An Analysis of Asymmetrical and Open-Phase Modes in a Symmetrical Two-Channel Induction Machine with Consideration of Spatial Harmonics
Abstract
1. Introduction
2. Analytical Description of the MMF for Asymmetric Operating Modes
3. Mathematical Model of the 6PSIM
4. Experimental Test Bench
5. Research Results
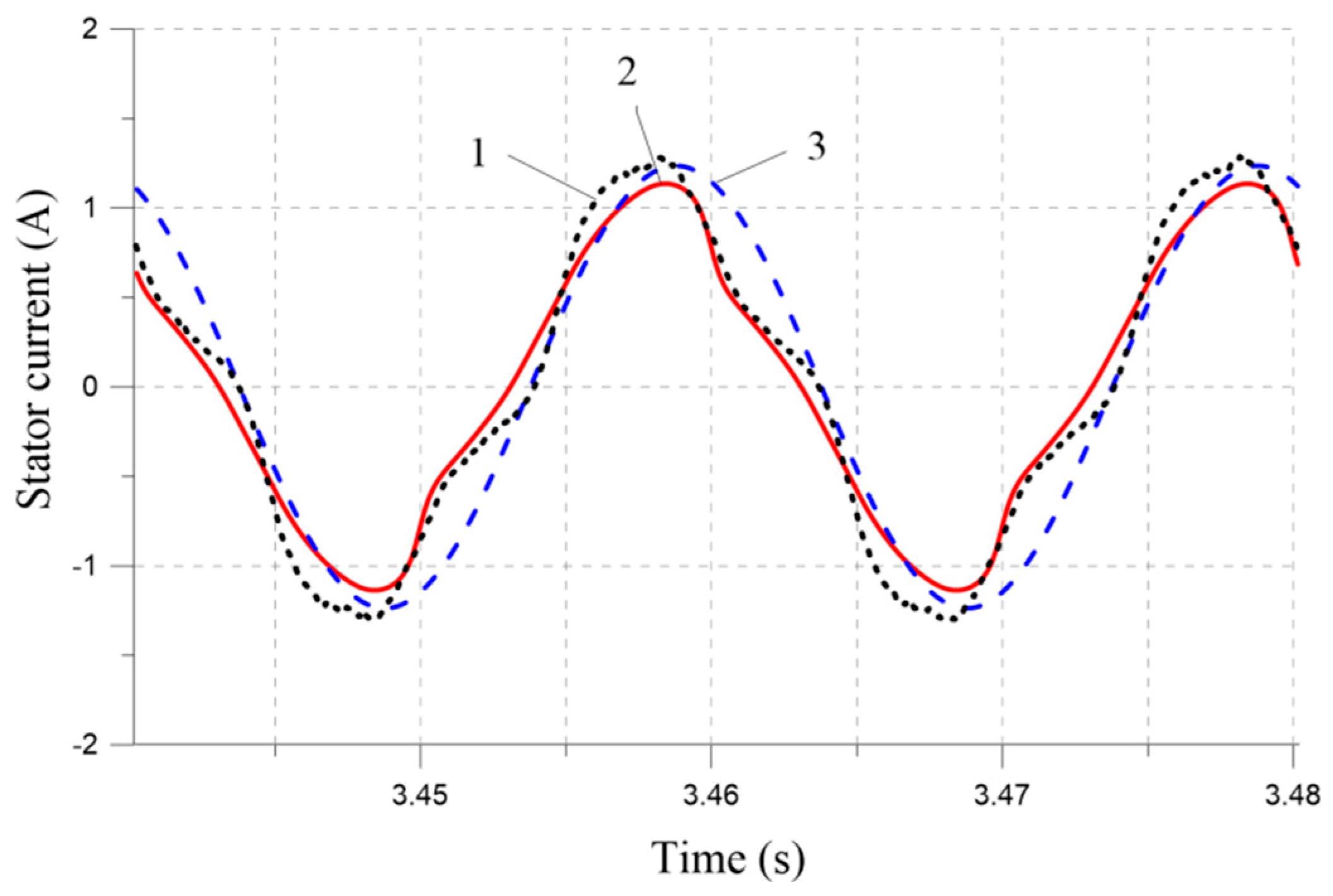
5.1. Asymmetric Mode
5.2. Open-Phase Mode
6. Discussion
7. Conclusions
Author Contributions
Funding
Data Availability Statement
Acknowledgments
Conflicts of Interest
References
- Levi, E. Multiphase Electric Machines for Variable-Speed Applications. IEEE Trans. Ind. Electron. 2008, 55, 1893–1909. [Google Scholar] [CrossRef]
- Bojoi, R.; Farina, F.; Profumo, F.; Tenconi, A. Dual-Three Phase Induction Machine Drives Control—A Survey. IEEJ Trans. Ind. Appl. 2006, 126, 420–429. [Google Scholar] [CrossRef]
- Alberti, L.; Bianchi, N. Experimental Tests of Dual Three-Phase Induction Motor Under Faulty Operating Condition. IEEE Trans. Ind. Electron. 2012, 59, 2041–2048. [Google Scholar] [CrossRef]
- Munim, W.N.W.A.; Duran, M.J.; Che, H.S.; Bermúdez, M.; González-Prieto, I.; Rahim, N.A. A Unified Analysis of the Fault Tolerance Capability in Six-Phase Induction Motor Drives. IEEE Trans. Power Electron. 2017, 32, 7824–7836. [Google Scholar] [CrossRef]
- Che, H.S.; Duran, M.; Levi, E.; Jones, M.; Hew, W.P.; Rahim, N.A. Post-fault operation of an asymmetrical six-phase induction machine with single and two isolated neutral points. In Proceedings of the 2013 IEEE Energy Conversion Congress and Exposition, Denver, CO, USA, 15–19 September 2013; pp. 1131–1138. [Google Scholar] [CrossRef][Green Version]
- Duran, M.J.; Gonzalez Prieto, I.; Bermudez, M.; Barrero, F.; Guzman, H.; Arahal, M.R. Optimal Fault-Tolerant Control of Six-Phase Induction Motor Drives with Parallel Converters. IEEE Trans. Ind. Electron. 2016, 63, 629–640. [Google Scholar] [CrossRef]
- Gonzalez, I.; Duran, M.J.; Che, H.S.; Levi, E.; Barrero, F. Fault-tolerant control of six-phase induction generators in wind energy conversion systems with series-parallel machine-side converters. In Proceedings of the IECON 2013—39th Annual Conference of the IEEE Industrial Electronics Society, Vienna, Austria, 10–13 November 2013; pp. 5276–5281. [Google Scholar] [CrossRef]
- Betin, F.; Capolino, G.-A. Shaft Positioning for Six-Phase Induction Machines with Open Phases Using Variable Structure Control. IEEE Trans. Ind. Electron. 2012, 59, 2612–2620. [Google Scholar] [CrossRef]
- Diab, M.S.; Elserougi, A.; Abdel-khalik, A.S.; Massoud, A.M.; Ahmed, S. A reduced switch-count SEPIC-based inverter for asymmetrical dual three-phase induction machines. In Proceedings of the IECON 2015—41st Annual Conference of the IEEE Industrial Electronics Society, Yokohama, Japan, 9–12 November 2015; pp. 000990–000995. [Google Scholar] [CrossRef]
- Abdel-Khalik, A.S.; Hamdy, R.A.; Massoud, A.M.; Ahmed, S. Postfault Control of Scalar (V/f) Controlled Asymmetrical Six-Phase Induction Machines. IEEE Access 2018, 6, 59211–59220. [Google Scholar] [CrossRef]
- Shamsi-Nejad, M.-A.; Nahid-Mobarakeh, B.; Pierfederici, S.; Meibody-Tabar, F. Fault Tolerant and Minimum Loss Control of Double-Star Synchronous Machines Under Open Phase Conditions. IEEE Trans. Ind. Electron. 2008, 55, 1956–1965. [Google Scholar] [CrossRef]
- Alcharea, R.; Nahidmobarakeh, B.; Baghli, L.; Betin, F.; Capolino, G.A. Decoupling Modeling and Control of Six-Phase Induction Machines Under Open Phase Fault Conditions. In Proceedings of the IECON 2006—32nd Annual Conference on IEEE Industrial Electronics, Paris, France, 6–10 November 2006; pp. 5101–5106. [Google Scholar] [CrossRef]
- Kutsyk, A.; Korkosz, M.; Semeniuk, M.; Nowak, M. An Influence of Spatial Harmonics on an Electromagnetic Torque of a Symmetrical Six-Phase Induction Machine. Energies 2023, 16, 3813. [Google Scholar] [CrossRef]
- Kindl, V.; Cermak, R.; Ferkova, Z.; Skala, B. Review of Time and Space Harmonics in Multi-Phase Induction Machine. Energies 2020, 13, 496. [Google Scholar] [CrossRef]
- Mezani, S.; Laporte, B.; Takorabet, N. Complex finite element computation of induction motors with consideration of space harmonics. In Proceedings of the IEEE International Electric Machines and Drives Conference, 2003. IEMDC’03, Madison, WI, USA, 1–4 June 2003; Volume 1, pp. 264–268. [Google Scholar] [CrossRef]
- Oliveira, F.T.; Donsion, M.P. A finite element model of an induction motor considering rotor skew and harmonics. Renew. Energy Power Qual. J. 2017, 15, 119–122. [Google Scholar] [CrossRef]
- Carbonieri, M.; Bianchi Nand Alberti, L. Induction Motor Mapping Using Rotor Field-Oriented Analysis Technique. In Proceedings of the 2019 IEEE Energy Conversion Congress and Exposition (ECCE), Baltimore, MD, USA, 29 September–3 October 2019; pp. 2321–2328. [Google Scholar] [CrossRef]
- Leonardo, L.D.; Popescu, M.; Tursini, M.; Parasiliti Fand Carbonieri, M. Transient Modeling of Induction Motors considering Space Harmonics. In Proceedings of the 2020 International Conference on Electrical Machines (ICEM), Gothenburg, Sweden, 23–26 August 2020; pp. 2553–2559. [Google Scholar] [CrossRef]
- Gogolyuk, P.F.; Hoholyuk, O.P.; Kutsyk, T.A. Universal mathematical model of asynchronous machine as an element microgrid in smart grid. Math. Model. Comput. 2021, 8, 444–453. [Google Scholar] [CrossRef]
- González-Prieto, A. On the Advantages of Symmetrical Over Asymmetrical Multiphase AC Drives with Even Phase Number Using Direct Controllers. IEEE Trans. Ind. Electron. 2022, 69, 7639–7650. [Google Scholar] [CrossRef]
- Plakhtyna, O.; Kutsyk, A.; Semeniuk, M. Real-Time Models of Electromechanical Power Systems, Based on the Method of Average Voltages in Integration Step and Their Computer Application. Energies 2020, 13, 2263. [Google Scholar] [CrossRef]
- Kuznyetsov, O. Mathematical model of a three-phase induction machine in a natural abc reference frame utilizing the method of numerical integration of average voltages at the integration step and its application to the analysis of electromechanical systems. Math. Probl. Eng. 2019, 2019, 4581769. [Google Scholar] [CrossRef]
- Kłosowski, Z.; Fajfer, M.; Ludwikowski, Z. Reduction of the Electromagnetic Torque Oscillation during the Direct on Line (DOL) Starting of a 6 kV Motor by Means of a Controlled Vacuum Circuit-Breaker. Energies 2022, 15, 4246. [Google Scholar] [CrossRef]
- Plakhtyna, O.; Kutsyk, A.; Semeniuk, M. An analysis of fault modes in an electrical power-generation system on a real-time simulator with a real automatic excitation controller of a synchronous generator. Electrotech. Rev. 2019, 86, 104–109. [Google Scholar]
- Cieślik, S. Mathematical Modeling of the Dynamics of Linear Electrical Systems with Parallel Calculations. Energies 2021, 14, 2930. [Google Scholar] [CrossRef]
- Kutsyk, A.; Lozynskyy, A.; Vantsevitch, V.; Plakhtyna, O.; Demkiv, L. A Real-Time Model of Locomotion Module DTC Drive for Hardware-in-the-Loop Implementation. Przegląd Elektrotechniczny 2021, 97, 60–65. [Google Scholar] [CrossRef]
















| Harmonic Frequency, Hz | Harmonic Order | Stator Current Harmonic Magnitude, % | ||
|---|---|---|---|---|
| Experimental Results | Simulation Results | |||
| without Spatial Harmonics | with Spatial Harmonics | |||
| 50 | 1 | 100 | 100 | 100 |
| 150 | 3 | 0.81 | 0.05 | 1.73 |
| 250 | 5 | 2.70 | 0.03 | 1.81 |
| 350 | 7 | 3.17 | 0.02 | 1.38 |
| 450 | 9 | 0.39 | 0.01 | 0.31 |
| 550 | 11 | 0.48 | 0.01 | 0.58 |
| 650 | 13 | 0.74 | 0.01 | 0.47 |
| Harmonic Frequency, Hz | Harmonic Order | Harmonic Magnitude of the Electromagnetic Torque, % | |||
|---|---|---|---|---|---|
| Simulation without Spatial Harmonics | Simulation with Spatial Harmonics | ||||
| Nominal Load | 10% Load | Nominal Load | 10% Load | ||
| 0 | DC | 100 | 100 | 100 | 100 |
| 100 | 2 | 3.53 | 22.17 | 4.6 | 27.6 |
| 200 | 4 | 0.03 | 0.08 | 0.49 | 9.18 |
| 300 | 6 | 0.02 | 0.02 | 1.38 | 12.64 |
| 400 | 8 | 0.01 | 0.02 | 0.35 | 3.25 |
| 500 | 10 | 0.01 | 0.02 | 0.15 | 3.7 |
| 600 | 12 | 0.01 | 0.01 | 0.85 | 4.25 |
| THD, % | ||||
|---|---|---|---|---|
| Experimental Results | Simulation Results | |||
| Stator Current | Electromagnetic Torque | |||
| Stator Current | Without Spatial Harmonics | With Spatial Harmonics | Without Spatial Harmonics | With Spatial Harmonics |
| for 10% load | ||||
| 7.05 | 0.54 | 6.28 | 22.18 | 32.62 |
| for nominal load | ||||
| 4.58 | 0.32 | 3.99 | 3.54 | 4.91 |
| Harmonic Frequency, Hz | Harmonic Order | Stator Current Harmonic Magnitude, % | ||
|---|---|---|---|---|
| Experimental Results | Simulation Results | |||
| Without Spatial Harmonics | With Spatial Harmonics | |||
| 50 | 1 | 100 | 100 | 100 |
| 150 | 3 | 15.12 | 0.0 | 9.56 |
| 250 | 5 | 6.85 | 0.0 | 5.24 |
| 350 | 7 | 2.33 | 0.0 | 2.52 |
| 450 | 9 | 0.47 | 0.0 | 1.48 |
| 550 | 11 | 0.66 | 0.0 | 1.11 |
| 650 | 13 | 0.57 | 0.0 | 0.69 |
| THD, % | ||||
|---|---|---|---|---|
| Experimental Results | Simulation Results | |||
| Stator Current | Electromagnetic Torque | |||
| Stator Current | Without Spatial Harmonics | With Spatial Harmonics | Without Spatial Harmonics | With Spatial Harmonics |
| 16.96 | 0 | 13.38 | 29.475 | 29.49 |
| Harmonic Frequency, Hz | Harmonic Order | Harmonic Magnitude of the Electromagnetic Torque, % | |
|---|---|---|---|
| Simulation without Spatial Harmonics | Simulation with Spatial Harmonics | ||
| 0 | DC | 100 | 100 |
| 100 | 2 | 29.47 | 28.47 |
| 200 | 4 | 0 | 6.21 |
| 300 | 6 | 0 | 4.21 |
| 400 | 8 | 0 | 2.26 |
| 500 | 10 | 0 | 1.28 |
| 600 | 12 | 0 | 0.8 |
Disclaimer/Publisher’s Note: The statements, opinions and data contained in all publications are solely those of the individual author(s) and contributor(s) and not of MDPI and/or the editor(s). MDPI and/or the editor(s) disclaim responsibility for any injury to people or property resulting from any ideas, methods, instructions or products referred to in the content. |
© 2024 by the authors. Licensee MDPI, Basel, Switzerland. This article is an open access article distributed under the terms and conditions of the Creative Commons Attribution (CC BY) license (https://creativecommons.org/licenses/by/4.0/).
Share and Cite
Kutsyk, A.; Korkosz, M.; Bogusz, P.; Semeniuk, M.; Lozynskyy, A. An Analysis of Asymmetrical and Open-Phase Modes in a Symmetrical Two-Channel Induction Machine with Consideration of Spatial Harmonics. Energies 2024, 17, 870. https://doi.org/10.3390/en17040870
Kutsyk A, Korkosz M, Bogusz P, Semeniuk M, Lozynskyy A. An Analysis of Asymmetrical and Open-Phase Modes in a Symmetrical Two-Channel Induction Machine with Consideration of Spatial Harmonics. Energies. 2024; 17(4):870. https://doi.org/10.3390/en17040870
Chicago/Turabian StyleKutsyk, Andriy, Mariusz Korkosz, Piotr Bogusz, Mykola Semeniuk, and Andriy Lozynskyy. 2024. "An Analysis of Asymmetrical and Open-Phase Modes in a Symmetrical Two-Channel Induction Machine with Consideration of Spatial Harmonics" Energies 17, no. 4: 870. https://doi.org/10.3390/en17040870
APA StyleKutsyk, A., Korkosz, M., Bogusz, P., Semeniuk, M., & Lozynskyy, A. (2024). An Analysis of Asymmetrical and Open-Phase Modes in a Symmetrical Two-Channel Induction Machine with Consideration of Spatial Harmonics. Energies, 17(4), 870. https://doi.org/10.3390/en17040870

