You are currently on the new version of our website. Access the old version .
EnergiesEnergies
  • Article
  • Open Access

5 January 2025

Enhanced Hydrothermal Depolymerization with Fe/Ni Loaded C Catalysts for Improving Anaerobic Digestion Performance of Corn Stover

,
,
and
State Key Laboratory of Chemical Resource Engineering, Department of Environmental Science and Engineering, Beijing University of Chemical Technology, Beijing 100029, China
*
Author to whom correspondence should be addressed.
This article belongs to the Section B: Energy and Environment

Abstract

This research investigated the effects of hydrothermal depolymerization with Fe/Ni loaded C catalysts on the anaerobic digestion (AD) performance of corn stover (CS). CS was depolymerized at 140 °C for 20 min with Fe/C or Ni/C catalysts, and then anaerobically digested. The results showed that the biomethane yield with Fe/C-600 increased by 36.6% compared to that of the control. This increase could be attributed to effective CS depolymerization with catalysts (DC), indicated by modified structures of solid fraction and enriched available components of liquid fraction. SEM analyses showed that CS microphysical structure after DC was obviously disrupted, resulting in more accessibility of cellulose and hemicellulose. The crystallinity index (CrI) of depolymerized CS was significantly reduced from 32.5% to 23.5%, allowing for a more easily biodegradable non-crystalline area to be available for enzymes. Meanwhile, the DC group produced 4.7 times more reducing sugar (RS), and a 3.4 times increase in total volatile fatty acids (VFAs) as compared to the control. Furthermore, these enhancements in DC led to an increased relative abundance of cellulolytic bacteria (Hydrogenispora and Fermentimonas) and anaerobic methanogenic archaea (Methanosarcina) in following the AD process. This could explain the reason for the biomethane yield increase with DC from microbial perspectives. This study demonstrated that hydrothermal depolymerization with Fe/C or Ni/C could provide an effective approach for obtaining more biomethane from CS via AD.

1. Introduction

The growth in global energy demand, coupled with the depletion of fossil fuels and the degradation of the environment, has prompted many countries to actively pursue alternative renewable energy sources [1]. Biomass has emerged as a promising renewable energy source with vast potential for exploitation [2]. Anaerobic digestion (AD), a recognized low-carbon technology, plays a pivotal role in converting biomass into biogas, thereby addressing the energy crisis [3]. However, the complex structure of corn stover (CS), characterized by the tight wrapping of lignin and hemicellulose around cellulose, makes it difficult for the enzymes to access the cellulose, making cellulose hydrolysis the rate-limiting step in the AD process and reducing its efficiency [4,5]. Therefore, it is crucial to break the chemical bonds between lignin, hemicellulose, and cellulose in CS prior to AD by pretreatment, which can improve the availability of cellulose and hemicellulose while partially degrading them into readily biodegradable substances [6].
There are a variety of pretreatment methods, including physical, chemical, biological, or a combination of these [7]. Hydrothermal pretreatment (HP) promotes water dissociation and releases acidic hydrogen ions, which cleave the lignin-carbohydrate (LCC) bond between hemicellulose and lignin, and has received much attention in biomass depolymerization research [8]. Li et al. [9] reported that hydrothermal treatment (80–160 °C) of fresh CS could increase the biomethane yield by 20.4%. Nevertheless, numerous studies have shown that a single hydrothermal pretreatment can only enhance the biomethane yield of lignocellulosic feedstocks by a relatively modest 5–22% [10,11].
To further improve the effectiveness of hydrothermal pretreatment, a few studies have employed acids, bases, or organic reagents during the hydrothermal pretreatment, attempting to more effectively promote the depolymerization of lignocellulosic materials [12]. These studies reported a few good results [4,13]; however, adding acids or organic reagents simultaneously produces considerable inhibiting intermediates (e.g., pseudolignans and phenols), which could lead to non-productive competitive adsorption of lignin to cellulase in AD, reducing the efficiency of cellulolytic enzymes and inhibiting biomethane performance [14].
Recently, employing catalysts to the hydrothermal process is attracting more interest. In order to increase catalyst selectivity for depolymerization, it is necessary to incorporate heterogeneous catalysts to accelerate the reaction for product yield augmentation [15]. Heterogeneous catalysts for lignocellulosic depolymerization are mainly classified into noble metals, non-noble metals, and zeolites. Hu et al. [16] successfully depolymerized birch lignin at 240 °C using Pt-Re/TiO2 as a catalyst, yielding phenolic monomers at a maximum rate of 18.7%. Metal acid bifunctional catalysts facilitate lignin depolymerization through reduction. Wang et al. [17] utilized magnetic carbon-based solid acid catalysts for enzymatic depolymerization of poplar lignocellulose, achieving an 89.1% hemicellulose removal rate.
However, Cα carbocations formed during lignin hydrolysis are prone to undergo nucleophilic condensation reactions with aromatic C6 to form stable C-C bonds, thereby reducing the rate of depolymerization or even inhibiting it. Furthermore, repolymerized lignin (containing C-C bonds) will form an unproductive adsorption with cellulase in AD, thus reducing the efficiency of hemicellulose and cellulose utilization [18,19]. Sels et al. [20] observed that catalysts supported by carbon-based materials can effectively stabilize the intermediate properties, which is significantly better than commercially available supported catalysts. And non-precious metals (e.g., Fe, Ni) have higher economic efficiency and sustainability [21]. Wei et al. [12] conducted poplar depolymerization using Ni/C, resulting in a phenolic monomer yield of 32.72% and a lignin depolymerization rate of 76.59%. Moreover, following depolymerization, (hemi)cellulose is typically retained as polysaccharides, increasing subsequent separation cost and energy consumption, thereby constraining its practical utilization [22].
Despite the fact that a number of researchers have studied the effect of catalysts on biomass depolymerization, the utilization of cellulose and hemicellulose in depolymerization products has been limited to saccharification, with the exception of AD for biomethane production [23]. This study employed Fe/C and Ni/C as catalysts in the HP process to facilitate the efficient depolymerization of CS, and the objectives are to: (1) investigate the effectiveness of hydrothermal depolymerization with Fe/C or Ni/C catalysts on the AD performances of CS; (2) explore the mechanism of the catalysts in DC and its effect on biogas yield, through an analysis of the changes in the physical morphology and chemical structure of the solid fraction of CS, and the changes in the liquid fraction of CS during the DC process; (3) analyze the changes in microbial communities to reveal the mechanism of action of DC on microorganisms in AD. This study will provide new thinking on biomass AD.

2. Materials and Methods

2.1. Materials

Corn stover (CS) was sourced from Yanqing County, Beijing, China. It was naturally air-dried before being crushed to 20 mesh (Figure S1a). The inoculum was obtained from Feng Tai Circular Economy Industrial Park, Beijing, China. The characteristics of the raw materials can be found in Table S1 of the Supporting Information.
Activated carbon-supported catalysts (Fe/C and Ni/C) were prepared using the wet impregnation-carbothermic method [24,25]. The activated carbon (Macklin, Shanghai, China) was oven dried at 105 °C for 12 h prior to use. The precursor solution was prepared with FeCl3 (Fuchen, Tianjin, China) or NiCl2 (Macklin, Shanghai, China). The metals were loaded onto the carbon carriers by isobaric impregnation with the loading set at 10 wt%. The impregnated catalysts were dried in a freeze dryer for 12 h. Then, the catalysts were transferred to a tube furnace for roasting under a nitrogen atmosphere at a ramping rate of 5 °C/min up to the target temperatures (600, 700, and 800 °C), and were kept at the target temperatures for 2 h before being reduced to room temperature with a gas flow rate of 100 mL/min. XRD patterns of the Ni/C and Fe/C catalysts exhibited characteristic peaks corresponding to Ni and Fe metal particles, respectively (Figure S2).

2.2. Depolymerization Methods

The stainless-steel high-pressure reactor with a volume of 1000 mL was loaded with CS and a 4% catalyst relative to biomass weight; subsequently, pure water was introduced to maintain a moisture content of 90%. Based on previous research in our group, the depolymerization of CS at a temperature of 140 °C for a duration of 20 min, could achieve better results with only a relatively short time [13]. Following the completion of the reaction, the material underwent cooling to reach room temperature before collection for subsequent analysis and determination purposes. The specific configurations for each experimental group can be found in Table S2 and are denoted by “catalyst type—roasting temperature” for ease of reference.

2.3. Batch AD Experiment

The samples treated in 2.2 underwent batch AD testing at a moderate temperature of 35 ± 1 °C. During the AD test, the raw material load was maintained at 50 g TS/L, with an inoculant (Figure S1b) concentration of 20 g TS/L. The fermentation bottles had a volume of 250 mL, with an effective volume of 200 mL, and the fermentation period lasted for 40 days. Three parallel sets were established within each trial group and the results were averaged; untreated CS served as the control group.

2.4. Analytical Methods

The gas production was converted to the standard state (273.15 K, 101.3 kPa) volume. Daily biogas production was determined using the water drainage method. Biomethane concentration was analyzed with a GC-2014 (Shimadzu, Kyoto, Japan). The total solids (TS) and volatile solids (VS) of the raw materials were measured following the American Public Health Association standard methods [26]. Total carbon (TC) and total nitrogen (TN) were quantified using an elemental analyzer (Vario EL/cube, Frankfurt, Germany).
The pH of this study was measured using a pH meter (Mettler Toledo, Five Easy Plus, Zurich, Switzerland). The concentration of total volatile fatty acids (VFAs) was determined with the GC-2014 (Shimadzu, Kyoto, Japan). The reducing sugar content (RS) in the samples was quantified using the DNS method [27]. The total phenol content (TPC) was assessed using the Folin phenol reagent method [28].
The cellulose, hemicellulose, and lignin contents were quantified following the procedures outlined by Van Soest [29] using a Fiber Analyzer (ANKOM, A2000i, Fairport, NY, USA). The microstructure of CS was examined via SEM (Hitachi, S-4700, Tokyo Metropolis, Japan). Functional group analysis was conducted using an FTIR spectrometer (Nicolet 6700, Thermo Fisher, Madison, WI, USA) with the KBr pellet compression method. X-ray diffraction (XRD) analysis was carried out using the Rigaku D/Max-2500 X-ray diffractometer. The crystallinity index (CrI) for different samples was calculated based on reflected intensity using Equation (1) as reported by [30].
C r I % = I 002 I a m I 002 × 100 %
where I002 represents the diffraction intensity of the 002 plane and Iam represents a diffraction angle of 18.0°.
At the conclusion of the AD experiment, samples for high-throughput 16S rRNA gene sequencing were obtained from the digestion reactors of Fe/C-600, HP, and control groups, denoted as Fe_C_600, HP, and Control, respectively. Microbial DNA was extracted using a DNA kit (MP Biomedicals, Santa Ana, CA, USA) and polymerase chain reaction (poly PCR) was conducted on an ABI GeneAmp® 9700 instrument (ABI, Carlsbad, CA, USA). Bacterial analysis utilized primers 806R and 338F, while archaeal analysis employed primers 524F_10_ext and Arch 958R. High-throughput sequencing of 16S rRNA was performed on the Illumina MiSeq platform (Illumina, San Diego, CA, USA), with the visualization of microbial data accomplished using the online Major BioCloud platform (Shanghai, China).
Data analyses were performed in Microsoft Excel 2019, Spearman’s correlation data analyses were performed in SPSS 26.0 and all graphs were generated using Origin 2024 software.

3. Results and Discussion

This section may be divided by subheadings. It should provide a concise and precise description of the experimental results, their interpretation, as well as the experimental conclusions that can be drawn.

3.1. AD Performance

3.1.1. Biogas Production

Figure 1a,b presents the daily biogas production (DBP) trends for all experimental groups. In the initial three days of AD, the biogas was produced mainly with 20% H2 and 50% CO2, and, thus, the DBP trends were plotted from day 4. All Fe/C groups showed the first peak of DBP for on day 8, 7 days earlier than the control group and 4 days earlier than Xiang et al. [31]. Fe/C-600 achieved the maximum first peak DBP of 318 mL, which was 40% higher than that of HP (227 mL). This increase may be related to the increase in cellulose accessibility by the DC process and the promotion of cellulose conversion [32]. The second peak of DBP for Fe/C groups appeared on day 17, 4 days earlier than the control group. Besides the earlier appearance of DBP peaks, the peak values of DBP were found to be obviously higher than those of the control ones.
Figure 1. Biogas production (a) DBP-Fe, (b) DBP-Ni, (c) T80 & T90, (d) biomethane yield of CS.
Ni/C groups exhibited similar DBP trends with Fe/C groups, but the peak times and peak values were different. Ni/C, HP, and control groups reached the first peak times at almost same time on day 12, and the peak values were generally lower than those of Fe/C groups. The second peaks for the Ni/C group appeared on day 24, which was 7 days later than those of the Fe/C group. These differences may be due to the different roles played by Fe and Ni. Although nickel is an essential component of methanogens, cofactors, and coenzymes, and has a beneficial impact on the stability of AD and biogas production, the microorganisms required time to adapt to the nickel-containing environment; this was also confirmed by Li et al. [33].
The AD times T80 and T90 represent the time required for cumulative biomethane production to reach 80% and 90% of the maximum biomethane production, respectively, which can reflect the efficiency of biomethane production. As shown in Figure 1c, the AD time of the Fe/C group was significantly shorter, with T80 (16–17 d) and T90 (18–20 d) being 37–41% and 41–47% shorter than the control group, respectively. Due to the presence of Ni, the T80 and T90 in the Ni/C group was slightly longer, but still 15–22% shorter than the control group, respectively, which was consistent with the results of the DBP analysis. These results suggested that DC can significantly increase the efficiency of AD for biomethane production and significantly reduce the time required for AD. This would be of great benefit in biogas applications by reducing equipment and labor costs.
Based on the above results, it can be concluded that both Fe/C and Ni/C promote rapid substrate conversion and higher biogas production. Biomethane yield, defined as total biomethane production per unit VS loaded, is an essential parameter to evaluate AD performance and substrate biodegradability. Similarly, biomethane yield per unit TS provides crucial guidance in practical production. The biomethane yields for all experimental groups were presented in Figure 1d. For Ni/C groups, the highest biomethane yield of 192 mL/g vs. and mL/g TS was observed in Ni/C-800 group, which was 35.2% and 18.5% higher than those of control group and the HP groups, respectively. For Fe/C groups, Fe/C-600 obtained the highest biomethane yield of 194 mL/g vs. and 174 mL/g TS, which was 36.6% and 19.8% higher than those of the control and HP groups, respectively. This indicated that increased hydrolysis/acidification due to higher levels of pretreatment promotes biomethane conversion.
It can be seen that both catalysts achieved more biomethane yields, indicating the effectiveness of the Fe/C and Ni/C addition in depolymerization. The reasons for this will be explained through in-depth analyses on liquid components and the morphology and structure characteristics of solid fraction in Section 3.2.

3.1.2. Substrate Conversion

Biogas is actually the product of the substrate conversion of AD microorganisms. The more substrate is converted, the more biogas produced. In this study, CS was used as the substrate. CS is a typical lignocellulosic substrate; the main components of CS are cellulose and hemicellulose. In addition, TS and VS conversion rates provide a visual representation of how much the substrate is converted. Thus, their conversion rates were analyzed, and the results are presented in Figure 2.
Figure 2. Substrate (a) TS & VS, (b) cellulose and hemicellulose conversion after AD of CS.
For Fe/C groups, Fe/C-600 achieved the maximum TS and VS conversion rates of 59.8% and 69.2%, respectively, which were significantly higher than those of the control (44.1% and 53.0%) and HP (50.2% and 60.7%) groups. For Ni/C groups, Ni/C-800 achieved the maximum TS and VS conversion rates of 57.6% and 67.8%, respectively, which were higher than those of the control and HP groups. The increased TS and VS conversion rates indicated that the biodegradability of CS was greatly improved after DC, and more substrate was thereby used.
Generally speaking, more cellulose and hemicellulose were converted for Fe/C and Ni/C groups as compared to the HP and control groups. Fe/C and Ni/C groups achieved conversion rates of 78.3–90.1% cellulose and 53.6–69.3% hemicellulose, which were generally higher than those of the HP (78.7% and 52.4%) and control groups (66.6% and 45.5%), respectively. Fe/C-600 obtained the highest conversion rates of cellulose and hemicellulose (90.1% and 69.3%), which were higher than those of the HP and control groups. This indicated that depolymerization with catalysts can significantly enhance the conversion of cellulose and hemicellulose, thereby promoting the increase in biomethane yield, as shown in Figure 2b.

3.2. Characteristics and Effects of Solid and Liquid Fractions

During DC, CS was mainly separated into two fractions: (1) solid fraction, which was enriched in cellulose, lignin, and hemicellulose, with cellulose and hemicellulose serving as the main substrates available for AD; (2) liquid fraction, mainly composed of RS and organic acids, which can be rapidly converted into biomethane during the initial phase of AD, along with partial phenolic compounds that are inhibitors for anaerobic microorganisms [31]. In this study, the liquid fraction after DC accounted for 2.9–4.9%, with most of the rest remaining in solid phase (Figure S3). In contrast to the crystalline structure of cellulose, depolymerization could effectively promote the solubilization of hemicellulose, the transformation of lignin, and the degradation of minor components such as pectin, proteins, and extracts (chlorophyll, wax, and non-structural sugars) on the surface of CS. It is very important to analyze depolymerized CS components in liquid fraction and morphology and structure of solid fraction for a thorough understanding of the role and mechanism of the DC process.

3.2.1. Structure and Effect of Solid Fraction

During depolymerization, some linkage bonds among lignin, cellulose, and hemicellulose, and functional groups with them are altered simultaneously. These exert a partial destruction on the CS microphysical morphology and chemical structure. SEM, XRD, and FTIR analyses were conducted to investigate their effects on biogas production (Figure 3).
Figure 3. Changes in Fe/C-600 (a), HP (b), control (c), XRD (d), and FTIR (e) after DC.
Cellulose accessibility was identified as a critical factor influencing the enzymatic degradation of CS during AD [34], which was investigated by SEM. As shown in Figure 3c, it can be clearly seen that the ultrastructure of raw CS showed a fiber bundle structure with smooth surfaces and an ordered structure. HP disrupted the smooth and compact structure of CS, resulting in several surface cracks and fragments (Figure 3b). Fe/C-600 showed a more significant increase in damage on CS structure, accompanied by more severe surface deterioration (Figure 3a), which would increase the attachment sites of the enzyme to the substrate, resulting in a better contact between cellulase and cellulose, and consequently an increase in biogas yield. Yang et al. [14] also found that the enzyme efficiency was higher after treating sunflower at 220 °C for 60 min. From the surface morphological analysis, Fe/C-600 effectively enhanced the destruction of the dense structure of the CS surface in DC and increased the pore structure and specific surface area of CS, resulting in better conversion of CS during the AD process and the highest biomethane yield (Section 3.1.1).
The hydrogen-bonded structure of cellulose allowed CS to form a crystalline structure that was extremely difficult for anaerobic microorganisms to convert. CrI can reflect the change in the crystallinity of cellulose, which is another important factor affecting the accessibility of the CS enzyme [35]. The XRD images of the samples showed two peaks in the 2θ range at 17.9–18.1° and 22.2–22.5° (Figure 3d), representing the (001) and (002) facets of the cellulose type I crystal structure, respectively. The peak heights of Ni/C-800 and Fe/C-600 were significantly reduced around 18° and 22°. The addition of Ni/C-800 and Fe/C-600 can significantly reduce the CrI from 32.5% to 29.7% and 23.5%, respectively (Table 1). The decrease in CrI was associated with the degradation of the crystalline region of cellulose due to the breaking of hydrogen bonds in cellulose [36]. This suggested that Ni/C-800 and Fe/C-600 were effective in reducing the crystallinity of CS, resulting in a relatively large number of readily biodegradable non-crystalline regions available to the enzyme, thereby improving the biomethane performance, as confirmed by Figure 1.
Table 1. CS CrI before and after depolymerization.
FTIR spectra allow the identification of the alteration of some linkage bones and functional groups. As shown in Figure 3e, the shapes of the spectra before and after DC were roughly the same, but some of the characteristic peaks were obviously weakened after DC. In Fe/C-600, the hydroxyl group stretching vibration band in cellulose molecules was found to be significantly weakened at 3396 cm−1, suggesting that DC can partially disrupt the hydrogen bonding in CS and improve accessibility [14]. This finding is in agreement with the CrI results. The peak at 2921 cm−1 represented the stretching vibration bands of -CH and -CH2, and the intensity of the absorption peaks in the DC group was lower than that of the control group, indicating that the carbohydrates in the CS gradually decomposed and decreased after DC. Fe/C-600 and Ni/C-800 showed a significant weakening of the stretching vibration of C=O at 1731 cm−1, which was attributed to the rupture of the ester bond between lignin and hemicellulose [37]. This subsequently permitted the exposure of cellulose. The peaks at 1515 and 1425 cm−1 were indicative of C-H deformations, while the peaks at 1052 and 899 cm−1 were representative of ether bond stretching vibrations and C-O-C stretching vibrations, respectively [38]. The observed decrease in the intensity of these peaks was associated with the structural decomposition of hemicellulose. This is partially converted into RS and VFAs. The peak at 1251 cm−1 represented a C-O stretching vibration of the guaiacyl group [13], whereby the lignin was degraded and converted to TPC in the liquid phase. These observations suggested that DC has the potential to disrupt the intricate cross-linking structure within CS, thereby exposing the cellulose.

3.2.2. Components and Effect of Liquid Fraction

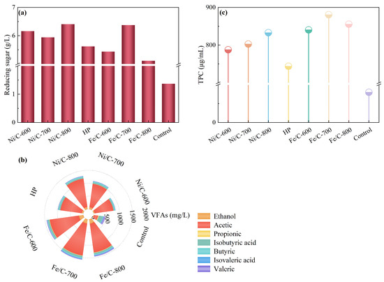
During the DC process, CS was partially decomposed into some intermediates with small molecules and transferred to liquid fractions [13]. It was found that RS, VFAs, and TPC are typical components in the liquid fraction of depolymerized CS (Figure 4). During the DC process, glycosidic bonds in the xylan chains of hemicellulose and cellulose were selectively hydrolyzed, releasing certain amount of RS (mainly oligosaccharides and monosaccharides) that can be rapidly utilized in the AD process [39]. As depicted in Figure 4a, RS concentrations of Ni/C groups were higher than those of HP, which indicated that the catalyst addition could effectively facilitate the hydrolysis capability. RS concentration of Ni/C-800 reached 6.4 g/L, which was 1.1 and 4.7 times more than those of the HP (5.6 g/L) and control groups (1.4 g/L), respectively. As RS is more easily used by AD microorganisms, this is one of the reasons for the higher biomethane production and earlier DBP peaks in the Fe/C and Ni/C groups (Section 3.1.1). This is consistent with the findings of Xu et al. [40] and Li et al. [9].
Figure 4. The changes in reducing sugar (a), VFAs (b) and TPC (c) after DC.
The acetyl groups of the hemicellulose in the DC process were destroyed and converted to VFAs [41]. While VFAs could be converted to acetic acid and biogas easily in the following AD process, the high VFAs in the liquid fraction would promote the conversion of CS to biogas. VFAs concentrations (Figure 4b) in Fe/C and Ni/C groups were 1099–1576 mg/L, which is higher than that of the HP (998 mg/L) and control groups (462 mg/L). Fe/C-700 obtained the highest VFAs concentration of (1576 mg/L), which was 1.6 and 3.4 times higher than that of the HP and control groups, respectively. However, the biomethane yield of Fe/C-700 was lower than that of the other Fe/C groups, and a similar phenomenon was found by Xiang et al. [31]. This was attributed to the fact that the direct conversion of VFAs to biomethane weakened the ability of the bacterial colonies to hydrolyze and acidify CS, resulting in a reduction in the VFAs required for the biomethane conversion in the intermediate stages of AD, which inhibited the increase in biogas production in the Fe/C-700 group.
Lignin is primarily composed of alkyl phenolic heteropolymers, mainly consisting of phenylpropane structural units linked by C-C and C-O bonds. Thus, TPC can reflect the lignin depolymerization extent [13]. TPC (Figure 4c) in Fe/C and Ni/C groups reached 744–881 mg/L, which were 9.3–11.0 times as much as the control group (80 mg/L). The highest concentration was found in the Fe/C group (881 mg/L), which was 18.4% higher than that of the HP group (744 mg/L). In general, TPC is an inhibitor to anaerobic microorganisms [42]. However, the Fe/C and Ni/C groups with higher TPC concentrations still achieved higher biomethane yields; this may imply that the TPC concentrations have not reached the threshold value, limiting the activity of AD microorganisms.

3.3. Microbial Community Analyses

3.3.1. Microbial Composition

To investigate the effect of DC on the structural composition of the anaerobic microbial communities, the microbial communities of the Fe/C-600, HP and control groups were analyzed for diversity. The bacterial composition at the genus level of all samples was shown in Figure 5a. Fe/C-600 significantly enriched Hydrogenispora and Fermentimonas, with relative abundances increasing from 4.0% and 5.2% in the control group to 22.4% and 11.0%, respectively. Hydrogenispora can produce hemicellulases and cellulases, thus effectively degrading cellulose and hemicellulose, which was closely related to the degradation of lignocellulose in AD and is one of the important reasons why the cellulose conversion rate of Fe/C-600 reached 90.1% [43]. Fermentimonas effectively facilitated the subsequent conversion of biomethane by converting the organic substrate to acetate [44]. In addition, HP increased the relative abundance of HN-HF0106 from 5.9% to 14.9% in the control. HN-HF0106 was reported to be a cellulolytic bacterium that produces H2 and acetate from the decomposition of cellulose substrates using cellulose as the sole source of carbon and energy [45]. The enrichment of these genera facilitated the degradation of cellulose and hemicellulose and the formation of VFAs in the CS, thereby accelerating subsequent biomethane production.
Figure 5. Bacterial (a) and archaeal (b) compositions at the genus level, correlation analysis between environmental factors and bacterial (c) and archaeal (d) abundance.
In the archaeal analysis (Figure 5b), Fe/C-600 and HP enriched Methanosarcina to 85.5% and 71.1%, respectively, from 23.2% in the control group, making it the only dominant methanogenic bacterium. Methanosarcina can produce biomethane from three carbon precursors (acetate, H2 and CO2), and it grows rapidly and can adapt to changes in temperature and acidic environment [46]. This suggests that DC can improve biogas production performance by enhancing the enrichment of Methanosarcina for targeted conversion to acetoclastic methanogenesis in the AD system.
Spearman correlation analysis (Figure 5c,d) indicated that Fermentimonas exhibited a robust positive correlation with RS and TPC (p < 0.05). Additionally, Methanosarcina demonstrated a positive correlation with biomethane yield and VFAs (p < 0.05), while exhibiting a negative correlation with T90 and CrI (p < 0.05). This suggested that DC can significantly improve the accessibility of cellulase in CS and shorten the fermentation time while increasing the biomethane yield. Additionally, Methanofollis and Methanobacterium were found to be negatively correlated with the biomethane yield (p < 0.05), indicating a competitive relationship between these genera.

3.3.2. Predictive Gene Functional and Correlation with DC

The effect of DC on the metabolic functions of anaerobic microorganisms could be elucidated by the microbial functional annotation of the KEGG database based on predictive functional analysis. As shown in Figure 6a, DC was associated with enhanced carbon metabolism, quorum sensing of biomethane metabolism, and amino acid biosynthesis. This suggested that DC enabled the positive succession of microbial communities and enhances the methanogenic potential.
Figure 6. Relative abundance of genes function (KEGG pathway level 3) (a) and main modules (b) related to methanogenesis.
Figure 6b showed the modules associated with methanogenesis, from which it can be seen that DC enhanced the conversion of CO2 to biomethane (M00567) and acetic acid to biomethane (M00357) pathways by 6.7% and 4.77%, respectively. In addition, DC further improved the synthesis of acetyl coenzyme A (M00307), coenzyme A (M00120) and F420 (M00378). Acetyl-coenzyme A and coenzyme A are associated with methanogenesis from acetic acid, whereas F420 is associated with methanogenesis from H2 and CO2. DC improved these modules, which could explain the increase in biomethane production [47].

4. Conclusions

This study demonstrated that depolymerization with Fe/C or Ni/C could obviously increase the biogas yield of CS. DC with Fe/C-600 increased the biomethane yield by 19.8% and 36.6%, as compared to that of the HP and control groups, respectively. The increase could be attributed to the altered morphology and structures of solid fraction and enriched substances available in liquid fraction. Depolymerization facilitated the disruption of physical structures and chemical bonds of solid fraction, while the CrI decreased from 32.5% to 23.5%. Meanwhile, RS and VFAs concentrations in DC liquid phase were increased by 4.7 times and 3.4 times as compared to those of control groups, respectively. The altered chemical structures and enriched liquid substances also led to an increased abundance of cellulose-hydrolyzing bacteria (Hydrogenispora and Fermentimonas), as well as mixotrophic methanoarchaea (Methanosarcina). It can be concluded that depolymerization with Fe/C or Ni/C could provide one of effective approaches for obtaining more biomethane from CS.

Supplementary Materials

The following supporting information can be downloaded at: https://www.mdpi.com/article/10.3390/en18010192/s1, Figure S1: The images of raw materials; Figure S2: XRD results of materials prepared at different calcination temperatures; Figure S3: The conversion of solid and liquid fractions after DC; Table S1: Characteristics of corn stover and inoculum; Table S2: Depolymerization parameters.

Author Contributions

Conceptualization, X.L.; methodology, X.L.; validation, X.L.; formal analysis, X.W.; investigation, X.W.; resources, C.Z. and H.Y.; data curation, X.W.; writing—original draft preparation, X.W.; writing—review and editing, X.L.; visualization, C.Z.; supervision, X.L. and H.Y.; project administration, X.L.; funding acquisition, X.L. All authors have read and agreed to the published version of the manuscript.

Funding

This research was funded by the Fundamental Research Funds for the Central Universities (No. JD2402).

Data Availability Statement

The original contributions presented in this study are included in the article. Further inquiries can be directed to the corresponding author.

Conflicts of Interest

The authors declare no conflicts of interest. The funders had no role in the design of the study; in the collection, analyses, or interpretation of data; in the writing of the manuscript; or in the decision to publish the results.

Abbreviations

The following abbreviations are used in this manuscript:
CScorn stover
ADanaerobic digestion
DCdepolymerization with catalysts
CrIcrystallinity index
RSreducing sugar
VFAsvolatile fatty acids
HPHydrothermal pretreatment
TStotal solids
VSvolatile solids
TCTotal carbon
TNtotal nitrogen
XRDX-ray diffraction

References

  1. Jiang, P.; Zhou, L.; Han, Y.; Fu, W.; Su, S.; Zeng, M. Utilizing waste corn straw to photodegrade methyl orange and methylene blue: Photothermal effect of biochar enhances photodegradation efficiency. J. Environ. Chem. Eng. 2024, 12, 112914. [Google Scholar] [CrossRef]
  2. Machhirake, N.P.; Vanapalli, K.R.; Kumar, S.; Mohanty, B. Biohydrogen from waste feedstocks: An energy opportunity for decarbonization in developing countries. Environ. Res. 2024, 252, 119028. [Google Scholar] [CrossRef] [PubMed]
  3. Bertasini, D.; Battista, F.; Mancini, R.; Frison, N.; Bolzonella, D. Hydrogen and methane production through two stage anaerobic digestion of straw residues. Environ. Res. 2024, 247, 118101. [Google Scholar] [CrossRef]
  4. Guan, R.; Yuan, H.; Yuan, S.; Yan, B.; Zuo, X.; Chen, X.; Li, X. Current development and perspectives of anaerobic bioconversion of crop stalks to Biogas: A review. Bioresour. Technol. 2022, 349, 126615. [Google Scholar] [CrossRef]
  5. Kamusoko, R.; Mukumba, P. Potential of Wheat Straw for Biogas Production by Anaerobic Digestion in South Africa: A Review. Energies 2024, 17, 4662. [Google Scholar] [CrossRef]
  6. Jasinska, A.; Grosser, A.; Meers, E.; Pilyp, D. Stimulating Methane Production from Poultry Manure Digest with Sewage Sludge and Organic Waste by Thermal Pretreatment and Adding Iron or Sodium Hydroxide. Energies 2024, 17, 2679. [Google Scholar] [CrossRef]
  7. Kamperidou, V.; Terzopoulou, P. Anaerobic digestion of lignocellulosic waste materials. Sustainability 2021, 13, 12810. [Google Scholar] [CrossRef]
  8. Moniz, P.; Pereira, H.; Duarte, L.C.; Carvalheiro, F. Hydrothermal production and gel filtration purification of xylo-oligosaccharides from rice straw. Ind. Crop Prod. 2014, 62, 460–465. [Google Scholar] [CrossRef]
  9. Li, D.; Wang, Q.; Li, J.; Li, Z.; Yuan, Y.; Yan, Z.; Mei, Z.; Liu, X. Mesophilic-hydrothermal-thermophilic (M-H-T) digestion of green corn straw. Bioresour. Technol. 2016, 202, 25–32. [Google Scholar] [CrossRef]
  10. Zhang, C.; Rahnuma, K.; Hou, L.; Liu, X.; Tang, Y.; Pavlostathis, S.G. Energy and economic assessment of hydrothermal-treatment-coupled anaerobic digestion. Renew. Sust. Energ. Rev. 2024, 202, 114674. [Google Scholar] [CrossRef]
  11. Zou, J.; Liu, X.; Xu, S.; Chen, M.; Yu, Q.; Xie, J. Combined hydrothermal pretreatment of agricultural and forestry wastes to enhance anaerobic digestion for methane production. Chem. Eng. J. 2024, 486, 150313. [Google Scholar] [CrossRef]
  12. Wei, N.; Qi, S.; Wang, G.; Ge, J.; Sui, W.; Sun, H.; Parvez, A.M.; Jia, H.; Si, C. Acid-promoted lignin reductive depolymerization under mild conditions via a condensation minimizing approach: From organosolv lignin to woody biomass. Fuel 2023, 338, 127311. [Google Scholar] [CrossRef]
  13. Lu, Y.; Zhang, L.; Zuo, X.; Yan, B.; Li, X.; Yuan, H. Depolymerization of corn stover by urea-hydrothermal pretreatment for efficient biomethane production and microbial community analysis of anaerobic digestion. J. Clean. Prod. 2022, 380, 134978. [Google Scholar] [CrossRef]
  14. Yang, Q.; Tang, W.; Li, L.; Huang, M.; Ma, C.; He, Y.-C. Enhancing enzymatic hydrolysis of waste sunflower straw by clean hydrothermal pretreatment. Bioresour. Technol. 2023, 383, 129236. [Google Scholar] [CrossRef] [PubMed]
  15. Jindal, M.; Uniyal, P.; Thallada, B. Reductive catalytic fractionation as a novel pretreatment/lignin-first approach for lignocellulosic biomass valorization: A review. Bioresour. Technol. 2023, 385, 129396. [Google Scholar] [CrossRef]
  16. Hu, J.; Zhang, S.; Xiao, R.; Jiang, X.; Wang, Y.; Sun, Y.; Lu, P. Catalytic transfer hydrogenolysis of lignin into monophenols over platinum-rhenium supported on titanium dioxide using isopropanol as in situ hydrogen source. Bioresour. Technol. 2019, 279, 228–233. [Google Scholar] [CrossRef] [PubMed]
  17. Wang, Q.; Liu, Y.; Zhang, Y.; Chen, Y.; Feng, Q.; Wang, W.; Liang, C.; Hu, Y.; Qi, W. Enhanced enzymatic hydrolysis of poplar cellulosic residue fractionated by a magnetic carbon-based solid-acid catalyst in the γ-valerolactone-water system. Ind. Crop Prod. 2022, 176, 114397. [Google Scholar] [CrossRef]
  18. Yuan, Y.; Jiang, B.; Chen, H.; Wu, W.; Wu, S.; Jin, Y.; Xiao, H. Recent advances in understanding the effects of lignin structural characteristics on enzymatic hydrolysis. Biotechnol. Biofuels 2021, 14, 1–20. [Google Scholar] [CrossRef]
  19. Jia, Y.; Yang, C.; Shen, B.; Ling, Z.; Huang, C.; Li, X.; Lai, C.; Yong, Q. Comparative study on enzymatic digestibility of acid-pretreated poplar and larch based on a comprehensive analysis of the lignin-derived recalcitrance. Bioresour. Technol. 2021, 319, 124225. [Google Scholar] [CrossRef]
  20. Van den Bosch, S.; Schutyser, W.; Koelewijn, S.-F.; Renders, T.; Courtin, C.M.; Sels, B.F. Tuning the lignin oil OH-content with Ru and Pd catalysts during lignin hydrogenolysis on birch wood. Chem. Commun. 2015, 51, 13158–13161. [Google Scholar] [CrossRef] [PubMed]
  21. Jeong, S.-Y.; Lee, J.-W. Catalytic effect of iron on sequential Fenton oxidation, hydrothermal treatment, and enzymatic hydrolysis to produce monosaccharide from lignocellulosic biomass. Ind. Crop Prod. 2020, 158, 112953. [Google Scholar] [CrossRef]
  22. Cheng, Y.; Qu, Y.; Yang, S.; Zhuang, K.; Wang, J. Staged biorefinery of Moso bamboo by integrating polysaccharide hydrolysis and lignin reductive catalytic fractionation (RCF) for the sequential production of sugars and aromatics. Ind. Crop Prod. 2021, 164, 113358. [Google Scholar] [CrossRef]
  23. Yu, H.; Zhang, F.; Li, L.; Wang, H.; Jia, Z.; Sun, Y.; Jiang, E.; Xu, X. Promotion of biomass pyrolytic saccharification and lignin depolymerization via nucleophilic reagents quenching of the carbonium ions. Bioresour. Technol. 2022, 363, 127876. [Google Scholar] [CrossRef] [PubMed]
  24. Akansu, H.; Arbag, H.; Tasdemir, H.M.; Yasyerli, S.; Yasyerli, N.; Dogu, G. Nickel-based alumina supported catalysts for dry reforming of biogas in the absence and the presence of H2S: Effect of manganese incorporation. Catal. Today 2022, 397, 37–49. [Google Scholar] [CrossRef]
  25. Sietsma, J.R.A.; Jos van Dillen, A.; de Jongh, P.E.; de Jong, K.P. Application of ordered mesoporous materials as model supports to study catalyst preparation by impregnation and drying. In Proceedings of the Scientific Bases for the Preparation of Heterogeneous Catalysts, Louvain-la-Neuve, Belgium, 10–14 September 2006; pp. 95–102. [Google Scholar]
  26. Standard Methods for the Examination of Water and Wastewater, 21st ed.; American Public Health Association: Washington, DC, USA, 2005.
  27. Zeng, Z.; Li, Y.; Yang, R.; Liu, C.; Hu, X.; Luo, S.; Gong, E.; Ye, J. The relationship between reducing sugars and phenolic retention of brown rice after enzymatic extrusion. J. Cereal Sci. 2017, 74, 244–249. [Google Scholar] [CrossRef]
  28. Puangbanlang, C.; Sirivibulkovit, K.; Nacapricha, D.; Sameenoi, Y. A paper-based device for simultaneous determination of antioxidant activity and total phenolic content in food samples. Talanta 2019, 198, 542–549. [Google Scholar] [CrossRef] [PubMed]
  29. Van Soest, P.J.; Robertson, J.B.; Lewis, B.A. Methods for dietary fiber, neutral detergent fiber, and nonstarch polysaccharides in relation to animal nutrition. J. Dairy. Sci. 1991, 74, 3583–3597. [Google Scholar] [CrossRef]
  30. Wang, X.; Song, X.; Yuan, H.; Li, X.; Zuo, X. Two-Step pretreatment of hydrothermal with ammonia for cow bedding: Pretreatment characteristics, anaerobic digestion performance and kinetic analysis. Waste Biomass Valorization 2021, 12, 5675–5687. [Google Scholar] [CrossRef]
  31. Xiang, C.; Tian, D.; Hu, J.; Huang, M.; Shen, F.; Zhang, Y.; Yang, G.; Zeng, Y.; Deng, S. Why can hydrothermally pretreating lignocellulose in low severities improve anaerobic digestion performances? Sci. Total Environ. 2021, 752, 141929. [Google Scholar] [CrossRef] [PubMed]
  32. Ayala-Mercado, I.D.; Weber, B.; Durán-García, M.D. Use of hydrothermal pretreatment to enhance biogas production from pelagic. Bioenerg. Res. 2022, 15, 1639–1648. [Google Scholar] [CrossRef]
  33. Li, X.; Wu, M.; Xue, Y. Nickel-loaded shrimp shell biochar enhances batch anaerobic digestion of food waste. Bioresour. Technol. 2022, 352, 127092. [Google Scholar] [CrossRef] [PubMed]
  34. Chen, Y.; Yang, D.; Tang, W.; Ma, C.; He, Y.-C. Improved enzymatic saccharification of bulrush via an efficient combination pretreatment. Bioresour. Technol. 2023, 385, 129369. [Google Scholar] [CrossRef] [PubMed]
  35. Karimi, K.; Taherzadeh, M.J. A critical review of analytical methods in pretreatment of lignocelluloses: Composition, imaging, and crystallinity. Bioresour. Technol. 2016, 200, 1008–1018. [Google Scholar] [CrossRef] [PubMed]
  36. Yu, Z.; Ma, H.; Boer, E.d.; Wu, W.; Wang, Q.; Gao, M.; Vo, D.-V.N.; Guo, M.; Xia, C. Effect of microwave/hydrothermal combined ionic liquid pretreatment on straw: Rumen anaerobic fermentation and enzyme hydrolysis. Environ. Res. 2022, 205, 112453. [Google Scholar] [CrossRef] [PubMed]
  37. Wu, X.; Fan, Z.; Mwansa, S.; Huang, C.; Yong, Q. Use of hydrogen peroxide to prime the autohydrolysis and enzymatic hydrolysis efficiency of wheat straw pulp residues. Fuel 2023, 346, 128283. [Google Scholar] [CrossRef]
  38. Zhao, C.; Sun, N.; Chen, N.; Liu, T.; Feng, C. Study on the remediation of groundwater nitrate pollution by pretreated wheat straw and woodchips. Environ. Res. 2024, 263, 120226. [Google Scholar] [CrossRef]
  39. Lu, Y.; Sun, Y.; Zhang, L.; Zuo, X.; Li, X.; Yuan, H. Substance bioconversion, hydrolases activity, and metagenomic analysis to unravel the enhanced biomethanation of corn stover with urea-hydrothermal pretreatment. J. Environ. Manag. 2023, 333, 117466. [Google Scholar] [CrossRef]
  40. Xu, C.; Wu, B.; Zhao, P.; Wang, Y.; Yang, H.; Mi, Y.; Zhou, Y.; Ma, T.; Zhang, S.; Wu, L.; et al. Biological saccharification coupled with anaerobic digestion using corn straw for sustainable methane production. Bioresour. Technol. 2023, 367, 128277. [Google Scholar] [CrossRef]
  41. Rahmani, A.M.; Tyagi, V.K.; Gunjyal, N.; Kazmi, A.A.; Ojha, C.S.P.; Moustakas, K. Hydrothermal and thermal-alkali pretreatments of wheat straw: Co-digestion, substrate solubilization, biogas yield and kinetic study. Environ. Res. 2023, 216, 114436. [Google Scholar] [CrossRef] [PubMed]
  42. Cao, W.; Sun, C.S.; Li, X.; Qiu, J.; Liu, R. Methane production enhancement from products of alkaline hydrogen peroxide pretreated sweet sorghum bagasse. RSC Adv. 2017, 7, 16173. [Google Scholar] [CrossRef]
  43. Zhang, S.; Liang, C.; Xiao, M.; Chui, C.; Wang, N.; Ji, Y.; Wang, Z.; Shi, J.; Liu, L. Metagenomic characterization of the enhanced performance of multicomponent synergistic thermophilic anaerobic co-digestion of food waste utilizing kitchen waste or garden waste as co-substrate. Water Res. 2023, 244, 120457. [Google Scholar] [CrossRef] [PubMed]
  44. Fang, W.; Zhang, R.; Yang, W.; Spanjers, H.; Zhang, P. A novel strategy for waste activated sludge treatment: Recovery of structural extracellular polymeric substances and fermentative production of volatile fatty acids. Water Res. 2024, 266, 122421. [Google Scholar] [CrossRef] [PubMed]
  45. Xie, Z.; Meng, X.; Ding, H.; Cao, Q.; Chen, Y.; Liu, X.; Li, D. The synergistic effect of rumen cellulolytic bacteria and activated carbon on thermophilic digestion of cornstalk. Bioresour. Technol. 2021, 338, 125566. [Google Scholar] [CrossRef] [PubMed]
  46. Goberna, M.; Gadermaier, M.; Franke-Whittle, I.H.; García, C.; Wett, B.; Insam, H. Start-up strategies in manure-fed biogas reactors: Process parameters and methanogenic communities. Biomass Bioenerg. 2015, 75, 46–56. [Google Scholar] [CrossRef]
  47. Meng, X.; Zhang, H.; Yang, J.; Zhang, Q.; Zhang, Z.; Qu, B. Cold isostatic pressing-study on methane production and microbial communities in anaerobic digestion of wheat straw with high-solids. J. Clean. Prod. 2023, 428, 139469. [Google Scholar] [CrossRef]
Disclaimer/Publisher’s Note: The statements, opinions and data contained in all publications are solely those of the individual author(s) and contributor(s) and not of MDPI and/or the editor(s). MDPI and/or the editor(s) disclaim responsibility for any injury to people or property resulting from any ideas, methods, instructions or products referred to in the content.

Article Metrics

Citations

Article Access Statistics

Multiple requests from the same IP address are counted as one view.