Figure 12.
Figure 12.
Two-dimensional numerical distribution of induced eddy currents as streamlines and losses (W m−2) in the linear motor subjected to mechanical loading from the plate in stick-slip frictional contact at 5 Hz.
The simulation confirms that the eddy current losses in the analyzed magnetic track are the highest near the regions where the magnetic field is strongest (compare with Figure 3), which occurs at the interface between the conductors (such as the copper or aluminum material) and the moving magnetic field. These regions are close to the surface of the material, where the magnetic flux density is greatest. This phenomenon is due to the skin effect, which causes the eddy currents to be most concentrated near the surface of the conductor, decreasing with depth.
6.3. Mechanical Power Losses Due to Stick-Slip Friction
The type of power losses under consideration typically arises from friction, such as the resistance experienced by moving parts in machinery. In our case, part of the mechanical power dissipates due to stick-slip interactions between the flat springs and the table, as well as in the sliding bearings. These losses are commonly modeled as a function of the relative velocities between contacting bodies, converting mechanical energy into heat and, in some cases, acoustic waves.
The stick-slip phenomenon, where parts alternate between sticking (or even creeping) and slipping, introduces additional frictional dissipation and significantly contributes to energy loss. Frictional forces are often velocity-dependent, with energy dissipation increasing alongside relative speed. While friction primarily generates heat, it may also produce acoustic energy, often perceived as noise in systems with sliding or rubbing components.
The Root Mean Square (RMS) velocity, , measures the effective value of a time-varying velocity. For a continuous velocity or its discretized counterpart over a time period T, the RMS value is defined by Equation (11), where is substituted with .
To calculate frictional energy losses using the provided model, we integrate the friction force from Equation (1) over the relative displacement (or velocity).
Using the friction law parameters listed in Table 1, the friction force is computed at each time step based on velocity data for the table and the two flat springs, recorded at the experimental station. These data yield two relative velocities, , where (m s−1) is the velocity of the i-th flat spring (Figure 2), (m s−1) is the table velocity (Figure 5), and h (s) is the time step corresponding to evenly spaced samples.
The energy loss in the two stick-slip contacts of the flat springs with the table can be computed as the sum of the energy losses:
where for are computed using Equation (1). For simplicity and due to the difficulty in finding the time-dependency of the normal force, N is taken as the averaged normal force.
In the first and second loading cases (I and II) at 2 Hz, 0.001 and the time period of the overall cycle 2 , the following rough results for the summary mechanical energy loss from flat springs 1 and 2 have been estimated:
and
for the average normal forces 6 N and 10 N. By dividing these results by T we find the average power losses in watts. Multiplying the loss due to the additional frictional loading over time T by the appropriate number of cycles, we can compute the total losses in watts, and then, by the cost of the energy unit, the partial economic consequences can be estimated.
The given numerical values of the losses are approximate and depend on the precise determination of the constants of the chosen friction model, as well as the time-varying normal force of the springs pressing against the table. This aspect will be studied further in the future. The assumption of an average value for this normal force is, as mentioned earlier, a simplification, but it is acceptable when calculating the average mechanical power losses in the studied double stick-slip contact, which sometimes transitions into slow creep with minor slip.
7. Potential Extensions and Improvements to the Experimental Design
7.1. Potential Extensions of the Works
Building upon the current study’s findings, several directions for future research can be proposed in Table 7 to address existing challenges and enhance the performance and reliability of linear motors. These potential extensions aim to deepen the understanding of electromechanical interactions, optimize system design, and mitigate adverse effects such as energy losses and acoustic emissions.
Table 7.
Aims and actions related to future work.
7.2. Improvements to the Experimental Design to Address Potential Limitations Identified in the Current Data
In this context, we assess that the most crucial aspect appears to be obtaining information about the effects of long-term and abrupt mechanical loading on permanent magnet linear motors. Specifically, the impact on the stability of the control system, the positioning accuracy of the moving table, and the associated costs. Consequently, it may be necessary to gather long-term time series data and calculate energy losses or wear over a designated period, representing a fraction of the lifespan of the electromagnetic actuator under investigation.
An attempt was made to evaluate losses during a short cycle, which, in the case of high-performance devices performing thousands of such cycles daily, can simply be scaled up. Alternatively, to provide a more accurate estimation, calculations could be performed over a long measurement series using already existing position sensors. On the other hand, assessing the wear of bearings, table surfaces, or even the increase in temperature around the power system or the three-phase supply coil system would require examining the frictional surfaces, for instance, using image analysis techniques, and appropriately distributed temperature sensors.
Information from these measurement channels would be valuable for predicting the effects of excessive frictional loads, allowing for the anticipation of the replacement of the most heavily loaded components.
7.3. A Summary Including Current Challenges in the Linear Motors
As researchers go deeper and deeper into the discovered physical phenomena related to the branch of science and technology, the coreless permanent magnet linear motors (PMLSMs) face various challenges. These include mechanical, electromagnetic, thermal, and application-specific issues. As some have been faced in the study, below we outline many of the potential challenges:
- Mechanical. Friction-induced stick-slip behavior can disrupt motion smoothness, degrade precision, and induce vibrations, particularly under varying loads. At certain velocities, force ripples can excite mechanical resonances, negatively impacting motor performance and longevity. Continuous operation leads to wear of sliding components, such as bearings or surfaces interacting with the load, which can affect long-term stability and reliability. Lightweight and stiff structures (e.g., aluminum tables) must balance the trade-offs between load-bearing capacity and resonance susceptibility.
- Electromagnetic. Non-uniformities in the magnetic field, often caused by detent forces or material imperfections, can reduce motor efficiency. High-frequency operation or inappropriate design of magnets can result in significant eddy current losses, leading to heating and efficiency loss. Variations in thrust due to imperfect interaction between the magnetic field and the mover affect smooth motion and positional accuracy. Issues such as magnet segmentation, placement, and stator interactions must be refined to balance efficiency and production costs.
- Application-specific and environmental. Many applications require the motor to handle widely varying loads without performance degradation, which can stress mechanical and electrical systems. Applications requiring quiet operation, such as in medical or laboratory settings, demand careful management of acoustic effects. Dust, humidity, and temperature extremes in industrial or outdoor applications necessitate robust materials and sealing designs.
- In control and dynamic performance. Achieving sub-micron positioning and smooth motion in the presence of disturbances like force ripples, load changes, and friction remains challenging. Coupling between low-frequency mechanical motion and high-frequency acoustic effects (e.g., creaking) complicates control system design. Modeling and compensating for nonlinearities in friction, detent forces, and other system characteristics require advanced control algorithms.
- Energy efficiency and losses. High mechanical loads may improve stability but increase energy consumption. Balancing efficiency and performance is a challenge. Implementing energy recovery systems in reciprocating motion applications is often complex but desirable for energy savings.
- Thermal. Losses in magnets and windings can lead to thermal issues, especially in compact designs, causing demagnetization and performance degradation. Effective cooling systems or materials are required to dissipate heat without introducing additional complexity or cost.
- Integration and cost. Reliable and precise sensors for position and velocity are critical but add complexity and cost. High-performance magnets, and advanced winding designs can be expensive, limiting accessibility in cost-sensitive applications. Balancing motor design with power electronics, control systems, and mechanical components for overall system performance is a multidisciplinary challenge.
8. Conclusions
In this article, we investigated friction in a system comprising a magnetic linear drive and a table interacting with the cylindrical ends of flat springs. The varying contact forces, influenced by the table’s cyclic motion, control efficiency, normal forces, and material properties, are governed by stick-slip behavior. Additionally, we observed the coupling of high-frequency acoustic vibrations with low-frequency mechanical vibrations.
The numerical modeling in COMSOL demonstrates good accuracy, though slight shape differences appear over successive oscillation periods. These discrepancies arise from the experimental control system, which regulates the motor’s position, speed, and current–features absent in the COMSOL simulation.
The mechanism linking friction-induced current changes to variations in the magnetic field is well-supported by numerical modeling methods such as COMSOL.
During experiments, an acoustic effect was observed as a creaking sound caused by the beam ends sliding over the table surface. This complex phenomenon, involving the coupling of stick-slip friction with acoustic wave propagation, will be further explored through simulations and experiments.
Finite element analysis of the magnetic field distribution in the double-sided PMLSM reveals valuable insights into its dynamic behavior under stick-slip friction. The analysis shows that stick-slip friction on the driven table disrupts the uniformity of the magnetic flux density, potentially reducing motor efficiency and inducing mechanical stresses that may lead to wear.
Energy loss evaluations indicate that motor efficiency in replicating the reciprocating motion improves with increasing mechanical load. This suggests that higher loads enhance system stability, reducing motion discrepancies and improving trajectory accuracy. The evaluation of energy loss mechanisms under irregular loading is particularly noteworthy, having practical implications for optimizing similar systems.
Future work will focus on coupling electromagnetic simulations with structural and acoustic modules in COMSOL Multiphysics to better predict the influence of noise levels and acoustic waves on frictional contacts. This will allow, for instance, the investigation of the feedback relationship and the development of strategies for vibration suppression.
The findings from this study can be useful for enhancing the design and reliability of coreless linear synchronous motors under discontinuous stick-slip frictional loading, especially in applications requiring high precision and minimal acoustic emissions.
These results can be extended to similar systems where precise motion control under frictional constraints is critical. For instance, linear drives in automation, robotics, and precision machining systems may benefit from the insights on load optimization and frictional behavior. The findings provide guidance on managing magnetic flux disturbances and energy dissipation, key challenges in designing efficient motion control systems.
By coupling electromagnetic and acoustic analyses, this study lays the groundwork for designing quieter and more efficient motors in industrial applications. For example, the methodologies outlined here can inform the development of high-precision robotic arms used in manufacturing processes where stability under varying loads and low noise levels are paramount. Similarly, the insights into energy loss mechanisms can help optimize power consumption in automated assembly lines, contributing to greener and more cost-effective production.
In medical devices, such as MRI-compatible linear actuators, understanding the interplay of stick-slip friction and electromagnetic behavior can improve reliability and reduce maintenance costs. Moreover, in aerospace applications, where precision and durability are critical, these findings can enhance the performance of linear actuators operating under high mechanical loads and varying environmental conditions.
Finally, the study underscores the importance of integrating multidisciplinary simulation approaches to address complex challenges in electromechanical systems. The proposed framework, which combines electromagnetic, structural, and acoustic analyses, can serve as a template for advancing performance, reliability, and efficiency across diverse industries.
Author Contributions
Conceptualization, P.O., Y.D.D. and M.M.; formal analysis, P.O., Y.D.D. and M.M.; investigation, P.O., Y.D.D. and M.M.; methodology, P.O., Y.D.D. and M.M.; software, P.O., Y.D.D. and M.M.; validation, P.O., Y.D.D. and M.M.; resources, P.O., Y.D.D. and M.M.; data curation, P.O. and Y.D.D.; writing—original draft preparation, P.O. and Y.D.D.; writing—review and editing, P.O. and Y.D.D.; visualization, P.O. and Y.D.D.; supervision, P.O.; project administration, P.O. All authors have read and agreed to the published version of the manuscript.
Funding
This research received no funding.
Data Availability Statement
The data are available upon reasonable request from the authors.
Conflicts of Interest
The authors declare no conflicts of interest.
References
- Yuan, M.; Chen, Z.; Yao, B.; Liu, X. Fast and Accurate Motion Tracking of a Linear Motor System Under Kinematic and Dynamic Constraints: An Integrated Planning and Control Approach. IEEE Trans. Control Syst. Technol. 2021, 29, 804–811. [Google Scholar] [CrossRef]
- Cui, F.; Sun, Z.; Xu, W.; Zhou, W.; Liu, Y. Comparative analysis of bilateral permanent magnet linear synchronous motors with different structures. CES Trans. Electr. Mach. Syst. 2020, 4, 142–150. [Google Scholar] [CrossRef]
- Chen, S.L.; Tan, K.K.; Huang, S.; Teo, C.S. Modeling and Compensation of Ripples and Friction in Permanent-Magnet Linear Motor Using a Hysteretic Relay. IEEE Trans. Mechatron. 2010, 15, 586–594. [Google Scholar] [CrossRef]
- Zhang, F.; Yin, H.; Zhang, H. Design and Analysis of Novel Synchronous Motion Technique for a Multi-Module Permanent Magnet Linear Synchronous Motor. Energies 2022, 15, 3617. [Google Scholar] [CrossRef]
- Zhang, T.; Mei, X. Research on Detent Force Characteristics of Winding Segmented Permanent Magnet Linear Synchronous Motor Based on Analytical Model. Symmetry 2022, 14, 1049. [Google Scholar] [CrossRef]
- Yu, L.; Chang, S.; He, J.; Sun, H.; Huang, J.; Tian, H. Electromagnetic Design and Analysis of Permanent Magnet Linear Synchronous Motor. Energies 2022, 15, 5441. [Google Scholar] [CrossRef]
- Zeng, L.; Chen, X.; Li, X.; Jiang, W.; Luo, X. A Thrust Force Analysis Method for Permanent Magnet Linear Motor Using Schwarz-Christoffel Mapping and Considering Slotting Effect, End Effect, and Magnet Shape. IEEE Trans. Magn. 2015, 51, 1–9. [Google Scholar] [CrossRef]
- Hu, C.; Yao, B.; Wang, Q. Coordinated Adaptive Robust Contouring Control of an Industrial Biaxial Precision Gantry With Cogging Force Compensations. IEEE Trans. Ind. Electron. 2010, 57, 1746–1754. [Google Scholar] [CrossRef]
- Bascetta, L.; Rocco, P.; Magnani, G. Force Ripple Compensation in Linear Motors Based on Closed-Loop Position-Dependent Identification. IEEE/ASME Trans. Mechatron. 2010, 15, 349–359. [Google Scholar] [CrossRef]
- Xiang, B.; Wen, T.; Wen, T. The speed control of PMLSM with discontinuous driving coils based on multi-loop DOB model. ISA Trans. 2024, 146, 366–379. [Google Scholar] [CrossRef]
- Sun, Z.; Xu, X.; Watanabe, K. Minimizing detent force of permanent magnet linear synchronous machines by designing mover using mesh-level stochastic shaping. Energy Rep. 2023, 9, 859–869. [Google Scholar] [CrossRef]
- Liu, W.; Shu, F.; Xu, Y.; Ding, R.; Yang, X.; Li, Z.; Liu, Y. Iterative learning based neural network sliding mode control for repetitive tasks: With application to a PMLSM with uncertainties and external disturbances. Mech. Syst. Signal Process. 2022, 172, 108950. [Google Scholar] [CrossRef]
- Li, Z.; Zhang, Z.H.; Wang, J.S.; Yan, Z.B.; Guo, X.Q.; Sun, H.X. Nonsingular Fast Terminal Sliding Mode Control Strategy for PMLSM Based on Disturbance Compensation. J. Electr. Eng. Technol. 2024, 19, 1331–1342. [Google Scholar] [CrossRef]
- Zhao, X.; Wang, L. Bounded control of PMLSM servo system based on fractional order barrier function adaptive super-twisting approach. Control Eng. Pract. 2025, 154, 106131. [Google Scholar] [CrossRef]
- Wang, Y.; Yu, H.; Che, Z.; Wang, Y.; Zeng, C. Extended State Observer-Based Predictive Speed Control for Permanent Magnet Linear Synchronous Motor. Processes 2019, 7, 618. [Google Scholar] [CrossRef]
- Huang, X.Z.; Yu, H.C.; Zhou, B.; Li, L.Y.; Gerada, D.; Gerada, C.; Qian, Z.Y. Detent-Force Minimization of Double-Sided Permanent Magnet Linear Synchronous Motor by Shifting One of the Primary Components. IEEE Trans. Ind. Electron. 2020, 67, 180–191. [Google Scholar] [CrossRef]
- Wang, X.; Chen, F.; Zhu, R.; Huang, X.; Sang, N.; Yang, G.; Zhang, C. A Review on Disturbance Analysis and Suppression for Permanent Magnet Linear Synchronous Motor. Actuators 2021, 10, 77. [Google Scholar] [CrossRef]
- Olejnik, P. Influence of Weak Structural Vibrations on a Machine-Driven Chain of Mechanical Oscillators with Friction under Varying Normal Forces. Machines 2023, 11, 760. [Google Scholar] [CrossRef]
- Ayankoso, S.; Olejnik, P. Time-Series Machine Learning Techniques for Modeling and Identification of Mechatronic Systems with Friction: A Review and Real Application. Electronics 2023, 12, 3669. [Google Scholar] [CrossRef]
- Kwon, J.H.; Kim, J.K.; Jeon, E.S. Shape Optimization of Discontinuous Armature Arrangement PMLSM for Reduction of Thrust Ripple. Appl. Sci. 2021, 11, 11066. [Google Scholar] [CrossRef]
- Chen, Y.M.; Fan, S.Y.; Lu, W.S. Performance analysis of linear permanent-magnet motors with finite-element analysis. IEEE Trans. Magn. 2008, 44, 377–385. [Google Scholar] [CrossRef]
- Rachedi, B.A.; Babouri, A.; Berrouk, F. A study of electromagnetic field generated by high voltage lines using COMSOL MULTIPHYSICS. In Proceedings of the 2014 International Conference on Electrical Sciences and Technologies in Maghreb (CISTEM), Tunis, Tunisia, 3–6 November 2014; pp. 1–5. [Google Scholar] [CrossRef]
- Gilardi, G.; Szeto, K.; Huard, S.; Park, E.J. Finite element analysis of the cogging force in the linear synchronous motor array for the Thirty Meter Telescope. Mechatronics 2011, 21, 116–124. [Google Scholar] [CrossRef]
- Fu, R.; Zhang, B.; Dong, T.; Feng, W.; Ji, B. Effect of Magnetostriction on the Vibrations of Permanent Magnet Linear Synchronous Motors. In Proceedings of the 2024 IEEE International Magnetic Conference-Short Papers (INTERMAG Short Papers), Rio de Janeiro, Brazil, 5–10 May 2024; pp. 1–2. [Google Scholar] [CrossRef]
- Butler, S.L.; Zhang, Z. Forward modeling of geophysical electromagnetic methods using Comsol. Comput. Geosci. 2016, 87, 1–10. [Google Scholar] [CrossRef]
- Li, W.; Xue, J.; Fan, X.; Zhu, L. Loss Analysis of Permanent Magnet Synchronous Motor System Based on Strategy-Circuit-Field Co-Simulation and an Accurate Iron Loss Calculation Method. IEEE Access 2024, 12, 168339–168348. [Google Scholar] [CrossRef]
- Sirimanna, S.; Balachandran, T.; Haran, K. A Review on Magnet Loss Analysis, Validation, Design Considerations, and Reduction Strategies in Permanent Magnet Synchronous Motors. Energies 2022, 15, 6116. [Google Scholar] [CrossRef]
- Xu, X.; Li, J.; Jiang, S.; Du, B.; Ji, S. Thrust Characteristics Analysis and Parameter Optimization of Five-Phase U-Shaped Consequent-Pole PMSLM. J. Electr. Eng. Technol. 2024. [Google Scholar] [CrossRef]
- Li, Z.; Zhang, Z.H.; Wang, J.S.; Wang, K.T.; Guo, X.Q.; Fan, D.H.; Sun, H.X. Compensator Design of Permanent Magnet Synchronous Linear Motor Control System Based on Load Disturbance Observer. J. Electr. Eng. Technol. 2023, 18, 3709–3720. [Google Scholar] [CrossRef]
- Sato, K.; Hisamatsu, R.; Akamatsu, K. Controller design for high-speed, ultra-precision positioning of a linear motion stage on a vibrating machine base stage control on a vibrating base. Precis. Eng. 2023, 80, 10–19. [Google Scholar] [CrossRef]
- Kunikowski, W.; Olejnik, P.; Awrejcewicz, J. A fuzzy logic PI trajectory following control in a chaotically loaded real mechatronic dynamical system with stick-slip friction. J. Vib. Test. Syst. Dyn. 2018, 2, 91–107. [Google Scholar] [CrossRef]
- Won, H.I.; Chung, J. Numerical analysis for the stick-slip vibration of a transversely moving beam in contact with a frictional wall. J. Sound Vib. 2018, 419, 42–62. [Google Scholar] [CrossRef]
- Zhen, S.; Chen, P.; Chen, X.; Qin, F.; Zhou, H. Force Ripple Modeling and Minimizing of an Ironless Permanent-Magnet Linear Synchronous Motor. Int. J. Precis. Eng. Manuf. 2019, 20, 927–935. [Google Scholar] [CrossRef]
- Wang, M.; Kang, T.; Kang, K.; Zhang, C.; Li, L. Motion Control of Macro-Micro Linear Platform Based on Adaptive Fuzzy Active Disturbance Rejection Control. Symmetry 2024, 16, 707. [Google Scholar] [CrossRef]
- Zhang, W.; Li, D.; Lou, X.; Xu, D. Prescribed Performance Adaptive Backstepping Control for Winding Segmented Permanent Magnet Linear Synchronous Motor. Math. Comput. Appl. 2020, 25, 18. [Google Scholar] [CrossRef]
- Gu, S.; Leng, P.; Chen, Q.; Jin, Y.; Li, J.; Yu, P. Robustness Improved Method for Deadbeat Predictive Current Control of PMLSM with Segmented Stators. Actuators 2024, 13, 300. [Google Scholar] [CrossRef]
- Yuan, J.; Li, J.; Ding, Y. Modified modeling and internal model control method of thrust ripples in PMLSMs for ultraprecision air-bearing linear feed systems. Precis. Eng. 2024, 85, 102–112. [Google Scholar] [CrossRef]
- Jackson, J.D. Classical Electrodynamics, 3rd ed.; Wiley: New York, NY, USA, 2021. [Google Scholar]
- Li, L.; Pan, D.; Huang, X. Analysis and Optimization of Ironless Permanent-Magnet Linear Motor for Improving Thrust. IEEE Trans. Plasma Sci. 2013, 41, 1188–1192. [Google Scholar] [CrossRef]
- Gajek, J.; Awrejcewicz, J. Mathematical models and nonlinear dynamics of a linear electromagnetic motor. Nonlinear Dyn. 2018, 94, 377–396. [Google Scholar] [CrossRef]
- Hanappier, N.; Charkaluk, E.; Triantafyllidis, N. A coupled electromagnetic-thermomechanical approach for the modeling of electric motors. J. Mech. Phys. Solids 2021, 149, 104315. [Google Scholar] [CrossRef]
- Abedini Mohammadi, A.; Pop, A.C.; Gyselinck, J. An Approach for the BH Curve Identification of Magnetic Core of Synchronous Reluctance Machines. IEEE Trans. Magn. 2021, 57, 1–8. [Google Scholar] [CrossRef]
- Petrescu, L.G.; Petrescu, M.C.; Cazacu, E.; Constantinescu, C.D. Estimation of Energy Losses in Nanocrystalline FINEMET Alloys Working at High Frequency. Materials 2021, 14, 7745. [Google Scholar] [CrossRef]
- Xu, K.; Guo, Y.; Lei, G.; Zhu, J. Estimation of Iron Loss in Permanent Magnet Synchronous Motors Based on Particle Swarm Optimization and a Recurrent Neural Network. Magnetism 2023, 3, 327–342. [Google Scholar] [CrossRef]
- Salon, S.J.; Chari, M.V.K.; Ergene, L.T.; Burow, D.; DeBortoli, M. Eddy Currents: Theory, Modeling, and Applications; Wiley: New York, NY, USA, 2023. [Google Scholar]
- Mohand Oussaid, W.; Tounzi, A.; Romary, R.; Benabou, A.; Boughanmi, W.; Laloy, D. End-Region Losses in High-Power Electrical Machines: Impact of Material Thickness on Eddy Current Losses in Clamping Structures. Energies 2024, 17, 5684. [Google Scholar] [CrossRef]
- Taghvaei, A.H.; Shokrollahi, H.; Janghorban, K.; Abiri, H. Eddy current and total power loss separation in the iron–phosphate–polyepoxy soft magnetic composites. Mater. Des. 2009, 30, 3989–3995. [Google Scholar] [CrossRef]
- Park, S.H.; Lee, E.C.; Park, J.C.; Hwang, S.W.; Lim, M.S. Prediction of mechanical loss for high-power-density PMSM considering eddy current loss of PMs and conductors. IEEE Trans. Magn. 2020, 57, 1–5. [Google Scholar] [CrossRef]
Disclaimer/Publisher’s Note: The statements, opinions and data contained in all publications are solely those of the individual author(s) and contributor(s) and not of MDPI and/or the editor(s). MDPI and/or the editor(s) disclaim responsibility for any injury to people or property resulting from any ideas, methods, instructions or products referred to in the content. |
© 2025 by the authors. Licensee MDPI, Basel, Switzerland. This article is an open access article distributed under the terms and conditions of the Creative Commons Attribution (CC BY) license (https://creativecommons.org/licenses/by/4.0/).











