Design of Broadband Doherty Power Amplifier Based on Misaligned Current Phase
Abstract
1. Introduction
2. Theoretical Analysis
2.1. Load Modulation at Low Power Region
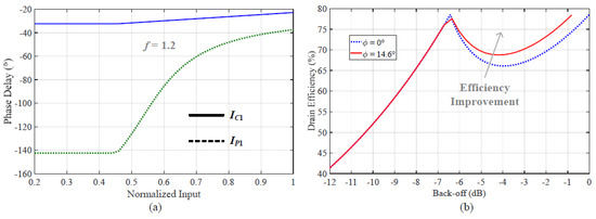
2.2. Drain Efficiency Analysis
3. Construction of a Broadband DPA
4. Experimental Results
5. Conclusions
Author Contributions
Funding
Data Availability Statement
Conflicts of Interest
References
- Chataut, R.; Nankya, M.; Akl, R. 6G Networks and the AI Revolution—Exploring Technologies, Applications, and Emerging Challenges. Sensors 2024, 24, 1888. [Google Scholar] [CrossRef] [PubMed]
 - Carcangiu, S.; Fanni, A.; Montisci, A. A closed form selected mapping algorithm for PAPR reduction in OFDM multicarrier transmission. Energies 2022, 15, 1938. [Google Scholar] [CrossRef]
 - Yang, K.; Yang, R.; Zhang, P.; Shi, W.; Hu, C.; Shi, W. Development review of highly efficient sequential power amplifier with extended back-off range for broadband application. Energies 2024, 17, 161. [Google Scholar] [CrossRef]
 - Popovic, Z. Amping up the PA for 5G: Efficient GaN power amplifiers with dynamic supplies. IEEE Microw. Mag. 2017, 18, 137–149. [Google Scholar] [CrossRef]
 - Nasri, A.; Estebsari, M.; Toofan, S.; Piacibello, A.; Pirola, M.; Camarchia, V.; Ramella, C. Design of a Wideband Doherty Power Amplifier with High Efficiency for 5G Application. Electronics 2021, 10, 873. [Google Scholar] [CrossRef]
 - Ramella, C.; Piacibello, A.; Quaglia, R.; Camarchia, V.; Pirola, M. High Efficiency Power Amplifiers for Modern Mobile Communications: The Load-Modulation Approach. Electronics 2017, 6, 96. [Google Scholar] [CrossRef]
 - Martin, D.N.; Barton, T.W. Inphasing signal component separation for an X-Band Outphasing power amplifier. IEEE Trans. Microw. Theory Tech. 2021, 69, 1661–1674. [Google Scholar] [CrossRef]
 - Choi, H. A Doherty Power Amplifier for Ultrasound Instrumentation. Sensors 2023, 23, 2406. [Google Scholar] [CrossRef] [PubMed]
 - Bathich, K.; Markos, A.Z.; Boeck, G. Frequency response analysis and bandwidth extension of the Doherty amplifier. IEEE Trans. Microw. Theory Tech. 2011, 59, 934–944. [Google Scholar] [CrossRef]
 - Cidronali, A.; Maddio, S.; Giovannelli, N.; Collodi, G. Frequency analysis and multiline implementation of compensated impedance inverter for wideband Doherty high-power amplifier design. IEEE Trans. Microw. Theory Tech. 2016, 64, 1359–1372. [Google Scholar] [CrossRef]
 - Zhu, H.; Zhang, Z.; Gu, C.; Xuan, X. A High-Relative-Bandwidth Doherty Power Amplifier with Modified Load Modulation Network for Wireless Communications. Sensors 2023, 23, 2767. [Google Scholar] [CrossRef] [PubMed]
 - Darraji, R.; Bhaskar, D.; Sharma, T.; Helaoui, M.; Mousavi, P.; Ghannouchi, F.M. Generalized theory and design methodology of wideband Doherty amplifiers applied to the realization of an octave-bandwidth prototype. IEEE Trans. Microw. Theory Tech. 2017, 65, 3014–3023. [Google Scholar] [CrossRef]
 - Li, M.; Pang, J.; Li, Y.; Zhu, A. Bandwidth Enhancement of Doherty Power Amplifier Using Modified Load Modulation Network. IEEE Trans. Circuits Syst. I Regul. Pap. 2020, 67, 1824–1834. [Google Scholar] [CrossRef]
 - Zhou, X.Y.; Chan, W.S.; Feng, W.; Fang, X.; Sharma, T.; Chen, S. Broadband Doherty Power Amplifier Based on Coupled Phase Compensation Network. IEEE Trans. Microw. Theory Tech. 2022, 70, 210–221. [Google Scholar] [CrossRef]
 - Xu, Y.; Pang, J.; Wang, X.; Zhu, A. Enhancing Bandwidth and Back-Off Range of Doherty Power Amplifier With Modified Load Modulation Network. IEEE Trans. Microw. Theory Tech. 2021, 69, 2291–2303. [Google Scholar] [CrossRef]
 - Xu, J.X.; Chen, H.; Chen, W.; Zhang, X.Y. Broadband Doherty Power Amplifier Using Short Ended λ-4 Transmission Lines Based on the Analysis of Negative Characteristic Impedance. IEEE Trans. Circuits Syst. I Regul. Pap. 2023, 70, 545–555. [Google Scholar] [CrossRef]
 - Chen, X.; Chen, W. A novel broadband Doherty power amplifier with post-matching structure. In Proceedings of the 2012 Asia Pacific Microwave Conference (APMC), Kaohsiung, Taiwan, 4–7 December 2012; pp. 370–372. [Google Scholar] [CrossRef]
 - Pang, J.; He, S.; Huang, C.; Dai, Z.; Peng, J.; You, F. A post-matching Doherty power amplifier employing low-order impedance inverters for broadband applications. IEEE Trans. Microw. Theory Tech. 2015, 63, 4061–4071. [Google Scholar] [CrossRef]
 - Xia, J.; Yang, M.; Zhu, A. Improved Doherty amplifier design with minimum phase delay in output matching network for wideband application. IEEE Microw. Wirel. Components Lett. 2016, 26, 915–917. [Google Scholar] [CrossRef]
 - Zhou, X.Y.; Zheng, S.Y.; Chan, W.S.; Chen, S.; Ho, D. Broadband efficiency-enhanced mutually coupled harmonic postmatching Doherty power amplifier. IEEE Trans. Circuits Syst. Regul. Pap. 2017, 64, 1758–1771. [Google Scholar] [CrossRef]
 - Chen, S.; Wang, G.; Cheng, Z.; Xue, Q. A bandwidth enhanced Doherty power amplifier with a compact output combiner. IEEE Microw. Wirel. Components Lett. 2016, 26, 434–436. [Google Scholar] [CrossRef]
 - Shi, W.; He, S.; You, F.; Xie, H.; Naah, G.; Liu, Q.-A.; Li, Q. The Influence of the Output Impedances of Peaking Power Amplifier on Broadband Doherty Amplifiers. IEEE Trans. Microw. Theory Tech. 2017, 65, 3002–3013. [Google Scholar] [CrossRef]
 - Xia, J.; Yang, M.; Guo, Y.; Zhu, A. A broadband high-efficiency Doherty power amplifier with integrated compensating reactance. IEEE Trans. Microw. Theory Tech. 2016, 64, 2014–2024. [Google Scholar] [CrossRef]
 - Shi, W.; He, S.; Zhu, X.; Song, B.; Zhu, Z.; Naah, G.; Zhang, M. Broadband continuous-mode Doherty power amplifiers with noninfinity peaking impedance. IEEE Trans. Microw. Theory Tech. 2018, 66, 1034–1046. [Google Scholar] [CrossRef]
 - Chen, X.; Chen, W.; Ghannouchi, F.M.; Feng, Z.; Liu, Y. A broadband Doherty power amplifier based on continuous-mode technology. IEEE Trans. Microw. Theory Tech. 2016, 64, 4505–4517. [Google Scholar] [CrossRef]
 - Ghosh, S.; Rawat, K. Hybrid analog digital continuous class B/J mode for broadband Doherty power amplifiers. IEEE Access 2019, 7, 74986–74995. [Google Scholar] [CrossRef]
 - Li, Y.; Fang, X.; Jundi, A.; Huang, H.; Boumaiza, S. Two-port network theory-based design method for broadband class J Doherty amplifiers. IEEE Access 2019, 7, 51028–51038. [Google Scholar] [CrossRef]
 - Nasri, A.; Estebsari, M.; Toofan, S.; Piacibello, A.; Pirola, M.; Camarchia, V.; Ramella, C. Broadband Class-J GaN Doherty Power Amplifier. Electronics 2022, 11, 552. [Google Scholar] [CrossRef]
 - Shi, W.; Shi, W.; Peng, J.; Feng, L.; Gao, Y.; He, S.; Yue, C.P. Design and Analysis of Continuous-Mode Doherty Power Amplifier With Second Harmonic Control. IEEE Trans. Circuits Syst. II Express Briefs 2021, 68, 2247–2251. [Google Scholar] [CrossRef]
 - Giofrè, R.; Piazzon, L.; Colantonio, P.; Giannini, F. A closed-form design technique for ultra-wideband Doherty power amplifiers. IEEE Trans. Microw. Theory Tech. 2014, 62, 3414–3424. [Google Scholar] [CrossRef]
 - Barakat, A.; Thian, M.; Fusco, V.; Bulja, S.; Guan, L. Toward a More Generalized Doherty Power Amplifier Design for Broadband Operation. IEEE Trans. Microw. Theory Tech. 2017, 65, 846–859. [Google Scholar] [CrossRef]
 - Moreno Rubio, J.J.; Camarchia, V.; Pirola, M.; Quaglia, R. Design of an 87% Fractional Bandwidth Doherty Power Amplifier Supported by a Simplified Estimation Method. IEEE Trans. Microw. Theory Tech. 2018, 66, 1319–1327. [Google Scholar] [CrossRef]
 - Yang, Z.; Yao, Y.; Li, M.; Jin, Y.; Li, T.; Dai, Z.; Tang, F.; Li, Z. Bandwidth extension of Doherty power amplifier using complex combining load with noninfinity peaking impedance. IEEE Trans. Microw. Theory Tech. 2019, 67, 765–777. [Google Scholar] [CrossRef]
 - Park, Y.; Lee, J.; Jee, S.; Kim, S.; Kim, B. Gate Bias Adaptation of Doherty Power Amplifier for High Efficiency and High Power. IEEE Microw. Wirel. Compon. Lett. 2015, 25, 136–138. [Google Scholar] [CrossRef]
 - Kalyan, R.; Rawat, K.; Koul, S.K. A Digitally Assisted Dual-Input Dual-Band Doherty Power Amplifier With Enhanced Efficiency and Linearity. IEEE Trans. Circuits Syst. II Express Briefs 2019, 66, 297–301. [Google Scholar] [CrossRef]
 - Fang, X.-H.; Liu, H.-Y.; Cheng, K.-K.M.; Boumaiza, S. Two-Way Doherty Power Amplifier Efficiency Enhancement by Incorporating Transistors’ Nonlinear Phase Distortion. IEEE Microw. Wirel. Compon. Lett. 2018, 28, 168–170. [Google Scholar] [CrossRef]
 - Zhong, K.; Dai, Z.; Xiao, F.; Gao, R.; Shi, W.; Pang, J.; Li, M. Design of dual-band Doherty power amplifier using a new phase compensation technique. IEEE Trans. Circuits Syst. II Express Briefs 2024, 71, 1794–1798. [Google Scholar] [CrossRef]
 











| Ref., Year | Freq. (GHz) | BW. (GHz/%) | Pmax (dBm) | DE@Sat (%) | DE@OBO (%) | Gain@Sat (dB) | 
|---|---|---|---|---|---|---|
| [5] 2021 | 2.8–3.6 | 1.2/25 | 43–44.2 | 62–76.5 | 44–56 | 8–13.5 | 
| [11] 2023 | 1.0–2.5 | 1.5/86 | 43.9–44.5 | 63.7–71.6 | 45.2–53.7 | 9.6–10.3 | 
| [13] 2020 | 2.80–3.55 | 0.75/23.6 | 43.0–45.0 | 66.0–78.0 | 50.0–60.6 | 6.5–8.1 * | 
| [14] 2022 | 1.3–2.3 | 1.0/55.5 | 42.2–43.9 | 61.6–75.2 | 41.0–65.0 | 6.5–8.0 * | 
| [23] 2016 | 1.7–2.8 | 1.1/49 | 44.0–44.5 | 57.0–71.0 | 50.0–55.0 | >12 | 
| [28] 2022 | 3.0–3.7 | 0.7/21 | 43.0–44.2 | 60.0–74.0 | 46.0–50.0 | 7.0–7.5 * | 
| [29] 2021 | 1.5–2.55 | 1.05/51.8 | 42.6–44.4 | 50.7–69.7 | 43.3–57 | 7.2–11.6 | 
| [32] 2018 | 1.5–3.8 | 2.3/87 | 42.3–43.4 | 42.0–63.0 | 33.0–55.0 | N/A | 
| This Work | 1.45–2.45 | 1/51.2 | 42.7–44.9 | 62.4–74.1 | 40.5–59.8 | 9.4–13.9 | 
| 1.5–2.45 | 0.95/48.1 | 42.7–44.9 | 63.6–74.1 | 49.1–59.8 | 10.2–13.9 | 
Disclaimer/Publisher’s Note: The statements, opinions and data contained in all publications are solely those of the individual author(s) and contributor(s) and not of MDPI and/or the editor(s). MDPI and/or the editor(s) disclaim responsibility for any injury to people or property resulting from any ideas, methods, instructions or products referred to in the content.  | 
© 2024 by the authors. Licensee MDPI, Basel, Switzerland. This article is an open access article distributed under the terms and conditions of the Creative Commons Attribution (CC BY) license (https://creativecommons.org/licenses/by/4.0/).
Share and Cite
Hu, Y.; Gan, D.; Shi, W. Design of Broadband Doherty Power Amplifier Based on Misaligned Current Phase. Energies 2024, 17, 2006. https://doi.org/10.3390/en17092006
Hu Y, Gan D, Shi W. Design of Broadband Doherty Power Amplifier Based on Misaligned Current Phase. Energies. 2024; 17(9):2006. https://doi.org/10.3390/en17092006
Chicago/Turabian StyleHu, Yinlong, Decheng Gan, and Weimin Shi. 2024. "Design of Broadband Doherty Power Amplifier Based on Misaligned Current Phase" Energies 17, no. 9: 2006. https://doi.org/10.3390/en17092006
APA StyleHu, Y., Gan, D., & Shi, W. (2024). Design of Broadband Doherty Power Amplifier Based on Misaligned Current Phase. Energies, 17(9), 2006. https://doi.org/10.3390/en17092006
        
