Enzymatic Activity in the Anaerobic Co-Digestion of Cavitated Coffee Waste and Sewage Sludge
Abstract
1. Introduction
2. Materials and Methods
2.1. Applied Materials
2.2. HDC and AnD Experiments
2.3. Analyses of Physico-Chemical Parameters of the Applied Substrates
2.4. Analyses of Macro- and Micro-Elements
2.5. Analyses of Enzyme Activity
2.6. Statistical Analyses
3. Results
3.1. AnD and AcD Efficiency
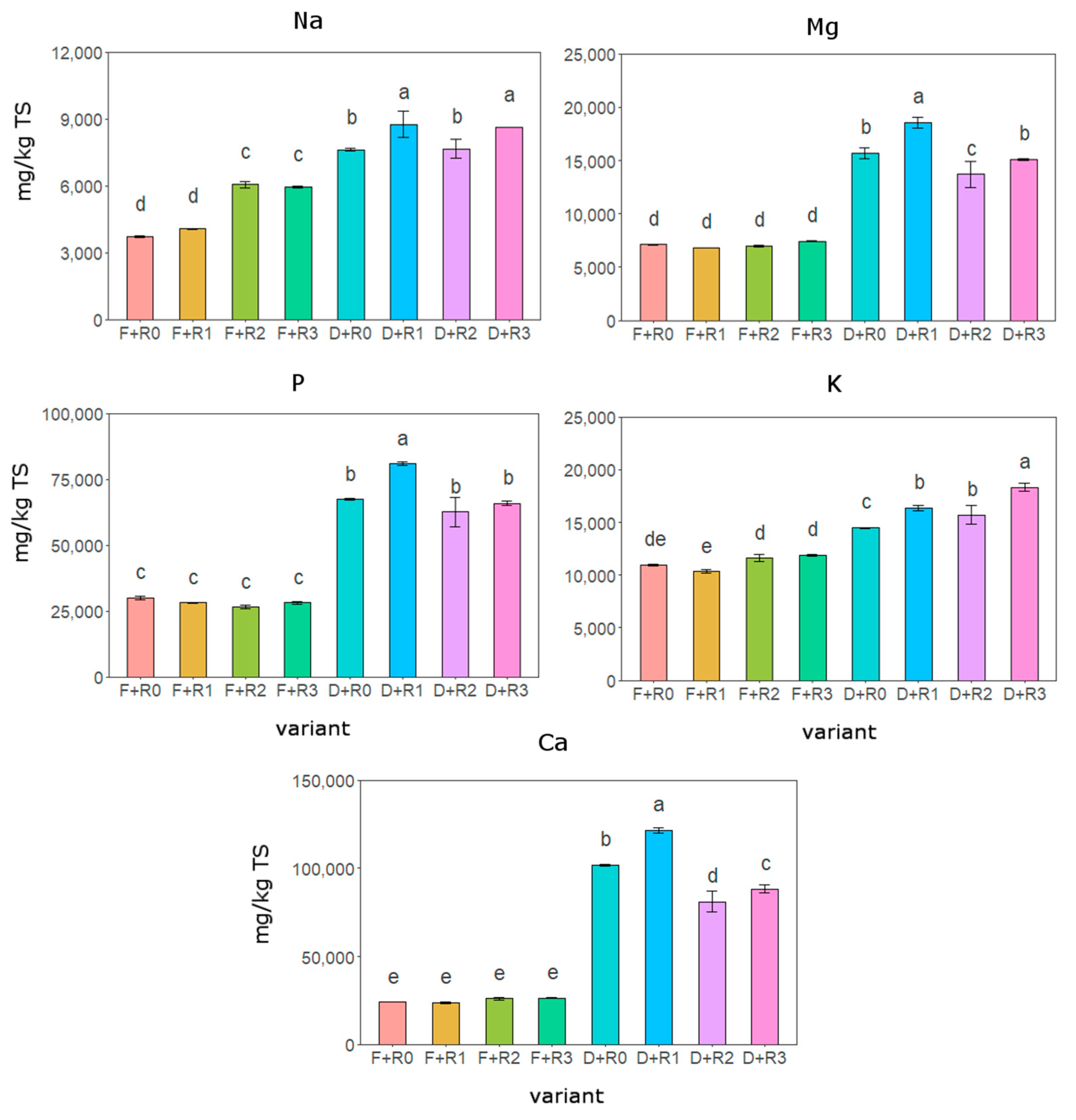
3.2. Macro- and Micro-Element Content of Feedstock and Digestate
3.3. Enzyme Activity of Feedstock and Digestate
3.4. Coefficients of Correlations Between Parameters
4. Discussion
5. Conclusions
Author Contributions
Funding
Data Availability Statement
Conflicts of Interest
References
- Fernandes, A.S.; Mello, F.V.C.; Thode Filho, S.; Carpes, R.M.; Honório, J.G.; Marques, M.R.C.; Felzenszwalb, I.; Ferraz, E.R.A. Impacts of Discarded Coffee Waste on Human and Environmental Health. Ecotoxicol. Environ. Saf. 2017, 141, 30–36. [Google Scholar] [CrossRef]
- Szaja, A.; Montusiewicz, A.; Pasieczna-Patkowska, S.; Grządka, E.; Montusiewicz, J.; Lebiocka, M. Pre-Treatment of Spent Coffee Grounds Using Hydrodynamic Cavitation. Energies 2024, 17, 2229. [Google Scholar] [CrossRef]
- Stylianou, M.; Agapiou, A.; Omirou, M.; Vyrides, I.; Ioannides, I.M.; Maratheftis, G.; Fasoula, D. Converting Environmental Risks to Benefits by Using Spent Coffee Grounds (SCG) as a Valuable Resource. Environ. Sci. Pollut. Res. 2018, 25, 35776–35790. [Google Scholar] [CrossRef] [PubMed]
- Zhao, N.; Liu, Z.; Yu, T.; Yan, F. Spent Coffee Grounds: Present and Future of Environmentally Friendly Applications on Industries-A Review. Trends Food Sci. Technol. 2024, 143, 104312. [Google Scholar] [CrossRef]
- Qisse, N.; Fattah, G.; Elouardi, M.; Mabrouki, J.; El Azzouzi, L.; Ennouari, A.; El Belghiti, M.A.; El Azzouzi, M. Competitive Adsorption of Zn in Wastewater Effluents by NaOH-Activated Raw Coffee Grounds Derivative and Coffee Grounds. Desalination Water Treat. 2022, 258, 123–132. [Google Scholar] [CrossRef]
- Kampioti, A.; Komilis, D. Anaerobic Co-Digestion of Coffee Waste with Other Organic Substrates: A Mixture Experimental Design. Chemosphere 2022, 297, 134124. [Google Scholar] [CrossRef]
- Jomnonkhaow, U.; Plangklang, P.; Reungsang, A.; Peng, C.-Y.; Chu, C.-Y. Valorization of Spent Coffee Grounds through Integrated Bioprocess of Fermentable Sugars, Volatile Fatty Acids, Yeast-Based Single-Cell Protein and Biofuels Production. Bioresour. Technol. 2024, 393, 130107. [Google Scholar] [CrossRef]
- Rabii, A.; Aldin, S.; Dahman, Y.; Elbeshbishy, E. A Review on Anaerobic Co-Digestion with a Focus on the Microbial Populations and the Effect of Multi-Stage Digester Configuration. Energies 2019, 12, 1106. [Google Scholar] [CrossRef]
- Atelge, M.R.; Atabani, A.E.; Abut, S.; Kaya, M.; Eskicioglu, C.; Semaan, G.; Lee, C.; Yildiz, Y.Ş.; Unalan, S.; Mohanasundaram, R.; et al. Anaerobic Co-Digestion of Oil-Extracted Spent Coffee Grounds with Various Wastes: Experimental and Kinetic Modeling Studies. Bioresour. Technol. 2021, 322, 124470. [Google Scholar] [CrossRef]
- Zheng, H.; Zheng, Y.; Zhu, J. Recent Developments in Hydrodynamic Cavitation Reactors: Cavitation Mechanism, Reactor Design, and Applications. Engineering 2022, 19, 180–198. [Google Scholar] [CrossRef]
- Mitraka, G.-C.; Kontogiannopoulos, K.N.; Batsioula, M.; Banias, G.F.; Zouboulis, A.I.; Kougias, P.G. A Comprehensive Review on Pretreatment Methods for Enhanced Biogas Production from Sewage Sludge. Energies 2022, 15, 6536. [Google Scholar] [CrossRef]
- Ge, M.; Sun, C.; Zhang, G.; Coutier-Delgosha, O.; Fan, D. Combined Suppression Effects on Hydrodynamic Cavitation Performance in Venturi-Type Reactor for Process Intensification. Ultrason. Sonochem. 2022, 86, 106035. [Google Scholar] [CrossRef]
- Liew, Y.X.; Chan, Y.J.; Manickam, S.; Chong, M.F.; Chong, S.; Tiong, T.J.; Lim, J.W.; Pan, G.-T. Enzymatic Pretreatment to Enhance Anaerobic Bioconversion of High Strength Wastewater to Biogas: A Review. Sci. Total Environ. 2020, 713, 136373. [Google Scholar] [CrossRef] [PubMed]
- Lim, J.W.; Park, T.; Tong, Y.W.; Yu, Z. The Microbiome Driving Anaerobic Digestion and Microbial Analysis. Adv. Bioenergy 2020, 5, 1. [Google Scholar] [CrossRef]
- Bonilla, S.; Choolaei, Z.; Meyer, T.; Edwards, E.A.; Yakunin, A.F.; Allen, D.G. Evaluating the Effect of Enzymatic Pretreatment on the Anaerobic Digestibility of Pulp and Paper Biosludge. Biotechnol. Rep. 2018, 17, 77–85. [Google Scholar] [CrossRef]
- Taha, M.; Foda, M.; Shahsavari, E.; Aburto-Medina, A.; Adetutu, E.; Ball, A. Commercial Feasibility of Lignocellulose Biodegradation: Possibilities and Challenges. Curr. Opin. Biotechnol. 2016, 38, 190–197. [Google Scholar] [CrossRef]
- Uddin, M.M.; Wright, M.M. Anaerobic Digestion Fundamentals, Challenges, and Technological Advances. Phys. Sci. Rev. 2023, 8, 2819–2837. [Google Scholar] [CrossRef]
- Koppram, R.; Tomás-Pejó, E.; Xiros, C.; Olsson, L. Lignocellulosic Ethanol Production at High-Gravity: Challenges and Perspectives. Trends Biotechnol. 2014, 32, 46–53. [Google Scholar] [CrossRef]
- Lin, Y.; Wang, D.; Wu, S.; Wang, C. Alkali Pretreatment Enhances Biogas Production in the Anaerobic Digestion of Pulp and Paper Sludge. J. Hazard. Mater. 2009, 170, 366–373. [Google Scholar] [CrossRef]
- 2720 Anaerobic Sludge Digester Gas Analysis. In Standard Methods for the Examination of Water and Wastewater; American Public Health Association: Washington, DC, USA, 2017; ISBN 978-0-87553-299-8.
- Schinner, F.; Öhlinger, R.; Kandeler, E.; Margesin, R. (Eds.) Enzymes Involved in Carbon Metabolism. In Methods in Soil Biology; Springer: Berlin/Heidelberg, Germany, 1996; pp. 185–207. ISBN 978-3-642-60966-4. [Google Scholar]
- Ladd, J.N.; Butler, J.H.A. Short-Term Assays of Soil Proteolytic Enzyme Activities Using Proteins and Dipeptide Derivatives as Substrates. Soil Biol. Biochem. 1972, 4, 19–30. [Google Scholar] [CrossRef]
- Hayano, K. A Method for the Determination of β-Glucosidase Activity in Soil. Soil Sci. Plant Nutr. 1973, 19, 103–108. [Google Scholar] [CrossRef]
- Kandeler, E.; Gerber, H. Short-Term Assay of Soil Urease Activity Using Colorimetric Determination of Ammonium. Biol. Fertil. Soils 1988, 6, 68–72. [Google Scholar] [CrossRef]
- Bargole, S.; George, S.; Kumar Saharan, V. Improved Rate of Transesterification Reaction in Biodiesel Synthesis Using Hydrodynamic Cavitating Devices of High Throat Perimeter to Flow Area Ratios. Chem. Eng. Process.-Process Intensif. 2019, 139, 1–13. [Google Scholar] [CrossRef]
- Gawande, G.; Mali, P.; Dhavane, P.; Nahata, Y. Hydrodynamic Cavitation—A Promising Technology for Water Treatment. Mater. Today Proc. 2024; in press. [Google Scholar] [CrossRef]
- Kumar Khanal, S.; Lü, F.; Wong, J.W.C.; Wu, D.; Oechsner, H. Anaerobic Digestion beyond Biogas. Bioresour. Technol. 2021, 337, 125378. [Google Scholar] [CrossRef]
- Montoneri, E.; Koutinas, M.; Padoan, E.; Negro, V.; Licignano, C.; Leone, S.; Photiou, P.; Kallis, M.; Vyrides, I.; Liendo, F.; et al. Integrated Chemical and Biochemical Technology to Produce Biogas with a Reduced Ammonia Content from Municipal Biowaste. Validating Lab-Scale Research in a Real Operational Environment. Environ. Sci. Adv. 2022, 1, 746–768. [Google Scholar] [CrossRef]
- Szaja, A.; Montusiewicz, A.; Lebiocka, M.; Bis, M. A Combined Anaerobic Digestion System for Energetic Brewery Spent Grain Application in Co-Digestion with a Sewage Sludge. Waste Manag. 2021, 135, 448–456. [Google Scholar] [CrossRef]
- Neves, L.; Oliveira, R.; Alves, M.M. Anaerobic Co-Digestion of Coffee Waste and Sewage Sludge. Waste Manag. 2006, 26, 176–181. [Google Scholar] [CrossRef]
- Czatzkowska, M.; Harnisz, M.; Korzeniewska, E.; Koniuszewska, I. Inhibitors of the Methane Fermentation Process with Particular Emphasis on the Microbiological Aspect: A Review. Energy Sci. Eng. 2020, 8, 1880–1897. [Google Scholar] [CrossRef]
- Paulo, L.M.; Stams, A.J.M.; Sousa, D.Z. Methanogens, Sulphate and Heavy Metals: A Complex System. Rev. Environ. Sci. Biotechnol. 2015, 14, 537–553. [Google Scholar] [CrossRef]
- Wang, X.; Huang, S.; Wang, S.; Chen, S.; Dong, S.; Zhu, Y. Effect of D-Limonene on Volatile Fatty Acids Production from Anaerobic Fermentation of Waste Activated Sludge under pH Regulation: Performance and Mechanisms. J. Environ. Manag. 2024, 370, 122828. [Google Scholar] [CrossRef]
- Chen, Y.; Cheng, J.J.; Creamer, K.S. Inhibition of Anaerobic Digestion Process: A Review. Bioresour. Technol. 2008, 99, 4044–4064. [Google Scholar] [CrossRef] [PubMed]
- Guadalupe, G.A.; Chavez, S.G.; Arellanos, E.; Doménech, E. Probabilistic Risk Characterization of Heavy Metals in Peruvian Coffee: Implications of Variety, Region and Processing. Foods 2023, 12, 3254. [Google Scholar] [CrossRef] [PubMed]
- Choong, Y.Y.; Norli, I.; Abdullah, A.Z.; Yhaya, M.F. Impacts of Trace Element Supplementation on the Performance of Anaerobic Digestion Process: A Critical Review. Bioresour. Technol. 2016, 209, 369–379. [Google Scholar] [CrossRef] [PubMed]
- Tian, Y.; Zhang, H.; Chai, Y.; Wang, L.; Mi, X.; Zhang, L.; Ware, M.A. Biogas Properties and Enzymatic Analysis during Anaerobic Fermentation of Phragmites Australis Straw and Cow Dung: Influence of Nickel Chloride Supplement. Biodegradation 2017, 28, 15–25. [Google Scholar] [CrossRef] [PubMed]
- Romero-Güiza, M.S.; Vila, J.; Mata-Alvarez, J.; Chimenos, J.M.; Astals, S. The Role of Additives on Anaerobic Digestion: A Review. Renew. Sustain. Energy Rev. 2016, 58, 1486–1499. [Google Scholar] [CrossRef]
- Chen, J.; Yun, S.; Shi, J.; Wang, Z.; Abbas, Y.; Wang, K.; Han, F.; Jia, B.; Xu, H.; Xing, T.; et al. Role of Biomass-Derived Carbon-Based Composite Accelerants in Enhanced Anaerobic Digestion: Focusing on Biogas Yield, Fertilizer Utilization, and Density Functional Theory Calculations. Bioresour. Technol. 2020, 307, 123204. [Google Scholar] [CrossRef]
- Yin, M.; Chen, H. Unveiling the Dual Faces of Chitosan in Anaerobic Digestion of Waste Activated Sludge. Bioresour. Technol. 2022, 344, 126182. [Google Scholar] [CrossRef]
- Li, W.; Zhu, L.; Wu, B.; Liu, Y.; Li, J.; Xu, L.; Huangfu, X.; Shi, D.; Gu, L.; Chen, C. Improving Mesophilic Anaerobic Digestion of Food Waste by Side-Stream Thermophilic Reactor: Activation of Methanogenic, Key Enzymes and Metabolism. Water Res. 2023, 241, 120167. [Google Scholar] [CrossRef]
- Parawira, W. Enzyme Research and Applications in Biotechnological Intensification of Biogas Production. Crit. Rev. Biotechnol. 2012, 32, 172–186. [Google Scholar] [CrossRef]
- Teo, C.W.; Wong, P.C.Y. Enzyme Augmentation of an Anaerobic Membrane Bioreactor Treating Sewage Containing Organic Particulates. Water Res. 2014, 48, 335–344. [Google Scholar] [CrossRef]







| Parameter | Units | SS | Non-Cavitated CW | CW Cavitated for 20 min | CW Cavitated for 30 min |
|---|---|---|---|---|---|
| COD | mg/L | 47650 ± 235 | 9750 ± 190 | 6580 ± 164 | 6830 ± 125 |
| TS | g/kg | 45.3 ± 4.1 | 9.28 ± 2.7 | 8.21 ± 1.5 | 7.94 ± 0.8 |
| VS | g/kg | 33.35 ± 2.9 | 8.21 ± 0.5 | 7.43 ± 0.6 | 7.08 ± 0.5 |
| phenols | mg/L | 3.7 ± 0.06 | 16.30 ± 1.5 | 23.60 ± 2.7 | 26.10 ± 3.3 |
| pH | 5.97 ± 0.05 | 7.28 ± 0.1 | 7.82 ± 0.1 | 7.93 ± 0.1 | |
| caffeine | ppb | nd | nd | nd | 505 ± 15 |
| Parameter | Description |
|---|---|
| inlet pressure | 5 bar |
| HDC inducer configuration | single hole plate with total area of hole 7.0686 mm2 |
| time cavitation number | 20 and 30 min 0.065 |
Disclaimer/Publisher’s Note: The statements, opinions and data contained in all publications are solely those of the individual author(s) and contributor(s) and not of MDPI and/or the editor(s). MDPI and/or the editor(s) disclaim responsibility for any injury to people or property resulting from any ideas, methods, instructions or products referred to in the content. |
© 2025 by the authors. Licensee MDPI, Basel, Switzerland. This article is an open access article distributed under the terms and conditions of the Creative Commons Attribution (CC BY) license (https://creativecommons.org/licenses/by/4.0/).
Share and Cite
Wołejko, E.; Wydro, U.; Szaja, A.; Montusiewicz, A.; Lebiocka, M. Enzymatic Activity in the Anaerobic Co-Digestion of Cavitated Coffee Waste and Sewage Sludge. Energies 2025, 18, 187. https://doi.org/10.3390/en18010187
Wołejko E, Wydro U, Szaja A, Montusiewicz A, Lebiocka M. Enzymatic Activity in the Anaerobic Co-Digestion of Cavitated Coffee Waste and Sewage Sludge. Energies. 2025; 18(1):187. https://doi.org/10.3390/en18010187
Chicago/Turabian StyleWołejko, Elżbieta, Urszula Wydro, Aleksandra Szaja, Agnieszka Montusiewicz, and Magdalena Lebiocka. 2025. "Enzymatic Activity in the Anaerobic Co-Digestion of Cavitated Coffee Waste and Sewage Sludge" Energies 18, no. 1: 187. https://doi.org/10.3390/en18010187
APA StyleWołejko, E., Wydro, U., Szaja, A., Montusiewicz, A., & Lebiocka, M. (2025). Enzymatic Activity in the Anaerobic Co-Digestion of Cavitated Coffee Waste and Sewage Sludge. Energies, 18(1), 187. https://doi.org/10.3390/en18010187

