Pre-Treatment of Spent Coffee Grounds Using Hydrodynamic Cavitation
Abstract
1. Introduction
2. Materials and Methods
2.1. Substrates
2.2. HC Experiments and Operational Set-Up
2.3. Analytical Methods
2.3.1. The Physicochemical Analyses
2.3.2. Zeta Potential and Particle Size Analysis
2.3.3. FT-IR/ATR
2.3.4. Multi-Criteria Decision Making
3. Results and Discussion
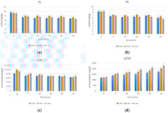
3.1. Influence of HD on the Physicochemical Properties of Pre-Treated Mixture
3.2. Changes of Zeta Potential and Particle Sizes within HC
3.3. FT-IR/ATR
3.4. The Results of the Muli-Criteria Analysis Making
4. Conclusions
Author Contributions
Funding
Data Availability Statement
Conflicts of Interest
References
- Yusufoğlu, B.; Kezer, G.; Wang, Y.; Ziora, Z.M.; Esatbeyoglu, T. Bio-recycling of spent coffee grounds: Recent advances and potential applications. Curr. Opin. Food Sci. 2023, 55, 101111. [Google Scholar] [CrossRef]
- Santos, V.P.; Ribeiro, P.C.C.; Rodrigues, L.B. Sustainability assessment of coffee production in Brazil. Environ. Sci. Pollut. Res. 2023, 30, 11099. [Google Scholar] [CrossRef] [PubMed]
- Zhao, N.; Liu, Z.; Yu, T.; Yan, F. Spent coffee grounds: Present and future of an environmentally friendly applications on industries—A review. Trends Food Sci. Technol. 2024, 143, 104312. [Google Scholar] [CrossRef]
- Cavanagh, Q.; Brooks, M.S.; Rupasinghe, H.V. Innovative technologies used to convert spent coffee grounds into new food ingredients: Opportunities, challenges, and prospects. Future Foods 2023, 8, 100255. [Google Scholar] [CrossRef]
- Roychand, R.; Kilmartin-Lynch, S.; Saberian, M.; Li, J.; Zhang, G.; Li, C.Q. Transforming spent coffee grounds into a valuable resource for the enhancement of concrete strength. J. Clean. 2023, 419, 138205. [Google Scholar] [CrossRef]
- Dafouz, R.; Caceres, N.; Rodríguez-Gil, J.L.; Mastroianni, N.; Lopez De Alda, M.; Barcelo, D. Does the presence of caffeine in the marine environment represent an environmental risk? A regional and global study. Sci. Total Environ. 2018, 615, 632–642. [Google Scholar] [CrossRef] [PubMed]
- Li, H.; Zhang, J.; Li, F.; Luo, S.; Li, Q.; Zhou, S. Preparation of waste coffee grounds carbon and study on phenol adsorption ability. J. Wuhan Univ. Technol. 2022, 37, 38–46. [Google Scholar] [CrossRef]
- Qisse, N.; Fattah, G.; Elouardi, M.; Mabrouki, J.; El Azzouzi, L.; Ennouari, A. Competitive adsorption of Zn in wastewater effluents by NaOH-activated raw coffee grounds derivative and coffee grounds. Deswater 2022, 258, 123–132. [Google Scholar] [CrossRef]
- Rabii, A.; Aldin, S.; Dahman, Y.; Elbeshbishy, E. A Review on Anaerobic Co-Digestion with a Focus on the Microbial Populations and the Effect of Multi-Stage Digester Configuration. Energies 2019, 12, 1106. [Google Scholar] [CrossRef]
- Masłoń, A.; Czarnota, J.; Szczyrba, P.; Szaja, A.; Szulżyk-Cieplak, J.; Łagód, G. Assessment of Energy Self-Sufficiency of Wastewater Treatment Plants—A Case Study from Poland. Energies 2024, 17, 1164. [Google Scholar] [CrossRef]
- Jomnonkhaow, U.; Plangklang, P.; Reungsang, A.; Peng, C.Y.; Chu, C.Y. Valorization of spent coffee grounds through integrated bioprocess of fermentable sugars, volatile fatty acids, yeast-based single-cell protein and biofuels production. Bioresour. Technol. 2024, 393, 130107. [Google Scholar] [CrossRef] [PubMed]
- Atelge, M.R.; Atabani, A.; Abut, S.; Kaya, M.O.; Eskicioglu, C.; Semaan, G.; Lee, C.; Yıldız, Y.Ş.; Unalan, S.; Mohanasundaram, R.; et al. Anaerobic co-digestion of oil-extracted spent coffee grounds with various wastes: Experimental and kinetic modeling studies. Bioresour. Technol. 2020, 322, 124470. [Google Scholar] [CrossRef] [PubMed]
- Zhen, G.; Lu, X.; Kato, H.S.; Zhao, Y.; Li, Y. Overview of pretreatment strategies for enhancing sewage sludge disintegration and subsequent anaerobic digestion: Current advances, full-scale application and future perspectives. Renew. Sust. Energ. Rev. 2017, 69, 559–577. [Google Scholar] [CrossRef]
- Prado, C.A.; Antunes, F.A.; Rocha, T.M.; Sánchez-Muñoz, S.; Barbosa, F.G.; Terán-Hilares, R.; Cruz-Santos, M.M.; Arruda, G.L.; da Silva, S.S.; Santos, J. A review on recent developments in hydrodynamic cavitation and advanced oxidative processes for pretreatment of lignocellulosic materials. Bioresour. Technol. 2021, 345, 126458. [Google Scholar] [CrossRef] [PubMed]
- Szaja, A.; Montusiewicz, A.; Lebiocka, M.; Bis, M. A combined anaerobic digestion system for energetic brewery spent grain application in co-digestion with a sewage sludge. Waste Manag. 2021, 135, 448–456. [Google Scholar] [CrossRef]
- Montusiewicz, A.; Pasieczna-Patkowska, S.; Lebiocka, M.; Szaja, A.; Szymańska-Chargot, M. Hydrodynamic cavitation of brewery spent grain diluted by wastewater. Chem. Eng. J. 2017, 313, 946–956. [Google Scholar] [CrossRef]
- American Public Health Association (APHA). Standard Methods for the Examination of Water and Wastewater, 22nd ed.; APHA: Washington, DC, USA, 2012. [Google Scholar]
- Surdacki, P.; Montusiewicz, J. Approach to multicriterion optimization of quench performance of superconducting winding. IEEE Trans. Magn. 1996, 32, 1266–1269. [Google Scholar] [CrossRef]
- Dhanke, P.; Sameer Wagh, S.; Patil, A. Treatment of fish processing industry wastewater using hydrodynamic cavitational reactor with biodegradability improvement. Water Sci. Technol. 2019, 80, 2310–2319. [Google Scholar] [CrossRef]
- Saxena, S.; Saharan, V.K.; George, S. Enhanced synergistic degradation efficiency using hybrid hydrodynamic cavitation for treatment of tannery waste effluent. J. Clean. 2018, 198, 1406–1421. [Google Scholar] [CrossRef]
- Padoley, K.V.; Saharan, V.K.; Mudliar, S.N.; Pandey, R.A.; Pandit, A.B. Cavitationally induced biodegradability enhancement of a distillery wastewater. J. Hazard. 2012, 219–220, 69–74. [Google Scholar] [CrossRef]
- Gogate, P.R.; Pandit, A.B. A review of imperative technologies for wastewater treatment I: Oxidation technologies at ambient conditions. Adv. Environ. Res. 2004, 8, 501–551. [Google Scholar] [CrossRef]
- Mahamuni, N.N.; Adewuyi, Y.G. Advanced oxidation processes (AOPs) involving ultrasound for waste water treatment: A review with emphasis on cost estimation. Ultrason. Sonochem. 2010, 17, 990–1003. [Google Scholar] [CrossRef] [PubMed]
- Bhat, A.P.; Gogate, P.R. Cavitation-based pre-treatment of wastewater and waste sludge for improvement in the performance of biological processes: A review. J. Environ. Chem. Eng. 2021, 9, 104743. [Google Scholar] [CrossRef]
- Mohod, A.V.; Teixeira, A.C.; Bagal, M.V.; Gogate, P.R.; Giudici, R. Degradation of Organic Pollutants from Wastewater using Hydrodynamic Cavitation: A review. J. Environ. Chem. Eng. 2023, 11, 109773. [Google Scholar] [CrossRef]
- Wang, B.; Su, H.; Zhang, B. Hydrodynamic cavitation as a promising route for wastewater treatment—A review. Chem. Eng. J. 2021, 412, 128685. [Google Scholar] [CrossRef]
- Zheng, H.; Zheng, Y.; Zhu, J. Recent Developments in Hydrodynamic Cavitation Reactors: Cavitation Mechanism, Reactor Design, and Applications. Engineering 2022, 19, 180–198. [Google Scholar] [CrossRef]
- Gogate, P.R. Cavitation: An auxiliary technique in wastewater treatment schemes. Adv. Environ. Res. 2002, 6, 335–358. [Google Scholar] [CrossRef]
- Omelyanyuk, M.; Ukolov, A.; Pakhlyan, I.; Bukharin, N.; El Hassan, M. Experimental and Numerical Study of Cavitation Number Limitations for Hydrodynamic Cavitation Inception Prediction. Fluids 2022, 7, 198. [Google Scholar] [CrossRef]
- Saharan, V.K.; Badve, M.P.; Pandit, A.B. Degradation of Reactive Red 120 dye using hydrodynamic cavitation. Chem. Eng. J. 2011, 178, 100–107. [Google Scholar] [CrossRef]
- Lebiocka, M. Application of Hydrodynamic Cavitation to Improve the Biodegradability of Municipal Wastewater. J. Ecol. Eng. 2020, 21, 155–160. [Google Scholar] [CrossRef]
- Bis, M.; Montusiewicz, A.; Ozonek, J.; Pasieczna-Patkowska, S. Application of hydrodynamic cavitation to improve the biodegradability of mature landfill leachate. Ultrason. Sonochem. 2015, 26, 378–387. [Google Scholar] [CrossRef] [PubMed]
- Gągol, M.; Przyjazny, A.; Boczkaj, G. Effective method of treatment of industrial effluents under basic pH conditions using acoustic cavitation–A comprehensive comparison with hydrodynamic cavitation processes. Chem. Eng. Process. 2018, 128, 103–113. [Google Scholar] [CrossRef]
- Neves, L.; Ribeiro, R.; Oliveira, R.; Alves, M.M. Anaerobic digestion of coffee waste. Waste Manag. 2006, 26, 176–181. [Google Scholar] [CrossRef] [PubMed]
- Chen, R.; Jiang, H.; Li, Y. Caffeine degradation by methanogenesis: Efficiency in anaerobic membrane bioreactor and analysis of kinetic behavior. Chem. Eng. J. 2018, 334, 444–452. [Google Scholar] [CrossRef]
- Prabhudessai, V.; Ganguly, A.; Mutnuri, S. Effect of caffeine and saponin on anaerobic digestion of food waste. Ann. Microbiol. 2009, 59, 643–648. [Google Scholar] [CrossRef]
- He, J.; Luo, T.; Shi, Z.; Angelidaki, I.; Zhang, S.; Luo, G. Microbial shifts in anaerobic digestion towards phenol inhibition with and without hydrochar as revealed by metagenomic binning. J. Hazard. Mater. 2022, 440, 129718. [Google Scholar] [CrossRef]
- Wu, Z.; Ferreira, D.F.; Crudo, D.; Bosco, V.; Stevanato, L.; Costale, A.; Cravotto, G. Plant and Biomass Extraction and Valorisation under Hydrodynamic Cavitation. Processes 2019, 7, 965. [Google Scholar] [CrossRef]
- Panda, D.; Manickam, S. Cavitation Technology—The Future of Greener Extraction Method: A Review on the Extraction of Natural Products and Process Intensification Mechanism and Perspectives. Appl. Sci. 2019, 9, 766. [Google Scholar] [CrossRef]
- Ciriminna, R.; Scurria, A.; Pagliaro, M. Natural product extraction via hydrodynamic cavitation. Sustain. Chem. Pharm. 2023, 33, 101083. [Google Scholar] [CrossRef]
- Preece, K.E.; Hooshyar, N.; Krijgsman, A.J.; Fryer, P.J.; Zuidam, N.J. Intensification of protein extraction from soybean processing materials using hydrodynamic cavitation. Innov. Food Sci. Emerg. Technol. 2017, 41, 47–55. [Google Scholar] [CrossRef]
- Meneguzzo, F.; Brunetti, C.; Fidalgo, A.; Ciriminna, R.; Delisi, R.; Albanese, L.; Zabini, F.; Gori, A.; dos Santos Nascimento, L.B.; De Carlo, A.; et al. Real-scale integral valorization of waste orange peel via hydrodynamic cavitation. Processes 2019, 7, 581. [Google Scholar] [CrossRef]
- Lee, I.; Han, J. Simultaneous treatment (cell disruption and lipid extraction) of wet microalgae using hydrodynamic cavitation for enhancing the lipid yield. Bioresour. Technol. 2015, 186, 246–251. [Google Scholar] [CrossRef] [PubMed]
- Patil, P.B.; Bhandari, V.M.; Ranade, V.V. Wastewater treatment and process intensification for degradation of solvents using hydrodynamic cavitation. Chem. Eng. Process.-Process Intensif. 2021, 166, 108485. [Google Scholar] [CrossRef]
- Grillo, G.; Boffa, L.; Binello, A.; Mantegna, S.; Cravotto, G.; Chemat, F.; Telysheva, G. Cocoa bean shell waste valorisation; extraction from lab to pilot-scale cavitational reactors. Food Res. Int. 2019, 115, 200–208. [Google Scholar] [CrossRef] [PubMed]
- Arya, S.S.; More, P.R.; Ladole, M.R.; Pegu, K.; Pandit, A.B. Non-thermal, energy efficient hydrodynamic cavitation for food processing, process intensification and extraction of natural bioactives: A review. Ultrason. Sonochem. 2023, 98, 106504. [Google Scholar] [CrossRef] [PubMed]
- Deotale, S.M.; Dutta, S.; Moses, J.A.; Anandharamakrishnan, C. Coffee oil as a natural surfactant. Food Chem. 2019, 295, 180–188. [Google Scholar] [CrossRef] [PubMed]
- Xu, R. Progress in nanoparticles characterization: Sizing and zeta potential measurement. Particuology 2008, 6, 112–115. [Google Scholar] [CrossRef]
- Tiwari, V.; Walker, V.; Ranade, V.V. Particle breakage using wet mill, ultrasonic, and hydrodynamic cavitation. Cryst. Growth Des. 2023, 23, 8620–8636. [Google Scholar] [CrossRef]
- Rosson, E.; Sgarbossa, P.; Mozzon, M.; Venturino, F.; Bogialli, S.; Glisenti, A.; Talon, A.; Moretti, E.; Carturan, S.M.; Tamburini, S.; et al. Novel Correlations between Spectroscopic and Morphological Properties of Activated Carbons from Waste Coffee Grounds. Processes 2021, 9, 1637. [Google Scholar] [CrossRef]
- Marcelo, M.C.A.; Mariotti, K.C.; Ferrão, M.F.; Ortiz, R.S. Profiling cocaine by ATR–FTIR. Forensic Sci. Int. 2015, 246, 65–71. [Google Scholar] [CrossRef]
- Socrates, G. Infrared and Raman Characteristic Group Frequencies. Tables and Charts, 3rd ed.; John Wiley & Sons, Ltd.: Chichester, UK, 2004. [Google Scholar]




| Parameter | Unit | SCGs | MW |
|---|---|---|---|
| TS | g/kg | 315.78 ± 3.4 | 1.07 ± 0.05 |
| VS | g/kg | 310.28 ± 5.1 | 0.37 ± 0.06 |
| COD | mg/L | 15,750 ± 25.3 | 583 ± 14.7 |
| TOC | g/kg | 520 ± 4.7 | 74.10 ± 3.7 |
| pH | - | 5.27 ± 0.1 | 7.59 ± 0.2 |
| Time [min] | 3 bar | 5 bar | 7 bar |
|---|---|---|---|
| 5 | 2.9 | 3.6 | 4.3 |
| 10 | 5.7 | 7.3 | 8.5 |
| 20 | 11.5 | 14.6 | 17.1 |
| 30 | 17.2 | 21.9 | 25.6 |
| 45 | 25.8 | 32.8 | 38.4 |
| Time | TOC | DOC | sCOD/COD | DOC/TOC | VS/TS | Caffeine | pH | Phenols | T | Energy Usage | Variant Number |
|---|---|---|---|---|---|---|---|---|---|---|---|
| min | g/kg | mg/L | - | - | ppm | mg/L | °C | kWh | |||
| 3 bar | |||||||||||
| 0 | 585 ± 8.24 | 332 ± 14.38 | 0.15 | 0.0006 | 0.86 | 7.23 ± 0.15 | 20.8 ± 2.40 | 9.05 ± 0.35 | - | v1 | |
| 5 | 528 ± 19.90 | 438 ± 19.13 | 0.20 | 0.0008 | 0.90 | 7.29 ± 0.12 | 22.3 ± 7.92 | 10.65 ± 0.07 | 0.039 | v2 | |
| 10 | 512 ± 13.29 | 453 ± 11.90 | 0.21 | 0.0009 | 0.89 | 7.32 ± 0.12 | 21.5 ± 7.99 | 11.95 ± 0.64 | 0.077 | v3 | |
| 20 | 499 ± 11.11 | 474 ± 19.64 | 0.22 | 0.0009 | 0.90 | 7.36 ± 0.1 | 22.8 ± 8.06 | 13.0 ± 0.14 | 0.154 | v4 | |
| 30 | 478 ± 8.61 | 491 ± 17.08 | 0.24 | 0.0010 | 0.91 | 7.39 ± 0.11 | 24.5 ± 7.71 | 14.85 ± 0.21 | 0.232 | v5 | |
| 45 | 468 ± 13.36 | 499 ± 14.09 | 0.27 | 0.0011 | 0.89 | nd | 7.53 ± 0.01 | 25.4 ± 7.92 | 17.35 ± 0.07 | 0.347 | v6 |
| 5 bar | |||||||||||
| 0 | 498 ± 61.3 | 329.3 ± 26.5 | 0.12 | 0.0007 | 0.88 | nd | 7.32 ± 0.25 | 18.5 ± 7.14 | 8.03 ± 1.68 | - | v7 |
| 5 | 461 ± 47.4 | 453.9 ± 52.9 | 0.20 | 0.0010 | 0.88 | nd | 7.43 ± 0.24 | 21.3 ± 7.54 | 10.90 ± 1.32 | 0.057 | v8 |
| 10 | 464 ± 30.0 | 471.5 ± 55.9 | 0.22 | 0.0010 | 0.87 | nd | 7.46 ± 0.20 | 22.8 ± 7.71 | 11.83 ± 1.53 | 0.114 | v9 |
| 20 | 461 ± 23.9 | 515.5 ± 66.6 | 0.25 | 0.0011 | 0.90 | nd | 7.57 ± 0.17 | 23.9 ± 6.82 | 14.27 ± 1.80 | 0.227 | v10 |
| 30 | 463 ± 12.4 | 545.0 ± 74.6 | 0.28 | 0.0012 | 0.89 | 4.8 ± 0.1 | 7.75 ± 0.12 | 26.1 ± 6.52 | 16.40 ± 1.93 | 0.343 | v11 |
| 45 | 453 ± 24.3 | 584.9 ± 84.9 | 0.32 | 0.0013 | 0.88 | 6.12 ± 0.12 | 7.83 ± 0.10 | 27.6 ± 5.95 | 19.67 ± 2.20 | 0.515 | v12 |
| 7 bar | |||||||||||
| 0 | 525 ± 6.8 | 249.1 ± 38.3 | 0.14 | 0.0005 | 0.92 | nd | 7.24 ± 0.11 | 19.8 ± 5.19 | 9.95 ± 1.49 | - | v13 |
| 5 | 478 ±7.3 | 413.9 ± 74.3 | 0.19 | 0.0009 | 0.88 | 9.64 ± 0.05 | 7.32 ± 0.04 | 22.5 ± 4.34 | 11.55 ± 0.35 | 0.077 | v14 |
| 10 | 472 ± 8.7 | 434.9 ± 77.4 | 0.24 | 0.0009 | 0.86 | 8.73 ± 0.07 | 7.38 ± 0.15 | 24.3 ± 4.53 | 13.55 ± 0.35 | 0.154 | v15 |
| 20 | 467 ± 14.4 | 467.9 ± 55.7 | 0.28 | 0.0010 | 0.86 | 5.50 ± 0.03 | 7.52 ± 0.27 | 26.9 ± 4.88 | 17.05 ± 0.636 | 0.308 | v16 |
| 30 | 465 ± 8.3 | 519.4 ± 50.9 | 0.30 | 0.0011 | 0.87 | 13.81 ± 0.2 | 7.64 ± 0.12 | 29.7 ± 5.44 | 20.25 ± 1.20 | 0.463 | v17 |
| 45 | 452 ± 23.9 | 570.0 ± 63.2 | 0.33 | 0.0013 | 0.86 | 7.55 ± 0.3 | 7.80 ± 0.14 | 33.8 ± 6.32 | 24.05 ± 0.64 | 0.694 | v18 |
| Step of Multi-Criteria Analysis | Methods | Numbers of Variants | Comments |
|---|---|---|---|
| S1 | Determination of non-dominated variants | v1-v3, v6-v13, v15-v18 | elimination of variants v4, v5, v14, for which all criteria values were worse than for the others |
| S2A | Determination of min-max compromise variant w1 = w2 = w3 = w4 = w5 = 0.2 | v10 | determining the optimal variant in a multi-criteria sense |
| S2B | Determination of min-max compromise variant with weights: w1 = 0.2, w2 = 0.3, w3 = 0.1, w4 = 0.15, w5 = 0.25 | v10 | determining the optimal variant in a multi-criteria sense, taking into account the weights of the criteria significance |
| S2C | Determination of min-max compromise variant with weights: w1 = 0.1, w2 = 0.5, w3 = 0.05, w4 = 0.1, w5 = 0.25 | v11 | determining the optimal variant in a multi-criteria sense, taking into account the weights of the criteria significance |
Disclaimer/Publisher’s Note: The statements, opinions and data contained in all publications are solely those of the individual author(s) and contributor(s) and not of MDPI and/or the editor(s). MDPI and/or the editor(s) disclaim responsibility for any injury to people or property resulting from any ideas, methods, instructions or products referred to in the content. |
© 2024 by the authors. Licensee MDPI, Basel, Switzerland. This article is an open access article distributed under the terms and conditions of the Creative Commons Attribution (CC BY) license (https://creativecommons.org/licenses/by/4.0/).
Share and Cite
Szaja, A.; Montusiewicz, A.; Pasieczna-Patkowska, S.; Grządka, E.; Montusiewicz, J.; Lebiocka, M. Pre-Treatment of Spent Coffee Grounds Using Hydrodynamic Cavitation. Energies 2024, 17, 2229. https://doi.org/10.3390/en17092229
Szaja A, Montusiewicz A, Pasieczna-Patkowska S, Grządka E, Montusiewicz J, Lebiocka M. Pre-Treatment of Spent Coffee Grounds Using Hydrodynamic Cavitation. Energies. 2024; 17(9):2229. https://doi.org/10.3390/en17092229
Chicago/Turabian StyleSzaja, Aleksandra, Agnieszka Montusiewicz, Sylwia Pasieczna-Patkowska, Elżbieta Grządka, Jerzy Montusiewicz, and Magdalena Lebiocka. 2024. "Pre-Treatment of Spent Coffee Grounds Using Hydrodynamic Cavitation" Energies 17, no. 9: 2229. https://doi.org/10.3390/en17092229
APA StyleSzaja, A., Montusiewicz, A., Pasieczna-Patkowska, S., Grządka, E., Montusiewicz, J., & Lebiocka, M. (2024). Pre-Treatment of Spent Coffee Grounds Using Hydrodynamic Cavitation. Energies, 17(9), 2229. https://doi.org/10.3390/en17092229

